2. 吉林大学, 长春 130026
2. Jilin University, Changchun 130026, China
0 引 言
电磁反演技术正在由一维向二、三维方向发展.但对于CSAMT方法来说,2D正反演技术由于使用长导线源,和实际应用中的等效偶极源不符,所以2D正反演只是停留在理论研究中(王若等,2008).为了和野外实际构造情况接近,发展了二维构造三维源的正反演技术(底青云等,2004;雷达,2010;王若等,2014),但在野外实际应用中,部分目标体是三维的,所以3D正反演的应用能符合部分实际情况,值得着力发展.从总体看来,电磁法3D正反演技术虽然近年来得到了飞速发展(Portniaguine and Zhdanov, 1999;林昌洪等,2011),然而应用于实际野外资料解释中,还受到计算时间与计算精度的制约,不能得到很精细的反演结果.因此,对CSAMT方法来说,1D正反演技术在实际资料的解释中仍占据着重要的地位.
除少数全域反演技术外(师学明和王家映,1998;杨辉等,2001; Ruo Wang et al,2012),灵敏度矩阵(或偏导数矩阵)在非线性迭代反演中至关重要.求取灵敏度矩阵的方法有多种,如半解析法(潘渝等,1987;Xiaobo Li et al,2000; 张成林,2011),互易法(Patricia and Wannamaker, 1996; 沈金松和孙文博,2008),扰动法(张林成,2011),近似法(杨长福和林长佑,1994;谭捍东等,2003;欧东新和王家林,2005),伴随矩阵法(或辅助场法)等(MeGillivra and Oldenburg, 1994;熊彬等,2004).由于互易法、近似法、伴随矩阵法等可以减少求灵敏度矩阵时正演的次数,减少计算时间,被广泛应用于2D和3D反演中.相比之下,1D反演中扰动法应用较多,因为只需做两次正演即可完成一个参数偏导数的计算.但应用扰动法的弊端在于:
1 )当层数及相应的层参数较多时,求偏导数所需的正演次数相应增加,导致反演迭代过程中正演次数增加;
2)扰动法求出的偏导数在扰动量不合适时存在较大误差,导致反演解的不稳定性,甚至反演失败.
半解析法能克服这个缺陷,它能给出较精确的偏导数.在现有的反演算法中,张林成给出了CSAMT方法柱坐标下一维偏导数的公式(张林成,2011),然而其所推公式主要应用于三维反演中,在一维CSAMT反演算法中使用差商法(扰动法)计算偏导数.Li等(2000)详细给出了可控源张量电磁法各向异性情况下偏导数的计算公式,并得到了较好的反演结果.
本文推导了直角坐标下CSAMT层状各向同性介质中电磁场以及视电阻率对电性参数偏导数的半解析公式,并利用扰动法对计算结果进行验证.随后,本文针对三层地电模型CSAMT观测资料对薄层模型的灵敏度展开讨论,分析了薄层电阻率和埋深对灵敏度的影响规律. 1 CSAMT一维层状介质正演
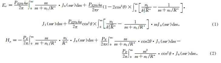
对于电偶源发射、各向同性水平层状大地(如图 1,电阻率为ρ1,ρ2,…,ρL,厚度为h1,h2,…hL-1,L为层数)的CSAMT电磁响应可表示为(朴化荣,1990;殷长春,1994;王若和王妙月,2007):
![]() | 图 1 层状(L层)地电模型及CSAMT装置形式(C点为观测点)Fig. 1 The layered earth model and the configuration of CSAMT |

和ρ1分别为第一个电性层的波数和电阻率.θ为电偶极源方向和源的中点到接收点矢径之间的夹角,r为收发距,即观测点距偶极子中心的距离.J0(mr)和J1(mr)分别为零阶和一阶贝塞尔函数.对于L层导电介质,核函数R*和
的迭代公式(朴化荣,1990)为

为第l层的波数,
(1)和(2)式可通过快速汉克尔变换进行计算,本文采用安德森801点滤波系数(Anderson,1989).然后,可利用下式计算卡尼亚阻抗视电阻率ρs及相位φ:

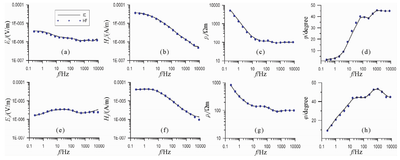
本文中采用三层模型来计算(1)(2)式中的电场和磁场,三层模型中第一层电阻率为100 Ωm,由浅入深三层电阻率之比为1101.前两层的厚度均为300 m,第三层为均匀半空间.计算时所用的装置参数为:发射极AB位于地面上,发射偶极长1000 m,发射电流20 A,发射频率0.25~8192 Hz,按2的幂指数变化.C点为接收点(参见图 1).当θ=0°时,C点位于x轴上,距源6400 m.当θ=90°时,C点位于y轴上,距源6400 m.
图 2为不同观测频率时(1)(2)(5)(6)式的计算结果.第一、二行分别对应θ=0°和θ=90°时的电场、磁场、视电阻率和相位曲线.为了验证汉克尔滤波算法的正确性,本文利用美国Utah大学的积分方程算法程序的计算结果进行对比.确切地说,真正用到的是程序中的格林函数部分,因为这部分是作为库函数内置于积分方程算法程序之中,所以这里仍然用“积分方程算法程序”来表述.从图 2可以看出,二者吻合程度很好,说明本文的汉克尔变换滤波方法得到的结果正确可靠.
![]() | 图 2 三层模型的CSAMT正演结果 IE:积分方程计算结果;HF:汉克尔数字滤波结果. (a)~(d)分别为θ=0°时的电场、磁场、视电阻率和相位曲线;(e)~(h)分别为θ=90°时的电场、磁场、视电阻率和相位曲线.Fig. 2 The forward modeling results of 3-layered model IE: the results of Integral Equation method; HF: the results of Hankel digital filter method. (a)-(d)show the curves of electrical field,maganetic field,apparent resistivity and the phase versus frequencies,respectivity,when θ=0° and (e)-(h)show the same when θ=90°. |
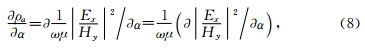
2.1 视电阻率对层参数的导数
对于本文假设的L层地电模型,共有2L-1个地层参数,将其用向量表示为



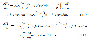
2.2 电磁场对层参数的偏导数
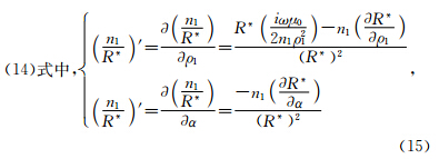
从(1)式和(2)式可以看出,在电磁场的积分项中,只有核函数与层参数有关.因此,求电磁场对层参数的偏导数时只需求出核函数对层参数的偏导数即可.假设
则电磁场对层参数的偏导数可写为



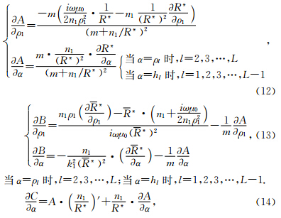
下面给出R*和
分别对层电阻率和厚度的偏导数公式. 由(3)式,有

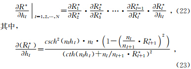
2.2.2 R*对厚度的偏导数
按同样的方法,可求出R*对层厚度的偏导数

2.2.3
对电阻率的偏导数
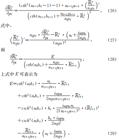
用
直接对层电阻率求导,得到


对电阻率的导数.
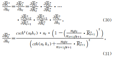
2.2.4
对厚度的求导

对层厚度的偏导数.以上各导数求出后,电磁场对层参数的偏导数以及视电阻率对层参数的偏导数可用(10)(11)式计算得到. 3 扰动法求灵敏度矩阵
用正演程序先对某一层状模型计算地面的电磁场和视电阻率,然后将其中一个层参数加一个小的扰动,保持其它层参数不变,对新模型正演,将两次正演的电场、磁场和阻抗视电阻率进行相减,并除以模型的扰动量,便得到用扰动法求得的各个物理量(电场、磁场或视电阻率)对该层参数的偏导数.从该计算过程可以看出,需要做相当于层参数个数加1次的正演.层参数越多,正演次数也越多.现在计算机取得了飞速发展,正演一次的计算量已微不足道,但在反演中,需多次迭代,正演所占的比重将较大,所以仍希望正演越快或正演次数越少越好. 4 计算实例
根据以上公式分别计算了层状介质模型的灵敏度矩阵.下面仍以上文所用的三层模型为例研究层参数变化对电磁响应的影响.
计算偏导数时发射频率从0.25~8192 Hz,按2的幂变化.装置形式与上文相同.
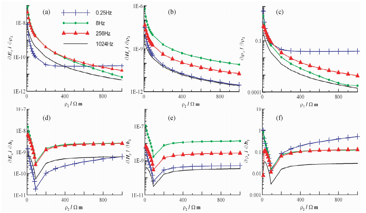
图 3和4分别给出了θ=0°和90°时Ex和Hy对层参数的偏导数随频率变化的曲线.图中,各行分别表示电场的幅值、磁场的幅值和阻抗视电阻率对层参数的偏导数随频率的变化;而各列曲线则表示相应场的幅值和阻抗视电阻率对电阻率和厚度参数的偏导数.为了验证计算结果的正确性,图中一并给出利用扰动法的计算结果.
![]() | 图 3 θ=0°时的电场、磁场、阻抗视电阻率对层参数的偏导数 离散点为用本文半解析公式计算得到的结果,而实线为用扰动法计算得到的结果.Fig. 3 The sensitivity of electric field,magnetic field and apparent resistivity against layer parameters when θ=0° Discrete point is the results of half-analytic method in the paper and the solid line is the results of perturbation method. |
从图 3和图 4可以看出,本文半解析算法与扰动法得到的结果,除了在个别高频点处扰动法出现振荡外,两者符合程度很高,说明本文所推半解析算法的正确性.
利用本文公式计算电磁场及阻抗视电阻率对第一层电阻率的偏导数,考虑到用汉克尔变换计算地面电磁场时,第一层内核函数包含了源的影响,导致汉克尔积分收敛不稳定,本文利用文献(朴化荣. 1990;汤井田和何继善,2005)的处理技术,将(10)式中求偏导数的核函数减去均匀半空间的对应项,在计算出汉克尔积分后再加上均匀半空间中电场对第一层电阻率的偏导数,这样可有效改善计算结果的稳定性和精度.
![]() | 图 4 θ=90°时的电场、磁场、阻抗视电阻率对层参数的偏导数 图中离散点为本文半解析公式计算结果,而实线为扰动法计算结果.Fig. 4 Same as Fig. 1 but when θ=90° |
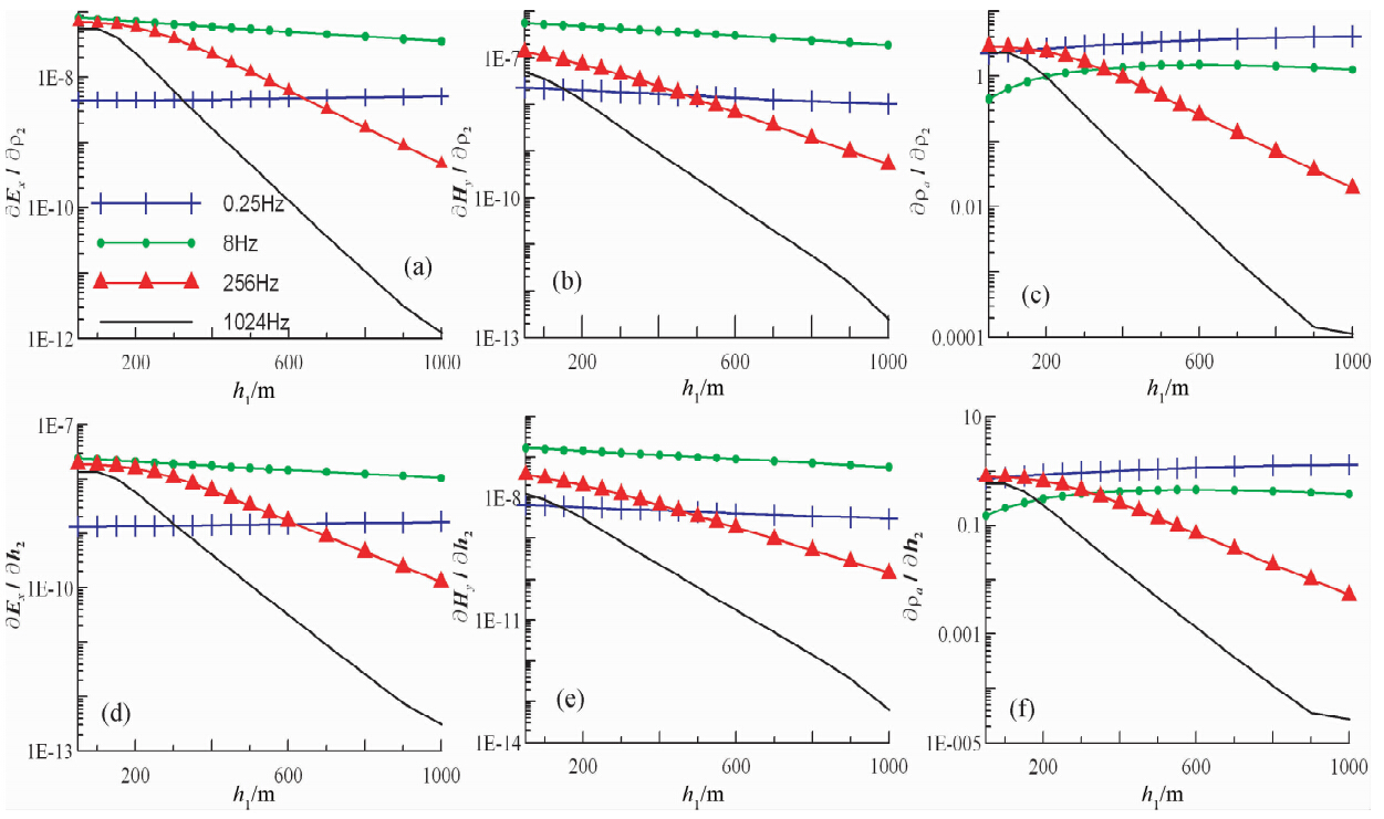
在实际资料的反演解释中,薄层不容易被识别.薄层模型灵敏度分析的目的是从灵敏度矩阵特征来探讨反演薄层参数的可能性.以野外工作中常用的赤道装置(θ=90°)为例.
模型结构与上文所用的三层模型相似,只是中间层设定为厚度为30 m电阻率为10 Ωm的低阻薄层,上下各层的电阻率和厚度均不变.
下面首先研究CSAMT电磁场的幅值及阻抗视电阻率对薄层层参数灵敏度的空间分布规律,然后分析中间层层参数和埋深变化对其灵敏度的影响特征.
5.1 灵敏度随薄层电阻率的变化特征
假设中间薄层的厚度保持30 m不变,电阻率从低阻10 Ωm逐渐变化到高阻1000 Ωm,图 5给出CSAMT响应对薄层参数的灵敏度随薄层电阻率变化的分布特征.
![]() | 图 5 CSAMT电磁响应对层参数的灵敏度随薄层电阻率的变化特征 (a)(b)(c)分别为电场、磁场及阻抗视电阻率对薄层电阻率参数的灵敏度,而 (d)(e)(f)分别为电场、磁场及阻抗视电阻率对薄层厚度参数的灵敏度.Fig. 5 The sensitivity character of CSAMT electromagnetic responds against the layer parameters while the resistivity of the middle thin layer varying (a)(b)(c)is the sessitivity against the resistivity, and (d)(e)(f)is against the depth. |
从图 5a到c可以看出:随着薄层电阻率的增加,电磁场对薄层电阻率的灵敏度降低,说明薄层电阻率越高,反演时越不易分辨.在图 5a中,当频率为0.25 Hz时,电场对薄层电阻率的偏导数没有单调下降,而是下降一段后,灵敏度基本保持不变.分析认为,因为低频时电磁波穿透深度大,当薄层电阻率为200 Ωm时,0.25 Hz的电磁波已穿透该层.当薄层电阻率继续增加时,电磁波在该层的耗散也越来越少,这个频率的电磁波一直处于穿透该层的状态,所以会出现低频时曲线保持水平的情况.而对于5b的磁场来说,没有出现这个现象,说明磁场的穿透能力没有电场强.因为电场的偏导数稍大于磁场的偏导数,所以5c中视电阻率的偏导数保持了电场的偏导数的特征.
相对于电磁场对薄层电阻率的灵敏度单调下降而言,图 5d~f中,电磁场对薄层厚度的灵敏度曲线却是先降后升.在第二层电阻率接近于背景电阻率100 Ωm时,灵敏度降到最低,这是显而易见的;然后随着第二层电阻率的增加又增加,但随后电阻率增加灵敏度呈现较小增加趋势,这说明无论对低阻薄层,还是对高阻薄层,观测电磁场和视电阻率对中间层的厚度有一定的敏感度,对高阻薄层来说,观测资料对层厚度的敏感度要高于对电阻率的灵敏度.
图 5还表明,无论是电磁场还是阻抗视电阻率资料,当电阻率值大于等于200 Ωm时,灵敏度曲线的变化比较平缓.这就意味着,在迭代反演中,灵敏度矩阵元素可取近似不变的值.然而,灵敏度随频率变化较大,因此可考虑采用对频率加权技术来改善对中间薄层的分辨能力.
5.2 灵敏度随低阻薄层的埋深变化
为了研究当低阻薄层的埋深发生变化时,观测资料对低阻薄层层参数的灵敏度规律,保持薄层电阻率为10 Ωm,厚 度为30 m不变,计算了当低阻薄层的埋深分别为50~1000 m共 16个埋深时的灵敏度值,灵敏度随第二层埋藏深度的变化曲线如图 6所示.
从图 6可以看出:对于低频(图中f=0.25,8 Hz),无论是电磁场还是阻抗视电阻率灵敏度随薄层埋深的变化都比较平缓.通过分析发现,因低频时探测深度大,根据电磁场探测的体积效应,第二层薄层在一定的探测体积内所占比重不变,所以低频时它的灵敏度不变.而对于中高频(图中f=256 Hz,1024Hz)场的灵敏度随埋深变化较大.埋深越大,灵敏度越低.另外,对于中高频灵敏度幅值不仅变化较大,而且灵敏度随中间层埋深加大而变小,这表明,反演时不仅需要做参数加权,而且要做资料加权,以平衡不同频率的灵敏度差异,增加反演解的稳定性.
![]() | 图 6 观测资料对薄层层参数的灵敏度随薄层埋深变化曲线 (a)(b)(c)分别为电场、磁场及阻抗视电阻率对薄电阻率的灵敏度,而(d)(e)(f)分别为电场、磁场及阻抗视电阻率对薄层厚度的灵敏度.Fig. 6 The sestivity curve of the observe data against the layer parameters of the middld thin layer (a)(b)(c)is the sessitivity against the resistivity, and (d)(e)(f)is against the depth. |
本文推导了一维CSAMT方法的偏导数公式,并用扰动法做了检验.三层模型的检验结果显示公式法的偏导数和扰动法的偏导数随频率的变化曲线一致,说明本文的半解析公式结果正确可靠.灵敏度特征分析表明CSAMT观测资料对中间低阻薄层比较敏感,对高阻薄层的分辨率较低,但对层厚度,即便是高阻薄层,仍存在较高的灵敏度.频率对层参数 的灵敏度有重要影响.实际应用中,应同时考虑资料和参数加权,以提高中间层参数的求解能力.这将是未来的研究方向.
| [1] | Anderson W L. 1989. A hybrid fast Hankel transform algorithm for electromagnetic modeling[J]. Geophysics, 54(2): 263-266. |
| [2] | Di Q Y, Unsworth M, Wang M Y. 2004. 2. 5-D CSAMT modeling with the finite element method over 2-D complex earth media[J]. Chinese J. Geophys. (in Chinese), 47(4): 723-730. |
| [3] | Lei D. 2010. Studies and applications of 2-D CSAMT modeling and inversion with a dipole source and topography[J]. Chinese J. Geophys. (in Chinese), 53(4): 982-993. |
| [4] | Li X B, Oskooi B, Laust B P. 2000. Inversion of controlled-source tensor magnetotelluric data for a layered earth with azimuthal anisotropy[J]. Geophysics, 65(2): 452-464. |
| [5] | Lin C H, Tan H D, Tong T. 2011. The possibility of obtaining nearby 3D resistivity structure from magnetotelluric 2D profile data using 3D inversion[J]. Chinese J. Geophys. (in Chinese), 54(1): 245-256. |
| [6] | Lugao P P D, Wannamaker P E. 1996. Calculating the two-dimensional magnetotelluric Jacobian in finite elements using reciprocity[J]. Geophys. J. Int. , 127: 806-810. |
| [7] | MeGillivra P R, Oldenburg D W, Ellis R G, et al. 1994. Calculation of sensitivities for the frequeney domain electromagnetic problem[J]. Geophys. J. Int., 116(1): 1-4. |
| [8] | Ou D X, Wang J L. 2005. The fast magnetotelluric inversion of 2-D block structrue[J]. Geophysical Prospecting for Petroleum (GPP) (in Chinese), 44(5): 525-528. |
| [9] | Pan Y, Wang G E, Chen L S, et al. 1987. Analytic method for MT data of 2D electric structure[J]. Oil Geophysical Prospecting (in Chinese), 22(3): 315-328. |
| [10] | Piao H R. 1990. Theory of Electromagnetic sounding (in Chinese) [M]. Beijing: Geology Press. |
| [11] | Portniaguine O, Zhdanov M S. 1999. Focusing geophysical inversion images[J]. Geophysics, 64(3): 874-887. |
| [12] | Shen J S, Sun W B. 2008. Reciprocity of electromagnetic response and its application in sen-sitivity calculation[J]. Progress in Exploration Geophysics (PEG) (in Chinese), 31(1): 25-33. |
| [13] | Shi X M, Wang J Y. 1998. One dimensional magnetotelluric sounding inversion using simulated annealing[J]. Journal of Earth Science (in Chinese), 23(5): 542-545. |
| [14] | Tan H D, Yu Q F, Booker J, et al. 2003. Three-dimensional rapid relaxation inversion for the magnetotelluric method[J]. Chinese J. Geophys. (in Chinese), 46(6): 850-854. |
| [15] | Tang J T, He J S. 2005. Controlled source audio frequency magnetotelluric method and its application (in Chinese) [M]. Changsha: Central South University Press. |
| [16] | Wang R, Wang M Y 2007. Inversion of 1-D full CSAMT data[J]. Oil Geophysical Prospecting (OGP) (in Chinese), 42(1): 107-114. |
| [17] | Wang R, Wang M Y, Lu Y L. 2008. RRI inversion of electromagnetic sounding in frequency domain[J]. Progress in Geophys (in Chinese), 23(5): 1560-1567. |
| [18] | Wang R, Yin C C, Wang M Y, et al. 2012. Simulated annealing for controlled-source audio-frequency magnetotelluric data inversion[J]. Geophysics, 77(2): 127-133. |
| [19] | Xiong B, Luo Y Z, Qiang J K. 2004. Methods for calculating sensitivities for 2. 5D transient electromagnetic inversion[J]. Progress in Geophysics (in Chinese), 19(3): 616-620. |
| [20] | Yang C F, Lin C Y. 1994. The magnetotelluric parameterized inversion of 2-D layered model[J]. Northwestern Seismological Journal (in Chinese), 16(4): 10-19. |
| [21] | Yang H, Wang Y T, Wang J L, et al. 2001. Pseudo 2D simulated annealing constraint inversion for MT data[J]. Marine Petroleum Geology (in Chinese), 6(1): 47-52. |
| [22] | Yin C C. 1994. One-dimensional modeling of CSAMT method and evaluation of calculation precision[J]. Journal of Changchun University of Earth Sciences (in Chinese), 24(4): 438-453. |
| [23] | Zhang L C. 2011. Controlled Source Audio-frequency Magnetotelluric Inversion for Minimum Structure (in Chinese) [D]. Changsha: Central South University. |
| [24] | 底青云, Unsworth M, 王妙月. 2004. 复杂介质有限元法2. 5维可控源音频大地电磁法数值模拟[J]. 地球物理学报, 47(4): 723-730. |
| [25] | 雷达. 2010. 起伏地形下CSAMT二维正反演研究与应用[J]. 地球物理学报, 53(4): 982-993. |
| [26] | 林昌洪, 谭捍东, 佟拓. 2011. 利用大地电磁三维反演方法获得二维剖面附近三维电阻率结构的可行性[J]. 地球物理学报, 54(1): 245-256. |
| [27] | 欧东新, 王家林. 2005. 二维块状结构大地电磁快速反演[J]. 石油物探, 44(5): 525-528. |
| [28] | 潘渝, 王光愕, 陈乐寿,等. 1987. 二维地电构造大地电磁测深资料的解析方法[J], 石油地球物理勘探, 22(3): 315-328. |
| [29] | 朴化荣. 1990. 电磁测深法原理[M]. 北京: 地质出版社. |
| [30] | 沈金松, 孙文博. 2008. 电磁响应的互换原理及其在响应灵敏度计算中的应用[J]. 勘探地球物理进展, 31(1): 26-33. |
| [31] | 师学明, 王家映. 1998. 一维层状介质大地电磁模拟退火反演法[J]. 地球科学—中国地质大学学报, 23(5): 542-545. |
| [32] | 谭捍东, 余钦范, Booker J,等. 2003. 大地电磁法三维快速松弛反演[J]. 地球物理学报, 46(6): 850-854. |
| [33] | 汤井田, 何继善. 2005. 可控源音频大地电磁法及应用[M]. 长沙: 中南大学出版社. |
| [34] | 王若, 王妙月. 2007. 一维全资料CSAMT反演[J]. 石油地球物理勘探, 42(1): 107-114. |
| [35] | 王若, 王妙月, 卢元林. 2008. 频率域2维电磁测深资料的RRI反演[J]. 地球物理学进展, 23(5): 1560-1567. |
| [36] | 王若,王妙月, 底青云,等.2014. CSAMT 三维单分量有限元正演[J]. 地球物理学进展,29(2):839-845. |
| [37] | 熊彬, 罗延钟, 强建科. 2004. 瞬变电磁法2. 5维反演中灵敏度矩阵计算方法(I)[J]. 地球物理学进展, 19(3): 616-620. |
| [38] | 杨长福, 林长佑. 1994. 大地电磁二维层状模型参数化反演[J]. 西北地震学报, 16(4): 10-19. |
| [39] | 杨辉, 王永涛, 王家林,等. 2001. 大地电磁测深拟二维模拟退火约束反演[J]. 海相油气地质, 6(1): 47-52. |
| [40] | 殷长春. 1994. 可控源音频磁大地电流法一维正演及精度评价[J]. 长春地质学学报, 24(4): 438-453. |
| [41] | 张林成. 2011. 可控源音频大地电磁测深最小构造反演[D]. 长沙: 中南大学. |
2014, Vol. 29







