2. 中国石油大学(北京)理学院, 北京 102249
2. College of Science, China University of Petroleum(Beijing), Beijing 102200, China
时频分解技术是将一维信号分解为二维时频平面.地震信号由于其非平稳性,地下构造在不同频带范围显现出不同特征.在地球物理学领域,时频分析技术经常被用在地震数据解释和处理领域.时频分解技术是将一维信号分解为二维时频平面(Partyka et al., 1999).地震信号由于其非平稳性,地下构造在不同频带范围显现出不同特征.在地球物理学领域,时频分析技术经常被用在地震数据解释和处理领域.短时傅里叶变换常被应用于河道与沙体的识别及其薄层预测等方面(Partyka et al., 1999); Chakraborty和OKaya(1995)比较了短时傅里叶变换和小波变换方法,结果表明,小波变换在高频具有较高的频率分辨率,在低频具有较高的时间分辨率; Sinha等(2005)提出了另一种实现连续小波变换的方法,获得了信号的时频特征;Castagna等(2003)将匹配追踪算法应用于储层预测领域;Wang(2007,2010)利用Morlet小波为匹配的原子核,在匹配追踪原理下,对地震信号进行了频谱分析;袁艳华等(2013)实现了最小二乘匹配算法;武国宁等(2012a,2012b)实现了基于复数地震道的匹配追踪算法.概况起来讲,时频分析方法主要有:短时傅里叶变换、小波变换和匹配追踪算法.这些时频分析方法均受窗函数的影响(海森堡原理).如果想提高时间分辨率,不得不牺牲频率分辨率;反之亦然.1 算法原理
要提高时频分析的精度,需要重新考虑傅里叶分析的原理.傅里叶分析是在基函数空间中求信号的傅里叶系数,基函数为正弦和余弦波,在周期内基函数是正交的.所求的傅里叶系数为信号在基函数空间的最佳逼近系数 .即,所求解的傅里叶系数

满足:
为了更好的获得信号的瞬时频谱特征,人们在不断探讨新的时频分析方法.Vanìček(1969)提出了通过迭代方法,在最小二乘约束下求取信号的傅里叶系数; Xu等(2005)分析了频谱分析中存在的泄频及其相应的解决方法; Liu等(2013),刘国昌等(2013)利用正则化方法获得了信号的瞬时时频特征.Puryear等(2012)提出了最小二乘约束下的谱分解方法.本质上说,以上方法都是在不同方法下求取信号的傅里叶系数.
本文的方法,是在前人工作的基础上,求傅里叶系数的另一种途径: 约束最小二乘方法(LSCM).
首先可将正问题表述为


k}作为信号在t0时刻的频谱.移动窗函数到下一个时刻t1,继续上述方法,可获得信号在t1时刻的频谱.重复以上步骤可得到信号的时频剖面.
上述问题的求解可表述为一个最小二乘问题:





下面我们采用上述方法来分析信号的频谱特征. 2 合成信号分析
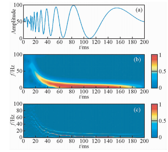
图 1a为一道人工合成信号,频率分别为20 Hz、50 Hz的单频信号.分别采用短时傅里叶变换和约束最小二乘的方法进行分析,得到图 1b和图 1c.比较可知,约束最小二乘时频分析方法具有较高的时频分析精度,能够较准确地刻画信号的频谱特征.图 2a为Doppler信号,该信号的频率随时间变化而变化.分别采用短时傅里叶变换和约束最小二乘时频分析方法进行分析,得到图 2b和图 2c.比较可知,本文提出的方法具有较高的时频分析精度.能够较好的识别频率中心.
![]() | 图 1(a)人工合成信号;(b)短时傅里叶变换时频图;(c)约束最小二乘时频图. Fig. 1(a)A synthetic signal;(b)Time-frequency map of STFT;(c)Time-frequency map of LSCM |
![]() | 图 2(a)人工合成信号;(b)短时傅里叶变换时频图;(c)约束最小二乘时频图. Fig. 2(a)A synthetic signal;(b)Time-frequency map of STFT;(c)Time-frequency map of LSCM |
图 3为一道人工合成记录时频分析的比较.我们选择了STFT与约束最小二乘时频分析方法进行比较.(a)表示该合成地震道的生成过程,第五道为前四道的叠加;(b)为合成地震记录的STFT时频剖面;(c)为约束最小二乘时频剖面.第一个小波形为一个40 Hz雷克子波.比较时频分布图我们可以看出,约束最小二乘方法具有较高的时间和频率分辨率,STFT时频聚焦性较差.第二个小波形为一个40 Hz雷克子波与一个10 Hz雷克子波的叠加.比较得知:STFT能够识别10 Hz低频部分,对于40 Hz部分识别不是很清楚;约束最小二乘时频分析方法无论在低频还是高频,都能够较为准确地识别出信号的频谱.STFT由于受到窗函数的影响,时频聚焦性较差.第三、四个波形,分别为两个薄层的反射.前者为两个20 Hz雷克子波的叠加,后者为两个20 Hz和30 Hz雷克子波的叠加.对于薄层,STFT如果想获得较高的时间分辨率,不得不牺牲频率分辨率,反之亦然.比较两者得知:约束最小二乘方法的时间分辨率和频率分辨率都好于前者.特别是,该方法在高频能识别出薄层的位置,同时该方法具有较高的频带范围.最后一个波形为三个30 Hz雷克子波的叠加.与STFT相比较,约束最小二乘方法具有较高的频带范围,在高频能识别出薄层的位置.
综合以上讨论我们可以看出,无论是孤立的单层,还是相连的薄层,无论在低频还是在高频,约束最小二乘方法相对于STFT来讲,都取得了较高的精度.能够较为准确的刻画信号的频谱特征.
![]() | 图 3(a)人工合成单道记录;(b)短时傅里叶变换时频图;(d)约束最小二乘时频图. Fig. 3(a)A synthetic seismic signal;(b)Time-frequency map of STFT;(c)Time-frequency map of LSCM. |
地下介质由于其非完全弹性,地震波在传播过程中往往伴随有频散和衰减0-0.在油气聚集区域,往往伴随有高频能量衰减,低频能量相对加强,在地震剖面上将产生亮点.Catagna等(2003)利用匹配追踪算法对地震数据进行分频处理,很好的刻画出储层的位置和边界.Liu等(2013)利用局部谱方法对地震数据进行分频处理,较好地刻画了储层的位置和边界,同时识别出河道和沙体的展布.
为了更好的检验约束最小二乘方法的有效性,我们将此方法应用于储层预测方面. 图 4为某地地震剖面,蓝色圈定的区域为储层的位置. 该储层为含气储层. 抽取井旁道进行分析,见图 5,图 5a为井旁道地震记录,储层大约位于630~635 ms时间深度.比较STFT和约束最小二乘时频分析方法得知:STFT能够识别储层的位置,但是频率分辨率不如约束最小二乘方法.约束最小二乘方法具有较高的频带范围.
![]() | 图 4 某地地震剖面 Fig. 4 The seismic profile of somewhere |
![]() | 图 5 单道地震记录时频分析对比图(a)单道地震记录;(b)STFT时频图;(c)约束最小二乘方法时频图. Fig. 5 Comparisons of time-frequency maps of single trace(a)Single trace;(b)Time-frequency map of STFT;(c)Time-frequency map of LSCM. |
采用约束最小二乘方法对地震数据进行分频处理,得到图 6a~c的时频剖面.图 6a为25 Hz分频剖面,储层位置得到清楚成像,并且储层下方有许多阴影的存在.图 6b为45 Hz分频剖面,储层能够成像,储层下面的阴影有所减弱.图 6c为70 Hz分频剖面,储层及其阴影不再清楚.图 7a~c分别为STFT得到的25 Hz、45 Hz和70 Hz单频剖面.在较低频带范围内,储层能够清楚成像,但下方往往伴随有阴影存在(图 7a),随着频率的增加阴影逐渐减弱(图 7b),如果频率进一步提高,储层不再清楚成像(图 7c).对比约束最小二乘时频分析方法与STFT得到:约束最小二乘方法相对于STFT具有较好的时间和频率分辨率,能够较准确的刻画储层的位置(图中箭头所示).
![]() | 图 6 LSCM单频地震剖面(a)25 Hz;(b)45 Hz;(c)70 Hz. Fig. 6 Iso-frequency slices of CLSM(a)25 Hz;(b)45 Hz;(c)70 Hz. |
![]() | 图 7 STFT单频地震剖面(a)25 Hz;(b)45 Hz;(c)70 Hz. Fig. 7 Iso-frequency slices of STFT(a)25 Hz;(b)45 Hz;(c)70 Hz. |
反问题的求解受到非适定因素的影响,具有不稳定性特征.本文在最小二乘约束下,借助于整形正则化算子求取信号的频谱特征.理论和实际资料分析表明:该方法有效地解决了非适定因素的影响,获得了较高的频谱特征,提高了频谱分析的精度.本文采用了高斯函数作为整形光滑算子,不同的整形正则算子对结果的影响需要进一步研究.另外,该算法的速度相对于常规窗口傅里叶变换较慢,如何提高算法的速度也是一个需要研究的内容.
致 谢 感谢中国石油大学(北京)基础学科研究基金项目:NO.JCXK-2011-12;中国石油大学(北京)科研基金项目:NO.KYJJ2012-06-13的联合资助.| [1] | Bracewell R. 1986. The Fourier Transform and Its Applications[M]. McGraw Hill Publishing Company. |
| [2] | Castagna J P, Sun S, Siegfried R W. 2003. Instantaneous spectral analysis: Detection of low-frequency shadows associated with hydrocarbons[J]. The leading edge, 22(2): 120-127. |
| [3] | Chakraborty A, OKaya D. 1995. Frequency-time decomposition of seismic data using wavelet-based methods[J]. Geophysics, 60(6): 1906-1916. |
| [4] | Chen X H, He Z H, Huang D J, et al. 2009. Low frequency shadow detection of gas reservoirs in time-frequency domain[J]. Chinese J. Geophys. (in Chinese), 52(1): 215-221. |
| [5] | Ebrom D. 2004. The low-frequency gas shadow on seismic sections[J]. The Leading Edge, 23(8): 772. |
| [6] | Fomel S. 2007. Shaping regularization in geophysical estimation problems[J]. Geophysics, 72(2): R29-R36. |
| [7] | Gassmann F. 1951. Vber die Elastizität poröser Medien[J]. Vierteljahrsschrift der Naturforschenden Gesellschaft in Zürich, 96(3): 1-23. |
| [8] | Liu G C, Fomel S, Chen X H. 2011. Time-frequency analysis of seismic data using local attributes[J]. Geophysics, 76(6): P23-P34. |
| [9] | Liu G C, Chen X H, Song J W. 2013. Estimation of primaries and multiples by sparse inversion for OBS data with integration of streamer data[J]. Chinese J. Geophys. (in Chinese), 56(12): 4288-4296, doi: 10.6038/cjg20131231. |
| [10] | Mavko G, Nur A. 1979. Wave propagation in partially saturated rocks[J]. Geophysics, 44(3): 161-178. |
| [11] | Partyka G, Gridley J, Lopez J. 1999. Interpretational applications of spectral decomposition in reservoir characterization[J]. The Leading Edge, 18(3): 353-360. |
| [12] | Puryear C I, Portniaguine O N, Cobos C M, et al. 2012. Constrained least-squares spectral analysis: Application to seismic data[J]. Geophysics, 77(5): V143-V167. |
| [13] | Sinha S, Routh P S, Anno P D, et al. 2005. Spectral decomposition of seismic data with continuous-wavelet transform[J]. Geophysics, 70(6): P19-P25. |
| [14] | Tikhonov A N, Arsenin V Y. 1977. Solitions of Ill-Posed Problems[M]. V. H. Winston and Sons. |
| [15] | Vanìček P. 1969. Approximate spectral analysis by least-squares fit[J]. Astrophysics and Space Science, 4(4): 387-391. |
| [16] | Wang Y H. 2007. Seismic time-frequency spectral decomposition by matching pursuit[J]. Geophysics, 72(1): V13-V20. |
| [17] | Wang Y H. 2010. Multichannel matching pursuit for seismic trace decomposition[J]. Geophysics, 75(4): V61-V66. |
| [18] | Wu G N, Cao S Y, Liu J J. 2012a. Reassigned time-frequency decomposition and its application of hydrocarbon exploration[J]. Progress in Geophys. (in Chinese), 27(2): 0596-0602, doi: 10.6038/j.issn.1004-2903.2012.02.023. |
| [19] | Wu G N, Cao S Y, Sun N. 2012b. Matching pursuit method based on complex seismic traces and its application of hydrocarbon exploration[J]. Chinese J. Geophys. (in Chinese), 55(6): 2027-2034, doi: 10.6038/j.issn.0001-5733.2012.06.024. |
| [20] | Xu S, Zhang Y, Pham D, et al. 2005. Anti-leakage Fourier transform for seismic data regularization[J]. Geophysics, 70(4): V87-V95. |
| [21] | Yuan Y H, Wang Y B, Li Y K, et al. 2013. A non-dyadic curvelet transform based least-squares matching algorithm and its application[J]. Chinese J. Geophys. (in Chinese), 56(4): 1340-1349, doi: 10.6038/cjg20130428. |
| [22] | Zhang F C, Li C H. 2012. Orthogonal time-frequency atom based fast matching pursuit for seismic signal[J]. Chinese J. Geophys. (in Chinese), 55(1): 277-283, doi: 10.6038/j.issn.0001-5733.2012.01.027. |
| [23] | 陈学华, 贺振华, 黄德济,等. 2009. 时频域油气储层低频阴影检测[J]. 地球物理学报, 52(1): 215-221. |
| [24] | 刘国昌, 陈小宏, 宋家文. 2013. 基于稀疏反演的OBS数据多次波压制方法[J]. 地球物理学报, 56(12): 4288-4296, doi: 10.6038/cjg20131231. |
| [25] | 武国宁, 曹思远, 刘建军. 2012a. 谱图重排的谱分解理论及其在储层探测中的应用[J]. 地球物理学进展, 27(2): 596-602, doi: 10.6038/j.issn.1004-2903.2012.02.023. |
| [26] | 武国宁, 曹思远, 孙娜. 2012b. 基于复数地震记录的匹配追踪算法及其在储层预测中的应用[J]. 地球物理学报, 55(6): 2027-2034, doi: 10.6038/j.issn.0001-5733.2012.06.024. |
| [27] | 袁艳华, 王一博, 刘伊克,等. 2013. 基于非二次幂Curvelet变换的最小二乘匹配算法及其应用[J]. 地球物理学报, 56(4): 1340-1349, doi: 10.6038/cjg20130428. |
| [28] | 张繁昌, 李传辉. 2012. 基于正交时频原子的地震信号快速匹配追踪[J]. 地球物理学报, 55(1): 277-283, doi: 10.6038/j.issn.0001-5733.2012.01.027. |
2014, Vol. 29








