2. 华中科技大学大学物理学院, 武汉 430074;
3. 华中科技大学大学地球物理研究所, 武汉 430074
2. School of Physics, Huazhong University of Science and Technology, Wuhan 430074, China;
3. Institute of Geophysics, Huazhong University of Science and Technology, Wuhan 430074, China
高效、高精度以及全球覆盖等优点使得卫星重力测量成为新世纪地球重力场探测的重要手段,它包括卫星跟踪卫星与卫星重力梯度两种测量模式.卫星跟踪卫星模式是通过高轨卫星(GPS)跟踪低轨卫星的轨道摄动或者两颗低轨卫星之间的精密测距测速来获取地球的扰动重力位,主要用于反演重力场的中长波及其时变信息;卫星重力梯度测量则是通过搭载于卫星上的重力梯度仪直接测量轨道高处重力位的二阶导,即重力梯度张量,以获取重力场的中短波信息,能有效抑制地球重力场信号随轨道高度上升而快速衰减的问题,是恢复高阶静态地球重力场最有效的途径之一.欧空局于2009年发射了人类第一颗重力梯度卫星GOCE(ESA,1999;ESA,2000;Drinkwater et al., 2003),重力梯度测量的设计精度在5 mHz~0.1 Hz的频带内约为6~7 mE/Hz1/2(Silvestrin,2005;Drinkwater et al., 2006;Drinkwater et al., 2007;Rummel et al., 2011),可将地球重力场的位系数恢复至200阶以上(ESA,1999).
重力梯度仪由多个高精度加速度计构成,加速度计的性能参数以及安装偏差的不确定直接影响重力场的恢复精度(蔡林等,2012).因此,星载加速度计各参数的准确值需通过高精度的标定方式来实现.对GOCE卫星而言,加速度计的标定方式分为三类(Drinkwater et al., 2006):地面标定、在轨标定、外部标定.地面标定主要是发射前确认经制造、组装以及调整之后的仪器参数;外部标定是利用外部信息(如先验重力场模型)通过数据后处理方式对参数进行校准;在轨标定即卫星在轨运行过程中提供精确的参考力源进行实时校准.为保证重力梯度的测量精度,GOCE卫星对加速度计的性能参数(标度因数、二次项系数、分辨率)以及安装偏差(安装重合度、安装位置偏差)均进行了校准.但是,GOCE相关文献仅笼统给出了少量的参数标定需求指标(ESA,1999;ESA,2000;Drinkwater et al., 2003;Drinkwater et al., 2006;Drinkwater et al., 2007),且对这些指标的详细论证少见公开报道.
在以往工作中,我们详细讨论了加速度计的性能参数对梯度测量的影响(祝竺和周泽兵,2012),本文将着重讨论加速度计安装参数对梯度测量的影响,结合GOCE在轨数据,针对不同频段与不同自由度,给出各安装参数的标定精度,为载荷的安装与参数标定提供重要的理论依据.
1 卫星重力梯度测量原理
卫星重力梯度测量通过差分加速度的测量原理来获取梯度张量的九个分量.以搭载于GOCE卫星上的静电重力梯度仪为例,它由三对静电加速度计组成,每对加速度计对称安装在0.5 m长的超稳碳碳纤维结构上,三对加速度计相互正交,梯度仪中心与卫星质心重合,这里采用卫星本体坐标系,卫星质心为坐标原点,卫星X、Y与Z轴分别为卫星飞行、垂直轨道平面和地心径向方向,如图 1所示.
![]() | 图 1 静电重力梯度仪的构成Fig. 1 Configuration of the electrostatic gravity gradiometer |
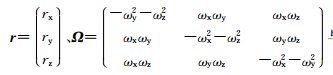
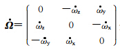
在卫星本体坐标系下,加速度计的输出包含由重力梯度引入的加速度差、卫星旋转引入的牵连加速度及卫星受到的大气阻尼等非保守力,示为


与
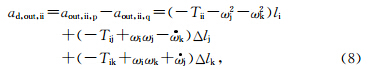
分别示加速度计的输出矩阵、卫星质心处的重力梯度张量、卫星受到的非保守力、单个加速度计到卫星质心的位移、卫星的角速度矩阵与角加速度矩阵,msc示卫星的质量.当每个加速度计监测的卫星平台非保守力相同时,根据式(1)可得每对加速度计(设为加速度计p与q)的差模输出为

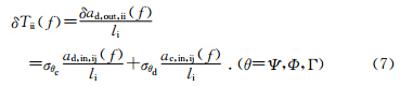
示加速度计的差模输出,
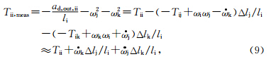
表示同一基线上两个加速度计之间的位移矢量,征了梯度仪的基线长度.从上式可以看出,重力梯度的获取需从差模加速度输出中扣除卫星角运动的影响,以对角梯度分量Tii为例,其测量达式可写为

2 卫星重力梯度测量原理
上述测量原理是基于加速度计理想安装的情况下实现的.在实际的组装过程中,每对加速度计会存在微小的安装偏差,直接影响重力梯度的测量精度,因此需要对安装参数进行标定.标定值产生的影响会在后续的数据处理中扣除,故这里主要讨论标定误差引入的梯度测量噪声.
2.1 加速度计安装重合度要求
理想情况下,每个加速度计测量轴应与卫星本体坐标系重合,实际中加速度计的测量轴偏离理想坐标系一定的角度,如图 2所示.
![]() | 图 2 加速度计安装重合度示意图Fig. 2 Misalignment of the accelerometer pair |
当加速度计的理想坐标系按如下顺序转动微小角度(章仁为,1998):(1)绕理想坐标系的Z轴转动Ф角度;(2)绕第一次旋转后的X轴转动Ψ角度;(3)绕第二次旋转后的Y轴转动Г角度后,得到实际加速度计坐标系,则单个加速度计的输出变为

定义为加速度计坐标轴与卫星本体坐标轴之间的安装重合度矩阵.以对角梯度分量测量为例,此时加速度计实际的差模输出变为

将上式代入(3)式,则可得到安装重合度系数的标定误差引入的梯度测量噪声可写为如下形式

其中σθc与σθd分别共模与差模安装重合度系数的标定误差.上式在频域里可写为

加速度计垂直于所在基线方向的差模信号ad,in,ij(f)主要取决于卫星的角加速度ω(ESA,2000;Rummel et al., 2011;Sechi et al., 2011),即ad,in,ij(f)/li≈ω k(f),其中下标k示三维正交空间(i、j、k)中与i、j相互垂直的第三轴,且与i、j按顺序符合右手螺旋法则.卫星三轴的角加速度数据可从GOCE在轨实测的L1b数据中提取(ESA,2006),将该数据在频域里进行功率谱密度分析可知,在5~100 mHz的测量频带内,姿控系统可将卫星三轴角加速度的功率谱密度控制在1×10-7 rad/s2/Hz1/2以下,如图 3a所示.若要求在测量频带内共模安装重合度系数的标定误差引入的梯度测量噪声小于1 mE/Hz1/2,则共模安装重合度系数的标定精度σθc需达到10-5 rad.加速度计垂直于所在基线方向的共模信号ac,in,ij(f)征卫星受到的大气阻尼等非保守力,即ad,in,ij(f)≈Fng,j(f)/msc,根据GOCE在轨实测L1b数据(ESA,2006),在250 km的轨道高度处,非保守力引入卫星三轴的共模加速度信号谱ac,in(f)在5~100 mHz的测量频带内小于1×10-7 m/s2/Hz1/2,如图 4所示.此时若要求在测量频带内差模安装重合度系数的标定误差引入的梯度测量噪声小于1 mE/Hz1/2,则差模安装重合度系数的标定精度σθd需做到5×10-6 rad.
![]() | 图 3 卫星三轴角加速度在轨实测数据(a)功率谱密度(b)时域值 GOCE L1b数据“EGG_CGA_1i”,2009年11月1日00:49:15~02:18:59,数据长度:5384 s.Fig. 3 In-orbit data of satellite three axes angular accelerations(a)PSD(b)data from time-domain GOCE L1b data“EGG_CGA_1i”from 00:49:15 to 02:18:59,November 1st, 2009,data length: 5384 s. |
![]() | 图 4 卫星在轨实测的非保守加速度 GOCE L1b数据“EGG_CGA_1i”,2009年11月1日00:49:15~02:18:59,数据长度:5384 s.Fig. 4 In-orbit data of the non-conservative accelerations acting on the satellite GOCE L1b data“EGG_CGA_1i”from 00:49:15 to 02:18:59,November 1st, 2009,data length: 5384 s. |
由于各自由度的共模与差模加速度输入信号各不相同,且信号功率谱密度随频率变化,因此在实际中需根据不同频段与不同自由度进行讨论.根据前文分析结果,若共模与差模安装重合度系数的标定误差分别为10-5 rad与5×10-6 rad,结合GOCE在轨实测的非保守力(通过共模加速度征)数据(祝竺和周泽兵,2012)以及图 3a所示的卫星三轴角加速度(通过差模加速度征),则安装重合度系数的标定误差在测量频带的低频端5 mHz处引入的梯度测量噪声见表 1.从中可以看出,在5 mHz处,安装重合度系数的标定误差引入的Txx、Tyy与Tzz的测量噪声分别约为1 mE/Hz1/2、1 mE/Hz1/2与1.4 mE/Hz1/2,见表 1的最后一列.
| | 表 1 加速度计安装重合度系数的标定误差引入的梯度测量噪声(5 mHz处) Table 1 Gradient measurement noise caused by calibration error of the accelerometer pair misalignment @5 mHz |
需要说明的是,由于加速度输入信号随频率增大而减小(祝竺和周泽兵,2012),在测量频带的高频端如0.1 Hz处其信号谱密度比5 mHz处减小1~2个量级,因此在0.1 Hz处安装重合度系数的标定误差引入的梯度测量噪声仅在0.03 mE/Hz1/2以下,这里不再赘述(下文同理).
另外,由于卫星沿其翻滚轴(X轴)旋转的稳定性较差(Rummel et al., 2011),因此相比于Y与Z轴而言,卫星X轴的角加速度稍大,进而使得共模重合度系数的标定误差对Tyy与Tzz贡献的梯度测量噪声较Txx而言稍大.而由于卫星垂直于轨道平面方向(Y轴)的非保守力较大(飞行方向采用无拖曳控制对大气阻尼进行补偿的前提下),使得差模重合度系数的标定误差对Txx与Tzz贡献的梯度测量噪声较Tyy而言稍大.
2.2 加速度计安装位置偏差要求
理想情况下,每一个加速度计应沿其所在基线方向放置,每个加速度计到卫星质心的距离矢量 r =[rx ry rz]T中,仅有一个元素不为零.实际中,每个加速度计的安装位置均会存在一定的偏差,以致偏离自身所在基线方向,即对于其中某一个加速度计而言,r =[rx ry rz]T的矩阵中,有多个元素不为零.
2.2.1 差模安装位置偏差
差模位置偏差如图 5所示,现为两加速度计沿垂直于所在基线的方向上存在距离差,导致距离矢量 l =[lx ly lz]T中的多个元素不为零,从而影响重力梯度的测量.
![]() | 图 5 加速度计对差模安装位置偏差示意图(Y轴为例)Fig. 5 ElectromagneticDifference-mode position deviation of the accelerometer pair(Y-axis for instance) |
此时,根据(2)式,加速度计p与q沿所在基线方向的差模输出变为

将上式代入(3)式,则可得到差模安装位置偏差对梯度测量影响为

从上式可以看出,差模安装位置偏差会耦合卫星角加速度从而贡献梯度测量噪声.这里仅考虑其标定误差引入的梯度噪声,故上式在频域中可写为

| | 表 2 加速度计差模安装位置偏差的标定误差引入的梯度测量噪声(5 mHz处) Table 2 Gradient measurement noise caused by calibration error of the accelerometer difference-mode position deviation @5 mHz |
同样,Tyy与Tzz贡献的噪声较Txx稍大是由于卫星沿其翻滚轴(X轴)存在较大的角运动引起的(Rummel et al., 2011).
2.2.2 共模安装位置偏差
根据(1)式,当每对加速度计完全对称的放置在卫星质心两侧时,加速度计的共模输出即征了卫星所受到的大气阻力、太阳光压等外界非保守力的大小,即

实际中安装偏差导致每对加速度计的放置位置并不完全对称,即rp≠-rq.此时加速度计的共模输出写为

其中等式右边第一项为待测的非保守力信号,后一项为共模位置偏差 d 引入的共模加速度测量误差,(r p+ r q)/2= d =[dx,dy,dz]T=OscOEGG 即为共模位置偏差,征了每对加速度计的中心即梯度仪中心与卫星质心的偏差,如图 6所示.
![]() | 图 6 梯度仪中心与卫星质心偏差示意图Fig. 6 Center of mass offset of the gradiometer |
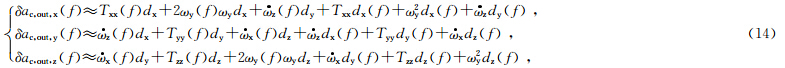
根据上式,质心偏差引入的三轴的共模加速度测量噪声矩阵可展开为

根据各梯度分量值与卫星角速度和角加速度的大小估计(ESA,2000;Rummel et al., 2011;Sechi et al., 2011),上式在频域中可化简为

对于飞行方向(卫星X轴)而言,由于受大气阻力影响较大,故该方向的共模输入用来指导无拖曳控制系统进而补偿卫星平台受到的非保守力.为了无拖曳水平评估不受影响,则要求在测量频带内,共模安装位置偏差(即质心偏差)引入的扰动线加速度至少需小于无拖曳控制之后的残余线加速度水平,即1×10-9m/s2/Hz1/2(Sechi et al., 2011).对角梯度分量Txx≈Tyy≈-1370E(ESA,2000),Tzz≈2Tyy≈-2740E(ESA,2000),在测量频带内对角梯度分量的谱密度Txx(f)≈Tyy(f)≈Tzz(f)≈1E/Hz1/2 (ESA,2000;Rummel et al., 2011),卫星Y轴存在较大的公转角频率ωy=1.17×10-3 rad/s(Sechi et al., 2011),角速度的谱密度ωy(f)可控制在1×10-6 rad/s/Hz1/2以下(Rummel et al., 2011),卫星X轴与Z轴的角加速度较小,分别约为1.1×10-5 rad/s2与1.5×10-6 rad/s2,如图 3b所示.由此,根据(14)式中的第一式,若误差按等权分配,则要求X与Y方向的质心偏差dx与dy分别小于20 cm与5 cm,质心偏差稳定度dx(f)与dy(f)分别优于0.2 mm/Hz1/2与0.3 mm/Hz1/2,见表 3的第二行.
同理,对于垂直于轨道平面方向(卫星Y轴)而言,若要求质心偏差引入的共模加速度噪声在测量频带内小于该方向的非保守加速度大小1×10-7 m/s2/Hz1/2(祝竺和周泽兵,2012),则对三个方向的质心偏差非常宽松,可忽略,三个方向的质心偏差稳定度分别优于30 mm/Hz1/2、33 mm/Hz1/2与4 mm/Hz1/2,见3的第三行;对于地心径向方向(卫星Z轴)而言,若要求质心偏差引入的共模加速度噪声小于该方向的非保守加速度大小2×10-8 m/s2/Hz1/2(祝竺和周泽兵,2012),则要求Y方向质心偏差小于10 cm(其他两方向要求非常宽松,可忽略),三个方向的质心偏差稳定度分别优于0.9 mm/Hz1/2、4 mm/Hz1/2与2 mm/Hz1/2,见表 3的最后一行.
| | 表 3 梯度仪中心与卫星质心偏差需求 Table 3 Requirements of the gradiometer center of mass offset |
综上所述,卫星重力梯度测量模式要求梯度仪与卫星质心的安装偏差仅仅控制在cm量级,质心偏差的稳定度达到0.2 mm/Hz1/2以内即可.
2.3 小 结
综上所述,当共模与差模安装重合度的标定误差分别为10-5 rad与5×10-6 rad,差模位置偏差的标定误差为10 μm时,结合GOCE在轨实测的共模与差模加速度数据,由各项安装参数的标定误差引入的梯度测量总噪声在5 mHz与0.1 Hz处分别小于3 mE/Hz1/2与0.1 mE/Hz1/2,如图 7所示.同时,卫星重力梯度测量对梯度仪与卫星质心的偏差要求较为宽松.
![]() | 图 7 加速度计安装参数的标定误差引入的梯度测量噪声Fig. 7 The gradient measurement noise caused by the calibration error of the accelerometer mounting parameters |
3.1 本文详细讨论了加速度计的安装重合度与安装位置偏差对梯度测量的影响,对这些安装参数的标定精度提出了指标需求,以保证梯度测量的精度.结果明,若将加速度计的安装偏差引入的梯度测量噪声控制在1~3 mE/Hz1/2以内,则要求共模与差模安装重合度的标定误差需分别小于10-5 rad与5×10-6 rad,差模位置偏差的标定误差小于10 μm.同时,不同于卫卫跟踪模式的重力卫星,卫星重力梯度测量模式对有效载荷重力梯度仪的质心安装要求较为宽松,仅要求梯度仪中心与卫星质心的安装偏差控制在cm量级即可,质心偏差的稳定度优于0.2 mm/Hz1/2.
3.2 从全文分析可以看出,卫星重力梯度测量对加速度计安装重合度以及差模位置偏差的标定精度提出了较高要求,未来需考虑合理的标定方案.对于GOCE卫星而言,由于每个加速度计距离卫星质心较远(50 cm),旋转引起的牵连加速度大,故采用推进器晃动卫星引入的牵连加速度作为校准输入源(Stummer et al., 2012),这一方法的前提是假定了在测量频段内的梯度信号足够弱.但GOCE卫星在轨提供的力源精度并不高,采用这一方法进行的在轨标定精度有限.因此,GOCE卫星最终校准参数还需借助外部标定来解决.对于高精度的在轨标定方案,未来还可考虑微推进器推力法与引力标定法,推力法要求推进器的推力大小和推力方向达到相应精度,引力法需要增加额外的引力源质量和移动机构,同时要求保证机构控制的可靠性.
致 谢 感谢德国慕尼黑工业大学易维勇博士和C.Stummer博士与作者的讨论和给予的帮助.| [1] | Cai L, Zhou Z B, Zhu Z. 2012. Spectral analysis for recovering the Earth's gravity potential by satellite gravity gradients [J]. Chinese Journal of Geophysics (in Chinese), 55 (5): 1565-1571. |
| [2] | Drinkwater M R, Floberghagen R, Haagmans R, et al. 2003. GOCE: ESA's first Earth explorer core mission[J]. Space Sciences Series of ISSI, 17: 419-432. |
| [3] | Drinkwater M R, Kern M. 2006. GOCE Calibration & validation plan for L1b data products (EOP-SM/1363/MD-md, Issue: 1.2)[R]. Noordwijk: ESA Publications Division, 6-33. |
| [4] | Drinkwater M R, Haagmans R, Muzi D, et al. 2007. The GOCE gravity mission: ESA's first core Earth explorer[A].//proceedings of the 3rd International GOCE User Workshop[C]. Frascati, Italy: ESA Special Publication, 1-8. |
| [5] | ESA. 1999. The four candidate Earth explorer core missions-gravity field and steady-state ocean circulation mission (ESA SP-1233(1))[R]. Noordwijk: ESA Publications Division, 5-197. |
| [6] | ESA. 2000. GOCE mission requirements document (GO-RS-ESA-SY-0001, Issue: 2)[R]. Noordwijk: ESA Publications Division, 5-16. |
| [7] | ESA. 2006. GOCE L1b products user handbook. (GOCE-GSEG-EOPG-TN-06-0137, Issue 2, Revision 0)[R]. Noordwijk Netherlands: ESA Publications Division, 4-89. |
| [8] | Rummel R, Yi W Y, Stummer C. 2011. GOCE gravitational gradiometry[J]. Journal of Geodesy, 85(11): 777-790. |
| [9] | Sechi G, Buonocore M, Cometto F, et al. 2011. In-Flight Results from the Drag-Free and Attitude Control of GOCE Satellite[A].//Proceedings of 18th International Federation of Automatic Control (IFAC) World Congress[C]. Milano, Italy: Università Cattolica del Sacro Cuore, 733-740. |
| [10] | Silvestrin P. 2005. Control and navigation aspects of the new Earth observation missions of the European Space Agency[J]. Annual Reviews in Control, 29(2): 247-260. |
| [11] | Stummer C, Siemes C, Pail R, et al. 2012. Upgrade of the GOCE Level 1b gradiometer processor[J]. Advances in Space Research, 49(4): 739-752. |
| [12] | Zhang R W. 1998. Satellite orbit and attitude dynamics and control (in Chinese)[M]. Beijing: Beihang University Press, 141-143. |
| [13] | Zhu Z, Zhou Z B. 2012. Analysis of accelerometer performance parameters for satellite gravity Gradiometry[J]. Journal of Geodesy and Geodynamics (in Chinese), 32(5): 148-153. |
| [14] | 蔡林, 周泽兵, 祝竺,等. 2012. 卫星重力梯度恢复地球重力场的频谱分析[J]. 地球物理学报, 55(5): 1565-1571. |
| [15] | 章仁为. 1998. 卫星轨道姿态动力学与控制[M]. 北京: 北京航空航天大学出版社, 141-143. |
| [16] | 祝竺, 周泽兵. 2012. 用于卫星重力梯度测量的加速度计性能参数分析[J]. 大地测量与地球动力学, 32(5): 148-153.. |
2015, Vol. 30








