2. 河北省电力勘测设计研究院, 石家庄 050031
2. Hebei Electric Power Design and Research Institute, Shijiazhuang 050031, China
可控源音频大地电磁法(Controlled Source Audio-frequency Magnetotelluric,CSAMT)是从大地电磁法(Magnetotelluric,MT)发展出来的一种人工源电磁测深法(何继善,1990;朴华荣,1990;石昆法,1999;底青云,2008).该方法最早由法国的D.W.Strangway和Myron Goldstein于1971年提出.由于使用人工场源,CSAMT对人文噪声具有较强的抗干扰能力,加之其探测深度大的优点,该方法已经得到人们的广泛认可,在石油、金属矿、天然气、地热、地下水的勘探中发挥着越来越重要的作用,已经成为地球物理中一种强有力的勘探方法(底青云等, 2001,2002a,2002b;孙英勋,2005;谭儒蛟等,2007;李帝铨等,2008;柳建新等,2009;王显祥等,2014).
在CSAMT的数值模拟中,一维和二维正反演方法已经比较成熟,三维正反演的研究是当前的热点问题(王若等, 2009,2010;林昌洪等,2012).目前,CSAMT三维数值模拟主要方法有:有限差分、有限元和积分方程法.积分方程法因只在异常体处进行剖分,并且不涉及边界处理问题,具有计算速度快、求解精度高等优点,因此该方法近年来越来越受到人们的关注和重视(Homman,1975;Ting and Hohmann, 1981;Wannamaker et al., 1984;Newman et al., 1986;Walker and West, 1991;Zhdanov and Hursan, 2000; Zhdanov et al., 2000,2006,2007,2010; Zhdanov and Tartaras, 2002).
需要指出的是,在当前三维积分方程正演中,涉及到的模型大都比较简单,并且很少涉及到对CSAMT分辨率的研究.CSAMT分辨率的研究是一个十分重要的问题,对实际的勘探工作具有十分重要的指导意义.前人对此问题也多有研究,安志国等(2006)、王艳等(2009)、汤井田(2010)等讨论了CSAMT对层状介质的分辨率能力.然而这些模型都是一维层状的,实际地电结构问题则具有三维展布的特点,在一些情况下一维层状模型可以对它们做很好的近似,但大部分情况下这些近似都是粗略的,甚至是扭曲的,为此本文开展了三维地电结构下CSAMT分辨率的初步研究.
本文首先介绍了积分方程法的原理,然后在改进P.E.Wannmaker编写的EMIE3D程序的基础上,利用该程序计算了三维层状介质下的异常体响应,最后对这些数值模拟结果进行了有益的探讨.
![]() | 图 1 三维地电模型示意图 Fig. 1 The model sketch of 3d geoelectric models |
根据电磁场理论,任意点的电磁场可表示为入射场 E b(H b)和散射场 E s(H s)的叠加:






为了进行数值计算将(5)、(6)式化为矩阵方程,把异常体剖分为N个小立方体,且认为每个小立方体的场值取立方体中心点的值.则第m块中心点的场值为


整理式(7)、(8)得:


其中



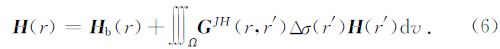
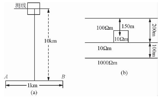
为了验证程序的正确性,特取三层结构,电阻率分别为100 Ωm、10 Ωm、1000 Ωm,厚度为200 m、100 m,(在以下的模型中均取此三层模型为背景场)偶极源的长度为1 km,收发距10 km,所选频率如表 1所示.图 2是上述三层地电模型的视电阻率正演曲线,本文正演程序和一维程序完全吻合,并且可以清晰的看出三层结构,这说明程序基本是正确可靠的.
![]() | 图 2 三层地电结构的数值解与解析解对比图 Fig. 2 Comparison curve between analytic result and integer result for three layers model |
|
|
表 1 频率 Table 1 Frequencies |
为了讨论同一埋深不同大小时对CSAMT响应特征的影响,特设计两个模型.第一个模型中异常体大小为100 m×100 m×100 m,第二个模型中异常体的大小为70 m×70 m×70 m,它们的中心点埋深都为150 m,剖分单元边长为10 m,模型参数如图 3b所示,测线为穿过异常体中心点正上方的一条直线,采样间隔25 m,收发距10 km,供电偶极AB为1 km,装置参数如图 3a所示.
![]() |
图 3 单个异常体模型示意图 (a)观测装置平面图;(b)模型断面图. Fig. 3 The model sketch of sole conductive anomalous body (a)The cross section of the model; (b)The plane view of the survey line. |
图 4为异常体100 m×100 m×100 m时CSAMT正演模拟结果图,其横坐标代表测线的长度,纵坐标为频率取对数再乘以100,在此代表深度.从图中可以看到,视电阻率拟断面图和相位拟断面图中都可以明显的看到异常体响应.图 5为异常体70 m×70 m×70 m时CSAMT正演模拟结果图,分析此图可以看出,异常响应已经变得很弱了.比较图 4和图 5,不难发现当异常体变小时,异常响应迅速变小.从积分方程的原理可以知道,异常响应近似与异常的体积成正比,当边长变为原来的7/10时,异常值也就变为了原来的(7/10)3,所以即使当异常体的边长变化不是太大时,异常响应值却随之变化的非常明显.
![]() | 图 4 异常体为100 m×100 m×100 m时CSAMT正演模拟结果 Fig. 4 CSAMT forward modeling results for 100 m×100 m×100 m of anomalous body |
![]() | 图 5 异常体为70 m×70 m×70 m时CSAMT正演模拟结果 Fig. 5 CSAMT forward modeling results for 70 m×70 m×70 m of anomalous body |
为了讨论具有相同埋深和大小而电阻率不同时对CSAMT响应特征的影响,本文设计了三个模型,第一个模型中异常体与背景电阻率差异为Δσ=50 Ωm即Δσ/σb=50%,第二个模型中异常体与背景电阻率差异为Δσ=20 Ωm即Δσ/σb=20%,最后一个模型异常体与背景电阻率差异为Δσ=5 Ωm即Δσ/σb=5%,它们的大小都为100 m×100 m×100 m,中心点埋深150 m,如图 3b所示,剖分单元边长为10 m,观测装置参数和2.1模型中的观测参数相同.
分析图 6、图 7、图 8可得,当Δσ=50 Ωm时,视电阻率拟断面图和相位拟断面中的异常响应都非常明显;当Δσ=20 Ωm时,虽然异常响应有所减弱,但仍能非常清晰的看出异常体存在的位置;当Δσ=5 Ωm时,即异常体与背景电阻率相差5%时,异常响应值和影响的范围都要小了很多,几乎很难分辨异常体的存在.从积分方程法原理我们知道,在地表测的异常响应大小近似与Δσ成正比.从这些正演模拟结果对比中,不难得出:当异常体大小一定,异常体电阻率变小时,CSAMT对异常体分辨能力逐渐降低.
2.3 不同埋深为了讨论同一体积、同一电阻率、不同埋深情况下CSAMT响应情况,本文设计了三个模型,每个模型中都包含相同大小的异常体,它们都为30 m×30 m×30 m,剖分体边长为5 m,电阻率为10 Ωm,不同的是它们的埋深不同,第一个模型中异常体顶部埋深为0 m,第二个模型中异常体顶部埋深为50 m,最后模型中异常体顶部埋深为100 m.
从图 9、图 10、图 11中我们可以明显的看到,当h=0 m时,异常最大并且非常明显,无论视电阻率拟断面图还是相位拟断面图中异常体响应都非常明显;当h=50 m时,仍能明显区分出异常体的存在;进一步增大埋深,当顶部埋深h=100 m时,视电阻率相对误差为4%,已经相当微弱了.从对比结果易知,异常体埋深对异常响应有非常明显的影响,即同一异常体在不同埋深时在地表测的结果会有非常显著的差别.
![]() | 图 6 Δσ=50 Ωm时CSAMT正演模拟结果 Fig. 6 CSAMT forward modeling results when Δσ=50 Ωm |
![]() | 图 7 Δσ=20 Ωm时CSAMT正演模拟结果 Fig. 7 CSAMT forward modeling results when Δσ=20 Ωm |
![]() | 图 8 Δσ=5 Ωm时CSAMT正演模拟结果 Fig. 8 CSAMT forward modeling results when Δσ=5 Ωm |
![]() | 图 9 h=0 m时CSAMT视电阻率拟断面图 Fig. 9 CSAMT forward modeling results when h=0 m |
![]() | 图 10 h=50m时CSAMT视电阻率视拟断面图 Fig. 10 CSAMT forward modeling results when h=50 |
![]() | 图 11 h=100 m时CSAMT视电阻率拟断面图 Fig. 11 CSAMT forward modeling results when h=100 m |
为了讨论CSAMT对同时存在多个异常体的分辨能力,本文设计了四个模型,为了简单起见本文只讨论同时存在两个异常体的情况,这两个异常体的大小都为100 m×100 m×100 m,电阻率10 Ωm,中心点埋深150 m,剖分单元的边长10 m.在第一个模型中两个异常体相距40 m,第二个模型中两个异常体相距20 m,第三个模型中两个异常体相距10 m,最后一个模型中两个异常体相距5 m.
分析图 12可以看出,视电阻率拟断面图中异常响应值非常明显,虽然外围的等值线连在了一起,但在中间却能非常清晰的分出两个异常体的存在.从图 13中可以看到,当缩小它们之间的距离到20 m时,视电阻率拟断面图仍然清晰的显示出两个异常体.从图 14中可以看出,即使当Δr=10 m时,我们仍然能够从视电阻率拟断面图中分辨出两个异常体.只有当异常体的之间的距离缩小到5 m时,两个异常体的等值线才完全连在了一起,无法分辨出异常体的数目.从图 12、图 13、图 14、图 15分析可得,CSAMT能够相对较好的分辨出多个异常体,只有当异常体的位置非常靠近时,才不能将它们区分开.
![]() | 图 12 Δr=40 m时CSAMT正演模拟结果 Fig. 12 CSAMT forward modeling results when Δr=40 |
![]() | 图 13 Δr=20 m时CSAMT正演模拟结果 Fig. 13 CSAMT forward modeling results when Δr=20 |
![]() | 图 14 Δr=10 m时CSAMT正演模拟结果 Fig. 14 CSAMT forward modeling results when Δr=10 |
![]() | 图 15 Δr=5 m时CSAMT正演模拟结果 Fig. 15 CSAMT forward modeling results when Δr=5 |
矿床的成因分为很多种,但岩浆的入侵成矿模式无论是从储量上还是矿的种类上都占据着重要位置,具有重要的工业意义.岩浆入侵,通过与围岩发生交代、围岩蚀变等作用可使矿物聚集,当矿物聚集到一定程度后,就成了我们所说的矿床.很多情况下矿体与围岩成渐变或迅速渐变关系,当矿体为金属物质时,表现为中间高阻,边缘低阻的特点.为了模拟这种成矿模式,本文特设计了图 16所示的模型,背景为两层结构,第一层代表地表沉积层,取100 Ωm,第二层岩石层,电阻率1000 Ωm,异常体由一系列的小立方体组成,每个小立方体的边长为20 m,并且赋予不同的数字代码,1代表矿床,取电阻率10 Ωm,2代表入侵的岩浆,电阻率为1000 Ωm.
![]() |
图 16 岩浆入侵成矿典型模式图 (a)模型断面图;(b)模型平面图(箭头所示层). Fig. 16 The sketch of a typical model for magmatic intrusionmineral deposit (a)The cross section of the model;(b)The plane view of the model. |
在图 17中,异常体处并没有表现出我们模型中的中间高阻、边缘低阻的特点,而只是表现出低阻.众所周知,CSAMT对低阻体具有良好的探测能力,而对高阻体的勘探能力相对较弱,正是由于这个原因,虽然高阻体的体积要远远大于低阻体的体积,在正演模拟结果中,却只表现出了低阻的特点.这个模拟结果虽然扭曲了事实的本来面目,但对于良导体矿床的探测,却是一个好消息,这说明在高阻体的边缘寻找良导体矿床是完全可行的,高阻体并不能完全把低阻体异常给“淹没”掉.
![]() | 图 17 CSAMT正演模拟结果 Fig. 17 CSAMT forward modeling results |
通过五种典型模型的数值模拟,可以得出以下结论:
(1)在CSAMT勘探中,异常体的体积对异常响应特征影响明显,当异常体的体积迅速减小时,异常的大小也迅速减小.
(2)CSAMT的异常响应与异常体和背景电阻率差异成正比,异常体大小一定时,随着异常电阻率与围岩电阻率差异逐渐变小,其分辨能力也越来越差.
(3)CSAMT对异常体的埋深非常敏感,随着异常体埋深的增大,异常大小迅速衰弱.
(4)CSAMT可以很好的将相距一定距离的两个异常体分辨出来,即使当两个异常距离不是太大时,在异常响应中仍有很好的结果.
(5)CSAMT对良导体具有很好的探测能力,而对高阻体分辨力较弱,当高阻体周围存在良导体时,可以很好的分辨出良导体来.
致 谢 感谢审稿专家和编辑部老师的热情支持.| [1] | Di Q Y, Shi K F, Wang M Y, et al. 2001. Water resources exploration with CSAMT and High Density Electric Resistivity Method[J]. Progress in Geophysics (in Chinese), 16(3): 53-54. |
| [2] | Di Q Y, Wang M Y, Shi K F, et al. 2002a. An applied study on prevention of water bursting disaster in mines with the high resolution V6 system[J]. Chinese J. Geophys. (in Chinese), 45(5): 1-5. |
| [3] | Di Q Y, Wang M Y, Shi K F, et al. 2002b. Mutifunction System—V6 and its effectiveness in CSAMT exploration[J]. Progress in Geophysics (in Chinese), 17(4): 663-670. |
| [4] | Di Q Y, Wang R. 2008. CSAMT forward modeling and inversion and its application (in Chinese)[M]. Beijing: Science Press. |
| [5] | He J S. 1990. Control Source Audio frequency Magnetotelluric (in Chinese)[M]. Changsha: Central South University of Technology Press. |
| [6] | Homman G W T. 1975. Three-dimensional induced polarization and electromagnetic modeling[J]. Geophysics, 40(2): 309-324. |
| [7] | Li D Q, Di Q Y, Wang G J, et al. 2008. Fault detection by CSAMT and its application to new district planning in Beijing[J].. Progress in Geophysics (in Chinese),. 23(6): 1963-1969. |
| [8] | Lin C H, Tan H D, Shu Q, et al. 2012. Three-dimensional conjugate gradient inversion of CSAMT data[J]. Chinese J. Geophys. (in Chinese), 55(11): 3829-3838. |
| [9] | Liu J X, Guo Z W, Guo R W, et al. 2009. Application of controlled source audiomagnetotelluric and gravity methods to surveys in the Lionlake hot spring geothermal area[J]. Progress in Geophys. (in Chinese), 24(5): 1868-1873 |
| [10] | Newman G A, Hohmann G W, Anderson W L. 1986. Transient electromagnetic response of a three-dimensional body in a layered earth[J]. Geophysics, 51(8): 1608-1627. |
| [11] | Piao H R. 1990. The Principle of Electromagnetic sounding (in Chinese)[M]. Beijing: Geological Press. |
| [12] | Shi K F. 1999. Theory and Application of CSAMT Method[M]. Beijing: Science Press. |
| [13] | Sun Y X. 2005. Application of CSAMT electromagnetic image system in survey of deeply-buried long tunnels for expressways[J]. Progress in Geophysics (in Chinese), 20(4): 1184-1189. |
| [14] | Tan R J, Hu R L, Xu W J, et al. 2007. CSAMT exploration and geological interpretation of perdue tectonic structures of Longpan deformation slope in Jinsha River[J]. Progress in Geophysics (in Chinese), 22(1): 283-288. |
| [15] | Ting S C, Hohmann G W. 1981. Integral equation modeling of three-dimensional magnetotelluric response[J]. Geophysics, 46(2): 182-197. |
| [16] | Walker P W, West G F. 1991. A robust integral equation solution for electromagnetic scattering by a thin plate in conductive media[J]. Geophysics, 56(8): 1140-1152. |
| [17] | Wang R, Di Q Y, Wang M Y, et al. 2009. Research on the effect of 3D body between transmitter and receivers on CSAMT response using Integral Equation method[J]. http://www.medsci.cn/sci/journal.asp?id=ecd31481Chinese J. Geophys. (in Chinese), 2(6): 1573-1582. |
| [18] | Wang R, Endo M, Di Q, et al. 2010. The analysis of CSAMT responses of dyke embedded below conductive overburden[J]. 地球物理学报, 53(3): 677-684Chinese J. Geophys. (in Chinese), 53(3): 677-684. | Wang R, Endo M, Di Q, et al. 2010. The analysis of CSAMT responses of dyke embedded below conductive overburden[J]. 地球物理学报, 53(3): 677-684Chinese J. Geophys. (in Chinese), 53(3): 677-684.
| [19] | Wang X X, Di Q Y, Xu C. 2014. Characteristics of multiple sources and tensor measurement in CSAMT[J]. Chinese Journal Geophysics (in Chinese), 57(2): 651-661. |
| [20] | Wannamaker P E, Hohmann G W, SanFilipo W A. 1984. Electromagnetic modeliElectromagnetic modeling of three-dimensional bodies in layered earths using integral equations[J]. Geophysics, 49(1): 60-74. |
| [21] | Zhdanov M S, Hursan G. 2000. 3D electromagnetic inversion based on quasi-analytical approximation[J]. Inverse Problems, 16(5): 1297-1322. |
| [22] | Zhdanov M S, Dmitriev V I, Fang S, et al. 2000. Quasi-analytical approximation and series in 3D electromagnetic modeling[J]. Geophysics, 65(6): 1746-1757. |
| [23] | Zhdanov M S, Tartaras E. 2002. Three-dimensional inversion of multitransmitter electromagnetic data based on the localized quasi-linear approximation[J]. Geophysical Journal International, 148(3): 506-519. |
| [24] | Zhdanov M S, Lee S K, Yoshioka K. 2006. Integral equation method for 3D modeling of electromagnetic fields in complex structures with inhomogeneous background conductivity[J]. Geophysics, 71(6): G333-G345. |
| [25] | Zhdanov M S, Dmitriev V I, Gribenko A V. 2007. Integral electric current method in 3-D electromagnetic modeling for large conductivity contrast[J]. IEEE Transactions on Geoscience and Remote Sensing, 45(5): 1282-1290. |
| [26] | Zhdanov M S, Green A, Gribenko A, et al. 2010. Large-scale three-dimensional inversion of Earthscope MT data using the integral equation method[J]. Izvestiya, Physics of the Solid Earth, 46(8): 670-678. |
| [27] | 底青云, 石昆法, 王妙月,等. 2001. CSAMT法和高密度电法探测地下水资源[J]. 地球物理学进展, 16(3): 53-54. |
| [28] | 底青云, 王妙月, 石昆法,等. 2002a. 高分辨率V6系统在矿山顶板涌水隐患中的应用研究[J]. 地球物理学报, 45(5): 1-5. |
| [29] | 底青云, 王妙月, 石昆法,等. 2002b. V6多功能系统及其在CSAMT勘查应用中的效果[J]. 地球物理学进展, 17(4): 663-670. |
| [30] | 底青云, 王若. 2008. 可控源音频大地电磁数据正反演及方法应用[M].北京: 科学出版社. |
| [31] | 李帝铨, 底青云, 王光杰,等. 2008. CSAMT探测断层在北京新区规划中的应用[J]. 地球物理学进展, 23(6): 1963-1969. |
| [32] | 林昌洪, 谭捍东, 舒晴,等. 2012. 可控源音频大地电磁三维共轭梯度反演研究[J]. 地球物理学报, 55(11): 3829-3838. |
| [33] | 柳建新, 郭振威, 郭荣文,等. 2009. CSAMT和重力方法在狮子湖温泉深部地球物理勘查中的应用[J]. 地球物理学进展, 24(5): 1868-1873. |
| [34] | 谭儒蛟, 胡瑞林, 徐文杰,等. 2007. 金沙江龙蟠变形体隐伏构造CSAMT探测与解译[J]. 地球物理学进展, 22(1): 283-288. |
| [35] | 王若, 底青云, 王妙月,等. 2009. 用积分方程法研究源与勘探区之间的三维体对CSAMT观测曲线的影响[J]. 地球物理学报, 52(6): 1573-1582. |
| [36] | 王若, Endo M, 底青云,等. 2010. 导电薄层下三维岩脉的CSAMT响应分析[J]. 地球物理学报, 53(3): 677-684. |
| [37] | 王显祥, 底青云, 许诚. 2014. CSAMT的多偶极子源特征与张量测量[J]. 地球物理学报, 57(2): 651-661. |
2014, Vol. 29


















