2. 清华大学水利水电工程系, 北京 100084
2. Tsinghua University, Beijing 100084, China
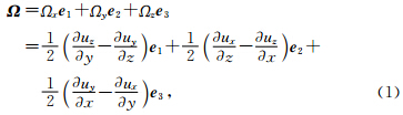
旋转地震学是用来研究由天然地震和人工地震引起的地面旋转运动的一个新兴领域.在经典地震学中(张伯军等,2010;杜世通,2008;Lee et al., 2009;Trifunac,2009),地震体波在介质中传播时质点发生的运动一般包括平移运动、旋转运动及体积形变.旋转地震波是由不对称应力和应变造成介质颗粒角度位移的旋转运动产生的,相对于平移运动,旋转运动同样存在三个分量.然而,在以往的地震观测中主要记录和研究平移运动的三个分量,这主要是因为旋转运动值太小,很难被观测到,其三个分量很少被提及.值得一提的是,要更加完整地对地震引起的地面运动和介质运动进行描述和分析,对旋转运动三个分量的观测和研究是不可或缺的,各种研究表明地震波的旋转运动能为我们提供更多更有用的信息(Mallet,1862;Reid,1910;Galitzin,1912;Trifunac,1982;Bouchon and Aki, 1982;Lee and Trifunac, 1987;Ferrari,2006).同时,大量的震害调查及地震工程理论(Kharin and Simonov, 1969)表明,地震动的旋转运动也会造成地震中建筑结构的扭转错位破坏,如2008年汶川地震中就有不同形式的扭转破坏现象(Droste and Teisseyre, 1976).扭转破坏使建筑结构的荷载功能和抗震能力大大下降,可能引起更大范围的灾害,因此地震地面运动旋转分量的研究对抗震安全意义重大.早在1862年,Mallet(Mallet,1862)提出地震波在不同入射角下出现的一系列不同震相会使地面物体产生旋转现象.Galitzin(1912)于1912年提出利用两个一样的摆安放在同一条轴的两端分别测量旋转运动和平移运动的设想,并成功地被应用于记录强地面运动.在1976年,Droste和Teisseyre(1976)运用不同方位角排列的观测方法获得了矿山岩爆产生的旋转地震震动图.随着对地震波旋转运动理论的进一步研究及更加精密仪器的出现,极大地推动了对不同介质中地震波旋转运动特性的研究.如1994年Nigbor(1994)在一次较大的爆炸中运用旋转传感器直接测量了旋转运动和平移运动的信号,并获得了大量有用的近地场旋转地震信息;同时在理论方面也有了一些突破,如地球科学研究者(Guéguen and Sarout, 2009;Pham et al., 2009; Pham et al., 2010)通过建立运动学模型,在弹性介质中运用线性弹性动力学理论分析了旋转地震的三分量,并提出了在颗粒状介质中,不对称的应力与应变会产生旋转运动,进而产生旋转地震波和扭转孤波(Majewski,2006);董兴朋等(2013)在点源模型的基础上,推导了近场地面旋转运动的计算公式,为大震引起的近场地面旋转运动提供了新的参考.近年来,由于Sagnac干涉法的广泛应用(Pancha et al., 2000)提高了观测旋转地震仪器的灵敏性,远震及小规模的局部地震中利用灵敏旋转传感器记录到了旋转运动的信号(Takeo,1998).
需要指出的是,到目前为止,对于地震波在不同介质中旋转运动的研究在国内鲜有报道.为了有效地描述波动场在不同各向异性介质的响应,本文在前人的基础上(Reid,1910;Trifunac,1982;Thomsen,1986;Lee and Trifunac, 1987;程玖兵等,2013),采用对称轴与z轴重合的TI介质模型,了解xoz面qP波、qSV波、qSH波在不同参数的TI介质中旋转运动速度的变化来探究旋转运动在不同介质中的运动特征.
1 TI介质地震波旋转速度
弹性体发生剪切形变时,在小角度转动情况下,其角位移矢量 Ω 为



(l1 e 1+l2 e 2+l3 e 3)为波数,其中ν为相速度,l 表示波传播方向单位矢量,x =x e 1+y e 2+z e 3为位置矢量;
n =n1 e 1+n2 e 2+n3 e 3,ni为方向余弦.
将式(3)代入式(2)得

为




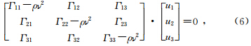
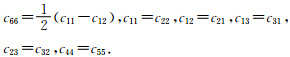
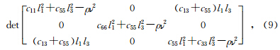
要使TI介质的Kelvin-Christoffel方程(6)有非零解,由本征值问题求解可知,其系数行列式为零,将式(7)代入方程(6),根据TI介质弹性系数矩阵中元素之间的关系及在xoz面l2=0可得



l =(l1,l2,l3)=(sinθcosφ,cosθsinφ,cosθ)
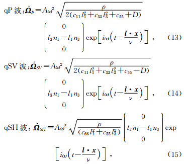
中方位角φ=0,则l1=sinθ、l3=cosθ、l2=0、n2=0, 故只需求出n1、n3即可,由方程(6)、式(9)与关系式 n1 n3 = u1 u3 及方向余弦关系n12+n32=1可得qP波、qSV波及qSH波在TI介质中偏振方向余弦n1、n3分别为
qP波、qSV波:

当l1l3(c11l12+c55l32-ρν2)<0时,s=1.

其中,当l1l3(c55l12+c33l32-ρν2)≥0时,s=-1;
当l1l3(c55l12+c33l32-ρν2)<0时,s=1.
则xoz面内二维旋转速度可以用传播方向与Z轴的夹角θ和弹性系数矩阵元素来表示:

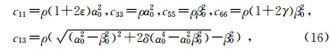
为了理论研究和实际应用的方便性,Thomsen在弱各向异性介质中根据波传播的相速度公式与广义胡克定律提出了一系列表征各向异性介质弹性性质的参数,包括P波和S波各自沿垂直方向传播的相速度α0和β0,及三个表示各向异性强度的无量纲系数ε,γ,δ(δ*),称为Thomsen参数.Thomsen参数能更加清楚方便地表示弹性介质的特征,故找出Thomsen参数与旋转速度的关系能更直观地看出旋转运动在不同介质中的变化.TI介质的弹性系数矩阵元素的Thomsen系数表征如下:

为了检验TI介质中地震波旋转速度公式的正确性和实用性及旋转运动与平移运动的区别,下面对TI介质中旋转速度与相速度进行数值计算.本文建立了尺寸为3000 m×3000 m的5个TI介质模型,这些模型的背景介质参数相同:纵波速度α0=3900m/s,横波速度β0=2000 m/s,密度ρ=2900 kg/m3,但其他的Thomsen参数是不同的,并设地震波的振幅A=10-5 m,周期为T=1s,以模型b为基准,模型a、c、d、e的ε、δ、γ是分别变化的(表 1).
|
|
表 1 模型Thomsen参数 Table 1 Thomsen parameter of model |
对于上述5个模型,我们分别计算了qP波、qSV波及qSH波在不同模型中的最大旋转速度及模型2的相速度.图 1为qP波在不同模型介质中的最大旋转速度和相速度,图 2为qSV波在不同模型介质中的最大旋转速度和相速度,图 3为qSH波在不同模型介质中的最大旋转速度和相速度,(a)为波在模型2的相速度,(b)为波在模型1的最大旋转速度,(c)为波在模型2的最大旋转速度,(d)为波在模型3的最大旋转速度,(e)为波在0.5模型4的最大旋转速度,(f)为波在模型5的最大旋转速度.
![]() |
图 1 TI介质qP波最大旋转速度及相速度 (a)为模型2中qP波相速度;(b)为模型1中qP波最大旋转速度;(c)为模型2中qP波最大旋转速度;(d)为模型3中qP波最大旋转速度;(e)为模型4中qP波最大旋转速度;(f)为模型5中qP波最大旋转速度. Fig. 1 The maximum peak rotational rate and phase velocity of qP wave in TI media (a)The phase velocity of qP wave in the second model;(b)The maximum peak rotational rate of qP wave in the first model;(c)The maximum peak rotational rate of qP wave in the second model;(d)The maximum peak rotational rate of qP wave in the third model;(e)The maximum peak rotational rate of qP wave in the forth model;(f)The maximum peak rotational rate of qP wave in the fifth model. |
![]() |
图 2 TI介质qSV波最大旋转速度及相速度 (a)为模型2中qSV波相速度;(b)为模型1中qSV波最大旋转速度;(c)为模型2中qSV波最大旋转速度;(d)为模型3中qSV波最大旋转速度;(e)为模型4中qSV波最大旋转速度;(f)为模型5中SV波最大旋转速度. Fig. 2 The maximum peak rotational rate and phase velocity of qSV wave in TI media (a)The phase velocity of qSV wave in the second model;(b)The maximum peak rotational rate of qSV wave in the first model;(c)The maximum peak rotational rate of qSV wave in the second model;(d)The maximum peak rotational rate of qSV wave in the third model;(e)The maximum peak rotational rate of qSV wave in the forth model;(f)The maximum peak rotational rate of qSV wave in the fifth model. |
![]() |
图 3 TI介质qSH波最大旋转速度及相速度 (a)为模型2中qSH波相速度;(b)为模型1中qSH波最大旋转速度;(c)为模型2中qSH波最大旋转速度;(d)为模型3中qSH波最大旋转速度;(e)为模型4中qSH波最大旋转速度;(f)为模型5中qSH波最大旋转速度. Fig. 3 The maximum peak rotational rate and phase velocity of qSH wave in TI media (a)The phase velocity of qSH wave in the second model;(b)The maximum peak rotational rate of qSH wave in the first model;(c)The maximum peak rotational rate of qSH wave in the second model;(d)The maximum peak rotational rate of qSH wave in the third model;(e)The maximum peak rotational rate of qSH wave in the forth model;(f)The maximum peak rotational rate of qSH wave in the fifth model. |
由图中可以看出,计算出来的地震波在TI介质中旋转速度的值与测量值是相符的,验证了公式的正确性及旋转运动的可测量性.由推导可知qP波和qSV波的旋转速度不受参数影响,qSH波旋转速度不受参数的影响,从图 1、图 2、图 3中(b)、(c)、(d)的对比及图(c)、(e)、(f)的对比可分别看出是qP波旋转速度随着ε、δ的增加逐渐增大的,qSV波旋转速度随着ε的增大而减小,δ随增大而增大,qSH波旋转速度随γ、δ的增加而增大,γ的影响更大.图 1、2、3中的相速度(a)与旋转速度(b)的对比可以发现,qP波和qSH波旋转速度即不是圆形也不是椭圆,相对于相速度更具有方向性,而qSV波旋转速度既有不规则图形也有椭圆,需要进一步探究.
4 认识与结论本文推导了地震运动中平移分量速度与旋转分量速度的关系,求取了TI介质中旋转运动的速度,并利用弱各向异性Thomsen系数表示TI介质中旋转速度来探讨旋转运动在不同TI介质中的变化及与平移运动的差异,通过理论分析和数值试例得出了以下结论:旋转运动可以被现在的仪器所观测,并得到有意义的数据,有利于我们对地震引起的地面运动进行更全面和更进一步的研究;相对于平移运动,旋转运动的信息更有方向性和各向异性,对观测和测量地震中的旋转分量提供了有用的信息.
| [1] | Bouchon M, Aki K. 1982. Strain, tilt, and rotation associated with strong ground motion in the vicinity of earthquake faults[J]. Bull. Seismol. Soc. Am., 72(5): 1717-1738. |
| [2] | Droste Z, Teisseyre R. 1976. Rotational and displacemental components of ground motion as deduced from data of the azimuth system of seismograph[J]. Publ. Inst. Geophys. Pol. Acad. Sci., 97: 157-167. |
| [3] | Ferrari G. 2006. Note on the historical rotation seismographs[A]. //Teisseyre R, Takeo M, Majewski E, eds. Earthquake Source Asymmetry, Structural Media and Rotation Effects[M]. Berlin, Heidelberg: Springer-Verlag, 367-376. |
| [4] | Galitzin B B. 1912. Lectures on Seismometry, Russian Acad. Sci., St. Petersburg (in Russian). |
| [5] | Guéguen Y, Sarout J. 2009. Crack-induced anisotropy in crustal rocks: predicted dry and fluid-saturated Thomsen's parameters[J]. Physics of the Earth and Planetary Interiors, 172(1-2): 116-124. |
| [6] | Kharin D A, Simonov L I. 1969. VBPP seismometer for separate registration of translational motion and rotations[J]. Seismic Instruments, 5: 51-66 (in Russian). |
| [7] | Lee V W, Trifunac M D. 1987. Rocking strong earthquake accelerations[J]. Soil Dyn. Earthq. Eng., 6(2): 75-89. |
| [8] | Lee W H K, Huang B S, Langston C A, et al. 2009. Review: progress in rotational ground-motion observations from explosions and local earthquakes in Taiwan[J]. Bull. Seismol. Soc. Am., 99(2B): 958-967. |
| [9] | Majewski E. 2006. Seismic rotation waves: spin and twist solitons[A]. //Teisseyre R, Takeo M, Majewski E, eds. Earthquake Source Asymmetry, Structural Media and Rotation Effects[M]. Berlin, Heidelberg: Springer-Verlag, 255-272. |
| [10] | Mallet R. 1862. Great Neapolitan Earthquake of 1857[M]. London: Chapman and Hall. |
| [11] | Nigbor R L. Six-degree-of-freedom ground-motion measurement[J]. Bull. Seismol. Soc. Am.1994, 84(5): 1665-1669. |
| [12] | Pancha A, Webb T H, Stedman G E, et al. 2000. Ring laser detection of rotations from teleseismic waves[J]. Geophys. Res. Lett., 27(21): 3553-3556. |
| [13] | Pham D N, Igel H, Wassermann J, et al. 2009. Observations and modelling of rotational signals in the P-coda: constraints on crustal scattering[J]. Bulletin of the Seismological Society of America, 99(2B): 1315-1332. |
| [14] | Pham D N, Igel H, de la Puente J, et al. 2010. Rotational motions in homogeneous anisotropic elastic media[J]. Geophysics, 75(5): 47-56. |
| [15] | Reid H F. 1910. The mechanics of the earthquake[R]. The California Earthquake of April 18, 1906, Report of the State Earthquake Investigation Commission, Vol. 2, 1910, Carnegie Institution of Washington, 43-47. |
| [16] | Takeo M. 1998. Ground rotational motions recorded in near-source region of earthquakes[J]. Geophys. Res. Lett., 25(6): 789-792. |
| [17] | Thomsen L. 1986. Weak elastic anisotropy[J]. Geophysics, 51(10): 1954-1966. |
| [18] | Trifunac M D. 1982. A note on rotational components of earthquake motions on ground surface for incident body waves[J]. International Journal of Soil Dynamics and Earthquake Engineering, 1(1): 11-19. |
| [19] | Trifunac M D. 2009. Review: rotations in structural response[J]. Bull. Seismol. Soc. Am., 99(2B): 968-979. |
| [20] | 程玖兵, 康玮, 王腾飞. 2013. 各向异性介质qP波传播描述I: 伪纯模式波动方程[J]. 地球物理学报, 56(10): 3474-3486, doi: 10.6038/cjg20131022. |
| [21] | 董兴朋, 彭愿, 吴阿丹,等. 2013. 日本和台湾近场区地面旋转运动研究[J]. 地球物理进展, 28(5): 2300-2308, doi: 10.6038/pg20130512. |
| [22] | 杜世通. 2008. 地震波动力学理论与方法[M]. 东营: 中国石油大学出版社. |
| [23] | 张伯军, 刘财, 冯晅,等. 2010. 弹性动力学简明教程[M]. 北京: 科学出版社. |
2014, Vol. 29




