2. 中国科学院大气物理研究所, 北京 100029
2. LASG, Institute of Atmospheric Physics, Chinese Academy of Sciences, Beijing 100029, China
黑潮—亲潮延伸体(KOE, Kuroshio-Oyashio Extension)区域,是众所周知的副极地海洋锋区.暖的黑潮与向南流动冷的亲潮相遇,在黑潮延伸体(KE,Kuroshio Extension)北侧形成了混合水域(Yasuda, 2003; Kida et al., 2015).KOE海温异常具有显著的年代际变率(Nakamura and Kazmin, 2003; Qiu et al., 2007; Kwon and Deser, 2007; Fang and Yang, 2016),这种显著的年代际变率通过改变低层大气斜压性而对北太平洋风暴轴产生锚定作用,并显著地改变大气环流特征(Frankignoul et al., 2011; Taguchi et al., 2012; Nakamura et al., 2004; Smirnov et al., 2014).随着高分辨率的海温资料使用,前人发现在KOE海区存在两条显著的海洋锋,一个是亲潮海洋锋(Oyashio Front, around 40°N),另一个是黑潮海洋锋(KEF, Kuroshio Extension Front, around 36°N).KEF海区附近存在强烈的大气斜压性是影响北太平洋风暴轴异常的重要因素,而强烈的斜压性是如何形成和维持的,以及其结构特点有待进一步研究.
KE具有从稳定状态到不稳定状态间的年代际变化特征(Qiu and Chen, 2005),稳定型期间KE射流加强,KEF经向温度梯度及大气低层斜压性增强,瞬变涡旋活动也随之增强.瞬变涡旋向极输送热量的作用通常减弱斜压性,且瞬变涡旋反馈使得纬向流异常趋于正压,但KEF附近大气低层斜压性通常又可很好地维持,这与KE显著的年代际海温异常模态中(KEDV-induced SSTA, Kuroshio Extension Decadal variability SSTA)的中尺度海洋锋(KEDV-induced Meso-scale SST Front, KMSTF)影响紧密相关.目前大气斜压的维持过程有很多研究结论,一种为海洋斜压调整机制.KEF两侧具有显著的感热通量(SHF,Sensible Heat Flux)和潜热通量(LHF,Latent Heat Flux)差异(Kwon et al., 2010),这种经向的差异往往能够维持KEF区域表面斜压性,从而维持了其上空风暴轴的异常(Nakamura et al., 2004, 2008; Sampe et al., 2010).Sampe等(2010)和Hotta和Nakamura (2011)指出,具有强的海表经向温度梯度的海洋锋,通过跨锋区的SHF差异从而将大气表层斜压区锚定.另一种机制为斜压涡旋的正反馈机制,对于低层热力异常的加热作用,通过涡旋动力和热力的异常响应而形成的次级环流并伴随着涡旋通量辐合作用有效地维持了大气斜压性(Robinson,2006; Nie et al., 2013).具体而言,涡旋的动量辐合通常能够引起斜压性的向极移动,而涡旋热通量则可维持低层大气斜压性(Deser et al., 2004; Lu et al., 2014).目前对KEF海区年代际海温变率影响的斜压性以及维持过程仍然缺乏一定研究,前人主要通过再分析资料研究了KEF海区较强的表层斜压性特征,并分析了表层斜压性的维持过程(Masunaga et al., 2015; Yao et al., 2016).然而Masunaga等(2016)指出,在KE稳定型期间,KEF海区的整个大气边界层斜压性都有显著的增强.过去的研究未能揭示KEF海区对流层斜压的分布及维持过程,也未能揭示KMSTF对斜压性的影响.以往针对表层斜压性的分析指出,在KEF两侧SHF的明显差异和表层低压均对表层斜压性有维持作用,但表层低压对斜压性的维持过程有待进一步探讨.同时,再分析资料表明在KEF海区的边界层还呈现出了一些中尺度结构特征,诸如在KEF暖蜿蜒处观测到表层风增强,表面辐合增强和低压结构.冷蜿蜒处的表层风减弱和表层辐散(Tanimoto et al., 2011).KEF暖蜿蜒处及其南侧低压区通常伴随着强烈的积云对流和降水过程的发生.这些中尺度的过程是否也对对流层的斜压性有影响值得进一步探讨.
因此,本文的主要目的是进一步揭示在中尺度海洋锋KMSTF的影响下,表层斜压性及对流层斜压性响应的特征,探讨涡旋扰动反馈及边界层低压异常对斜压性影响及维持作用.本文共分为5部分,此部分简要介绍当前研究现状以及存在的问题,第1部分为数据、方法与数值试验方案的介绍,第2部分介绍表层温度和SHF对KMSTF的响应特征并探讨影响表层斜压性和影响KMSTF两侧SHF差异的因素,第3部分探讨对流层斜压性的分布特征及低压作用,第4部分为结论.
1 数据、方法与数值试验设计区域气候模式RegCM4.6所使用的初值和边界的数据来自美国国家环境预测中心和大气研究中心(National Centers for Environmental Prediction-National Center for Atmospheric Research,NCEP-NCAR),分辨率为2.5°×2.5°(Kalnay et al., 1996).海温数据来自美国国家大气和海洋管理局(National Oceanic and Atmospheric Administration, NOAA)提供的月平均最优插值数据集.黑潮延伸体指数(KEI, Kuroshio Extension Index)的计算使用了法国AVISO中心提供的卫星高度计海表高度数据(Sea Surface Height Anomaly, SSHA),分辨率为0.25°×0.25°(Ducet et al., 2000).感热通量SHF数据来自日本遥感卫星海洋通量观测数据集(J-OFURO3; http://dtsv.scc.u-tokai.ac.jp/j-ofuro/dataset_information.html), 分辨率为0.25°×0.25°.还使用了ERA-Interim月平均的全球大气再分析资料,时间为1993—2012年,分辨率为0.25°×0.25°,垂直分层为23层.在分离大尺度海温和中尺度海温中,使用了二维的Loess 5°(经度)×5°(纬度)的空间滤波器.本文使用了Qiu等(2014)定义的KEI,这种指数是使用区域(31°N—36°N, 140°E—165°E)间的月平均SSHA作为月平均的KEI.计算20年(1993—2012年)冬季期间月平均并标准化后的KEI如图 1a所示,可发现KEI呈现出了较明显的年代际变化特征.使用冬季月平均的KEI回归的SST如图 1b所示,其代表了KE稳定型期间伴随的SSTA.此时海温经向梯度加强,KE射流位置偏北,同时中太平洋有显著的大面积海温增暖现象.当KEI为负时,其状态相反,从KE射流脱落的中尺度海洋涡旋较多且将暖海水向北输送有利于KE北侧海温增高.图 1b黑色框中区域(33°N—39°N,141°E—157°E)为KE控制的范围, 其呈现了南正北负的偶极型结构(Wang and Liu, 2015),在这一区域中,具有强的海温经向梯度区域为中尺度海洋锋区(Chen,2008),位置大约在36°N附近(Masunaga et al., 2015).在斜压性的分析中,我们对比了ERA-Interim再分析资料中KE稳定型期间的大气斜压性.依据月平均的KEI,本文选择有大于一个标准差的KE稳定型年份(2002, 2004, 2009, 2010, 2011, 2012)的冬季平均,以及不稳定型年份(1995, 1996, 1997, 2006, 2007, 2008)的冬季平均做合成分析.本文的冬季期间定义为(12月、1月和2月),此时KE区域海气相互作用较为强烈.
|
图 1 冬季期间月平均KEI(1993—2012年)(a)和由KEI回归的海温异常模态(填色,单位:℃)(b) 黑色方框中的区域(33°N—39°N,141°E—157°E)表示为KMSTF,打点区域为通过90%可信度检验的区域. Fig. 1 Monthly average KEI in winter (1993—2012) (a) and SST (shaded, unit: ℃) regressed onto KEI (b) The area in the black box (33°N—39°N, 141°E—157°E) is indicated as KMSTF. Statistically significant differences at 90% according to the Student′s t test are stippled. |
使用RegCM4.6设计了三组试验,用以检验大气斜压对KMSTF的响应特征.模拟的区域为(22°N—58°N, 120°E—175°E),水平分辨率为25 km,垂直分层为23层.三组试验均积分11年(1997—2007年),其中第一年为模式的spin-up时间,不用来做后续分析.剩余10年中,仅分析冬季期间的平均.模式积分过程中,侧边界条件为每隔6 h更新一次边界条件.第一组试验为控制试验(CTRL1),使用下边界条件为多年月平均的气候态海温,模式积分过程中在每月初更换下边界条件为当月气候态月平均海温.第二组试验为KSTE试验,下边界同样使用气候态月平均海温场,但在冬季时,下垫面海温为气候态月平均海温基础上在KE区域(图 1b中黑框)叠加的由KEI回归的异常海温型.两组试验结果之差(KSTE-CTRL1)的冬季平均代表了大气对KMSTF的响应.第三组试验为模式的气候态评估试验(CTRL2),所使用的海温资料为实际月平均海温资料, 初值和侧边界条件均不变,用以检验模式对基本气候态的模拟能力.
2 表层斜压性的响应特征 2.1 模式气候态模拟偏差分析本文对区域气候模式(RegCM4.6)的模拟能力进行了评估.如图 2所示,模式能够较好地模拟250 hPa纬向风场.对急流中心的强度和位置均模拟较好,形态略有差异.此外也对比了位势高度场和温度场等结果,现模式对基本环流场的气候态分布均具有较好的模拟能力(图略).图 2b中20°N附近的曲边形是模式兰勃托投影的结果,没有值.
|
图 2 10年(1998—2007年)冬季平均的纬向风场(填色,单位:m·s-1) (a) ERA-Interim再分析资料结果;(b)模式模拟结果. Fig. 2 10-years (1997—2007) of zonal wind field at 250hPa averaged in winter (shaded, unit: m·s-1) (a) Result of ERA-Interim reanalysis; (b) Result of numerical simulation. |
海表温度异常总是通过SHF的异常加热进入模式中,SHF的模拟效果影响模式对海温异常响应特征的模拟.使用模式提供的海表通量Zeng方案(Zeng et al., 1998)模拟的冬季期间KE区域SHF如图 3所示,模拟的SHF分布与卫星资料比较一致,可以再现KE暖蜿蜒部分SHF偏强和冷蜿蜒部分SHF偏弱,但是对KE冷蜿蜒处(36°N, 147°E)SHF的模拟则较差.
|
图 3 1998—2007年冬季,RegCM4.6海表通量Zeng方案模拟的感热通量(a)与卫星资料J-OFURO3反演感热通量(b)(单位:W·m-2)和相应经向梯度(单位:℃),红色竖线为经度152°E Fig. 3 The SHF simulated by model experiments (a), the SHF from satellite data J-OFURO3 (b) averaged in winter from 1998 to 2007 (shaded, unit: W·m-2) and meridional gradient (unit: ℃), the red vertical line is the longitude 152°E |
从整体区域模拟效果来看,Zeng方案能够对SHF整个区间的分布形势、大值区有较好的模拟.但是对SHF导致的经向梯度模拟普遍偏弱,这可能是对不同尺度的海温模拟存在误差造成的.我们使用5°×5°Loess的空间滤波器(Ma et al., 2015),对KE海区的海温和SHF进行尺度分离,分离出大尺度海温、中尺度海温及SHF异常.方案对不同尺度海温影响下的SHF模拟结果如图 4所示,从中可发现,模式能够基本模拟出不同尺度海温影响的SHF异常,但对中尺度海温影响下的SHF模拟具有一定的偏差,通常表现为中尺度暖海温SHF模拟偏低,而中尺度冷海温SHF模拟偏高.对大尺度海温的模拟存在着系统性的偏差,模拟对比卫星资料偏高.
|
图 4 1998—2007年冬季期间,卫星资料J-OFURO3反演与RegCM4.6海表通量Zeng方案模拟的不同尺度海温(等值线,单位:℃)的感热通量(填色,单位:W·m-2)和经向梯度(右边框中曲线,单位:℃) (a,b)模式RegCM4.6模拟和卫星资料中的中尺度海温与感热通量;(c, d)同(a, b)但为大尺度海温,红色竖线为经度150°E线. Fig. 4 The SHF (shaded, unit: W·m-2) from satellite data J-OFURO3 and the SHF simulated by Zeng Scheme in RegCM4.6 averaged in winter from 1998 to 2007 at different scales of SST in Winter (contours, ℃) and meridional gradient (curve in right box, unit:℃) (a, b) Meso-scale SST and SHF in model simulation and satellite data; (c, d) As in (a, b) but for large-scale SST, the red vertical line is longitude 150°E. |
ERA-Interim再分析资料中,在KE稳定型期间所合成的SSTA经向梯度、SHF经向梯度以及表层温度经向梯度如图 5所示.表层温度的经向梯度分布与SSTA的经向梯度分布未完全对应,相对偏南分布.同时,SHF的经向梯度分布几乎与SSTA的经向梯度重合,但大值略向北分布,这与Masunaga等(2015)的研究结论一致.在36°N附近,SSTA经向梯度,表层温度的经向梯度以及SHF经向梯度均表现出极大值,对应着海洋锋(Chen,2008),为KMSTF的海温区域.模式模拟的KE区域SHF和表层温度对KMSTF的响应如图 6所示,从中可以看出,在KMSTF暖海温处SHF增强,冷海温处SHF减弱.但SHF与KMSTF分布并不完全重合,对比KMSTF分布其略向北偏移.表层温度分布同样与KMSTF的冷暖分布不完全对应,表层温度分布偏南.由于亲潮延伸体和黑潮延伸体在区间(146.25°E—150°E)较明显地分开(Frankignoul et al., 2011),故求此区间平均的SHF、表层温度和KMSTF的经向梯度如图 6c所示,可以发现,三者分别在36°N和40°N附近有极大值,对应着黑潮和亲潮海洋锋的斜压区.可以发现,表层温度的经向梯度极大值对比KMSTF经向梯度极大值偏南,而SHF经向梯度极大值略偏北.这与Masunaga等(2015)使用高分辨率的ERA-Interim资料分析的结论一致.他们使用理想模型证明了SHF和表层温度的经向梯度与KEF经向梯度的关系,并讨论了参数L(表层风速和边界层高度的函数)在其中的作用.同时也发现,表层温度经向梯度响应小于KMSTF的经向梯度,这可能是大气的松弛扰动效果导致的(Masunaga et al., 2015).
|
图 5 KE稳定型期间表层温度经向梯度(填色,单位:℃(25 km)-1)(a),感热通量经向梯度(填色,单位:W ·m-2 (25 km)-1)(b).区间(146.25°E—150°E)平均的表层温度经向梯度(单位:℃(25 km)-1),海表温度异常经向梯度(单位:℃(25 km)-1)以及感热通量经向梯度(单位:5 W·m-2 (25 km)-1)曲线.分析来自ERA-Interim再分析资料 Fig. 5 Meridional gradient of surface temperature in KE stable period (shaded, unit: ℃ (25 km)-1) (a), Meridional gradient of sensible heat flux (shaded, unit: W·m-2 (25 km)-1) (b). The meridional gradient of surface temperature (unit: ℃ (25 km)-1), meridional gradient of SSTA (unit: ℃ (25 km)-1) and the meridional gradient of sensible heat flux (unit: 5 W·m-2 (25 km)-1) averaged in (146.25°E—150°E), red vertical line corresponds to 146.25°E. Data is from ERA-Interim |
|
图 6 冬季海表感热通量(a)(填色,单位:W·m-2)和表层温度(b)(填色,单位:℃)对KMSTF (等值线,单位:℃)的响应(KSTE-CTRL1),红色竖线为146.25°E线.感热通量经向梯度(10-1 W·m-2(100 km)-1),表层温度经向梯度(℃(100 km)-1)和KMSTF经向梯度在区间(146.25°E—150°E)的平均(c),相应曲线分别为SHFY,SATY和SSTY Fig. 6 The response (KSTE-CTRL1) of SHF (a) (shaded, unit: W·m-2) and surface temperature (b) (shaded, unit:℃) to KMSTF (contours, unit:℃) during winter (KSTE-CTRL1), with the red line is 146.25°E. Meridional gradient of SHF (10-1 W·m-2(100 km)-1), surface temperature (℃(100 km)-1)) and SSTA (℃) averaged in interval (146.25°E—150°E) (c) |
模式使用的是基于Monin-Obukhov相似理论的整体空气动力学公式(Tanimoto et al. 2003)计算SHF:
|
(1) |
其中,ρ和Ta为模式近地表层的大气密度和温度.U为模式最底层的平均风速.CH为感热的整体交换系数.关于CH的计算,主要参考了Masunaga等(2016)的计算方法.进一步将SHF的异常响应分解为由风场异常导致的SHF异常,海气温差异常引起的SHF异常等.分解如下:
|
(2) |
上式中,等号右端第一项代表由风场异常响应导致的SHF异常(图 7a),第二项为海气温差异常响应导致的SHF变化(图 7b),第三项为风场异常响应和表层温度异常响应导致的SHF异常(图 7c).可发现海气温差异常是导致SHF异常的主要原因.风场异常响应也可引发SHF异常,但量级较小.表层温度异常响应与风场异常响应总是能够加强KMSTF北侧冷海温异常上的SHF.我们将上式等号右端第二项进一步分解为仅由KMSTF引起的SHF变化WCTRL(TS KSTE-TS CTRL)(图 7d)和仅由表层温度异常响应WCTRL(-TA KSTE+TA CTRL)导致的SHF变化(图 7e).可发现,虽然KMSTF是SHF变化的主要原因,但是表层温度异常同样可引起10 W·m-2量级SHF变化,因此是不可忽略的因素.从各项因素导致的SHF经向梯度变化(图 7f)发现,SHF异常的经向梯度变化主要受KMSTF经向梯度变化影响,并且与由KMSTF导致SHF异常的经向梯度分布一致.其次是海气温差异常影响的SHF经向梯度,且其经向梯度的极值分布对比其他因素经向梯度的极值分布偏北,这可能是SHF异常分布偏北的主要原因.对比表层温度的异常响应经向梯度与KMSTF经向梯度发现(图 7c),二者存在的位相差异是导致SHF经向梯度分布偏北的原因.表层温度分布对比KMSTF分布的差异可能与偏北风的异常响应有直接关系.同时,也可看到由表层风异常响应导致的SHF经向梯度极值分布偏北,但量级较小.仅由表层温度的异常响应引起的SHF可削弱SHF经向梯度(图 7f棕色曲线),同样由风场异常响应和表层温度的异常响应引起的SHF也可削弱SHF的经向梯度(图 5f黄色曲线),且极值分布对比由表层温度异常响应引起的SHF经向梯度的极值是偏北的.
|
图 7 冬季期间影响感热通量异常因素(填色,单位:W·m-2;等值线为KMSTF单位:℃)(KSTE-CTRL1),红色竖线为146.25°E线.由风场异常引起的感热通量(a);和由海气温差引起的感热通量(b);由风场异常响应和表层温度异常响应引发的感热通量异常(c);仅由KMSTF引起的感热通量异常(d);仅由表层温度异常响应引起的感热通量异常(e);KMSTF经向梯度(SSTY)、感热通量(UTY)、由风场异常引发的感热通量经向梯度(3×UCTY)、由海气温差异常引发感热通量经向梯度异常(CUTY)、由风场异常响应和表层温度异常响应影响感热通量的经向梯度异常(10-1 DUDTY)、由海温异常KMSTF影响的感热通量经向梯度(CUTSY)和仅由表层温度异常响应引起的感热通量经向梯度(DTY)在区间(146.25°E—150°E)的平均(曲线,单位:W·m-2 (100 km)-1)(f) Fig. 7 The factors affecting SHF in winter (shaded, unit: W·m-2; coutours is KMSTF, unit:℃) (KSTE-CTRL1), red vertical line is 146.25°E. The SHF caused by wind field anomaly (a); SHF caused by difference of temperature in sea and air (b); SHF anomaly caused by response of wind field and surface temperature anomaly (c); SHF anomaly caused only by KMSTF (d); SHF anomaly caused only by response of surface temperature (e); Meridional Gradient of KMSTF (SSTY), meridional gradient of SHF (UTY), meridional gradient of SHF (3×UCTY) caused by Wind field anomaly, meridional gradient of SHF anomaly (CUTY) caused by difference of temperature in sea and air, meridional gradient of SHF (10-1 DUDTY) affected by response of wind field anomaly and surface temperature anomaly, meridional gradient of sensible heat flux (curve, unit: W·m-2 (100 km)-1) (CUTSY) affected by KMSTF and meridional gradient of SHF (DTY) caused only by response of surface temperature anomaly averaged in (146.25°E—150°E) (f) |
我们主要通过表层温度异常的倾向方程进一步分析影响SHF和表层斜压性异常分布的因素.使用模式中温度场的倾向预报方程(Grell et al., 1994):
|
(3) |
上述公式中,TAT为温度平流项,TVT为温度垂直输送项,DC为绝热压缩项,SQ为积云对流项,LQ为大尺度凝结降水项,RQ为辐射加热项,THD为水平涡旋扩散项,TVD为垂直涡旋扩散项,Fh和Fv代表水平涡旋扩散系数和垂直涡旋扩散系数.由表层温度异常响应影响的SHF异常为
|
(4) |
上述公式中,ρ为空气密度,Cp为定压比热容,WCTRL为控制试验CTRL1模拟的风场,代表了气候态风场.TA KSTE为KSTE试验模拟的表层温度,TA CTRL为CTRL1试验中模拟的表层温度.由表层风异常影响的SHF异常为
|
(5) |
上述公式中,WKSTE为KSTE中模拟的表层风场,TS CTRL为CTRL1中的下垫面海温场,其他符号同上一公式.以上分析得知,表层温度的异常响应与KMSTF分布的差异导致了SHF的分布异常.我们通过上述的诊断方程进一步分析导致表层温度异常与KMSTF异常分布差异的可能原因.图 8显示了公式(3)等号右端各项导致的SHF异常,平流和垂直输送的作用总是使得SHF异常响应与SSTA形成位置差异.从图 8f中可以发现由于平流的作用可以使得SHF整体向北移动.已有的研究指出,偏北风可导致表层温度和SHF与KMSTF异常形成偏差.数值试验的结果显示,偏北风异常响应通过平流作用影响表层温度异常分布,表层温度异常与KMSTF异常的偏差造成了SHF分布异常.同时,还可发现垂直涡旋扩散的作用在KMSTF暖海温上减弱SHF,涡旋扩散使得海气温差减弱,从而减弱SHF.另外,积云对流的作用是增强KMSTF暖海温上的SHF,这主要与积云动力过程对低层热量的抽吸作用使海气温差加大有关.很多模式对SHF的模拟缺少积云动力过程的描述可能是导致SHF模拟误差的原因.风场的异常变化同样会引起SHF异常,表层风越强则SHF也会增强,但量级较小,这里不作分析.
|
图 8 由温度倾向方程各项异常响应导致的感热通量变化(填色,单位:W·m-2)(KSTE-CTRL1) (a)平流项; (b)垂直输送项; (c)垂直涡旋扩散; (d)积云对流; (e)非绝热压缩; (f)为各项导致的感热通量异常在区间(146.25°E—150°E)的平均经向梯度(曲线,单位:W·m-2(100 km)-1),感热通量异常经向梯度(SHFY),辐射加热导致的感热经向梯度异常(RADY),绝热压缩导致的感热经向梯度异常(ADIY),积云对流过程导致的感热经向梯度异常(CONY), 水平涡旋扩散导致的感热经向梯度异常(DIFY),垂直涡旋扩散导致的感热经向梯度异常(TBLY),垂直输送过程导致的感热经向梯度异常(ADVY),水平平流导致的感热经向梯度异常(ADHY),KMSTF经向梯度(SSTY). Fig. 8 Variation of SHF (shaded, unit: W·m-2) (KSTE-CTRL1) caused by responses of terms in tendency of temperature (a) Advection term; (b) Vertical transport term; (c) Vertical eddy diffusion; (d) Cumulus convection; (e) Diabatic compression; (f) SHF anomaly (curve, unit: W·m-2(100 km)-1) averaged in interval (146.25°E—150°E), meridional gradient of SHF anomaly (SHFY), meridional gradient of SHF anomaly (RADY) caused by radiation heating, (ADIY) caused by diabatic compression, meridional gradient of SHF anomaly (CONY) due to cumulus convection, meridional gradient of SHF anomaly (DIFY) due to horizontal eddy diffusion, meridional gradient of SHF anomaly (TBLY) due to vertical eddy diffusion, meridional gradient of SHF anomaly (ADVY) due to vertical transportation, meridional gradient of SHF anomaly (ADHY) due to horizontal advection, meridional gradient of KMSTF (SSTY). |
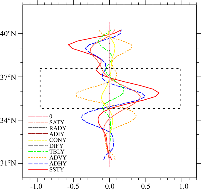
关于表层斜压性,我们主要使用了表层温度的经向梯度表示,计算表达式为
|
图 9 由温度倾向方程各项响应(KSTE-CTRL1)导致的表层斜压性在区间(146°E—154°E)的平均(曲线,单位:℃(100 km)-1).SATY为表层斜压性,RADY为由辐射加热影响的表层斜压,ADIY为绝热压缩过程影响的表层斜压,CONY为积云动力过程影响的表层斜压,DIFY为水平扩散影响的表层斜压,TBLY为垂直涡旋扩散影响的表层斜压,ADVY为垂直输送过程影响的表层斜压,ADHY为平流过程影响的表层斜压,SSTY为KMSTF经向梯度 Fig. 9 Surface baroclinicity (curve, unit: ℃ (100 km)-1) averaged in interval (146°E—154°E) caused by responses (KSTE-CTRL1) of temperature tendency equation. SATY represents surface baroclinicity, RADY is surface baroclinicity affected by radiation heating, ADIY is surface baroclinicity affected by diabatic compression process, CONY is surface baroclinicity affected by cumulus dynamic process, DIFY is surface baroclinicity affected by horizontal diffusion, TBLY is surface baroclinicity affected by vertical eddy diffusion, ADVY is surface baroclinicity affected by vertical transportation process, ADHY is surface baroclinicity affected by advection process, and SSTY is meridional gradient of KMSTF |
有研究指出KEF两侧热量差异更多地通过成云过程释放的潜热加强了KEF附近边界层顶的热量差异,从而有效地维持了大气斜压性(Tomita et al., 2013),但斜压性异常维持的原因及过程缺乏讨论.计算斜压性的公式为

本文主要通过分析纬向流的垂直切变
|
图 10 KE稳定型期间大气斜压性的经向-垂直(146°E—155°E平均)剖面,资料来自ERA-Interim (a)大气斜压性(填色,单位:s-1)和位势高度异常(等值线,单位:m),黑色矢量箭头为经向风异常响应(单位:m·s-1), 绿色箭头为经向风异常和垂直风速异常的合成(单位:m·s-1), 下图黑色曲线为KMSTF,红色曲线为SLP异常; (b)由风场垂直切变引起的斜压性(填色,单位:s-1)和纬向风场异常(等值线,单位:m·s-1),矢量箭头和下图同(a);(c)由大气稳定型引起的斜压性异常(填色,单位:s-1)和位温的异常分布(等值线,单位:K),矢量箭头和下图同(a).打点区域为斜压性通过90%的可信度检验. Fig. 10 The baroclinicity in latitude-altitude averaged in (146°E—155°E) in stable state of KE, data is from ERA-Interim (a) Atmospheric baroclinicity (shaded, unit: s-1) and geopotential height anomaly (contour, unit: m), black vector arrow is response of meridional wind anomaly (unit: m·s-1), green arrow is the combination of meridional wind anomaly and vertical wind velocity anomaly (unit: m·s-1), black curve in below is KMSTF, and red curve is SLP anomaly; (b) Baroclinicity (shaded, unit: s-1) and zonal wind anomaly (contour, unit: m·s-1) caused by vertical shear of wind field, vector arrow and below figure as in (a); (c) Baroclinicity anomaly (shaded, unit: s-1) and distribution of potential temperature anomaly (contour, unit: K) caused by atmospheric stability, vector arrow and the figure in below as in (a). Statistically significant differences at 90% according to the Student′s t test are stippled. |
数值试验显示了相似的结果.斜压性对KMSTF的响应中,斜压性在垂直方向上呈现出了向北倾斜的结构(图 11a),在KMSTF暖海温和KMSTF冷海温之间形成了明显的次级环流,在近表面层有较明显的偏北风.对比KMSTF暖海温异常,表层温度异常大值略向南偏移,这可能是北风响应导致的.我们将斜压性分解为由纬向风垂直切变(图 11b)和大气稳定性(图 11c)引起的变化,发现斜压性的形成主要是由于纬向流响应的垂直切变导致的.在800 hPa以上,纬向流异常呈现了南北偶极型的结构,大致在36°N以南,纬向流减弱,而在其以北纬向流增强.同时,还可发现在垂直方向上,增强的纬向流具有从低层到高层向北倾斜的特征.数值试验同样发现了在KMSTF冷海温上空有逆温的存在.
|
图 11 模式模拟的大气斜压响应(KSTE-CTRL1)在区间(146°E—151°E)平均的经向垂直剖面 (a)大气的斜压性异常响应(填色,单位:s-1),等值线为位势高度异常响应(单位:m),下图黑色曲线为KMSTF,红色虚线为表层温度异常,黑色箭头为经向风异常响应(单位:m·s-1), 绿色箭头为经向风和垂直风(10-3 m·s-1)异常响应的合成;(b)由风的垂直切变导致的斜压异常响应(填色,单位:s-1),等值线为纬向流异常响应(单位:m·s-1),矢量箭头和下图同(a);(c)由静力稳定度导致的斜压异常响应(填色,单位:s-1),等值线为位温异常响应(单位:K),矢量箭头和下图同(a).打点区域为斜压性通过90%可信度检验区域. Fig. 11 The response of atmospheric baroclinicity (KSTE-CTRL1) in altitude-latitude sections averaged in interval of (146°E—151°E) (a) Atmospheric baroclinicity anomaly response (shaded, unit:s-1), contours are geopotential height anomaly response (unit: m), black curve in the below figure is KMSTF, red dashed line is surface temperature anomaly, black arrow is meridional wind anomaly response (unit: m·s-1), green arrow is the combination of meridional wind good and vertical wind (10-3 m·s-1) anomaly response; (b) Response of baroclinicity caused by vertical shear of wind (shaded, unit: s-1), contours are response of latitudinal flow anomaly (unit: m·s-1), vector arrow and the figure in below is the same as (a); (c) Response of baroclinicity caused by static stability (shaded, unit: s-1), contours are response of potential temperature anomaly (unit: K), vector arrow and the figure in below as in (a). Statistically significant differences at 90% according to the Student′s t test are stippled. |
以上分析纬向流异常响应的垂直切变是维持斜压性重要过程.很多观测和数值模式结果都表明高空纬向急流对边界层以内的热力强迫表现出一定的垂直和经向分布特征.多数研究表明低层的热力异常首先改变了水平温度梯度,通过斜压异常使得风暴轴和纬向流重新分布,而在这一过程中,直接的热成风响应与间接的涡旋动力和热力反馈作用是最重要的(Brayshaw et al., 2008; Ogawa et al., 2012),相比于直接热成风响应,涡旋反馈的量级和作用更强(Deser et al., 2004; Ring and Plumb, 2007; Nie et al., 2016).纬向流的异常响应倾向为
|
(6) |
其中,三角括号代表区间(146°E—155°E)的纬向平均,拔号表示季节平均,撇号代表月内时间尺度扰动(后简称扰动),其计算是相关变量与其气候态月平均值之差.下标k-c表示KSTE-CTRL1,即对KMSTF的异常响应.首先分析上等式中等号右边第二项,即扰动的通量辐合对纬向流分布的影响.u′v′可视为纬向扰动动量的经向输送,根据纬向扰动的倾向预报方程,如公式(7)所示:
|
(7) |
上述符号中,UAT为平流项,UVT为垂直输送项,UDP1为表层气压异常项,UDP2为位势高度异常项,UCF为科式力项,UCU为积云动量再分配项,UHD为水平涡旋扩散项,UVD为垂直涡旋扩散项,Fh和Fv代表水平涡旋扩散系数和垂直涡旋扩散系数,将v′投影到纬向流倾向方程等号右端各项中,计算各倾向项导致的扰动通量经向辐合,结果如图 12所示.我们发现平流导致的扰动通量经向辐合在850 hPa以上36°N以北削弱纬向流,而在36°N以南是增强纬向流.并且在200~300 hPa间有极值.这种垂直结构的分布削弱了纬向流垂直切变(纬向流响应在36°N上空以北增强,以南减弱),从而对斜压性有削弱作用.我们把平流项的通量经向辐合分解如下公式:
|
(8) |
|
图 12 纬向风倾向方程中各倾向项导致的扰动通量经向辐合(填色,单位:m·s-2)(KSTE-CTRL1) (a)平流异常导致的扰动通量辐合; (b)位势高度异常导致的扰动通量辐合; (c)垂直输送导致的扰动通量辐合; (d)垂直涡旋扩散导致的扰动通量辐合; (e)科式力项导致的扰动通量辐合; (f)积云动量再分配导致的扰动通量辐合.打点区域为通过90%的可信度检验区域. Fig. 12 The meridional convergence of fluctuations flux (shaded, unit: m·s-2) (KSTE-CTRL1) in latitudinal wind tendency equation (a) The convergence of eddy flux due to advection anomaly; (b) The convergence of fluctuations flux due to potential height anomaly; (c) The convergence of fluctuations flux due to vertical transportation; (d) The convergence of fluctuations flux due to vertical eddy diffusion; (e) The convergence of fluctuations flux due to coriolis force term; (f) The convergence of fluctuations flux due to cumulus momentum redistribution. Statistically significant differences at 90% according to the Student′s t test are stippled. |
上式中u′c代表CTRL1试验中纬向流的扰动量,经计算,上式等号右端前四项较小.纬向区间的平均使得含有扰动量纬向梯度项较小,因此上式等号右端前三项可忽略.第四项由于



再分析资料中,在800 hPa以上,36°N以北随着高度的升高,平均纬向流逐渐增强并向北偏移.而在数值试验中,我们同样发现了在37°N,800 hPa以上纬向流随高度升高而增强且向北偏移.但扰动通量经向辐合不能解释纬向流向北逐渐增强的结果,这可能与公式(6)等式右端第三项涡旋热通量的垂直梯度
|
图 13 扰动热通量的垂直梯度对平均纬向流异常响应的作用(KSTE-CTRL1)(填色,单位:m·s-1) (a)积云对流异常加热通过扰动热通量对平均纬向流异常响应的作用;(b)大尺度凝结降水加热通过扰动热通量对平均纬向流异常响应的作用.打点区为通过90%可信度检验的区域. Fig. 13 The effect of response of vertical gradient of fluctuations heat flux on mean zonal flow (KSTE-CTRL1)(shaded, unit: m·s-1) (a) The effect of cumulus convective anomalous heating on the mean zonal flow through fluctuations heat flux; (b) The effect of large-scale condensation precipitation heating on the mean zonal flow through fluctuations heat flux. Statistically significant differences at 90% according to the Student′s t test are stippled. |
|
图 14 物理过程对水汽的调整倾向在(146°E—151°E)平均的经向垂直剖面,等值线为积云动量再分配引发的风场调整(单位:10-5m·s-2)(KSTE-CTRL1) (a)积云对流对比湿度的调整倾向(填色,单位:10-5 s-1);(b)大尺度凝结降水对比湿的调整倾向(填色,单位:10-6 s-1). Fig. 14 The physical process adjustment tendency of water vapor in altitude-latitude sections averaged in (146°E—151°E), and the contours are the wind field adjustment caused by cumulus momentum redistribution (unit: 10-5 m·s-2)(KSTE-CTRL1) (a) Adjustment tendency of cumulus convection on relative humidity (shaded, unit: 10-5 s-1); (b) Adjustment tendency of large-scale condensation precipitation on humidity (shaded, Unit: 10-6 s-1). |
|
图 15 不同的物理过程对热量和水汽的调整作用在(35°N,146°E—151°E)间的平均(KSTE-CTRL1) (a)物理过程对热量的调整倾向;(b)物理过程对水汽的调整倾向.L代表大尺度凝结降水,r代表辐射加热,s代表积云对流,t代表垂直涡旋扩散. Fig. 15 Different physical adjustment processes (KSTE-CTRL1) on heat and water vapor averaged in (35°N, 146°E—151°E) (a) The adjustment of physical processes on heat; (b) The adjustment of physical processes on water vapor. L represents large-scale condensation precipitation, r represents radiant heating, s represents cumulus convection, and t represents vertical eddy diffusion. |
以上的分析可以看出,积云动力和热力作用均可通过涡旋反馈对垂直纬向流分布产生影响,进而影响斜压性.积云的动力和热力作用以及逆温均在KMSTF冷海温上空存在,这也与经圈平面内的次级环流对热量和水汽的输送密不可分,而KMSTF暖蜿蜒南侧的低SLP异常可能会激发经圈平面内的次级环流,通过次级环流对热量、水汽和西风角动量的输送,有效地维持了在冷海温上空存在的随高度的增高而向北倾斜的大气斜压性,这可能是SLP维持斜压性的途径(Masunaga et al., 2015).低SLP的产生与KE稳定型期间暖海温异常有直接的关系. KMSTF暖海温异常通常会在其上有低SLP的产生,通过气压调整作用(Pressure adjustment)形成低压槽(Lindzen and Nigam, 1987; Tanimoto et al., 2011; Masunaga et al., 2015).通常低压槽的分布并不能与KMSTF暖海温异常严格对应,而是总体分布对比暖海温异常分布偏南,这是因冬季盛行的偏北风导致(Masunaga et al., 2015).SLP对KMSTF的响应如图 18a绿色等值线,从中可以发现,在KMSTF暖海温异常的南部有低SLP的响应,在其以北则为高SLP.
|
图 18 (a) 气压调整引发的风场(矢量,单位:m·s-1)辐合辐散(填色,单位:s-1),绿色线为SLP零线,黑色等值线为KMSTF异常(单位:℃)(KSTE-CTRL1);(b)气压调整引发的低层热通量辐合(填色,单位:k·s-1),矢量箭头为热通量矢量(单位:k·m·s-1)(KSTE-CTRL1),等值线同(a),(c)气压调整引发的低层水汽辐合(填色,单位:kg·kg-1·s-1)(KSTE-CTRL1),等值线同(a),(d)积云动量再分配产生的风场辐合(矢量,单位:10-1m·s-1)(KSTE-CTRL1) Fig. 18 (a) Convergence and divergence (shaded, unit: s-1) of wind field (vector, unit: m·s-1), green line as zero line of SLP, and KMSTF (contours, unit:℃) (KSTE-CTRL1) caused by pressure adjustment; (b) The convergence of low-level heat flux (shaded, unit: k·s-1) caused by air pressure adjustment, vector arrows are heat flux vectors (unit: k·m·s-1)(KSTE-CTRL1), contours are the same as (a). (c) The convergence of low-level water vapor (shaded, unit: kg·kg-1·s-1) (KSTE-CTRL1), contours are the same as (a), (d) The convergence of wind field (vector, unit:10-1m·s-1) and KMSTF (shaded, unit:℃) (KSTE-CTRL1) caused by cumulus momentum redistribution |
我们分析次级环流形成的可能原因.根据公式(6),仅仅考虑经圈平面上的次级环流,将变量写为季节平均加扰动量,使用纬向流诊断方程(7)并结合连续性方程求在区间(146°E—155°E)的平均,可近似得次级环流诊断方程为
|
(9) |
|
(10) |
上式中χ为流函数,σ为大气静力稳定度,(v,ω)均为异常响应的经向和垂直速度.次级环流的形成主要受公式(9)等号右端第一项扰动经向热通量和扰动通量散度的垂直梯度,也称为EP通量散度的垂直梯度和等式右端第二项非绝热加热的经向梯度影响,这里没有考虑摩擦拖曳作用.根据上述公式,逆向求解(Plumb,1982)(在南北边界v=0,上下边界ω=0)的各项因素导致的经圈环流如图 16所示,可发现由EP通量散度的垂直梯度可形成较明显的逆时针次级环流,并且次级环流可一直延伸到整个对流层顶,这种逆时针的次级环流同时由扰动动量和扰动热量通量的共同作用激发而成,其中扰动动量的作用促使斜压异常向极移动,而扰动热量作用维持了斜压异常(Robinson, 2006; Zhang et al., 2012; Nie et al., 2013).由积云对流的非绝热加热过程可形成更为明显的顺时针次级环流,主要体现在在800 hPa以上有较强的垂直运动,在35°N以南为上升运动,而在38°N—40°N之间为下沉运动.顺时针次级环流可将更多的低纬度热量、水汽和角动量输送到高纬度从而加强了高纬度的斜压性.垂直涡旋扩散和大尺度凝结降水可形成逆时针的经圈环流,但量级较小未给出.
|
图 16 经圈平面内的次级环流(经向风v(单位:10 m·s-1)和垂直速度w(单位:103 m·s-1)合成)(KSTE-CTRL1) (a)由EP通量散度的垂直梯度影响的经圈平面次级环流;(b)由积云对流潜热释放经向梯度影响的经圈平面次级环流. Fig. 16 Secondary circulation (combination of meridional wind v (unit: 10 m·s-1) and vertical velocity w (unit: 103 m·s-1)) in altitude-latitude sections (KSTE-CTRL1) (a) Secondary circulation caused by vertical gradient of EP flux divergence; (b) Secondary circulation caused by meridional gradient of heat flux released by cumulus convective. |
由积云对流过程引发的经圈平面内的次级环流可维持一定的斜压性,其具有对低纬地区的热量、水汽和角动量向高纬度输送的作用.定义经圈平面内次级环流的热通量矢量(MHT), 单位质量的纬向角动量通量矢量(MZM)和水汽通量矢量(MQT)分别为
|
其中,撇号代表着月内时间尺度扰动量,(V W)为积云对流引发的经圈垂直平面内的经向风和垂直风.计算的各项矢量以及矢量大小如图 17所示.可以发现,积云对流引发的次级环流可将纬向角动量,热量和水汽输送至高纬度地区,垂直方向上斜压性的大值区对应着次级环流对热量和水汽输送大值区(37°N附近).纬向风角动量的输送也在37°N附近上空有大值区,这是由于纬向角动量的输送维持了斜压区上空纬向流异常,增强了纬向风垂直切变,也维持了斜压性.次级环流的作用使得热量和水汽向北输送,在冷海温上空发生凝结并释放潜热,有助于冷海温异常上空形成逆温.
|
图 17 由积云对流过程引发的经圈平面内次级环流对热量、水汽和角动量的输送 (a)次级环流导致的热通量矢量(MHT)(矢量箭头,单位:10 m·s-1·K)以及矢量通量值(填色,单位:10-1 m·s-1·K);(b)次级环流导致的单位纬向角动量通量矢量(MZM)(矢量箭头,单位:10 m2·s-2)以及矢量通量值(填色,单位:10-1 m2·s-2);(c)次级环流导致的水汽通量矢量(MQT)(矢量箭头,单位:m·kg·s-1·kg-1)及矢量通量值(填色,单位:10-1 m·kg·s-1·kg-1). Fig. 17 The transportation of heat flux, water vapor and angular momentum by secondary circulation in altitude-latitude sections caused by cumulus convection (a) Heat flux vector caused by secondary circulation (MHT) (vector arrow, unit: 10 m·s-1·K) and vector flux value (shaded, unit: 10-1 m·s-1·K); (b) Unit angular momentum flux vector caused by secondary circulation (MZM) (vector arrow, unit: 10 m·s-2) and vector flux value (shaded, unit: 10-1 m·s-2); (c) Water vapor flux vector caused by secondary circulation (MQT) (vector arrow, Unit: m·kg·s-1·kg-1) and vector flux value (shaded, unit: 10-1 m·kg·s-1·kg-1). |
以上说明积云对流过程是形成顺时针环流的主要贡献量,而积云对流的触发则与低SLP对水汽和热量的辐合有直接关系.不少的观测结果显示,低SLP异常可导致KMSTF上空更多的积云对流和降水形成(Minobe et al., 2008, 2010),很多的数值试验也能够证明这一结论(Taguchi et al., 2009; Iizuka, 2010).
低SLP的异常可有效地形成近表面风场、水汽和热量的辐合辐散(Tanimoto et al., 2011; Masunaga et al., 2015).如图 18a所示,较强的辐合辐散均是沿着SLP零等值线附近,零等值线分布在KMSTF偏南侧.在SLP异常作用下,低压和高压之间通常可形成水汽和热量的辐合辐散,如图 18(b—c)所示,这种水汽和热量的辐合通常集中在KMSTF暖海温上,而在冷海温上则为辐散.低层水汽和热量的辐合更有利于积云对流过程的触发.由此可见,低SLP是维持垂直方向上斜压性最根本原因.积云动力过程引发的风场调整使得异常低压与高压之间有更强烈的辐合,如图 18d所示,积云对流作用显然可以引发强烈的风场调整,使得暖海温异常上有强烈的南风分量,也可一定程度削弱了北风分量.在冷海温异常上有偏北风分量,可增强北风异常.
4 结论使用区域气候模式RegCM4.6,设计了三组敏感性试验,结合高分辨率的ERA-Interim资料,揭示了冬季大气斜压性对KE年代际海温变率异常模态中的中尺度海洋锋响应的特征和维持过程.文中除了揭示表层斜压性的响应特征外,也探讨了对流层大气斜压性特征及维持机制.主要有以下一些结论:
(1) 分析SHF对KMSTF异常响应的特征发现,KMSTF异常是影响SHF异常的主要因素,而表层温度异常响应同样也对感热通量产生不可忽略的影响,月内时间尺度扰动对热量的向极输送总是削弱感热通量.感热通量异常响应的分布对比KMSTF异常分布偏北,表层温度异常响应与KMSTF的冷暖位置偏差是导致其分布偏北的主要原因.表层温度异常响应分布对比KMSTF异常分布偏南,盛行西北风的平流起到了主要的作用.
(2) 分析表层斜压性的异常响应显示,对比KMSTF异常分布,表层斜压性向南偏移,这是因平流的异常响应导致的.同时还可以发现,垂直涡旋扩散总是能够增强表层斜压性,但是位置偏北,体现的是SHF加热作用.对流作用总是削弱表层斜压性,垂直运动对热量的输送以及积云对流对低层热量和水汽的抽吸作用减弱了表层温度经向梯度,从而减弱表层斜压性.
(3) 分析对流层斜压特征发现,在KE海区附近表现出了斜压随高度向北倾斜的特征,最大值出现在850 hPa左右.纬向流的垂直切变异常是大气斜压性的主要贡献量.同时在KE海区还出现了经圈平面内的次级环流,以及在冷KMSTF上空的逆温.在分析扰动通量经向辐合对纬向流垂直分布异常的影响时发现,倾向方程中的平流作用在斜压区上空高层削弱了纬向流,其作用可使得垂直风切变减弱,体现了扰动对斜压性的削弱.而垂直输送和位势高度的纬向梯度均可对对流层纬向流产生加速作用,这也是扰动通量经向辐合的作用,起到了维持斜压性的作用.垂直涡旋扩散仅仅改变近表层纬向流.同时重要的是,积云动量再分配造成的扰动通量经向辐合对800 hPa以上的纬向流增强有重要作用,是维持斜压性的重要过程.
(4) 经圈平面内次级环流的形成与KMSTF南部低SLP有直接关系.低SLP有利于低层热量和水汽的辐合,从而引发了较强烈的积云对流过程,而积云对流过程是引发次级环流的主要贡献量.次级环流的作用可将低纬度的热量、水汽及角动量向高纬度输送,从而维持了在高纬地区的斜压性,这也是斜压性随高度的分布逐渐向北倾斜的原因.低SLP是维持对流层斜压性的重要原因.
Brayshaw D J, Hoskins B, Blackburn M. 2008. The storm-track response to idealized SST perturbations in an aquaplanet GCM. Journal of the Atmospheric Sciences, 65(9): 2842-2860. DOI:10.1175/2008JAS2657.1 |
Chen S M. 2008. The Kuroshio Extension Front from satellite sea surface temperature measurements. Journal of Oceanography, 64(6): 891-897. DOI:10.1007/s10872-008-0073-6 |
Deser C, Magnusdottir G, Saravanan R, et al. 2004. The effects of North Atlantic SST and sea ice anomalies on the winter circulation in CCM3. Part Ⅱ:Direct and indirect components of the response. Journal of Climate, 17(5): 877-889. DOI:10.1175/1520-0442(2004)017<0877:TEONAS>2.0.CO;2 |
Ducet N, Le Traon P Y, Reverdin G. 2000. Global high-resolution mapping of ocean circulation from TOPEX/Poseidon and ERS-1 and -2. Journal of Geophysical Research:Oceans, 105(C8): 19477-19498. DOI:10.1029/2000JC900063 |
Fang J B, Yang X Q. 2016. Structure and dynamics of decadal anomalies in the wintertime midlatitude North Pacific ocean-atmosphere system. Climate Dynamics, 47(5-6): 1989-2007. DOI:10.1007/s00382-015-2946-x |
Frankignoul C, Sennéchael N, Kwon Y O, et al. 2011. Influence of the meridional shifts of the kuroshio and the oyashio extensions on the atmospheric circulation. Journal of Climate, 24(3): 762-777. |
Grell G A, Dudhia J, Stauffer D R. 1994. Description of the fifth-generation Penn state/NCAR Mesoscale Model (MM5). Technical Note NCAR/TN 398+STR. Boulder: NCAR.
|
Hoskins B J, Valdes P J. 1990. On the existence of storm-tracks. Journal of the Atmospheric Sciences, 47(15): 1854-1864. DOI:10.1175/1520-0469(1990)047〈1854:OTEOST〉2.0.CO;2 |
Hotta D, Nakamura H. 2011. On the significance of the sensible heat supply from the ocean in the maintenance of the mean baroclinicity along storm tracks. Journal of Climate, 24(13): 3377-3401. DOI:10.1175/2010JCLI3910.1 |
Iizuka S. 2010. Simulations of wintertime precipitation in the vicinity of Japan:Sensitivity to fine-scale distributions of sea surface temperature. Journal of Geophysical Research:Atmospheres, 115(D10): D10107. DOI:10.1029/2009JD012576 |
Kalnay E, Kanamitsu M, Kistler R, et al. 1996. The NCEP/NCAR 40-year reanalysis project. Bulletin of the American Meteorological Society, 77(3): 437-471. |
Kida S, Mitsudera H, Aoki S, et al. 2015. Oceanic fronts and jets around Japan:A review. Journal of Oceanography, 71(5): 469-497. DOI:10.1007/s10872-015-0283-7 |
Kwon Y O, Deser C. 2007. North pacific decadal variability in the community climate system model version 2. Journal of Climate, 20(11): 2416-2433. DOI:10.1175/JCLI4103.1 |
Kwon Y O, Alexander M A, Bond N A, et al. 2010. Role of the Gulf Stream and Kuroshio-Oyashio systems in large-scale atmosphere-ocean interaction:A review. Journal of Climate, 23(12): 3249-3281. DOI:10.1175/2010JCLI3343.1 |
Lindzen R S, Nigam S. 1987. On the role of sea surface temperature gradients in forcing low-level winds and convergence in the tropics. Journal of the Atmospheric Sciences, 44(17): 2418-2436. DOI:10.1175/1520-0469(1987)044〈2418:OTROSS〉2.0.CO;2 |
Lu J, Sun L T, Wu Y T, et al. 2014. The role of subtropical irreversible PV mixing in the zonal mean circulation response to global warming-like thermal forcing. Journal of Climate, 27(6): 2297-2316. DOI:10.1175/JCLI-D-13-00372.1 |
Ma X H, Chang P, Saravanan R, et al. 2015. Distant influence of kuroshio eddies on North Pacific weather patterns?. Scientific Reports, 5: 17785. DOI:10.1038/srep17785 |
Masunaga R, Nakamura H, Miyasaka T, et al. 2015. Separation of climatological imprints of the Kuroshio Extension and Oyashio Fronts on the wintertime atmospheric boundary layer:Their sensitivity to SST resolution prescribed for atmospheric reanalysis. Journal of Climate, 28(5): 1764-1787. DOI:10.1175/JCLI-D-14-00314.1 |
Masunaga R, Nakamura H, Miyasaka T, et al. 2016. Interannual modulations of oceanic imprints on the wintertime atmospheric boundary layer under the changing dynamical regimes of the Kuroshio Extension. Journal of Climate, 29(9): 3273-3296. DOI:10.1175/JCLI-D-15-0545.1 |
Minobe S, Kuwano-Yoshida S, Komori N, et al. 2008. Influence of the Gulf Stream on the troposphere. Nature, 452(7184): 206-209. DOI:10.1038/nature06690 |
Minobe S, Miyashita M, Kuwano-Yoshida A, et al. 2010. Atmospheric response to the Gulf Stream:Seasonal variations. Journal of Climate, 23(13): 3699-3719. DOI:10.1175/2010JCLI3359.1 |
Nakamura H, Kazmin A S. 2003. Decadal changes in the North Pacific oceanic frontal zones as revealed in ship and satellite observations. Journal of Geophysical Research:Oceans, 108(C3): 3078. DOI:10.1029/1999JC000085 |
Nakamura H, Sampe T, Tanimoto Y, et al. 2004. Observed associations among storm tracks, jet streams and midlatitude oceanic fronts.//Wang C, Xie S P, Carton J A eds. Earth's Climate: The Ocean-Atmosphere Interaction, Volume 147. Geophysical Monograph Series. Washington, DC: AGU, doi: 10.1029/147GM18.
|
Nakamura H, Sampe T, Goto A, et al. 2008. On the importance of midlatitude oceanic frontal zones for the mean state and dominant variability in the tropospheric circulation. Geophysical Research Letters, 35(15): L15709. DOI:10.1029/2008GL034010 |
Nie Y, Zhang Y, Yang X Q, et al. 2013. Baroclinic anomalies associated with the Southern Hemisphere Annular Mode:Roles of synoptic and low-frequency eddies. Geophysical Research Letters, 40(10): 2361-2366. DOI:10.1002/grl.50396 |
Nie Y, Zhang Y, Chen G, et al. 2014. Quantifying barotropic and baroclinic eddy feedbacks in the persistence of the southern annular mode. Geophysical Research Letters, 41(23): 8636-8644. DOI:10.1002/2014GL062210 |
Nie Y, Zhang Y, Chen G, et al. 2016. Delineating the barotropic and baroclinic mechanisms in the midlatitude eddy-driven jet response to lower-tropospheric thermal forcing. Journal of the Atmospheric Sciences, 73(1): 429-448. DOI:10.1175/JAS-D-15-0090.1 |
Ogawa F, Nakamura H, Nishii K, et al. 2012. Dependence of the climatological axial latitudes of the tropospheric westerlies and storm tracks on the latitude of an extratropical oceanic front. Geophys. Geophysical Research Letters, 39(5): L05804. DOI:10.1029/2011GL049922 |
Plumb R A. 1982. Zonally symmetric hough modes and meridional circulations in the middle atmosphere. Journal of the Atmospheric Sciences, 39(5): 983-991. |
Qiu B, Chen S M. 2005. Variability of the Kuroshio Extension jet, recirculation gyre, and mesoscale eddies on decadal time scales. Journal of Physical Oceanography, 35(11): 2090-2103. DOI:10.1175/JPO2807.1 |
Qiu B, Schneider N, Chen S M. 2007. Coupled decadal variability in the North Pacific:An observationally constrained idealized model. Journal of Climate, 20(14): 3602-3620. DOI:10.1175/JCLI4190.1 |
Qiu B, Chen S M, Schneider N, et al. 2014. A coupled decadal prediction of the dynamic state of the Kuroshio Extension system. Journal of Climate, 27(4): 1751-1764. DOI:10.1175/JCLI-D-13-00318.1 |
Ring M J, Plumb R A. 2007. Forced annular mode patterns in a simple atmospheric general circulation model. Journal of the Atmospheric Sciences, 64(10): 3611-3626. DOI:10.1175/JAS4031.1 |
Robinson W A. 2006. On the self-maintenance of midlatitude jets. Journal of the Atmospheric Sciences, 63(8): 2109-2122. DOI:10.1175/jas3732.1 |
Sampe T, Nakamura H, Goto A, et al. 2010. Significance of a midlatitude SST frontal zone in the formation of a storm track and an eddy-driven westerly jet. Journal of Climate, 23(7): 1793-1814. DOI:10.1175/2009JCLI3163.1 |
Smirnov D, Newman M, Alexander M A. 2014. Investigating the role of ocean-atmosphere coupling in the North Pacific Ocean. Journal of Climate, 27(2): 592-606. DOI:10.1175/JCLI-D-13-00123.1 |
Taguchi B, Nakamura H, Nonaka M, et al. 2009. Influences of the Kuroshio/Oyashio Extensions on air-sea heat exchanges and storm-track activity as revealed in regional atmospheric model simulations for the 2003/04 cold season. Journal of Climate, 22(24): 6536-6560. DOI:10.1175/2009JCLI2910.1 |
Taguchi B, Nakamura H, Nonaka M, et al. 2012. Seasonal evolutions of atmospheric response to decadal SST anomalies in the north pacific subarctic frontal zone:observations and a coupled model simulation. Journal of Climate, 25(1): 111-139. |
Tanimoto Y, Nakamura H, Kagimoto T, et al. 2003. An active role of extratropical sea surface temperature anomalies in determining anomalous turbulent heat flux. Journal of Geophysical Research:Oceans, 108(C10): 3304. DOI:10.1029/2002JC001750 |
Tanimoto Y, Kanenari T, Tokinaga H, et al. 2011. Sea level pressure minimum along the kuroshio and its extension. Journal of Climate, 24(16): 4419-4434. |
Tomita H, Xie S P, Tokinaga H, et al. 2013. Cloud response to the meandering Kuroshio Extension Front. Journal of Climate, 26(23): 9393-9398. |
Wang Y H, Liu W T. 2015. Observational evidence of frontal-scale atmospheric responses to Kuroshio Extension variability. Journal of Climate, 28(23): 9459-9472. |
Yao Y, Zhong Z, Yang X Q. 2016. Numerical experiments of the storm track sensitivity to oceanic frontal strength within the Kuroshio/Oyashio Extensions. Journal of Geophysical Research:Atmospheres, 121(6): 2888-2900. DOI:10.1002/2015JD024381 |
Yasuda I. 2003. Hydrographic structure and variability in the Kuroshio-Oyashio transition area. Journal of Oceanography, 59(4): 389-402. DOI:10.1023/A:1025580313836 |
Zeng X B, Zhao M, Dickinson R E. 1998. Intercomparison of bulk aerodynamic algorithms for the computation of sea surface fluxes using TOGA COARE and TAO data. Journal of Climate, 11(10): 2628-2644. |
Zhang Y, Yang X Q, Nie Y, et al. 2012. Annular mode-like variation in a multilayer quasigeostrophic model. Journal of the Atmospheric Sciences, 69(10): 2940-2958. |
2021, Vol. 64


