2. 中海石油(中国)有限公司天津分公司, 塘沽 300461
2. China National Offshore Oil Corporation, Ltd.Tianjin Branch, tanggu 300461, China
广角反射不仅引起振幅的急剧增加,同时还会使不同地震道上反射波的相位不同(孙成禹等,2007;张亚南等,2013;刘玉金,2014);由于激发因素不同,不同震源激发的地震数据的子波频带宽度和相位差异也较大(张颖等,2002;杨仁虎,2010;吴世萍,2011;李雪英,2013);由于动、静校正客观上存在的误差,使得在动、静校正后的同一道集内子波的振幅和相位相同这一假设条件不能满足;因此,广角反射(陈江欣等.2014)道集、不同震源子波道集等都需要进行相位校正.加上反褶积的基本假设条件是地震子波是最小相位的,但由于地震记录中的地震子波往往是混合相位的,以及地震记录中噪声的存在,使得反褶积的适用性受到限制,因而在常规反褶积处理过的地震剖面中,一般都会残余剩余子波相位成分.所以,叠加时道集内仍存在一定的时差,其中相位差问题是影响有效反射信号实现同相叠加的重要因素之一,为了尽可能地做到同相叠加,在叠加时应消除动、静校正残留的剩余时差,波形校正是解决这一问题的有效技术,波形校正实际上就是子波校正技术,子波反褶积或是子波整形滤波,都是子波校正行之有效的手段(熊翥,2002;刘国峰等,2012),相位校正技术能够消除子波的相位谱差异,使子波接近或达到零相位,消除剩余相位的影响,达到提高叠加剖面质量的目的.
1 道集波形校正方法道集波形校正方法很多,本文主要采用小时窗分频相位校正和匹配滤波方法.
1.1 分频相位校正 1.1.1 常相位校正基本原理常相位校正(宋宗平等,2004)就是对道集中各道记录的相位谱进行某一常数的调整,针对地震记录做一个频域坐标旋转变换,对记录相位谱增加一个常相位0,即对每一个频率分量把复平面上的坐标轴旋转0度,而振幅谱没有改变,其中,最关键的问题是求取校正相位角(王希萍,2008;蒋为民,2008).我们应寻找判别最佳校正相位的方法来校正由于反射系数的变化而引起的合成地震记录的相位畸变问题,因此通过求常相位校正后的动校正道集记录与模型道的相似度的极大值来求取,设原地震数据S(t)的频谱为S(f),实部、虚部分别为Re(f)和Im(f).假设校正角度为,则校正后的频谱S(f)、实部Re(f)和虚部lm(f)分别为(李振春等,2004;王艳香,2007;李振春等,2008):


实际上,要校正的相位角在各个频率域上并不是一个常数,而是有差别的,为了校正,我们可以把数据分成很多小时窗,然后在每个小时窗内将整个频带划分成很多窄频段,在每个窄频带上认为校正量是不变的,这样在每个频段上经过常相位校正后再进行叠加,就得到总的校正结果,分频校正后的同相处理(黄忠民等;2005;王艳香等,2007;李焱等,2012;魏哲枫等,2014):由于分频时各频段的校正量可能存在差异,即使经过校正后各频段的信号也可能不能完全对齐,必然影响叠加效果;为此,我们用相关法对各频段上的信号作同相性处理,用来消除各个频段间的时差,从而使各频段信号做到同相叠加.
设分频校正(黄忠民,2005)后的各频段信号为:xi(t)i=1,2,…,N,求取的模型道为

然后再对每个频段上的信号与模型道做互相关:

求取 ri(s)的极大值对应的时移量s,s为xi(t)与xn(t)之间的时移量,我们用它对信号xi(t)作时差校正;这样,以常相位校正为基础,并假设有若干个窄小的,具有不同中心位置的时窗,将地震数据限制在每个小时窗内分别处理,相位校正角也限制在每个窗口内独立求取,完成所有时间段的所有窗口数据的相位校正后,把所有窗口中心位置的值叠加在一起就得到相位校正后的数据,相位扫描范围在-180°和180°之间,扫描步长为1°,时窗长度为32 ms;流程(王艳香,2007)见图 1.
![]() | 图 1 小时窗分频相位校正流程图 Fig. 1 Flow of phase correction based on frequency division in small window |
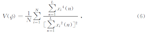
在判别子波是否零相位时(王希萍,2008;李振春,2008;王艳香,2007),我们采用了规范方差模为目标函数,它要求反射系数为超高斯分布,理论上,我们一般假定反射系数为高斯分布,其均值为零;然而,实际情况往往并非如此,目前比较实际的看法是:反射系数的均值一般并不总为零,而是呈高斯分布,即均值为零呈现一定的概率;令离散时间序列为

(5)式是用单道记录进行扫描确定最佳相移量.为了避免单道记录的偶然性,我们进行方差模计算时采用多道记录平均法计算,即

式中,N 为道数xi(n)为第i个记录经相移ψ后的结果.
1.2 整形滤波校正整形滤波(曾小牛等,2014;张固澜等,2014;朱小三等,2014)校正就是从不同震源激发的重叠部分的叠加剖面通过互相关提取设计整形因子(段云卿,2006),我们依据的基本原理是:设地震信号a(t),b(t),则有:a(t)=m(t)b(t);式中,m(t)为相位校正反褶积算子.
我们利用最小二乘法求相位校正算子为m(t)

然后根据函数求极值的原理,令

可列出M+1个方程组.把它们组成线性方程组

式中:raa(τ-s)是时间延迟为τ-s的地震信号 a(t)自相关数列;rab(s)是时间延迟为s 的地震信号a(t)与b(t)的互相关数列.我们用递推法解托布利兹矩阵方程(9),可以得到相位校正反褶积算子.
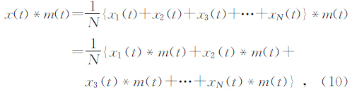
由于叠后数据是由若干叠前地震道合并得到的,我们设x(t)为叠后记录,把叠前CMP道集中的记录x1(t),x2(t),x3(t),…,xN(t)平均就可以得到叠后记录,即

式中m(t)为整形算子,N为覆盖次数.
2 三种道集波形校正及效果 2.1 广角反射道集波形校正利用Shuey近似公式(R. T. Shuey,1985),选取模型参数为:α1=2307 m/s,α2=3459 m/s,β1=942 m/s,β2=1849 m/s,ρ1=2.15 g/cm3,ρ2=2.2 g/cm3,制作合成地震记录(宋建国,2007)为图 2所示,利用小时窗分频相位校正后,如图 3所示.
![]() | 图 2 广角反射道集 Fig. 2 Gather of wide angle reflection |
![]() | 图 3 相位校正后广角反射道集 Fig. 3 Gather of wide angle reflection after phase correction |
通过相位校正,消除了广角反射波的相位畸变,获得了很好的叠加效果.
2.2 不同震源子波道集波形校正图 4和图 5分别是整形滤波前后的道集和叠加剖面,不难看出,整形前不同震源子波的频率、相位都存在较大的差异,整形后振幅、频率、相位都变得非常一致,整形处理后剖面拼接部位同相轴错断的情况得到了修正,连续性得到了改善.
![]() | 图 4 子波整形处理前、后CMP道集 Fig. 4 CMP gathers before and after wavelet processing |
![]() | 图 5 子波整形处理前、后叠加剖面 Fig. 5 Stack sections before and after wavelet processing |
为了获得归位准确,合理的偏移剖面,需将CMP道集(赵静等,2013)上剩余的相位进一步消除,因为叠前偏移的处理使得剩余相位的影响得到放大,从而影响成像质量,图 6,图 7分别是波形校正前后的CRP道集(周青春,2009;邹振,2010;刘志伟,2013)和偏移剖面,整形后相位变得非常一致,偏移时能量聚焦好,获得的剖面信噪比高,连续性好,能准确的反映地下地质情况.
![]() | 图 6 道集波形校正前、后CRP道集 Fig. 6 CRP gathers before and after waveform correction |
![]() | 图 7 道集波形校正前、后偏移剖面 Fig. 7 Sections before and after waveform correction |
通过对广角反射道集、不同震源子波道集、CRP道集应用本文的波形校正方法,取得了较好的效果,实现了同相叠加:
(1)通过道集波形校正,真实的反映了地震波在地下传播时,由于介质的吸收与反射,震源子波的波形发生的变化,校正后得到的子波再与反射系数褶积会得到比较真实的反映地下波阻抗界面的合成记录,解决了广角反射道集由于广角反射而存在的相位畸变问题.
(2)对不同震源子波激发的地震数据来说,它能很好地将子波统一起来,所获取的相位校正反褶积算子稳定性高,并且对地震资料的保幅性较好.
(3)道集波形校正在CRP道集上的应用,减弱了叠前偏移处理时剩余相位的影响,消除了由于实际地震记录和反褶积基本假设条件不完全一致而存在剩余子波相位问题.
| [1] | CHEN Jiang-Xin, ZHANG Bao-Jin, SONG Hai-Bin.2014.Far offset refractive velocity properties of the Cenozoic strata in the northern South China Sea.Chinese Journal Geophysics,57(7): 2223-2234,doi: 10.6038/cjg20140717. | |
| [2] | Duan Y Q.2006. Matched filter and wavelet shaping filter[J]. Oil geophysical prospecting,41(2):156-159. | |
| [3] | Huang Z M.2005.The study of high resolution seismic data processing technology[D][ Master's thesis].Jilin Changchun:The earth exploration and information technology institute of Jilin university. | |
| [4] | Jiang W M.2008.Research on 3D seismic data goal processing technology of putaohua oil reservoirs[D][Master's thesis].Daqing: Daqing pettoleum institute college of earth sciences. | |
| [5] | Li Z C,Wang X P,Han W G.2008.Review of phase correction in seismic data processing[J],Progress in Geophysics,23(3):768-774. | |
| [6] | LI Xue-Ying, WEN Hui-Jian, CHEN Shu-Min et al.2013.Forward modeling studies on the time-frequency characteristics of isopachous thin interbedding.Chinese Journal Geophysics,56(3): 1033-1042,doi: 10.6038/cjg20130331. | |
| [7] | LI Yan, HU Xiang-Yun, YANG Wen-Cai et al.2012.A study on parallel computation for 3D magnetotelluric modeling using the staggered-grid finite difference method.Chinese Journal Geophysics,55(12): 4036-4043,doi: 10.6038/j.issn.0001-5733.2012.12.015. | |
| [8] | Li Z C,Zhang J H.2004. Seismic data processing method[M]. ShanDong Dongying: Petroleum university press. | |
| [9] | Liu G F,Liu H,Meng X H,et al.2012.Frequency-related factors analysis in frequency domain waveform inversion.Chinese[J].Geophys.(in Chinese),55(4):1345-1353. | |
| [10] | Liu Y J,Li Z C,Wu D,et al.2014.Well constrained non-stationary phase correction.Chinese J.Geophys.(in Chinese),57(1):310-319,doi:10.6038/cjg20140127. | |
| [11] | LIU Zhi-Wei, WANG Yan-Chun, ZHAO Hui-Xin et al.2013.High-resolution processing methods of thin interbeds imaging.Chinese Journal Geophysics,56(4): 1350-1359,doi: 10.6038/cjg20130429. | |
| [12] | QIU Xue-Lin, ZHAO Ming-Hui, AO Wei, LU Chuan-Chuan, HAO Tian-Yao, YOU Qing-Yu, RUAN Ai-Guo, LI Jia-Biao.2011.OBS survey and crustal structure of the Southwest Sub-basin and Nansha Block, South China Sea.Chinese Journal Geophysics,54(12): 3117-3128,doi: 10.3969/j.issn.0001-5733.2011.12.012. | |
| [13] | R. T. Shuey. 1985. A simplification of the Zoeppritz equations.Geophysics,50(4):609-614. | |
| [14] | Song J G,Wang Y X.2007.Synthetic seismogram in angle domain[J].XinJiang petroleum geology,28(4):497-500. | |
| [15] | Song Z P,Li J J,Zhang L P.2004. Constant phase correction of prestack[J].Petroleum geology & oilfield development in daqing,23(2):69-71. | |
| [16] | Sun C Y,Ni C K,Li S J.et al. 2007.Feature of wide angle reflection data and correction method[J]. Oil geophysical prospecting(in Chinese),42(1) :24-29. | |
| [17] | Wang X P.2008.Research the Methods of deep layer seismic signal phase consistency processing[D][ Master's thesis].ShanDong Dongying: China university of petroleum(Hua dong) school of geosciences. | |
| [18] | Wang Y X.2007. Study on wide angle AVA character of cross-well seismic data and waveform correction[D][ Master's thesis]. ShanDong Dongying: China University of petroleum(Hua dong) school of geosciences. | |
| [19] | Wang Y X,Song J G,Zhang J D.2009. Waveform correction method of angle gather[J]. Oil geophysical prospecting,44(5):548-552. | |
| [20] | WEI Zhe-Feng, GAO Hong-Wei, ZHANG Jian-Feng.2014.Time-domain full waveform inversion based on an irregular-grid acoustic modeling method.Chinese Journal Geophysics,57(2): 586-594,doi: 10.6038/cjg20140222. | |
| [21] | WU Shi-Ping, PENG Geng-Xin, HUANG Lu-Zhong, HU Tian-Yue.2011.Seismic interferometry imaging based on virtual source estimation with complex overburden.Chinese Journal Geophysics,54(7): 1874-1882,doi: 10.3969/j.issn.0001-5733.2011.07.021. | |
| [22] | Xiong Zhu.2002. Seismic data processing in complex areas[M].Beijing: Petroleum Industry Press. | |
| [23] | YANG Ren-Hu, CHANG Xu, LIU Yi-Ke.2010.The influence factors analyses of imaging precision in pre-stack reverse time migration.Chinese Journal Geophysics,53(8): 1902-1913,doi: 10.3969/j.issn.0001-5733.2010.08.016. | |
| [24] | Zhao J,Gao J H,Wang D X,et al.Estimation of quality factor Q from pre-stack CMP records.Chinese J.Geophys.(in Chinese),56(7):2413-2428,doi: 10.6038/cjg20130727. | |
| [25] | Zhang Y N, Dai Y S, Chen J, et al. 2013. The research on the influence of wavelet phase on the inversion results of reflection coefficient sequences by using the ARMA model of symmetrical mapping Pole-zeros.Chinese[J]. Geophys.(in Chinese),56(6):2043-2054,doi: 10.6038/cjg20130625. | |
| [26] | [26] | ZHANG Gu-Lan, HE Zhen-Hua, WANG Xi-Ming et al.2014.Seismic wave dispersion effects and inverse Q-filter phase compensation.Chinese Journal Geophysics,57(5): 1655-1663,doi: 10.6038/cjg20140528. |
| [27] | Zhang Y,Y J,Yan S X,et al.2002.Multi-survey joint processing of 3-D seismic data:techniques and applications[J].Petroleum exploration and development,29(6):58-60. | |
| [28] | ZHOU Qing-Chun; LIU Huai-Shan; Kondrashkov,V V et al.2009.Research of dual parameters evolving common reflection point stack and velocity analysis method.Chinese Journal Geophysics,52(7): 1881-1890,doi: 10.3969/j.issn.0001-5733.2009.07.023. | |
| [29] | ZHU Xiao-San, WU Ru-Shan, CHEN Xiao-Fei.2014.Generalized diffraction tomography.Chinese Journal Geophysics,57(1): 241-260,doi: 10.6038/cjg20140120. | |
| [30] | ZOU Zhen, LIU Hong, LIU Gong-Wei.2010.Common-angle gathers based on Kirchhoff pre-stack time migration.Chinese Journal Geophysics,53(5): 1207-1214,doi: 10.3969/j.issn.0001-5733.2010.05.023. | |
| [31] | ZENG Xiao-Niu, LIU Dai-Zhi, LI Xi-Hai et al.2014.An improved iterative Wiener filter for downward continuation of potential fields.Chinese Journal Geophysics,57(6): 1958-1967,doi: 10.6038/cjg20140626. | |
| [32] | 陈江欣,张宝金,宋海斌.2014.南海北部新生界地层的远偏移距折射波速度特征. 地球物理学报,57(7): 2223-2234,doi: 10.6038/cjg20140717. | |
| [33] | 段云卿.2006.匹配滤波与子波整形[J].石油地球物理勘探,41(2):156-159. | |
| [34] | 黄忠民. 2005.高分辨率地震信号处理技术[D][硕士论文].吉林长春:吉林大学地球探测信息技术学院. | |
| [35] | 蒋为民.2008.葡萄花油层三维地震资料目标处理技术研究[D][硕士论文].大庆:大庆石油学院地球科学学院. | |
| [36] | 李雪英,文慧俭,陈树民,等.2013.等厚薄互层时频特征的正演模拟. 地球物理学报,56(3): 1033-1042,doi: 10.6038/cjg20130331. | |
| [37] | 李焱,胡祥云,杨文采,等.2012.大地电磁三维交错网格有限差分数值模拟的并行计算研究. 地球物理学报,55(12): 4036-4043,doi: 10.6038/j.issn.0001-5733.2012.12.015. | |
| [38] | 李振春,王希萍,韩文功. 2008.地震数据处理中的相位校正综述[J].地球物理学进展, | |
| [39] | 23(3):768-774. | |
| [40] | 李振春,张军华. 2004.地震数据处理方法[M].山东东营:石油大学出版社. | |
| [41] | 刘国峰,刘洪,孟小红,等.2012.频率域波形反演中与频率相关的影响因素分析[J].地球物理学报,55(4):1345-1353,Doc:10.6038/j.issn.0001-5733. 2012.04.030. | |
| [42] | 刘玉金,李振春,吴丹,等.2014.井约束非稳态相位校正方法.地球物理学报,57(1):310-319,doi:10.6038/cjg20140127. | |
| [43] | 刘志伟,王彦春,赵会欣,等.2013.薄互层地震成像中高分辨率处理方法. 地球物理学报,56(4): 1350-1359,doi: 10.6038/cjg20130429. | |
| [44] | 丘学林, 赵明辉, 敖威, 吕川川, 郝天珧, 游庆瑜, 阮爱国, 李家彪.2011.南海西南次海盆与南沙地块的OBS探测和地壳结构. 地球物理学报,54(12): 3117-3128,doi: 10.3969/j.issn.0001-5733.2011.12.012. | |
| [45] | 宋建国,王艳香. 2007.角度域合成地震记录制作[J].新疆石油地质,28(4): | |
| [46] | 宋宗平,李建军,章黎萍. 2004.叠前常相位校正[J].大庆石油地质与开发,23(2):69-71. | |
| [47] | 孙成禹,倪长宽,李胜军,等. 2007.广角地震反射数据特征及校正方法研究[J].石油地球物理勘探,42(1):24-29. | |
| [48] | 王希萍. 2008.深层信号相位一致性处理方法[D][硕士论文].山东东营:中国石油大学(华东)地球资源与信息学院. | |
| [49] | 王艳香. 2007.基于大角度反射的井间AVA特征及波形校正研究[D][硕士论文].山东东营:中国石油大学(华东)地球资源与信息学院. | |
| [50] | 王艳香,宋建国,张军舵. 2009.角道集波形校正方法[J].石油地球物理勘探,44(5):548-552. | |
| [51] | 魏哲枫,高红伟,张剑锋.2014.基于非规则网格声波正演的时间域全波形反演. 地球物理学报,57(2): 586-594,doi: 10.6038/cjg20140222. | |
| [52] | 吴世萍, 彭更新, 黄录忠, 胡天跃.2011.基于虚源估计的复杂上覆地层下地震相干成像. 地球物理学报,54(7): 1874-1882,doi: 10.3969/j.issn.0001-5733.2011.07.021. | |
| [53] | 熊翥.2002.复杂地区地震数据处理[M].北京:石油工业出版社. | |
| [54] | 杨仁虎,常旭,刘伊克.2010.叠前逆时偏移影响因素分析. 地球物理学报,53(8): 1902-1913,doi: 10.3969/j.issn.0001-5733.2010.08.016. | |
| [55] | 赵静,高静怀,王大兴,等.2013.利用叠前CMP资料估计介质品质因子.地球物理学报,56(7):2413-2428,doi: 10.6038/cjg20130727. | |
| [56] | 张亚南,戴永寿,陈健,等.2013.用对称映射ARMA 模型的零极点研究子波相位对反射系数序列反演的影响[J].地球物理学报,56(6):2043-2054,doi: 10.6038/cjg20130625. | |
| [57] | 张固澜,贺振华,王熙明,等.2014.地震波频散效应与反Q滤波相位补偿. 地球物理学报,57(5): 1655-1663,doi: 10.6038/cjg20140528. | |
| [58] | 张颖,乐金,阎世信,等. 2002.三维地震资料连片处理技术及应用效果[J].石油勘探与开发,29(6):58-60. | |
| [59] | 周青春,刘怀山,Kondrashkov V V,等.2009.双参数展开CRP叠加和速度分析方法研究. 地球物理学报,52(7): 1881-1890,doi: 10.3969/j.issn.0001-5733.2009.07.023. | |
| [60] | 朱小三,吴如山,陈晓非.2014.广义散射层析成像反演. 地球物理学报,57(1): 241-260,doi: 10.6038/cjg20140120. | |
| [61] | 邹振,刘洪,刘红伟.2010.Kirchhoff叠前时间偏移角度道集. 地球物理学报,53(5): 1207-1214,doi: 10.3969/j.issn.0001-5733.2010.05.023. | |
| [62] | 曾小牛,刘代志,李夕海,等.2014.位场向下延拓的改进迭代维纳滤波法. 地球物理学报,57(6): 1958-1967,doi: 10.6038/cjg20140626. |
2014, Vol. 29








