2. 海相储层演化与油气富集机理教育部重点实验室, 中国地质大学, 北京 100083;
3. 页岩气资源战略评价国土资源部重点实验室, 中国地质大学, 北京 100083;
4. 成都理工大学"油气藏地质及开发工程"国家重点实验室, 成都 610059;
5. 北京大学 地球与空间科学学院, 北京 100871;
6. 中海石油(中国)有限公司深圳分公司研究院, 广州 510240;
7. 中国石油大学(华东) 石油工程学院, 青岛 257061
2. Key Laboratory for Marine Reservoir Evolution and Hydrocarbon Abundance Mechanism, Ministry of Education, China University of Geosciences, Beijing 100083, China;
3. Key Laboratory for Shale Gas Exploitation and Assessment, Ministry of Land and Resources, China University of Geosciences, Beijing 100083, China;
4. State Key Laboratory of Oil and Gas Reservoir Geology and Exploration, CDUT, Chengdu 610059, China;
5. Peking University, School of Earth and Space Sciences, Beijing 100871, China;
6. Shenzhen Branch Institute of China National Offshore Oil Corp, Guangzhou 510240, China;
7. College of Petroleum engineering college, China University of Petroleum(east China), Qingdao 257061, China
陆上及海洋深层岩石储层是未来油气勘探、开发的重要转向区(刘光鼎,2002;张抗,2012;滕吉文和刘有山,2013;吴志强等,2013),其破裂特征研究对岩石微观裂缝、宏观断裂、岩体挖掘、工程安全、地下储气库及岩体稳定性等方面(Wei and An and ,2008;滕吉文等,2008;彭建兵等,2008;Bobko et al., 2011;余伟健等,2013)都具一定参考价值.但岩石不像金属,其内部通常包含随机导向及大小不等的各向异性及非均质性(Nejati and Ghazvinian, 2013),这就造成不同类型或条件下岩石破裂特征的差别.基于这类原因部分学者提出多种预测岩石破裂变化的线性及非线性强度准则方程(Hoek et al., 2005;Al-Ajmi and Zimmerman, 2005;Colmenares and Zoback, 2009).这些方程往往只对某些特定种类岩石有效,因此对于不同类型岩石,只有正确认识各准则方程在其中的适用性才能最终获得较高评价精度(Anderson and Grew, 1977).
![]() | 图 1 岩石σ1-σ3值典型分布样式Fig. 1 Typical σ1-σ3 distribution patterns of rock |
本文探讨了5种常用线性及非线性破裂准则方程在深层岩石(砂岩、页岩及硬石膏泥岩)中的力学强度响应变化及预测精度,同时对所定义精度参数与岩石内部组分、脆度及蠕变性等的关系进行了分析,希望能为下一步研究提供参考. 1 样品及试验方案
所取样品均为完整样(表 1),岩性包括:致密砂岩、页岩及硬石膏泥岩.志留系砂岩(A1~A5)主要为岩屑石英砂岩及长石岩屑砂岩;三叠系砂岩(B1~B6)主要为细-极细砂岩、岩屑石英砂岩及杂砂岩;三叠系黑色页岩(X1~X4)主要成分为泥质,此外还含有少量炭屑、石英及云母;古近系硬石膏泥岩(Y1~Y7)主要成分为硬石膏和泥质,此外还含有少量石英、炭屑、白云石、氧化铁及锆石.砂、泥岩是陆相油气藏最常见储盖组合,页岩既可以作为烃源岩也可以作为储层,而硬石膏在地层中分布广泛且往往与大型油气田的存在密切相关.使用MTS测试仪器开展单、三轴测试,试验方案:单轴以3.6×10-3/s轴向应变率加载至试样破坏;三轴测试先以0.05 MPa/s加载围压至一定值,以0.2 MPa/s加载孔压至10 MPa保持恒定,然后加载围压至设定值后以3.6×10-3/s轴向应变率加载轴压直至试样破坏,试验结束.
| | 表 1 测试样品基本参数及实验条件 Table 1 Basic parameters of tested samples and the test condition |
2.1 σ1-σ3分布样式及划分
本文试验属常规力学测试,σ2=σ3,忽略中间应力,采用线性Mohr-Coulomb(式1)方程及非线性Hoek-Brown、Bieniawski、Ramamurthy及Sheorey方程(分别对应2~5式)分别进行评估.这4种非线性准则在岩石力学评价中最为常用,在以往文献中多有评述(Anderson and Grew, 1977;Al-Ajmi and Zimmerman, 2005;Hoek et al., 2005;Colmenares and Zoback, 2009).


虽然所取岩样表观完整,但内部微组分、结构差异及可能存在的微裂缝会造成各级围压下σ1-σ3不同样式.通过对22组σ1-σ3实测值进行统计,发现主要存在4种样式:
(1)图 1-A3,σ1随σ3增加呈连续上凸趋势,各非线性准则预测线近乎重叠,其预测效果明显好于线性准则;
(2)图 1-B5,σ1呈连续上凹趋势,Sheorey准则预测效果最好;
(3)图 1-A5,σ1-σ3变化相对离散,非线性准则预测线上凸,与线性准则预测线不重叠;
(4)该类也属离散型,如图 1-Y7,数据整体变化幅度较陡,但部分非线性准则线预测结果近乎线性. 2.2 不同岩性σ1-σ3分布样式及讨论
浅层岩石往往呈现脆性,而深层岩石在地层水及高应力环境下,往往呈现韧性(Gardner et al., 1974;王红才等,2012),因而该类岩样σ1-σ3样式一般表现为非线性变化特征.考虑岩性对不同类型岩石σ1-σ3分布样式进行统计,结果见表 2.
对样品进行显微镜下观察,发现①类岩样内部非连续结构如微裂缝不发育,如图 2a中该岩屑砂岩内部颗粒排列紧密,多为线-凹凸接触.同时对比志留系砂岩及三叠系砂岩中①类型所占比重(表 2),可以看出该比重在志留系砂岩中更高,这与该砂岩埋深更大、经历了更复杂成岩作用有关.从表 2还可以看出,硬石膏泥岩中①类也占有较大比重,该类岩石具有蠕变性,镜下观察硬石膏及泥质多呈流纹状、分散态或小透镜体状相互交织在一起,微裂缝不发育.
![]() | 图 2 不同类型岩石显微图片(a)细-中粒长石岩屑砂岩,碎屑以石英为主,填隙物为方解石,可见连生式和粒状胶结,均匀分布于部分粒间孔内.偶见硅质呈石英加大边,碎屑线-点接触;(b)不等粒岩屑杂砂岩,粗中砂与粉砂构成“双峰态结构”,岩屑分选差,磨圆差,泥质杂基胶结;(c)黑色页岩中斑块状泥屑;(d)黑色页岩中炭屑及不规则纹层;(e)页岩中水平层理及裂缝;(f)页岩中溶缝被石 英及泥质充填.Fig. 2 Typical Micrographs of different kinds of rock |
| | 表 2 不同类型岩石中各型式所占比重 Table 2 Proportion of each type in different rocks |
② 类在致密砂岩及页岩中均有分布,而在硬石膏泥岩中没有分布,分析原因可能与岩石内部组分强非均质性有关.对于志留系砂岩,该类型主要分布在分选磨圆较差的中粗粒岩屑砂岩中,而细粒及泥砾岩屑砂岩中无分布(图 2a);对于三叠系砂岩,该类型主要分布在分选差的岩屑砂岩及具“双峰态结构”的杂砂岩(图 2b)中,而分选好的岩屑砂岩、石英砂岩及粉砂岩中没有分布.对于该类型页岩,镜下常见不均匀分布的泥屑(图 2c)、方解石晶体、炭屑及不规则纹层(图 2d),这些岩石内部组分非均质性造成岩石力学性能的差异.
类型③和④为离散型,两者相类似,只不过④比③变化趋势更陡.镜下观察发现此类岩石内部通常发育微裂缝,特别是页岩,由于具有一定脆性且含层理、炭屑、裂缝(图 2e)及溶缝(图 2f),力学性能偏向④型表观.硬石膏泥岩离散性主要由硬石膏和泥质分布关系决定,当2者为层状接触时,接触面为弱面(姜德义等,2012),易产生滑脱及微裂缝. 3 方程预测精度对比及应用
3.1 不同类型岩石C0预测结果对比
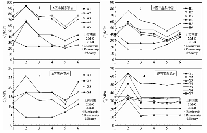
方程1~5均能对岩石C0进行预测,图 3为各类岩石C0预测结果.对于图中志留系砂岩,A2、A3及A4是一种型式,特征为:Bieniawsi、H-B及Sheory准则预测值与实测值极为接近(近乎在一条水平线上),M-C准则预测值偏高而Ramamurty准则预测结果偏低,该类型对应图 1中①类;A4呈上凹状,Sheory准则预测效果较好,对应图 1中②类;A5起伏较大,对应图 1中离散型.
![]() | 图 3 不同类型岩石C0预测结果统计图Fig. 3 Statistic figures of predicted C0 of different rock type |
对于三叠系砂岩,B3和B6为①类;B1和B2中Bieniawsi、H-B及Sheory准则预测值与实测值并不在一条直线上,因此对应离散型;B4和B5呈上凹状,对应②类.
对于三叠系页岩,从图中可以清晰看出X1和X2对应离散型;X3对应①类;X4对应②类.古近系硬石膏泥岩C0曲线变化相对简单,4种非线性准则预测效果相差不大,线性M-C准则处上凸,表明非线性准则预测效果较好.
整体来看,4类岩石C0预测中,均为非线性准则预测效果较好.对于砂岩和页岩来说,Sheory、Bieniawsi及H-B准则预测效果较好;对于具蠕变性的硬石膏泥岩来说,4种非线性准则预测效果相差不大.
3.2 不同类型岩石σ1预测结果对比
采用统计的方法区分岩性对各类岩石σ1整体进行精度评估,采用AAE、RMSE、MAE及R2四个指标.R为相关系数,范围0~1;AAE和RMSE分别为绝对平均误差和均方根误差,其值越小预测精度越高;MAE为最大绝对误差.统计结果见图 4,从AAE及RMSE来看,志留系砂岩及三叠系砂岩Sheory准则预测效果最好;而对于三叠系页岩,从AAE来看Sheory准则预测效果最好,而从RMSE来看Bieniawsi及Hoek-Brown准则预测效果最好,这就出现了评价的不协调性,该情况主要是由于数据的离散产生较高的MAE值(图 4)造成的.同时研究中发现较大的MAE值有时也会造成R2与RMSE出现不对应,如在M-C拟合中(硬石膏泥岩)Y4组:RMSE=20.75;R2=0.950,Y5组:RMSE=22.35;R2=0.955.这是因为Y4MAE=17MPa,Y5MAE=26.2 MPa,但这种情况一般发生在σ1-σ3不连续变化的情况下.古近系硬石膏泥岩采用Bieniawsi、H-B及Sheory准则预测结果差别不大;3类岩石采用M-C线性准则预测结果都是最差的.
![]() | 图 4 σ1预测结果统计图预测结果统计图Fig. 4 Statistical figures of σ′ 1 predicted results |
上述σ1预测效果评价指标有时存在冲突,而COV在一定程度上可以将预测精度进行放大.σ1的变异系数COV按(6~7)式进行定义:

仅区分岩性时对σ1整体COV求算结果见表 3,下划线值对应预测效果最好的准则,该分析结果与前面评价结果相一致.
| | 表 3 不同类型岩石整体COV计算结果 Table 3 Calculation of the overall COV of different rock type |
对于COV的放大性,作预测岩石强度最好的准则与其它准则的AAE、RMSE及COV值倍数关系(图 5),比值大于1代表前面准则预测效果好于后面准则,反之代表后面准则预测效果更好.从图 5志留系砂岩来看,4组比值全部大于1,表明评价结果均为Sheory准则预测效果最好;同时可以看出各组COV的倍数值均大于AAE及RMSE,表明该指标能对预测精度进行放大.观察图 5三叠系页岩,首先可以看出前3组AAE倍数大于1而RMSE倍数小于1,代表评价的不一致性,第4组的COV倍数均大于1.前3组COV倍数均大于AAE及RMSE倍数,但第4组COV倍数最小,这是因为从(7)式可以看出,COV主要考虑预测值相对实测值的相对变化或所占比重,而三叠系页岩单轴强度十分低,平均强度只有13.4 MPa,因而预测效果如相差5 MPa则其比重就为37%,最终造成COV倍数较低.对于强度较高的岩石或测试中划分的各级围压较多时,COV精度会相应提高.
![]() | 图 5 Sheorey准则与其它准则预测精度倍数关系对比Fig. 5 Comparison of the prediction accuracy ratio between sheory criterion and the other criterions |
作COV与岩石组分之间关系图(图 6),可以看出对于线性M-C准则,三叠系砂岩表现出随泥质含量增加COV精度降低;具蠕变性硬石膏泥岩表现出随硬石膏含量增加COV精度增加,这是由于线性准则精度不高造成的.三叠系砂岩采用Sheory准则预测效果最好,但从图 6中R值可以看出此时COV与组分间相关性并不好;而硬石膏泥岩采用非线性准则预测效果最好,其COV(图 6)较为离散,与组分间也不具相关性.因此岩石σ1-σ3变化离散性或COV精度与岩石内部组分含量无关,由于所取岩样表观均较完整,COV精度差别主要来自于岩石内部弱层理面或微裂缝,因此岩石内部弱层理面或微裂缝与组分含量及强度无关,与岩石内部微组分的分布及接触关系有关.该分析也表明选择适当破裂准则预测岩石三轴强度的必要性.
![]() | 图 6 σ1的COV对比Fig. 6 Comparison of σ1 COV |
COV与岩石脆度也有一定相关,岩石杨氏模量和泊松比可用来表征其脆度(刁海燕,2013),杨氏模量越高或泊松比越低,岩石脆度越大.研究中发现样品COV与三轴条件下岩石静态泊松比具一定对应性(图 7),而与杨氏模量相关性偏弱.对于图 7a砂岩,随着泊松比升高,岩石韧性特征逐渐加强,脆度逐渐降低,应力滞回特征逐步明显,σ1-σ3型式越来越接近塑变岩石,COV精度逐渐增加.
而观察图 7b发现蠕变性硬石膏泥岩COV值虽然较小,但随着泊松比的增加,COV精度逐渐降低,与上述砂岩正好相反.观察图 7c及7d可以看出泊松比的增加主要由硬石膏所贡献,说明蠕变主要发生在硬石膏中.这与测试中发现的样品偏应力(σ1-σ3)到达峰值前,高硬石膏含量样品环向应变延性段明显长于泥质含量高的样品相一致,代表硬石膏可发生比泥岩时间更长的蠕变.但硬石膏的体积应变明显小于泥质,研究区为冷盆,地壳活跃,地层倾角30°,压力系数略大于1,加上其上覆数千米岩层负载及应力分量,岩石处于非平衡态(Erarslan Williams,2012),蠕变中可产生巨大额外应力,根据该区同深度井段套管变形资料反算的挤压力表明额外应力可大于正常应力数倍.泥质在一定程度上由于体积应变较大能对岩石蠕变起到一定缓冲,因此随着硬石膏含量的增加,蠕变及应力环境逐渐变强,极容易在岩石内部或不同组分接触弱面上产生微裂缝,造成图 7b随着岩石泊松比增加,COV精度逐渐降低的现象.三叠系页岩在本文3类岩石中微裂缝最为发育(图 2e),而表 2显示该页岩中σ1-σ3离散型比例(③+④类)也是3类岩石中最高的,因此可以表征σ1-σ3离散度的COV与岩石微裂缝具有一定关联.
![]() | 图 7 泊松比与COV及组分含量关系图Fig. 7 Relationship between poisson’s ratio and COV and components |
以上主要按岩性对测试数据整体进行统计评价,对破裂准则合理选取及其与岩性间关系具一定参考.当考虑单个样品力学响应变化时,认为Sheory准则主要在σ1-σ3连续变化(即①②类)时占优势.以三叠系页岩为例,其①②类2组样品采用Sheory准则时COV精度最高,但属④类的另外2组页岩Ramamurty准则的COV精度最高(如图 8-X1),且②类通常只有Sheory准则预测效果最好.对于具流变性硬石膏泥岩及分选好的深层饱水砂岩,σ1-σ3往往表现出上凸且连续的应力滞回性,此时Bieniawski、H-B及Sheory准则预测均较好.对于硬石膏泥岩中的④类,发现线性M-C准则拟合效果较好,因而对于离散型σ1-σ3样式较为复杂,较高的拟合精度可能来源于线性或非线性准则.
![]() | 图 8 黑色页岩σ1-σ3分布样式Fig. 8 Distribution of σ1-σ3 of black shale |
完整岩样三轴测试数据中往往会出现一些σ1离散值,这些值代表岩石内部存在一些缺陷或裂缝,显然这些值的掺入对最终评价效果不利.Rousseeuw(1998)对离散值(O)进行了定义(式8、9).式中ê为标准化残差;ri为残差;median代表中位值,从而有效避免离散值的掺入.

Rousseeuw认为当ê≥2.5时测试值为离散值,以硬石膏泥岩中Y2组为例,作实测轴向应力σ1值与ê关系图(图 9).采用非线性准则时ê值均小于2.5,代表无离散值;而当采用线性M-C准则时,有1个点ê值大于2.5,为离散值.保存离散值利用M-C准则预测σ1时COV=0.8051;去掉离散值后COV=0.0694,COV精度提高11.6倍.本文所划分的有效围压级数较少,当面对级数较多复杂力学数据时,该方法优势更为明显.
![]() | 图 9 Y2组样品ê与σ1关系图Fig. 9 Relationship of ê and σ1 of Y2 sample |
(1)根据不同岩石σ1-σ3变化样式将其划分为:连续上凸型、连续上凹型及离散型,类型划分与岩石内部颗粒分布状态、接触形式、脆度及蠕变性有关,与组分含量无关.
(2)采用AAE、RMSE及COV等指标对各准则条件下岩石C0及σ1预测精度进行对比,表明:AAE、RMSE及R2之间有时会因有较大MAE值而发生不对应;COV能使精度放大;岩石C0预测效果与σ1-σ3变化样式具有较好对应关系;对于σ1的预测,当σ1-σ3为连续上凸样式时,一般Sheory、Bieniawski及H-B准则预测效果较好;当为连续上凹样式时,Sheory准则预测效果最好;当为离散样式时,较高的精度可能来源于线性准则或非线性准则.对于C0的预测,非线性Sheory、Bieniawski及H-B准则预测效果较好.
(3)对σ1离散值进行了定义,按文中方法去除离散值后能显著提高预测精度.该方法适用于室内完整岩样,不适用于野外非连续地质岩体.
致 谢 感谢审稿专家和编辑部老师所付出的辛勤劳动!| [1] | Al-Ajmi M A, Zimmerman W R. 2005. Relation between the Mogi and the Coulomb failure criteria[J]. International Journal of Rock Mechanics and Mining Sciences, 42(3): 431-439. |
| [2] | Anderson O L, Grew P C. 1977. Stress corrosion theory of crack propagation with applications to geophysics[J]. Reviews of Geophysics, 15(1): 77-104. |
| [3] | Bobko C P, Gathier B, Alberto Ortega J, et al. 2011. The nanogranular origin of friction and cohesion in shale-A strength homogenization approach to interpretation of nanoindentation results[J]. Int. J. Numer. Anal. Meth. Geomech., 35(17): 1854-1876. |
| [4] | Colmenares L B, Zoback M D. 2002. A statistical evaluation of intact rock failure criteria constrained by polyaxial test data for five different rocks[J]. International Journal of Rock Mechanics and Mining Sciences, 39(6): 695-729. |
| [5] | Diao H Y. 2013. Rock mechanical properties and brittleness evaluation of shale reservoir[J]. Acta Petrologica Sinica (in Chinese), 29(9): 3300-3306. |
| [6] | Erarslan N, Williams D J. 2012. Mechanism of rock fatigue damage in terms of fracturing modes[J]. International Journal of Fatigue, 43: 76-89. |
| [7] | Gardner G H F, Gardner L W, Gregory A R. 1974. Formation velocity and density; the diagnostic basics for stratigraphic traps[J]. Geophysics, 39(6): 770-778. |
| [8] | Hoek E, Marinos P G, Marinos V P. 2005. Characterisation and engineering properties of tectonically undisturbed but lithologically varied sedimentary rock masses[J]. International Journal of Rock Mechanics and Mining Sciences, 42(2): 277-285. |
| [9] | Jiang D Y, Ren T, Chen J, et al. 2012. Experimental study of mechanical characteristics of molded salt rock with weak interlayer[J]. Chinese Journal of Rock Mechanics and Engineering (in Chinese), 31(9): 1797-1803. |
| [10] | Liu G D. 2002. Review and prospect-21st century solid geophysics[J]. Progress in Geophysics (in Chinese), 17(2): 191-197. |
| [11] | Nejati H R, Ghazvinian A. 2013. Brittleness effect on rock fatigue damage evolution[J]. Rock Mech. Rock Eng., 24(47): 1839-1848. |
| [12] | Peng J B, Chen L W, Huang Q B, et al. 2008. Large-scale physical simulative experiment on ground-fissure expansion mechanism[J]. Chinese Journal of Geophysics (in Chinese), 51(6): 1826-1834. |
| [13] | Rousseeuw P J. 1998. Robust estimation and identifying outliers[A]. //Wadsworth H M, ed. Handbook of statistical methods for engineers and scientists[M]. New York: McGraw-Hill, 238-243. |
| [14] | Teng J W, Wang F Y, Zhao W Z, et al. 2008. Velocity distribution of upper crust, undulation of sedimentary formation and crystalline basement beneath the Ordos basin in North China[J]. Chinese Journal of Geophysics (in Chinese), 51(6): 1753-1764. |
| [15] | Teng J W, Liu Y S. 2013. Analysis of distribution, storage potential and prospect for shale oil and gas in China[J]. Progress in Geophysics (in Chinese), 28(3): 1083-1104, doi: 10.6038/pg20130301. |
| [16] | Wang H C, Zhao W H, Sun D S, et al. 2012. Mohr-Coulomb yield criterion in rock plastic mechanics[J]. Chinese Journal of Geophysics (in Chinese), 55(12): 4231-4237, doi: 10.6038/j.issn.0001-5733.2012.12.034. |
| [17] | Wei Y J, Anand L. 2008. On micro-cracking, inelastic dilatancy, and the brittle-ductile transition in compact rocks: A micro-mechanical study[J]. International Journal of Solids and Structures, 45(10): 2785-2798. |
| [18] | Wu Z Q, Yan G J, Tong S Y, et al. 2013. New advances in marine seismic data acquisition technology and enlightenment to domestic offshore petroleum seismic exploration[J]. Progress in Geophysics (in Chinese), 28(6): 3056-3065, doi: 10.6038/pg20130629. |
| [19] | Yu W J, Gao Q, Jin X Q, et al. 2013. Field investigation and mechanics characteristics analysis of deep rock mass affected by fault structure[J]. Progress in Geophysics (in Chinese), 28(1): 488-497, doi: 10.6038/pg20130156. |
| [20] | Zhang K. 2012. Strategic replacement situation and outlook of China oil-gas production area[J]. Petroleum Exploration and Development (in Chinese), 39(5): 513-521. |
| [21] | 刁海燕. 2013. 泥页岩储层岩石力学特性及脆性评价[J]. 岩石学报, 29(9): 3300-3306. |
| [22] | 姜德义, 任涛, 陈结,等. 2012. 含软弱夹层盐岩型盐力学特性试验研究[J]. 岩石力学与工程学报, 31(9): 1797-1803. |
| [23] | 刘光鼎. 2002. 回顾与展望21世纪的固体地球物理[J]. 地球物理学进展, 17(2): 191-197. |
| [24] | 彭建兵, 陈立伟, 黄强兵,等. 2008. 地裂缝破裂扩展的大型物理模拟试验研究[J]. 地球物理学报, 51(6): 1826-1834. |
| [25] | 滕吉文, 王夫运, 赵文智,等. 2008. 鄂尔多斯盆地上地壳速度分布与沉积建造和结晶基底起伏的构造研究[J]. 地球物理学报, 51(6): 1753-1764. |
| [26] | 滕吉文, 刘有山. 2013. 中国油气页岩分布与存储潜能和前景分析[J]. 地球物理学进展, 28(3): 1083-1104, doi: 10.6038/pg20130301. |
| [27] | 王红才, 赵卫华, 孙东生,等. 2012. 岩石塑性变形条件下的MohrCoulomb屈服准则[J]. 地球物理学报, 55(12): 4231-4237, doi: 10.6038/j.issn.00015733.2012.12.034. |
| [28] | 吴志强, 闫桂京, 童思友,等. 2013. 海洋地震采集技术新进展及对我国海洋油气地震勘探的启示[J]. 地球物理学进展, 28(6): 3056-3065, doi: 10.6038/pg20130629. |
| [29] | 余伟健, 高谦, 靳学奇,等. 2013. 受断层构造影响的深部岩体现场调查及力学特征分析[J]. 地球物理学进展, 28(1): 488-497, doi: 10.6038/pg20130156. |
| [30] | 张抗. 2012. 中国油气产区战略接替形势与展望[J]. 石油勘探与开发, 39(5): 513-521. |
2014, Vol. 29










