2. 国家卫星气象中心遥感应用试验基地/广西气象减灾研究所, 南宁 530022;
3. 中国科学院地质与地球物理研究所, 北京 100029;
4. 中国气象科学研究院, 北京 100081
2. Remote Sensing Application and Experiment Station of National Satellite Meteorological Center/Guangxi Meteorological Disaster Mitigation Institute, Nanning 530022, China;
3. Institute of Geology and Geophysics, Chinese Academy of Sciences, Beijing 100029, China;
4. Chinese Academy of Meteorological Sciences, Beijing 100081, China
岩石圈磁场是地壳和上地幔上部所有低于居里点温度的磁性岩石所产生的磁场,也称为地壳磁场或磁异常,它的强度、空间分布以及时间变化取决于两个因素:岩石的剩余磁化强度,该强度主要与火成岩和变质岩有关(Purucker and Whaler, 2007),它们中间广泛分布着含钛的磁铁矿,并在低于居里点温度下产生剩余磁化强度,简称剩磁(朱岗崑,2005);地磁场是固体地球内部和外部磁层顶空间范围内所有场源产生的磁场(Hulot et al., 2007),每一点的地磁场可分解为7个分量,分别为东向分量X、北向分量Y、垂直分量Z、总强度F、水平分量H、磁偏角D和磁倾角I.在地磁场作用下,地球的岩石通过地磁感应场的感应磁化作用会产生一定强度的磁场,这部分磁场称为感应磁化强度,简称感磁,剩磁和感磁是产生岩石圈磁场的两个源.相关学者研究认为海洋地区岩石磁场中以剩余磁化强度占优势,大陆地区岩石磁场中以感应磁化强度占主要部分(Maus and Haak,2002; 徐文耀,2009;Thebault et al., 2010),故研究大陆地区的岩石圈磁场分布不仅可为岩石圈磁场分布、不同尺度的岩石圈磁场深度估算等理论研究提供依据,而且可为地磁导航、地磁台站布设、矿物勘探等提供参考.
岩石圈磁场最大的特点是:时间上的稳定性(30000~60000 nT)和空间上的复杂性(小于1 nT~数万nT)(徐文耀,2003),尽管强度只占地磁总强度的4%左右,但是其空间分布和变化幅度要远远复杂于地核场(也称为主磁场).为了研究小尺度的岩石圈磁场,基于覆盖全球的地面台站、海洋、航空以及卫星磁测数据,建立了一批高精度的全球模型,如地磁综合模型CM(Comprehensive Model of Geomagnetic Field)系列(Sabaka and Baldwin, 1993;Langel et al., 1996; Sabaka et al., 2002; Sabaka et al., 2004)、岩石圈磁场模型MF(Lithospheric Magnetic Field)系列(Maus et al., 2002; Maus et al., 2006; Maus et al., 2007; Maus et al., 2008)、高阶全球模型NGDC-720(Maus, 2010)(NGDC-720 Lithospheric magnetic model)、EMM2010(Enhanced Magnetic Model 2010)等,这些模型都基于1839年高斯提出的球谐理论以及高精度的磁测数据以建立.随着建模算法的完善与电脑计算能力的提高,这些模型的截断阶数都高于50阶,甚至达到了720阶,对应的空间波长(简称波长)为56 km,为深入研究不同尺度的岩石圈磁场奠定了基础.
准确分离地磁场各场源是能否深入地研究岩石圈磁场的关键.由于地面数据点的分布不均、卫星数据的强度衰减以及场源的估算误差使各场源分离产生了一定难度,并已成为地磁学领域的研究热点之一.而功率谱技术能够清楚地反映出地磁场的各种场源对所观测磁场的平均贡献,它已成为现今场源分离及岩石圈磁场研究的重要途径(McLeod and Coleman, 1980).各国学者结合功率谱技术与高精度的全球地磁模型(全球模型),对地核场和岩石圈磁场的分离进行了若干研究.Cain等(1989)利用地磁场功率谱进行1980年的地核和岩石圈磁场的分离时发现,当截断阶数为14.2时,地核和岩石圈磁场的能量密度相等.Counil等(1991)利用地磁场的球谐展开式分析岩石圈磁场时,结合功率谱发现截断阶数13是分离地核场和岩石圈磁场的理想阶数.Hulot等(2009)对超过16阶的空间功率谱通过地壳磁化的地质模型使用正演方法进行外推时发现,截断阶数在14以上时,岩石圈磁场掩盖了部分地核场,认为22~24阶为区分地核场和岩石圈磁场较为合适的阶数.康国发等(2009)基于POMME-4.2S模型,分析了长期变化模型与中国长期变化模型CGFR-SV的磁异常分布差异,结合功率谱,认为当模型取为90阶时,磁异常分布形态基本确定(康国发等,2010).更多的学者都认为在功率谱中,球谐阶数大于15的部分为岩石圈磁场.
本文以中国地区为例,首先利用4种最新的高精度全球模型——CM4、NGDC-720、EMM2010和MF7绘制出中国地区的岩石圈磁场,比较分析各模型的特点;利用经典的Lowes-Mauersberger功率谱方法,绘制并分析现今较为常用的10种高阶全球模型的岩石圈磁场功率谱,以较具有代表性的EMM2010模型为例,进行不同尺度的岩石圈磁场的功率谱研究,并简要分析了对应不同尺度的岩石圈磁场及其分布特点.由于篇幅限制,本文只以X、Y、Z与F分量为例进行研究.
1 基于高精度模型的岩石圈磁场CM4、NGDC-720、EMM2010与MF7模型均基于高精度的卫星矢量和标量数据、地面数据、甚至包含了海洋和航空数据而建立,是目前精度最高的可用于研究岩石圈磁场的模型.下面对4种模型分别阐述.
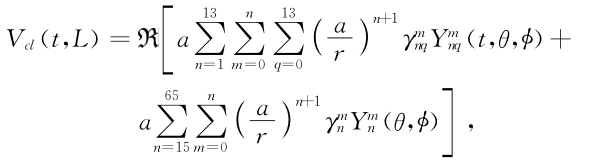
CM4模型利用地面数据、卫星数据,结合球谐函数和迭代重加权最小二乘法(IRLS)拟合计算,将所测磁场分为内源场和外源场,内源场可进一步分为地核场和岩石圈磁场,外源场可进一步分为电离层场、磁层场及感应场.基于该模型的特点,冯彦等(2010)研究了中国地区岩石圈磁场的分布变化.CM4模型的地核场与岩石圈磁场的位势函数表达式(Sabaka et al., 2004)如下:

其中a为地球平均半径(a=6371.2 km),θ为地理余纬度;φ 为地理经度,r为测点到地心的距离,L为位置矢量,Ymn为n阶m次的施密特归一化球面谐和函数, {·}为表达式的实部,γmn为虚部展开系数,γmn=gmn-hmn.模型展开至65阶,其中前15阶中地核场占主要成分 (Langel et al., 1982),而16~65阶则以岩石圈磁场为主要成分,它通过移除地核场、磁层场、电离层场及其感应场后估算得到.Ravat等(1995)认为截断阶数在60~70时,较适合于表示岩石圈磁场.
Maus等(2010)结合地面、海洋、卫星数据建立了高精度的岩石圈模型——NGDC-720,并在2010年对其进行了改进.考虑到地球的形态,该模型通过与球谐函数类似的椭球谐函数建模,其岩石圈磁场通过椭球谐函数的16~720阶表示,对应波长为2500~56 km,720阶的阶段水平相当于角波长的30弧分,故模型的分辨率可达到15弧分,是目前精度最高的模型之一.相较于其它类似模型,NGDC-720主要解决了3方面的问题:磁位的椭球谐和表示;补偿函数的简化;利用迭代方法进行系数求解.NGDC-720模型的建模原理同样为高斯提出的球谐理论,在椭球体上对拉普拉斯方程通过分离变量法进行求解.
磁场强度可表示为标量位势场的负梯度并通过椭球谐函数表示,公式为


根据网站(http://geomag.org/models/ngdc720.html)提供的资料,应用NGDC-720模型可绘制全球区域岩石圈磁场(16~720阶)的X、Y、Z分量网格图.
EMM2010模型是美国国家地球物理数据中心(NGDC)开发的内源场模型,主要用于导航等领域.该模型同样基于椭球谐函数建模(类似于NGDC-720),截断阶数计算至720,对应最短波长为56 km,并提供了15弧分分辨率的网格数值,精度和NGDC-720模型非常接近.通过将该模型的地核场系数置零,即求得岩石圈磁场的数值.根据网站(http://ngdc.noaa.gov/geomag/EMM/emm.shtml)提供的计算程序可绘制的全球区域的岩石圈磁场分布图.
Maus等(2008)利用2007-2010年的CHAMP卫星的标量数据建立了第六代全球磁场模型MF6,它基于球谐函数建模,较适于表示地壳磁化所产生的长波长磁场.2010年8月建立了最新的MF7,该模型的截断阶数为133,对应300 km波长的能量,并提供了6弧分网格数据.网站(http://geomag.org/models/MF7.html)仅提供了Z与F分量的全球网格数据.
由于CM4模型的截断阶数为65,只能反映最小波长为615.56 km的岩石圈磁场分布特征,其等值线分布相对较为平滑;MF7模型的截断阶数为133,分辨率较CM4更高,可反映更丰富的正负值分布信息.NGDC-720模型采用了高达720阶的截断阶数,所绘制的网格图能反映最小波长为56 km的岩石圈磁场分布特征,对比MF7模型的Z分量,尽管整体趋势相似,但NGDC-720的图形能反映更多细节.由于模型的使用数据、建模原理以及截断阶数都类似,通过移除地核场后,发现EMM2010模型与NGDC-720模型的分布基本一致.
为了更好地观察比较上述4种模型的差别,现以Z分量为例进行比较,具体见图 1.
![]() |
图 1 4种全球模型的Z分量岩石圈磁场分布图 (单位为nT) (a)~(d): CM4、MF7、NGDC-720、EMM2010 实线为正值,粗实线为零值,虚线为负值,下同 Fig. 1 Distribution charts of lithospheric field of component Z. Unit:nT (a)~(d): CM4、MF7、NGDC-720、EMM2010 |
由图 1可见,四种模型的Z分量岩石圈磁场整体分布趋势基本一致,CM4模型的截断阶数较低,其等值线分布相对较为平滑(图 1(a)).MF7模型(图 1(b))的截断阶数为133,该模型分辨率较高,可反映较CM4更丰富的信息.仔细对比发现,CM4中新疆地区的正值区,在MF7中被进一步细分为正负相间的分布状态,东北地区(黑龙江、吉林、辽宁和内蒙)的正值区被进一步细化,内蒙东北部全为正值,黑龙江西部,辽宁北部地区为负值.最新的NGDC-720(图 1(c))和EMM2010模型(图 1(d))采用了高达720阶的截断阶数,两图相较于CM4和MF7能表示更小尺度的岩石圈磁场,等值线更凌乱,反映了更多的信息,如在中国大陆的西北地区,正负分布进一步细化.说明随着截断阶数的增加,地磁场的短波长部分可以较好地展示,然而这样也会伴随着局部误差的方法,这是需要考虑的问题.
2 基于功率谱的岩石圈磁场分析 2.1 Lowes-Mauersberger功率谱利用模型系数,人们将地磁场按空间尺度分成许多成分,为了清楚地反映出各种成分的大小及其对所观测磁场的平均贡献,引入了空间功率谱的概念(徐文耀,2009),它由Mauersberger(1956)与Lowes(1966,1974)所提出,一般称为Lowes-Mauersberger功率谱,其内源场的表达式为

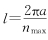
过计算得到,其中l是模型最小波长,a同上,nmax为模型截断阶数.
2.2 全球模型的岩石圈磁场功率谱分析
利用现今较为常用的全球模型,如2011年最新建立的CHAOS4模型,以及CHAOS、XCHAOS、CHAOS2、CO2plus、IDEMM、MF7、MF6、POMME60模型,其中CHAOS2分为CHAOS2r(粗糙版)和CHAOS2s(光滑版),共10种模型,这些模型的截断阶数从49~133不等,其中主磁场占内源场强度的90%左右.通过上式分别绘制上述模型的内源场功率谱(图 2).
![]() | 图 2 10种全球模型的内源场Lowes-Mauersberger功率谱 Fig. 2 Lowes-Mauersberger power spectrum of internal field based on 10 global models |
由图 2可见,所有模型截断阶数在1~13时,其功率谱变化趋势一致,随着阶数截断阶数N的上升,功率快速下降,13~15阶为过渡区,15阶以后认为是岩石圈磁场部分,各模型有了不同的分化.一般认为区分地核场和岩石圈磁场的球谐截断阶数为13~15,为了便于比较各模型岩石圈磁场的功率谱,将截断阶数大于15的系数认为是岩石圈磁场系数.为了更清楚地观察其变化,绘制了10种模型的岩石圈磁场功率谱图(图 3).
![]() |
图 3 10种全球模型的岩石圈磁场 Lowes-Mauersberger功率谱 Fig.3 Lowes-Mauersberger power spectrum of lithospheric field based on 10 global models |
由图 3发现不同阶数对应的功率呈现增加、平稳或减小的不同变化趋势.如在40阶以后,CO2plus和IDEMM模型的功率谱出现了明显的上升,而其它模型的功率谱则呈平缓上升趋势,在60~80阶时,各模型功率谱震荡加剧.Maus(2008)认为现代卫星的高精度磁测数据引起了岩石圈磁场高阶功率谱曲线的上升.
上图展示的模型最高截断阶数为133,为了更清楚地观察高阶岩石圈磁场对应的功率谱变化,我们选用了高达720阶的EMM2010模型进行研究,该模型的第720阶系数相对719阶系数小很多,因此本研究将该模型功率谱的计算范围定计算范围为16~719阶,对应的功率谱及其线性拟合曲线见图 4.
![]() |
图 4 EMM2010模型的岩石圈磁场Lowes- Mauersberger功率谱(16~719阶) Fig.4 Lowes-Mauersberger power spectrum of lithospheric field (degree 16~719) based on EMM2010 |
由图 4可见,EMM2010的岩石圈磁场功率谱呈现快速上升,然后逐渐下降的趋势,与图 3中的全球模型有所不同.由于每一阶的球谐系数对应不同尺度的岩石圈磁场分布,通过放大比较并绘制拟合曲线后,认为可对模型的岩石圈磁场功率谱根据上升、下降等特性分为5个变化阶段.下图为5个阶段系数对应的功率谱及其线性拟合曲线.
图 5展示了基于EMM2010模型的岩石圈磁场功率谱图所划分出的5个不同变化趋势的功率谱图.由图可见模型功率谱变化在16~65阶时缓慢增加;66~120阶加速增加并伴随着震荡加剧;121~220 阶对应着功率到达了最大值区域,为平稳阶段,但震荡加剧;221~670阶缓慢下降;671~719阶缓慢增加并震荡加剧.
![]() |
图 5 EMM2010模型的岩石圈磁场Lowes-Mauersberger功率谱 (a)~(e):16~65阶、66~120阶、 121~220阶、 221~670阶、 671~719阶. Fig.5 Lowes-Mauersberger power spectrum of lithospheric field based on EMM2010 (a)~(e):degree 16~65, degree 66~120, degree 121~220, degree 221~670, degree 671~719. |
上述5个阶段功率谱对应了不同的截断阶数,而球谐模型的不同截断阶数能够反映出地磁场在全球范围内的源于地核部分不同强度的磁场强度,并对应于源于地核的不同能量.为了对岩石圈磁场进一步分析,下面分别绘制5种截断系数对应的中国大陆地区岩石圈磁场分布,并进行分析.
(1) EMM2010模型中16~65阶系数对应的岩石圈磁场分布如图 6所示.
![]() |
图 6 基于EMM2010模型的岩石圈磁场分布(16~65阶) (a)~(d):X、Y、Z、F 单位:nT 下同. Fig.6 Lowes-Mauersberger power spectrum of lithospheric field(degree 16~65) based on EMM2010 (a)~(d):X、Y、Z、F Unit:nT. |
由图 6可见,X、Y、Z和F分量的正负值强度均小于100 nT,分布也较为平缓.X分量在中国大陆的西部,Y分量在中国大陆的西北部都有着较多的正负异常分布.EMM2010模型的岩石圈磁场前50阶(16~65)系数能够反映的波长为615~2500 km,即较深层的、大尺度的岩石圈磁场分布.
(2) EMM2010模型中66~120阶系数对应的岩石圈磁场分布如图 7所示.
![]() |
图 7 基于EMM2010模型的岩石圈磁场分布(66~120阶) Fig.7 Lowes-Mauersberger power spectrum of lithospheric field(degree 66~120) based on EMM2010 |
由图 7可见,66~120阶的岩石圈磁场与16~65阶的整体分布趋势基本相似,尤其是X与F分量的几个较大的异常分布.但正负值的分布相对更为凌乱,强度变幅较大,尤其是X、Z、F分量在中国大陆的西北和中部地区更为明显.该阶段的系数对应的波长为333~606 km,相对能反映更接近地面,尺度更小的磁异常.根据图 5可知,该阶段的功率要强于16~65阶.
(3) EMM2010模型中121~220阶系数对应的岩石圈磁场分布见图 8.
![]() |
图 8 基于EMM2010模型的岩石圈磁场分布(121~220阶) Fig.8 Lowes-Mauersberger power spectrum of lithospheric field(degree 121~220) based on EMM2010 |
与图 7相比,该阶段的岩石圈磁场正负值分布更为凌乱,但数量大为减少,主要以新疆西北部为多.Y分量在中国大陆大部分地区的异常都很小,接近于零,可能该尺度的岩石圈磁场场源的Y分量强度较弱.该阶段的系数能够反映的波长为181~330 km,尺度进一步减小,然而从图 5的功率谱图以及极值强度来看,该阶段的磁场强度最大.
(4) EMM2010模型中221~670阶系数对应的岩石圈磁场分布见图 9.
![]() |
图 9 基于EMM2010模型的岩石圈磁场分布(221~670阶) Fig.9 Lowes-Mauersberger power spectrum of lithospheric field(degree 221~670) based on EMM2010 |
由图 9可见,与图 8相比该阶段的X分量在中国大陆的正负分布依然较为凌乱,尤其是国内的东部和西北部地区,其余3分量的正负值分布相对更少,总体而言,其强度随着纬度的上升而逐步增强.该阶段的系数能够反映的波长为59~180 km.
(5) EMM2010中671~719阶系数对应的岩石圈磁场分布见图 10.
![]() |
图 10 基于EMM2010模型的岩石圈磁场分布(671~719阶) Fig.10 Lowes-Mauersberger power spectrum of lithospheric field(degree 671~719) based on EMM2010 |
由图 10可见,各分量的岩石圈磁场正负值分布都集中在我国北部区域,南部相对分布较少,强度分布同样随着纬度的升高而增强,D分量的磁场强度在国内几乎为零.该阶段的系数反映了模型波长最短部分(55~59 km)的分布情况,
EMM2010模型的岩石圈磁场是由上述5种岩石圈磁场相互叠加而成.模型的16~65阶系数主要表示了最深层岩石圈磁场的分布,66~120阶系数能进一步表示相对略浅的岩石圈产生的磁场分布,该区域的正负值分布较多,通过与其它岩石圈磁场分布相比较,从形态和强度来看,认为这两阶段构成了岩石圈磁场的主要部分,121~719阶系数对应的3个阶段的磁场、非常凌乱,都随着纬度的上升而增强,Y分量的正负异常分布非常稀少.121~220阶应的功率最强,从异常极值来看,其对应了岩石圈磁场的极值区的强度或分布.221~670阶与671~719阶系数对应的是模型短波长部分的岩石圈磁场,从功率谱上发现其呈现衰减状态,而其磁场分布和强度也相对出现了衰减.发现随着阶数的增加,岩石圈磁场的正负分布面积逐渐减小且分散.
2.4 岩石圈磁场的比较验证为了验证EMM2010模型的低阶系数计算的大尺度岩石圈磁场,以X、Y、Z分量为例,将其与CM4模型的岩石圈磁场相比较分析.由于两模型的建模原理,故3分量的岩石圈磁场分布较为类似.相较而言,由于采用了更多更久的卫星数据,EMM2010模型16~65阶的岩石圈磁场能反映更多的分布细节,如X分量在中国大陆地区的新疆、西藏的西部地区存在更多的正负分布,而CM4在该区域则较为简单;Y分量在大陆东北和东南地区的正负分布及Z分量在大陆的西部地区都相比CM4反映了更多更细的正负分布,该现象主要由于EMM2010采用了更高的截断阶数所致.
两模型在国内的不同地区都存在正负区域及极值点,为了进一步比较,现将两模型的X、Y、Z分量的极值点位置及其强度列于下表:
由表 1~3可见,两模型的3分量磁异常无论是分布还是极值位置较为接近,说明都可较好地反映大尺度的岩石圈磁场,由于采用了不同的卫星数据,如CM4并未采用CHAMP卫星的矢量数据,以及不同的求解方法,故异常极值存在一定的差异,比较发现两者误差为1~50 nT不等.
| 表 1 EMM2010和CM4模型的X分量异常极值位置和强度 Table 1 Extreme points’ locations and intensities of anomaly of X of EMM2010 and CM4 |
| 表 2 EMM2010和CM4模型的Y分量异常极值位置和强度 Table 2 Extreme points’ locations and intensities of anomaly of Y of EMM2010 and CM4 |
| 表 3 EMM2010和CM4模型的Z分量异常极值位置和强度 Table 3 Extreme points’ locations and intensities of anomaly of Z of EMM2010 and CM4 |
本文主要通过比较4种最新的高精度模型——CM4、NGDC-720、EMM2010与MF7在中国地区的岩石圈磁场分布,并通过功率谱技术计算、分析了EMM2010模型的岩石圈磁场部分.由于不同阶岩石圈磁场系数的功率谱变化趋势各不相同,故绘制并分析了相应的岩石圈磁场分布情况.具体结果如下:
(1)CM4模型适于研究地磁场不同场源的时空变化,MF7模型适于进行中尺度(300 km波长)的岩石圈磁场分析,而NGDC-720和EMM2010模型则适于进行小尺度(56 km波长)的岩石圈磁场研究.
(2)通过Lowes-Mauersberger功率谱方法计算了10种全球模型的岩石圈磁场功率谱,其变化趋势大致呈现缓慢上升的趋势.在60~80阶时,各模型功率谱震荡加剧.
(3)对EMM2010进行分析表明岩石圈磁场功率谱变化趋势可分为5个主要阶段.16~65阶缓慢增加;66~120阶加速增加并伴随着震荡加剧;121~220 阶对应着功率到达了最大值区域,为平稳阶段,但震荡加剧;221~670阶缓慢下降;671~719阶缓慢增加并震荡加剧.
通过以上结果,通过与CM4模型相比较,得到以下结论:
(1)从形态和强度来看,认为16~65阶与66~120阶两阶段构成了岩石圈磁场的主要部分.121~719阶系数对应的磁场非常凌乱,都随着纬度的上升而增强,121~220阶对应的功率最强,并对应了岩石圈磁场的极值区的强度或分布.随着截断阶数的增加,岩石圈磁场的正负分布面积逐渐减小且凌乱,能表达更多小尺度的磁异常信息.
(2)通过岩石圈磁场模型的不同阶系数计算得到的岩石圈磁场,只能定性地反映一定尺度的磁场分布,低阶的系数对应长波长能量,能反映岩石圈底层的(大尺度)磁场,高阶系数对应短波长能量,能反映岩石圈表层的(小尺度)磁场,并对反映地球深部磁场变化也具有重要意义(徐文耀,2003).尽管定量地利用不同阶数磁场以确定磁场源深度,目前还很困难,但结合功率谱分布特征,可为研究不同深度(尺度)的岩石圈磁场提供参考.
| [1] | Abramowitz M, Stegun I A. 1972. Handbook of Mathematical Functions[M]. New York: Dover publicatons. |
| [2] | Backus G, Parker R, Constable C. 1996. Foundations of Geomagnetism[M]. UK: Cambridge Univ. Press. |
| [3] | Cain J C, Wang Z G, Schmitz, D. R, et al. 1989. The geomagnetic spectrum for 1980 and core-crustal separation[J]. Geophys. J. Int., 97(3): 443-447. |
| [4] | Counil J, Cohen Y, Achache, J. 1991. The global continent-ocean magnetization contrast[J]. Earth Planet Sci. Lett., 103: 354-364. |
| [5] | Gradshteyn I S, Ryzhik I M. 1994. Table of integrals, series, and products[M]. London: Academic Press Ltd. |
| [6] | Heiskanen W A, Moritz H. 1967. Physical geodesy[M], San Fracsico: W. H. Freeman and Co. |
| [7] | Hulot G, Olsen N, Thebault E. 2009. Crustal concealing of small-scale core-field secular variation[J]. Geophys. J. Int., 177: 361-366. |
| [8] | Hulot G, Sabaka T J, Olsen N. 2007. Treatise in Geophysics[M]. Amsterdam: Elsevier Ltd. |
| [9] | Jekeli C. 1988. The exact transformation between ellipsoidal and spherical harmonic expansions[J], Manuscripta Geodetica, 13: 106-113. |
| [10] | Langel R A. 1987. The main field, in Geomagnetism[M]. London: Academic Press. |
| [11] | Langel R A, Estes R H, Mead G D. 1982. Some new methods in geomagnetic field modeling applied to the 1960-1980 epoch[J]. J. Geomag. Geoelectr., 34: 327-349. |
| [12] | Langel R A, Sabaka T J, Baldwin R T, et al. 1996. The near Earth magnetic field from magnetospheric and quiet-day ionospheric sources and how it is modeled[J]. Phys. Earth Planet Int., 98(324): 235-267. |
| [13] | Lowes F J. 1966. Mean-square values on sphere of spherical harmonic fields[J]. J.Geophys.Res., 71: 2179-2179. |
| [14] | Lowes F J. 1974. Spatial power spectrum of the main geomagnetic field, and extrapolation to the core[J]. Geophys. Jour. R. Astr. Soc., 36: 717-730. |
| [15] | Mauersberger P. 1956. Das Mittel der Energiedichte des geomagnetischen Hauptfeldes an der Erdoberflche und seine sakulare Anderung[J]. Gerlands Beitrage Zur Geophysik, 65: 207-215. |
| [16] | Maus S. 2008. The geomagnetic power spectrum[J]. Geophys. J. Int., 174: 135-142. |
| [17] | Maus S. 2010. An ellipsoidal harmonic representation of Earth's lithospheric magnetic field to degree and order 720[J]. Geochem. Geophys. Geosyst., 11: Q06015, doi:10.1029/2010GC003026. |
| [18] | Maus S, Haak V. 2002. Is the Long Wavelength Crustal Magnetic Field Dominated by Induced or by Remanent Magnetisation?[J]. Journal of Indian Geophysical Union, 6(1): 1-5. |
| [19] | Maus S, Luhr H, Rother M, et al. 2007. Fifth-generation lithospheric magnetic field model from CHAMP satellite measurements[J]. Geochem. Geophys. Geosyst., 8(5): Q05013, doi:10.1029/2006GC001521. |
| [20] | Maus S, Rother M, Hemant K, et al. 2006. Earth's lithospheric magnetic field determined to spherical harmonic degree 90 from CHAMP satellite measurements[J]. Geophys. J. Int., 164: 319-330. |
| [21] | Maus S, Rother M, Holme R, et al. 2002. First scalar magnetic anomaly map from CHAMP satellite data indicates weak lithospheric field[J]. Geophys. Res. Lett., 29(14): 10.1029/2001GL013685. |
| [22] | Maus S, Yin F, Luhr H, et al. 2008. Resolution of direction of oceanic magnetic lineations by the sixth-generation lithospheric magnetic field model from CHAMP satellite magnetic measurements[J]. Geochem. Geophys. Geosyst., 9(7): Q07021, doi:10.1029/2008GC001949. |
| [23] | McLeod M G, Coleman P C. 1980. Spatial power spectra of the crustal geomagnetic field and core geomagnetic field[J]. Phys. Earth Planet Int., 23: 5-19. |
| [24] | Purucker M E, Whaler K A. 2007. Treatise in Geophysics[M]. Amsterdam: Elsevier Ltd. |
| [25] | Ravat D N, Langel R A, Purucker M E, et al. 1995. Global vector and scalar Magsat magnetic anomaly maps[J]. J. Geophys. Res., 100(20): 111-135. |
| [26] | Sabaka T J, Baldwin R T. 1993. Modeling the Sq magnetic field from POGO and Magsat satellite and contemporaneous hourly observatory data: phase I[R]. NASA/GSFC Cont ractNAS5. 760. |
| [27] | Sabaka T J, Olsen N, Langel R A. 2002. A comprehensive model of the quiet-time, near-Earth magnetic field: phase 3[J]. Geophys. J. Int., 151: 32-68. |
| [28] | Sabaka T J, Olsen N, Purucker M E. 2004. Extending comprehensive models of the Earth's magnetic field with Oersted and CHAMP data[J]. Geophys. J. Int., 159: 521-547. |
| [29] | Thebault E, Purucker M, Whaler K A, et al. 2010. The Magnetic Field of the Earth's Lithosphere[J]. Space Science Review, 155: 95-127. |
| [1] | 冯彦,安振昌,孙涵,等. 2010. 利用地磁场综合模型(CM4)分析中国大陆地区地磁场变化[J]. 物理学报,59(12):8941-8953. |
| [2] | 康国发、高国明、白春华,等. 2009. CHAMP卫星主磁场长期变化和长期加速度的分布特征[J]. 地球物理学报, 52(8): 1976-1984. |
| [3] | 康国发、高国明、白春华,等. 2010. 中国及邻近地区CHAMP卫星磁异常的分布特征[J]. 地球物理学报, 53(4): 895-903. |
| [4] | 徐文耀. 2003. 国际地磁参考场模型中高阶项球谐系数对地磁场长期变化的影响[J]. 地球物理学报, 46(4): 476-481. |
| [5] | 徐文耀. 2003. 地磁学[M]. 北京:地震出版社. |
| [6] | 徐文耀. 2009. 地球电磁现象物理学[M]. 合肥:中国科学技术大学出版社. |
| [7] | 朱岗崑. 2005. 古地磁学—基础、原理、方法、成果与应用[M]. 北京:科学出版社. |
2014, Vol. 29











