2. 中国科学院大学, 北京 100049;
3. 中国石油大学(华东)深层油气重点实验室, 山东青岛 266580
2. University of Chinese Academy of Sciences, Beijing 100049, China;
3. Key Laboratory of Deep Oil and Gas, China University of Petroleum(East China), Shandong Qingdao 266580, China
页岩气作为一种重要的非常规油气资源,在过去十年中得到广泛关注.页岩储层岩性特征、微观孔隙结构、干酪根分布等在不同尺度上都呈现出很强的随机非均质性,导致复杂的地球物理响应.对页岩储层非均质性进行定量分析可以为页岩有效弹性参数模拟提供依据,为不同分辨尺度页岩储层的声学非均质分析奠定基础.在页岩“甜点区”的开发中,孔隙、干酪根、脆性矿物是三类受关注度较高的成分.页岩气富集于页岩孔隙中,研究页岩孔隙特征是深入认识页岩气富集机理的关键,对页岩气的勘探与开发具有重要意义.干酪根含量和脆性矿物含量是“甜点区”的两项重要评价指标.本文基于龙马溪组页岩数字岩心数据,尝试利用基于统计学方法的随机介质理论来描述储层的非均质变化,开展孔隙、脆性矿物、干酪根的岩性非均质分析,实现定量估计页岩储层非均质性.
目前,页岩油气的油藏地球物理学主要以非均质介质模型为基础,其强非均质性主要体现在矿物颗粒、孔/裂隙、干酪根等微结构呈现明显的尺度化分布特征.几何尺度远小于探测波长的微结构对地震波传播影响不明显,传统储层地球物理理论有效.巴晶等利用双孔隙模型对浅表储层岩石和多孔介质中波传播过程进行描述,基于岩石物理模型,该双孔隙模型可用于估计岩石骨架的非均质性(Ba et al., 2015, 2017).随着高频和宽频高分辨率油藏地球物理探测的实施,大量随机分布的小尺度微结构明显影响地震波传播, 为了理解这种影响机制,需要重构小尺度微结构的随机分布.Ikelle等(1993)提出基于小尺度非均匀体统计分布自相关函数的随机介质模型.目前广泛应用的三种随机介质模型为高斯型、指数型和Von Kármán型自相关函数模型(Todoeschuck et al., 1990;Müller and Shapiro, 1999;Roth and Korn, 1993),用以模拟不同几何形状岩石颗粒的随机分布.
鉴于微结构类型及其几何尺度多样化,常规的单类型单尺度随机介质模拟方法难以完整描述和重构微观尺度的页岩储层介质,需要发展更高精度的方法.奚先和姚姚(2002)基于岩石颗粒高斯型和指数型自相关函数特征,发展了混合型随机介质模型,用以描述不同沉积环境形成的岩石颗粒几何形状的多样性.常用的变尺度重建方法包括高斯窗函数、模拟退火、层序分类、多点统计及其混合等随机介质重建方法(Biswal et al., 2007;Talukdar et al., 2002;Tahmasebi et al., 2012;莫修文等,2016).Khalili等(2013)利用图像配准法整合了不同分辨尺度下碳酸盐岩的显微CT图像.Gerke等(2015)利用尺度缩放相关函数进行页岩随机介质重建.Ji等(2019)整合多种数据资源发展了一种多尺度随机介质建模方法,重建富有机质页岩的多尺度微纳米孔隙结构.
目前还没有一种多类型和多尺度的随机介质模拟方法, 完整描述和重建任意复杂的页岩储层介质.本文基于龙马溪组富有机质页岩数字岩心,对矿物颗粒、孔/裂隙和干酪根等微结构的随机分布及其几何尺度特征进行了详细分析.在此基础上, 按照类型占比和尺度占比进行微结构-尺度双分解,对每一种微结构类型的不同尺度组分,利用单尺度混合型随机介质进行精细模拟, 再按照类型占比和尺度占比进行微结构-尺度双合成, 实现一种简单的多分量-多尺度随机介质模拟, 数学重建页岩储层强非均质微观介质.本文内容安排如下:第1节主要描述随机介质模型方法;第2节对龙马溪组富有机质页岩数字岩心的矿物颗粒、孔/裂隙和干酪根等微结构的随机分布及其几何尺度特征进行了详细分析;第3节按照类型占比和尺度占比开展微结构-尺度双分解,对每一种微结构类型的不同尺度组分利用单尺度混合型随机介质模型进行精细模拟和重建.最后,参照实际岩心,对重建岩心的微结构形态特征及其分布进行相关分析.
1 随机介质模拟方法 1.1 常规随机介质模型单尺度单分量的随机介质模型经过多年的发展已经相当成熟(Ikelle et al., 1993; Kneib and Shapiro, 1995;Askar and Cakmak, 1988;Shapiro et al., 1996),模型由背景介质和随机分布的小尺度微结构组成, 描述地质背景趋势上的非均匀介质随机扰动,通常用平稳随机过程来表示.附录中介绍了由弹性介质声波方程构建的随机介质模型.由于随机序列在理论上无法用傅里叶变换来表征,但可用自相关函数来描述(Müller and Shapiro, 1999).根据随机介质理论及维纳-辛钦定理, 随机扰动的功率谱密度与其自相关函数是一个傅里叶变换对.一般而言,平稳随机过程σ的功率谱密度可以由其自相关函数φ(x, z)的傅里叶变换得到:
|
(1) |
其中kx和kz分别是水平和垂直方向的波数.本节以二维随机介质为例, 给出以自相关函数φ(x, z)构造随机介质σ(x, z)的具体流程(Ikelle et al., 1993;吴和珍等,2008).
(1) 生成初始随机介质:我们在区间[0, 2π]上使用随机数发生器生成服从均匀分布的初始随机介质ξ(kx, kz).
(2) 生成随机介质功率谱:理论上自相关函数为连续函数,实际计算的离散数据,由于离散误差, 随机函数将不再满足设定的具有一定均值的平稳随机过程.为了消除离散误差,引入窗函数W(kx,kz)(Marple,1987), 得到随机功率谱函数:
|
(2) |
(3) 对随机功率谱函数Ψ(kx, kz)做如下的傅里叶逆变换得到空间域随机扰动:
|
(3) |
其均值和方差为
|
(4) |
|
(5) |
(4) 根据上述均值和方差,生成以φ(x, z)为自相关函数的空间域随机介质分布:
|
(6) |
其均值为零,方差为ε2.
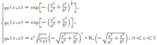
选择不同类型的自相关函数可以得到不同介质特征的随机介质模型,常用的随机介质模型有指数型、高斯型和Von Kármán型(Wu and Aki, 1985;Frankel and Clayton, 1984;Goff and Jordan, 1988;Roth and Korn, 1993),其自相关函数分别为:
|
(7) |
其中,v为阶数,Γ(v)为v阶Gamma函数,Kv为v阶的第三类贝塞尔函数.
一般来说,指数型自相关函数描述多尺度非平滑的随机介质,高斯型自相关函数描述单尺度平滑的随机介质,Von Kármán型自相关函数描述多尺度自相似的随机介质.
1.2 改进的随机介质模型不同沉积环境形成的岩石颗粒几何形状变化较大,上述三种随机介质模型中任意单一模型都不能适应这种变化.奚先和姚姚(2002)提出一种混合型随机介质模型,其自相关函数如下:
|
(8) |
其中a、b分别是x、z方向上的自相关长度,n是磨圆系数.固定a、b的值, 则n的取值决定了φ随x、z变化的衰减程度, n越大,衰减越快,模型中高波数成分越少,重建的岩石颗粒边界越平滑.反之,n越小,模型中高波数成分越多,重建的岩石颗粒边界越不规则.固定n值,改变a、b取值,可控制颗粒平均尺度大小.特别地,当n = 0.5和1时, 混合模型分别退化为指数型和高斯型.可见,a、b反映颗粒在水平和垂向方向上的平均尺度,磨圆系数n控制颗粒边缘的粗糙程度.
在混合型随机介质模型中引入方向因子θ∈[0, 2π), 得到矢量混合随机介质模型(马灵伟等,2016),其自相关函数为:
|
(9) |
当θ=0时, 矢量模型退化为混合模型.图 1为固定自相关长度a = 20 μm和b = 5 μm, 变化角度因子θ生成的随机介质模型.可见, 角度因子θ描述重建岩石颗粒的排列方向.
|
图 1 固定自相关长度a=20 μm和b=5 μm, 变化角度因子θ生成的随机介质模型 (a) θ=0, n=0.5;(b) θ=π/3, n=0.5;(c) θ=2π/3, n=0.5;(d) θ=0, n=1;(e) θ=π/3, n=1;(f) θ=2π/3, n=1. Fig. 1 Random media models with varying angle factor θ and fixed autocorrelation lengths, a=20 μm and b=5 μm |
川东褶皱带涪陵区块包鸾-焦石坝背斜下志留统龙马溪组黑色页岩,厚度大、分布稳定、富有机质,是我国主要的页岩气勘探开发区块之一.图 2是采自重庆市焦石坝镇露头的岩石样本,岩石物理实验显示该黑色页岩总有机碳含量平均值约为2.18%.该套页岩中的主要脆性矿物为石英(含量平均值超过45%)和长石,具有很强的可压裂性.
|
图 2 采自重庆焦石坝镇露头的龙马溪组页岩样本 Fig. 2 Longmaxi Formation shale sample from the outcrop of Jiaoshiba, Chongqing |
我们在岩石样本上钻取了直径为800 μm的岩心,利用上海光源纳米CT进行计算机断层扫描, 重构像元为0.65 μm的数字岩心.上海光源是一台高性能的中能第三代同步辐射光源(Shanghai Synchrotron Radiation Facility, SSRF), 使用光子能量范围为8~72.5 keV的不聚焦单色光束, 最大光斑尺寸为45 mm×5 mm, 其20 keV和70 keV的光子通量密度分别为5×1010 phs/s/mm2和2×108 phs/s/mm2, 高亮度X射线光管比常规CT高12~16个量级, 具有高通量、可调谐、高单色性、高相干性等特点.岩心样本放置在具有6个自由度的装置上进行旋转扫描,曝光时间为3.5 s.
重构的三维数据量巨大,其中岩心样本中间部分(尺寸为390μm×390μm×390 μm)对应的高分辨三维图像数据如图 3a所示,由3200000个切片,共600×600×600个像素构成,图 3b为沿X-Y方向的二维切片.每个像素灰度值表示X射线对岩样不同组分的吸收率.从局部放大图 3c可知, 各种矿物、孔隙/裂隙和干酪根由于吸收率的差异可清晰识别.表 1列出了该岩心样本主要矿物对应的吸收率,吸收率高的成分对应较亮的像素点,白色像素点对应吸收率最高的黄铁矿,最暗的黑色像素点对应吸收率最低的孔隙/裂缝,灰色像素点对应干酪根和其他矿物.可见,以石英为主的脆性矿物广泛堆积,其几何尺度差异大,较小尺度颗粒分布分散,而较大尺度颗粒紧密接触,与干酪根交融分布,构成了龙马溪组黑色页岩的基质.大部分孔隙分布较散,其几何尺度也较小.
|
图 3 重构的三维龙马溪组页岩数字岩心(a),沿X-Y方向的二维切片(b)及其中小方块部分的放大显示(c) Fig. 3 Reconstructed digital core of the Longmaxi Formation shale (a), the 2D slice of X-Y direction (b) and the enlarged display of the small square part (c) |
|
|
表 1 20 keV时矿物对X射线的吸收率 Table 1 Absorptive capacities of X-ray of minerals at 20 keV |
从数字岩心图像可知,脆性矿物、孔隙和干酪根三种微结构的几何形状及其分布特征差异较大;整个岩心中同一种微结构的几何尺度差异也较大.这样的强非均质介质很难直接用传统单分量单尺度的随机介质模型来模拟,本节通过微结构-尺度双分解,在每种微结构类型的分解尺度分量上进行模拟,按照类型和尺度占比通过微结构-尺度双合成,实现多分量多尺度的随机介质建模.
3.1 微结构-尺度双分解首先对数字岩心切片数据进行微结构分解.由于岩心中各组分对X射线吸收率存在差异,对应的像素点灰度值大小也不同,利用图像阈值分割技术可以将不同成分加以区分.多阈值分割是图像处理常用技术,其基本思路是通过多阈值把灰度直方图分割成N类,当分割的N组数据的类间方差最大(或类內方差最小)时,可得到最佳分割阈值.若图像灰度级为L, 则对应灰度级为i的像素点出现的概率为Pi(i=0, 1, 2, …, L),假设将原始的灰度图像分为N(N>3)类,则需要N-1个分割阈值,阈值集合为t={tk|k=1, 2, 3, …, N-1}, 定义t0=0,tN=L,则第k类的概率、均值和类方差分别为:
|
(10) |
定义多阈值的类间差和类内差为:
|
(11) |
当类间方差最大或类内方差最小时,可得到最佳分割阈值:
|
(12) |
如图 4所示,根据数字岩心图像中不同微结构含量占比,利用多阈值分割技术将岩心切片分为四种微结构类型:孔隙(A)(含量为4.23%)、干酪根(B)(含量为4.77%)、脆性矿物(C)(含量为16.73%)及背景介质(G)(含量为74.27%).从分解的孔隙、干酪根和脆性矿物分布来看,各微结构类型呈现出明显的几何尺度非均匀性,我们将每种类型根据尺度占比和非均质强度分解为2~4种单一尺度切片.如图 5所示,孔隙类型分解为两种尺度分量,占比分别为3.29%和0.94%;干酪根类型分解为三种尺度分量,占比分别为2.26%、1.51%和1%;脆性矿物含量高(16.73%),其颗粒几何尺度差异较大,我们将其细分为四种尺度分量,占比分别为9%、4.84%、2.27%和0.62%.
|
图 4 数字岩心微结构分解 (a)沿X-Y方向的数字岩心切片;(b)分解的孔隙分布;(c)分解的干酪根分布;(d)分解的脆性矿物分布. Fig. 4 The decomposition of microstructure of digital core (a) Slice of digital core in the X-Y direction; (b) The distribution of decomposed pores; (c) The distribution of decomposed kerogen; (d) The distribution of decomposed brittle minerals. |
|
图 5 三种微结构类型的尺度分解 (a)孔隙类型分解为两种尺度;(b)干酪根类型分解为三种尺度;(c)脆性矿物类型分解为四种尺度. Fig. 5 The scale decomposition of different microstructures (a) The pores are decomposed into two scales; (b) The kerogen is decomposed into three scales; (c) The brittle minerals are decomposed into four scales. |
对单一微结构类型的不同尺度分量进行常规单分量-单尺度混合型随机介质模拟,然后依据微结构类型占比和尺度占比进行介质合成,实现一种简单的多分量-多尺度随机介质模拟.首先确定各微结构类型不同尺度分量数字岩心的自相关长度参数a和b,代入矢量自相关函数(9)式,通过控制磨圆因子n,使得到的微结构颗粒平均尺度及其边缘粗糙程度与原介质保持一致.本文采用n = 1的高斯型自相关函数模拟边缘较为平滑的孔隙,取n = 0.7~0.9的矢量混合型自相关函数模拟形态不规则的脆性矿物和干酪根颗粒.通过改变方向因子θ,使生成的颗粒排列具有一定的方向性.脆性矿物颗粒较大,且形状极不规则,为了更好地控制颗粒形状的模拟,我们在针对每一新尺度进行模拟时,对已经进行模拟的成分及尺度先进行叠加,新的尺度模拟时,在600×600视域范围中筛选掉已经叠加过的像素点,以此控制得到不规则的矿物颗粒,此方法还可以避免不同成分在同一像素点重复出现.图 6为利用不同随机介质参数对图 5中三种微结构类型(孔隙、干酪根和脆性矿物)的不同尺度分量进行随机介质模拟结果.其中,孔隙类型分解为大和小两种尺度进行模拟(如图 6a), 含量占比分别为3.29%和0.94%;干酪根类型分解为三种尺度进行模拟(如图 6b), 含量占比分别为2.26%、1.51%和1%;脆性矿物分解为四种尺度进行模拟(如图 6c),含量占比分别为9%、4.82%、2.26%和0.62%.微结构-尺度双分解随机介质模拟实现对不同微结构类型颗粒几何尺度和形状的精细模拟.
|
图 6 三种微结构类型不同尺度分量的随机介质模拟 (a)孔隙两种尺度分量高斯型自相关函数随机介质模拟;(b)干酪根三种尺度分量混合型自相关函数随机介质模拟;(c)脆性矿物四种尺度分量混合型自相关函数随机介质模拟. Fig. 6 The random media simulation of three types of microstructure with different scales (a) The random media simulation of two scales of pores with the Gaussian autocorrelation function; (b) The random media simulation of three scales of kerogen with the intermixed autocorrelation function; (c) The random media simulation of four scales of brittle minerals with the intermixed autocorrelation function. |
利用公式(13)对三种微结构类型不同尺度分量模拟介质进行微结构-尺度双合成, 得到完整的模拟数字岩心.
|
(13) |
其中αi,βi,γi分别为孔隙(A)、干酪根(B)和脆性矿物(C)第i个尺度分量的含量占比.
3.3 相关分析一般采用如下的自相关功率谱函数来表征随机重建介质的逼近程度,
|
(14) |
其中,k指示颗粒尺度大小(0 < k < 1),大k值描述大颗粒, 其功率谱曲线衰减较快.根据维纳-辛钦定理可知,信号的功率谱密度与其自相关函数是一个傅里叶变换对,因此可得到自相关函数
|
(15) |
其中,τ为空域位置差.当τ ≠0时,由于0 < k < 1,则有4π2τ2≫k2,(15)式可简化为
|
(16) |
当颗粒尺度较大时,k值较大,自相关函数曲线R(τ)值变化较缓.表征自相关函数曲线这一特征的参数为主峰有效宽度,其定义为R(τ)值从1下降为1/e时所对应的主峰宽度.图 7比较了孔隙(a)、干酪根(b)和脆性矿物(c)三种微结构类型原始介质(粗实线)、直接模拟重建介质(细实线)和微结构-尺度双分解模拟重建介质(点线)对应的自相关函数曲线.在统计学中,自相关被定义为两个随机过程的皮尔森相关,一般而言,相关系数在0.8以上时,认为二者强相关, 0.3到0.8之间为弱相关, 0.3以下为不相关.由图 7可知, 微结构-尺度双分解模拟介质与原始介质的自相关函数曲线在相关系数0.3以上几乎完全重合, 孔隙、干酪根和脆性矿物双分解重建与直接随机介质模拟的半主峰有效宽度误差分别为1.3781、1.0169和3.4683,可见, 微结构-尺度双分解随机介质模拟是一种有效的多分量-多尺度介质重建方法.
|
图 7 孔隙(a)、干酪根(b)和脆性矿物(c)三种微结构类型原始介质(粗实线)、直接模拟重建介质(细实线)和微结构-尺度双分解模拟重建介质(点线)对应的自相关函数曲线 Fig. 7 The curve of autocorrelation functions of the original media (thick solid line), the reconstructed media of direct simulation (thin solid line) and the reconstructed media of multi-component and multi-scale random media method (dotted line) of three microstructure types, pores (a), kerogen (b) and brittle minerals (c) |
图 8比较了原始数字岩心切片(a)和微结构-尺度双分解重构的数字岩心切片(b), 可见, 二者孔隙(白色)、干酪根(红色)和脆性矿物(黑色)的颗粒几何尺度、颗粒几何形状、颗粒接触状态及颗粒分布特征极其相似.图 9对比了整体介质原始数字岩心切片(粗实线)、直接模拟重建介质(细实线)和微结构-尺度双分解模拟重建介质(点线)的自相关函数曲线.双分解重建与直接模拟的半主峰有效宽度误差为4.5158, 可见, 双分解模拟按照含量占比合成的方法可靠, 可准确精细地刻画微观尺度页岩非均质结构.
|
图 8 原始数字岩心切片(a)和微结构-尺度双分解重构的数字岩心切片(b) Fig. 8 The slice of original digital core (a) and the reconstructed slice of digital core with multi-component and multi-scale random media method (b) |
|
图 9 原始数字岩心切片(粗实线)、直接模拟重建介质(细实线)和微结构-尺度双分解模拟重建介质(点线)的自相关函数曲线 Fig. 9 The curve of autocorrelation functions of the slice of original digital core (thick solid line), the reconstructed media of direct simulation (thin solid line) and the reconstructed media of multi-component and multi-scale random media method (dotted line) |
页岩储层介质微观尺度的强非均质性是页岩气勘探开发的关键因素之一, 为了深入理解这种微观非均质性特征,本文基于数字岩心技术,采用微结构-尺度双分解随机介质模拟方法,开展龙马溪组页岩数字岩心随机介质模拟和非均质分析.主要研究结论如下:
(1) 本文采用微结构-尺度双分解方法,首先根据不同成分对X射线吸收率不同,利用阈值分割法将龙马溪组CT扫描数字岩心数据按类型含量占比分解为孔隙、干酪根和脆性矿物三种微结构类型及背景介质,对三种微结构类型再按照尺度含量占比进行分解,得到多分量多尺度的岩心数据切片.计算各微结构类型单一尺度分量数字岩心的自相关长度参数a和b,确定颗粒几何尺度,通过控制磨圆因子n和方向因子θ,进行随机介质模拟.生成颗粒平均尺度和边缘粗糙程度适中的、颗粒排列具有一定方向性的单尺度随机介质.重建的单尺度随机介质按照尺度含量占比进行合成,形成微结构类型随机介质,再按照类型含量占比进行合成,重建完整的数字岩心.
(2) 微结构-尺度双分解方法是由局部到整体的方法,相比于传统随机介质模拟方法,不仅能够更为精细地刻画页岩微观非均质性,更能够通过修改单成分单尺度的随机参数实现局部模型的修改,为研究页岩单一成分对地震信号的响应或反演提供了可行性.
(3) 通过相关分析,利用自相关函数曲线及其主峰有效宽度对页岩储层介质非均质性大小进行了定量化表征.微结构颗粒形态也会对页岩非均质性产生影响,如何定量化表征微结构形态的影响亟待进一步讨论.
总之,数字岩心技术为深入了解页岩储层微观结构提供了基础,基于传统随机介质模型发展而来的微结构-尺度双分解随机介质模拟方法更为精细、准确地刻画了页岩微观结构的非均质性,为研究页岩储层地球物理响应及页岩“甜点区”预测提供了依据.
附录 随机介质模型下面,我们给出由弹性介质声波方程构建随机介质模型的过程.均匀、各向同性的弹性声波方程为(Aki and Richards, 1980):
|
(A1) |
其中λ和μ是拉梅系数,ρ为介质密度.对于一般的均匀、各向同性弹性介质,空间坐标(x, z)处的速度v(x, z)和介质密度ρ(x, z)可以表示为:
|
(A2) |
|
(A3) |
其中v0和ρ0分别表示大尺度非均匀体的速度和密度,扰动δv和δρ分别代表了小尺度非均匀体的速度和密度.根据Birch理论(Birch,1961), 我们可以假设纵、横波速度具有相同的相对扰动量,密度和速度的相对扰动呈线性关系.我们可以在随机介质中用一个扰动参数来表示小尺度非均匀体,例如,速度扰动可以表述为:
|
(A4) |
此处v0是背景速度, σ(x, z)是空间中的相对速度扰动,κ是范围为0.3到0.8的比例系数.由式(A2)、(A3)、(A4), 可以推出:
|
(A5) |
|
(A6) |
假设σ是均值为零的二阶平稳空间随机过程.扰动方差ε2可以表示为ε2=〈σ2〉, 此处〈…〉表示随机过程的空间均值.我们可以将协方差函数表示为
|
(A7) |
标准自相关函数表示为:
|
(A8) |
基于不同自相关函数,则可以建立不同随机介质模型.
Aki K, Richards P G. 1980. Quantitative Seismology: Theory and Methods. San Francisco: W. H. Freeman & Co.
|
Askar A, Cakmak A S. 1988. Seismic waves in random media. Probabilistic Engineering Mechanics, 3(3): 124-129. DOI:10.1016/0266-8920(88)90024-0 |
Ba J, Carcione J M, Sun W T. 2015. Seismic attenuation due to heterogeneities of rock fabric and fluid distribution. Geophysical Journal International, 202(3): 1843-1847. DOI:10.1093/gji/ggv255 |
Ba J, Xu W H, Fu L Y, et al. 2017. Rock anelasticity due to patchy saturation and fabric heterogeneity:A double double-porosity model of wave propagation. Journal of Geophysical Research:Solid Earth, 122(3): 1949-1976. |
Birch F. 1961. The velocity of compressional waves in rocks to 10 kilobars:Part 2. Journal of Geophysical Research, 66(7): 2199-2224. DOI:10.1029/JZ066i007p02199 |
Biswal B, Øren P E, Held R J, et al. 2007. Stochastic multiscale model for carbonate rocks. Physical Review E, 75(6): 061303. DOI:10.1103/PhysRevE.75.061303 |
Frankel A, Clayton R W. 1984. A finite-difference simulation of wave propagation in two-dimensional random media. Bulletin of the Seismological Society of America, 74(6): 2167-2186. |
Gerke K M, Karsanina M V, Mallants D. 2015. Universal stochastic multiscale image fusion:an example application for shale rocks. Scientific Reports, 5: 15880. DOI:10.1038/srep15880 |
Goff J A, Jordan T H. 1988. Stochastic modeling of seafloor morphology:inversion of sea beam data for second-order statistics. Journal of Geophysical Research:Solid Earth, 93(B11): 13589-13608. DOI:10.1029/JB093iB11p13589 |
Ikelle L T, Yung S K, Daube F. 1993. 2-D random media with ellipsoidal autocorrelation functions. Geophysics, 58(9): 1359-1372. DOI:10.1190/1.1443518 |
Ji L L, Lin M, Cao G H, et al. 2019. A core-scale reconstructing method for shale. Scientific Reports, 9: 4364. DOI:10.1038/s41598-019-39442-5 |
Khalili A D, Arns J Y, Hussain F, et al. 2013. Permeability upscaling for carbonates from the pore scale by use of multiscale X-Ray-CT images. SPE Reservoir Evaluation & Engineering, 16(4): 353-368. |
Kneib G, Shapiro S A. 1995. Viscoacoustic wave propagation in 2-D random media and separation of absorption and scattering attenuation. Geophysics, 60(2): 459-467. DOI:10.1190/1.1443783 |
Müller T M, Shapiro S A. 1999. Green's function construction for 2D and 3D elastic random media.//69th Ann. Internat Mtg., Soc. Expi. Geophys.. Expanded Abstracts, 1797-1800.
|
Ma L W, Yang Q Y, Gu H M, et al. 2016. Simulation of reservoir seismic response in the northern slope of the middle Tarim Basin with random fracture-cavern media model. Oil Geophysical Prospecting (in Chinese), 51(6): 1119-1127. DOI:10.13810/j.cnki.issn.1000-7210.2016.06.010 |
Marple S L. 1987. Digital Spectral Analysis with Applications. Englewood Cliffs, NJ: Prentice-Hall.
|
Mo X W, Zhang Q, Lu J A. 2016. A complement optimization scheme to establish the digital core model based on the simulated annealing method. Chinese Journal of Geophysics (in Chinese), 59(5): 1831-1838. DOI:10.6038/cjg20160526 |
Roth M, Korn M. 1993. Single scattering theory versus numerical modelling in 2-D random media. Geophysical Journal International, 112(1): 124-140. DOI:10.1111/j.1365-246X.1993.tb01442.x |
Shapiro S A, Schwarz R, Gold N. 1996. The effect of random isotropic inhomogeneities on the phase velocity of seismic waves. Geophysical Journal International, 127(3): 783-794. DOI:10.1111/j.1365-246X.1996.tb04057.x |
Tahmasebi P, Hezarkhani A, Sahimi M. 2012. Multiple-point geostatistical modeling based on the cross-correlation functions. Computational Geosciences, 16(3): 779-797. DOI:10.1007/s10596-012-9287-1 |
Talukdar M S, Torsaeter O, Ioannidis M A, et al. 2002. Stochastic reconstruction, 3D characterization and network modeling of chalk. Journal of Petroleum Science and Engineering, 35(1-2): 1-21. DOI:10.1016/S0920-4105(02)00160-2 |
Todoeschuck J P, Jensen O G, Labonte S. 1990. Gaussian scaling noise model of seismic reflection sequences:Evidence from well logs. Geophysics, 55(4): 480-484. DOI:10.1190/1.1442857 |
Wu H Z, Fu L Y, Lan X W. 2008. Analysis of reservoir heterogeneity based on random media models. Progress in Geophysics (in Chinese), 23(3): 793-799. |
Wu R S, Aki K. 1985. The fractal nature of the inhomogeneities in the lithosphere evidenced from seismic wave scattering. Pure and Applied Geophysics, 123(6): 805-818. DOI:10.1007/BF00876971 |
Xi X, Yao Y. 2002. Simulations of random medium model and intermixed random medium. Earth Science-Journal of China University of Geosciences (in Chinese), 27(1): 67-71. |
马灵伟, 杨勤勇, 顾汉明, 等. 2016. 基于随机缝洞介质理论模拟塔中北坡储层的地震响应. 石油地球物理勘探, 51(6): 1119-1127. |
莫修文, 张强, 陆敬安. 2016. 模拟退火法建立数字岩心的一种补充优化方案. 地球物理学报, 59(5): 1831-1838. DOI:10.6038/cjg20160526 |
吴何珍, 符力耘, 兰晓雯. 2008. 基于随机介质模型的储层非均质性分析. 地球物理学进展, 23(3): 793-799. |
奚先, 姚姚. 2002. 随机介质模型的模拟与混合型随机介质. 地球科学——中国地质大学学报, 27(1): 67-71. |
2020, Vol. 63


