随着勘探开发的深入,勘探目标逐步由构造油气藏转化为裂缝性油气藏(熊翥,2005),裂缝是许多油气藏中流体或者气体的重要通道,正确的识别裂缝的发育位置对于油气藏的勘探和开发具有重要意义.利用纵波资料检测裂缝是目前一个重要课题(Ruger,1997;Downton and Gray, 2006;Chichiniana et al., 2006).目前研究裂缝的方法之一就是将裂缝看成散射体(吕景发,1985),用散射理论研究裂缝的响应(刁顺等, 1994a,b),此方法的正演效率非常低下,不便于实际研究.本文用等效理论将裂缝介质等效为各向异性介质,运用各向异性介质理论研究裂缝的地震响应,该方法相对于散射方法简单、易于理解、效率高且能得到较好的效果.裂缝对地震波的影响研究了很多年(刘恩儒等, 2006,唐晓明等,2013).(Hudson,1981)提出了裂缝介质中P波和S波的速度和衰减的公式,这些公式随后被修正,包括了等径孔隙度的影响.(Thomsen,1986)提出弹性弱各向异性理论来研究定向裂缝和等径孔隙度在地震速度上的综合影响.(Schoenberg and Sayers, 1995)使用裂缝法向和切向柔度来推导裂缝介质中的有效弹性常数.(Bakulin et al., 2000a,b,c)等人回顾了几种不同的裂缝等效理论,并比较了它们对裂缝参数估计的可行性.(Tsvanki and Thomson, 1994,1995)提出了P 波、SV 波反射时距曲线的解析表达式,并在此基础上研究了利用地面反射资料进行各向异性反演方法.(Alkhalifah,1997)和(Grechka and Tsvankin, 1998)实现了利用反射P 波非双曲时差进行各向异性参数的反演.
实际地球介质非常复杂,对于包含两组垂直裂缝的各向同性地层,正交各向异性介质是与实际介质最接近的地质模型.正交各向异性弹性矩阵与VTI介质弹性矩阵类似.由于弹性矩阵表示的物理意义不直观,(Tsvankin,1997)提出了表征正交各向异性介质9个各向异性参数表达式并给出了具体的物理意义.根据Tsvankin提出的正交各向异性介质9个各向异性参数表达式,本文研究了两组垂直裂缝介质的P波走时分析,分析知P波速度与时距曲线具有强烈的方位各向异性特征,根据最小二乘反演算法,反演裂缝方位角以及裂缝参数.本文主要分为以下几个部分,运用等效理论将裂缝介质等效为正交各向异性介质,分析了P波速度和走时与方位角偏移距的关系,根据最小二乘算法反演得到裂缝方位角以及裂缝参数,结论.
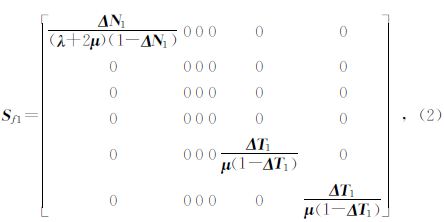
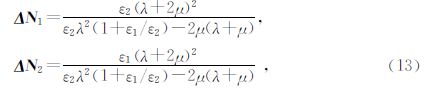
1 两组垂直裂缝等效为正交各向异性介质根据(Bakulin et al., 2000a,b,c)提出的裂缝等效公式,位于各向同性介质两组垂直裂缝等效为正交各向异性介质,裂缝介质的弹性矩阵分解为背景介质的弹性矩阵与裂缝介质的弹性矩阵,背景介质的弹性矩阵如公式1所示,裂缝1裂缝2的柔度矩阵如公式2公式3所示.其中 C b为背景介质的弹性矩阵,S f1为裂缝1的柔度矩阵,S f2为裂缝2的柔度矩阵,λ,μ为拉梅常数,ΔN1,ΔN2分别为裂缝1,2的法向柔量,ΔT1,ΔT 2分别为裂缝1,2的切向柔量.



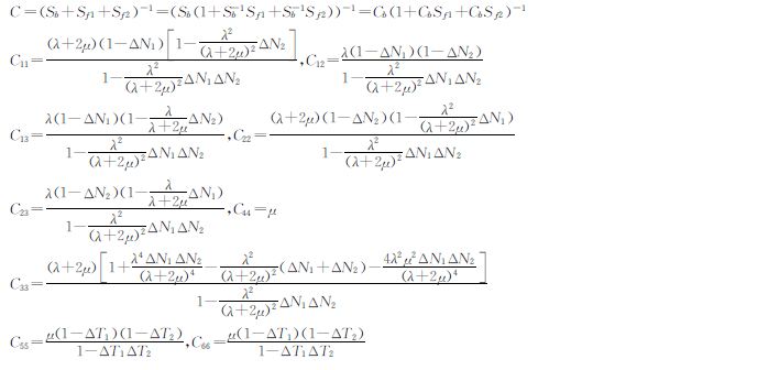
根据柔度矩阵求弹性矩阵如公式4所示,求得裂缝介质的弹性矩阵如公式5所示.


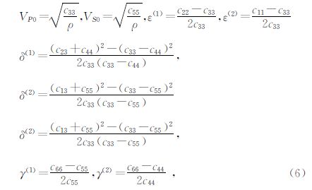
由弹性矩阵表示的裂缝介质物理意义不直观,为了直观表示,Tsvankin提出用两个垂向速度和七个无量纲的参数来表征OA介质弹性性质.具体定义为


|
|
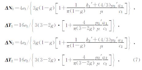
表 1 背景参数 Table 1 background parameters |
|
|
表 2 裂缝参数 Table 2 fracture parameters |
|
|
表 3 等效OA介质弹性参数 Table 3 equivalent orthorhombic parameters |
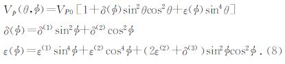
根据Tsvankin,当P波偏离对称面传播其相速度为

根据地震波运动学特征,应用射线追踪方法,计算了正交各向异性介质中地震波走时,为反射地震波走时分析及参数反演提供了基础. 采用表 1表 2的模型数根据公式8可以得到各向异性参数、纵波速度以及地震走时与入射角与方位角的关系,其中ε随方位角的变化如图 1所示,δ随方位角的变化如图 2所示,速度随方位角偏移距变化如图 3所示,旅行时随方位角偏移距变化如图 4所示.
![]() | 图 1 ε随方位角的变化示意图 Fig. 1 The sketch of ε change with the azimuth |
![]() | 图 2 δ随方位角的变化示意图 Fig. 2 The sketch of δ change with the azimuth |
![]() | 图 3 vp随方位角偏移距的变化 Fig. 3 vp change with the azimuth and offset |
![]() | 图 4 t随方位角偏移距的变化 Fig. 4 t change with the azimuth and offset |
图 1为ε随方位角的变化,由图知当Φ=90,270度时ε最小,ε周期性变化并且方位变化明显.图 2为δ随方位角的变化,由图知当Φ=90,270度时δ最小,当Φ=0,180度时δ最小,随方位变化明显.图 3为速度随方位角入射角的变化,对于相同的偏移距,当Φ=0°,180°,360°时速度最大,当Φ=90°,270°时速度最小,最大走时与最小走时速度相差500 m/s,可知裂缝引起的速度变化很明显.图 4 为时间t随方位角入射角的变化,对于相同的偏移距,由图知当Φ=0°,180°,360°时时间最小,当Φ=90°,270°时时间最大,最大走时与最小走时速度相差300 ms,可知裂缝引起的旅行时间变化很明显.由于各向异性参数纵波速度以及时间与方位角偏移距有关系,因此可以根据不同方位不同偏移距的信息反演各向异性参数以及速度信息进而反演裂缝参数.
3 P波速度及各向异性参数反演地球物理反问题大多是非线性的,地层多参数反演容易出现多解性和局部最优的问题,本文采用最小二乘方法反演裂缝方位角与各向异性参数.反演公式如公式9所示:速度可以根据动校正求出.为了验证方法的正确性与抗噪性,分别加入信噪比为10,信噪比为5信噪比为1的噪音.

采用图 3所示的地震纵波速度,加入不同信噪比反演得到结果,根据公式9可以反演得到各向异性的反演结果,反演得到的各向异性参数如图 5图 6所示,其中图 5为ε随方位角的变化的反演结果,图 6为δ随方位角的变化的反演结果.其中黑线为精确反演结果,红线为信噪比为10的反演结果,绿线为信噪比为5的反演结果,蓝线为信噪比为1的反演结果,由图 5图 6知,信噪比较高反演结果较准确,信噪比较低反演结果与真实结果有一定的偏差.
![]() | 图 5 ε反演结果 Fig. 5 ε inversion result |
![]() | 图 6 δ反演结果 Fig. 6 δ inversion result |
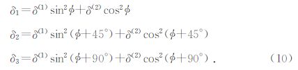
图 5为ε反演结果,黑线为原始结果,红线为信噪比为10 的反演结果,绿线为信噪比为5的反演结果,蓝线为信噪比为1的反演结果.图 6为δ反演结果,黑线为原始结果,红线为信噪比为10 的反演结果,绿线为信噪比为5的反演结果,蓝线为信噪比为1的反演结果.从图 5图 6结果中,选取三条线的结果反演裂缝方位角以及其余的各向异性参数.我们选取方位角为0度,45度,以及90度方位的ε,δ的反演结果,如图 7所示,然后进行各向异性参数反演以及裂缝参数反演.
![]() | 图 7 三条测线示意图 Fig. 7 The sketch of 3 lines |
根据公式8与我们选取的方位角为0°,45°,90°的三条测线可以得到公式为

公式10中有3个未知数分别为δ(1),δ(2),Φ,根据公式10中三个一次方程可以求得裂缝方位角参数如公式11所示.

反演得到裂缝方位角之后,根据公式8中后两个方程,采用最小二乘方法,可以得到正交各向异性中其余正交各向异性参数.反演结果如表 4,表 5所示所示,其中表 4为不同信噪比的反演结果,表 5为不同信噪比反演结果的误差百分比,其中vp0,ε1,δ1,δ2,的反演结果比较准确,ε2,δ3的反演结果相对不准确.
|
|
表 4 正交各向异性介质参数反演 Table 4 parameters inversion of orthogonal anisotropic medium |
|
|
表 5 正交各向异性介质参数反演误差百分比 Table 5 The error parameters inversion of orthogonal anisotropic medium |
表 4表 5为正交各向异性介质各向异性参数反演结果,其中表 4为各向异性参数反演数值,表 5为各向异性参数反演的误差百分比,从表 4表 5知,当地震记录不含噪音或者信噪比很高反演结果比较准确与真实结果差别不大,当信噪比较低时反演结果误差较大,实际地震记录中应该用信噪比较高的地震数据.
4 裂缝参数反演根据等效理论可以将裂缝参数等效为各向异性参数如


|
|
表 6 裂缝参数的反演 Table 6 Parameters inversion of fracture parameters |
|
|
表 7 裂缝参数反演误差百分比 Table 7 The error parameters inversion of fracture parameters |
表 6表 7为裂缝参数参数反演结果,其中表 6为裂缝参数反演数值,表 7为裂缝参数反演的误差百分比,从表 6表 7知,当地震记录不含噪音或者信噪比很高反演结果比较准确与真实结果差别不大,当信噪比较低时反演结果误差较大.限于方法的局限性仅能反演裂缝的法向柔度,裂缝切向柔度反演方法还需要讨论.
为了验证该方法的准确性,抽取Marmours模型中其中一道作为模型数据,如图 8所示.其中从左到右分别为纵波速度,横波速度,密度,裂缝1的法向柔量,裂缝2的切向柔量,纵轴为时间t.如图,模型中设置两个含裂缝的位置,如红线所在区域.利用雷克子波合成不同信噪比不同方位的地震记录,然后从地震记录出发,求取不同方位的动校正速度,然后根据上面方法反演裂缝法向柔量,裂缝法向柔量的反演结果结果如图 9所示,从左到右分别信噪比为10裂缝1的法向柔量,信噪比为10裂缝2的法向柔量,信噪比为5裂缝1的法向柔量,信噪比为5裂缝2的法向柔量,信噪比为1裂缝1的法向柔量,信噪比为1裂缝2的法向柔量.由图 9知不同信噪比反演裂缝密度的位置都正确,但是当信噪比较低时,反演得到的裂缝法向柔量不准确,信噪比等于1时得到的裂缝密度反演结果与已知裂缝密度差别较大因此实际反演中应用信噪比较高的地震数据.
![]() | 图 8 模型示意图 Fig. 8 The sketch of model |
![]() | 图 9 裂缝参数反演结果 Fig. 9 The inversion results of fracture parameters |
本文首先根据裂缝等效理论将位于各向同性背景上的两组垂直裂缝等效为正交各向异性介质,并验证了等效结果的准确性.然后分析了裂缝介质各向异性参数、P波速度与走时信息,发现各向异性参数、纵波速度与走时具有强烈的方位特征,对于相同的偏移距,当Φ=0°,180°,360°时速度最大,当Φ=90°,270°时速度最小,最大走时与最小走时速度相差500 m/s,可以看出裂缝引起的速度变化很明显.对于旅行时,当Φ=0°,180°,360°时时间最小,当Φ=90°,270°时时间最大,最大走时与最小走时速度相差300ms,可以看出裂缝引起的旅行时变化很明显,为利用P波或旅行时信息反演各向异性参数提供了依据,然后用最小二乘反演裂缝方位角和各向异性参数,反演结果表明当地震记录信噪比较高时裂缝参数反演比较准确,当信噪比较低时反演结果不准确,另外本文方法针对各向同性背景上发育两组垂直裂缝的裂缝参数反演,Marmours单道模型反演结果表明信噪比较高本文提出的方法能够反演裂缝法向柔量,信噪比较低反演的法向柔量不准确.但是限于方法的局限性,仅能反演裂缝的法向柔度,裂缝的切向柔度反演需要进一步讨论.
致 谢 感谢国家973项目多元多尺度地球物理信息映射关系及反演(2013CB228604)与山东省自然科学基金(ZR2010DM016)对本文的赞助.附录 弹性参数和各向异性参数与裂缝参数之间的关系



| [1] | Alkhalifah T. 1997. Velocity analysis using nonhyperbolic moveout in transversely isotropic media[J]. Geophysics, 62(6): 1839-1854. |
| [2] | Bakulin A, Grechka V, Tsvankin L. 2000a. Estimation of fracture parameters from reflection seismic data—Part1: HTI model due to a single fracture set[J]. Geophysics, 65(6): 1788-1802. |
| [3] | Bakulin A, Grechka V, Tsvankin L. 2000b. Estimation of fracture parameters from reflection seismic data-Part2: Fracture modles with orthorhombic symmetry [J]. Geophysics, 65(6): 1803-1817. |
| [4] | Bakulin A, Grechka V, Tsvankin L. 2000c. Estimation of fracture parameters from reflection seismic data-Part3: Fracture modles with monoclinic symmetry [J]. Geophysics, 65(6): 1788-1802. |
| [5] | Chichiniana T, Sabinin V, Ronquillo-Jarillo G. 2006. QVOA analysis: P-wave attenuation anisotropy for fracture characterization[J].Geophysics, 71(3): C37-C48. |
| [6] | Downton J, Gray D. 2006. AVAZ parameter uncertainty estimation[C]. //Expanded Abstracts of 76th Annual Internat SEG Mtg: 234-238. |
| [7] | Grechka V, Tsvankin I. 1998. Feasibility of nonhyperbolic moveout inversion in transversely isotropic media[J]. Geophysics, 63(3): 957-969. |
| [8] | Hudson J A. 1981. Wave speeds and attenuation of elastic wave in material containing cracks[J]. Geophysics, 1981, 64(1): 133-150. |
| [9] | Ruger A. 1997. P-wave reflection coefficients for transversely isotropic models with vertical and horizontal axis of symmetry[J]. Geophysics, 62(3) 713-722. |
| [10] | Schoenberg M, Sayers C M. 1995. Seismic anisotropy of fractured rock [J]. Geophysics, 60(1): 204-221. |
| [11] | Thomsen L. 1986. Weak elastic anisotropy[J]. Geophysics, 51(10): 1954-1966. |
| [12] | Tsvankin L, Thomson L. 1994. Nonhyerbolic reflection moveout in anisotropic media[J]. Geophysics, 59(8): 1290-1304. |
| [13] | Tsvankin L, Thomson L. 1995. Inversion of reflection traveltimes for transverse isotropy[J]. Geophysics, 60(4): 1095-1107. |
| [14] | Tsvankin L. 1997. Anisotropic parameters and P-wave velocity for orthorhombic media[J]. Geophysics, 62(4): 1292-1309. |
| [15] | 刁顺, 杨慧珠, 许云. 1994a. 非均匀散射[J]. 石油物探, 33(4): 49-55. |
| [16] | 刁顺, 杨慧珠, 许云. 1994b. TI介质裂纹散射研究[J]. 石油地球物理勘探, 29(5): 545-551. |
| [17] | 刘恩儒, 岳建华, 潘冬明. 2006. 地震各向异性——多组裂隙对横波偏振的影响[J]. 地球物理学报, 49(5): 1401-1409. |
| [18] | 吕景发. 1985. 波在含有各向异性不均匀体介质中的散射理论[J]. 地球物理学报, 28(4): 437-442. |
| [19] | 唐晓明, 钱玉萍, 陈雪莲. 2013. 孔隙、裂隙介质弹性波理论的实验研究[J]. 地球物理学报, 56(12): 4226-4233. |
| [20] | 熊翥. 2005. 西部碳酸盐岩储层识别和特征描述[J]. 勘探地球物理进展, 28(4): 229-233. |
2014, Vol. 29










