裂缝储层中发育的缝隙既可以作为储集空间,又可以作为渗滤通道,可能形成良好的油气储集层.当波在缝隙介质中传播时会引起流体流动,不同尺度的波致流又对波的传播产生影响,使其发生速度频散和衰减.定量描述这种频散和衰减关系,对于研究裂缝密度、发育规律(Li et al., 2018a, b)及可压裂性评价(Wang et al., 2018)等具有重要意义.
只含裂缝的饱和介质在低频极限下,流体有足够的时间从裂缝流向背景介质的孔隙空间中,最后达到平衡状态,这时可以利用线性滑移理论(Schoenberg,1998),忽略裂缝的微观结构,将裂缝等效为柔性面;或利用Hudson(1980)理论,将裂缝等效为背景介质的附加刚度扰动,结合各向异性Gassmann(1951)方程向孔缝中充填流体,构建准静态裂缝模型,从而研究等效介质的运动学及动力学特征.而在高频极限下,流体没有足够的时间发生相对流动达到平衡,缝隙之间可以认为是不连通的,孔隙压力的变化使岩石更刚硬,此时通过向饱和背景介质中加入干裂缝,然后用各向异性Gassmann方程得到流体饱和时裂缝介质的高频模量值(Guo et al., 2017b).
如果进一步研究波致流引起的裂缝介质全频衰减和速度频散关系,大致可以分为以下四种理论.Hudson通过忽略相邻裂缝之间的相互作用,给出了硬币型裂缝储层弹性模量与流体、固体性质之间的定量关系;Chapman(Chapman, 2010;Chapman et al., 2010)通过向背景介质中加入椭圆孔隙、柔性裂隙和硬币型裂缝,建立流体饱和模型,研究波致流引起的频散衰减;Jakobsen(2004)应用T矩阵方法来描述复杂裂缝分布下的频散衰减;Brajanovski(2005)基于White周期层状斑块饱和模型(White et al., 1975; White, 2005),将裂缝等效为高孔隙度薄层,裂缝介质等效为周期层状介质,进一步利用Biot理论研究其衰减频散.相比于其他三种模型,Brajanovski等(2006)的研究表明,周期层状裂缝模型的衰减与频率的幂级数呈线性关系,Gurevich等(2010)进一步给出了适用于不同裂缝形状和裂缝厚度的分支函数统一公式,因而在近年得到大量研究(Lambert et al., 2006; Müller and Rothert, 2006; Guo et al., 2017a, 2018).
但是岩石中孔隙和裂隙经常是并存的,由于孔隙与裂隙受到外力时可压缩性不同,裂隙形变大,其内的流体压强来不及松弛,就会产生挤压喷流现象,使介质呈现黏弹性(宋永佳和胡恒山, 2013).唐晓明(唐晓明,2011;Tang et al., 2012)利用Biot理论中介质在排水条件下的弹性模量引入裂隙对弹性性质的影响,对挤喷流效应进行分析,得出孔隙、裂隙并存时的弹性理论.在此基础上,吴国忱(2014)、吴建鲁等(2015)结合White斑块饱和模型,分别研究了尖灭型裂隙和硬币型裂隙、孔隙介质及混合裂隙的纵横波衰减频散关系.
为进一步研究裂缝、裂隙和孔隙并存时介质的衰减频散机制,本文在Brajanovski周期层状裂缝的基础上,向其中加入不同形状的裂隙,以此建立了周期性层状裂缝、裂隙介质模型.该模型同时考虑宏观尺度Biot流和介观尺度局域流以及微观尺度挤喷流的影响,通过推导孔隙、裂隙介质中Biot方程在层状裂缝介质中的等效传播矩阵,得到了用裂缝弱度、裂隙密度等参数表征的中观尺度垂向裂缝裂隙介质的频变刚度表达式;进一步结合线性滑移理论和Backus平均理论,分别给出了高低频极限下的各个刚度形式,分析研究了各参数变化下裂缝裂隙介质的衰减和频散规律.
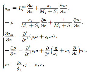
1 孔隙、裂隙并存时的弹性波统一理论基于Biot理论考虑两种不同类型微观尺度裂隙的喷射流影响,一种是连通两个孔隙的硬币型裂隙,另一种是一端封闭一端连通孔隙的尖灭型裂隙.唐晓明(唐晓明,2011;Tang et al., 2012)建立了孔隙、裂隙介质的弹性波理论,其弹性波动方程为
|
(1) |
式中:
|
(2) |
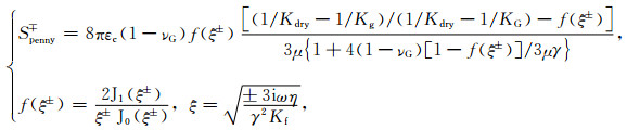
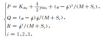
其中u是固体位移,U是流体位移,e=Δ·u,ε=Δ·U分别为固体的体应变和流体的体应变,微分符号表示对时间t求导.ρ11+ρ12=(1-ϕ)ρg,ρ12+ρ22=ϕρf,ρ12=(1-ζ)ϕρf,ρ为密度,K为体积模量,μ为剪切模量,下标g、f、dry分别代表基质、流体、骨架;ϕ为总孔隙度;ζ=1+r(1/ϕ-1)为孔隙介质的结构因子,对于球形固体颗粒r=0.5,其他椭球体介于0和1之间;b=ηϕ2/κ耗散函数,η是孔隙流体的黏度,κ是流体渗透率;α=1-Kdry/Kg,M=(α-ϕ)/Kg+ϕ/Kf.S的下标i等于1时对应Biot方程参数,2对应硬币型裂隙,3对应尖灭型裂隙,具体形式见附录A.
通过对(1)式求解可得到复纵波速度V的频散方程(Berryman, 1980),即:
|
(3) |
其中:
|
(4) |
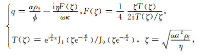
其中J0、J1分别是0阶和1阶Bessel函数,i是虚数单位,ω是角频率;孔径参数a=ϕd/[3(1-ϕ)], d是颗粒直径.(3)式的两个正根分别对应快纵波和慢纵波,其中快纵波相速度VP和品质因子Q分别为
|
(5) |
根据线性滑移理论,裂缝等效为柔性面,裂缝介质的柔度表示为背景介质的柔度与裂缝附加柔度之和,反映了介质中缝隙的发育程度.裂缝的附加柔度可以用法向柔度ZN和切向柔度ZT来表示.对于水平发育的裂缝组,其柔度矩阵Sf为(Bakulin et al., 2000):
|
(6) |
裂缝法向柔度ZN和切向柔度ZT分别是裂缝层厚hc与裂缝纵波模量L及裂缝剪切模量μ的比值(Mavko et al., 2009),即:
|
(7) |
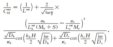
对于图 1所示水平发育的平面状裂缝,Brajanovski等(2005)将裂缝视为非常薄且孔隙度非常高的孔隙介质,结合White周期层状斑块饱和模型,将裂缝介质等效为层状介质,每层裂缝厚度为单位长度H,裂缝和背景介质的厚度比例hc+hb=1.利用Biot方程得到等效饱和裂缝模型垂直方向的纵波模量C33sat为:
|
(8) |
|
(9) |
|
图 1 裂缝孔隙介质及其模型表示 Fig. 1 Porous fractured medium and its model representation |
其中下标b对应背景介质,c对应裂缝介质;上标sat对应饱和介质,dry对应干岩石骨架.在波长远大于薄层厚度且hc→0,μc→0, Lc→0的情况下,有

|
(10) |
因此,用附加裂缝柔度表示的裂缝介质的纵波模量为
|
(11) |
|
(12) |
引入法向弱度(Hsu and Schoenberg, 1993)δN和标准频率Ω,即:
|
(13) |
|
(14) |
则(11)式可以简化为
|
(15) |
裂缝弱度用来描述裂缝发育程度和含流体情况.Bakulin通过对比线性滑移理论和Hudson裂缝理论,给出了裂缝弱度和裂缝密度ε、充填流体的弹性模量Kf、μf、裂缝纵横比a/c以及背景介质剪切模量μb、横纵波速度平方比g之间的关系:
|
(16) |
对于具有高纵横比的裂缝干岩石,方括号中的值近似等于1,此时裂缝弱度与裂缝密度成正比;而对于饱和流体岩石,方括号中的值远大于1,裂缝弱度近似于0.
3 周期层状裂缝、裂隙介质等效模型裂缝介质中不仅有较大尺度的裂缝,也有小尺度的裂隙.当波在介质中传播时,由于孔隙和裂隙的可压缩性不同,介质受到压力时,裂隙中的流体会向孔隙发生挤喷现象.
为进一步研究裂隙对波致流频散衰减的影响,我们在周期性层状裂缝模型基础上,向背景孔隙介质中加入裂隙.建立一维周期层状介质,每一层厚度为H,包括两层:背景孔隙、缝隙层和裂缝层,厚度分别为hcH、hbH,且满足hc+hb=1.每一层为各向同性、均匀且遵循弹性波统一方程(1).对垂直于层面传播的波来说,x、y方向的偏导数为0,不需考虑应力σxx、σyy.因此每一层孔隙介质,其弹性波统一方程对应的本构方程为
|
(17) |
其中σ是z轴方向法向总应力(即固体应力与流体压力之和),p是流体压力,u是z轴方向固体位移,w是流体相对于固体的位移,满足w=-ϕ(U-u),U是流体位移.饱和介质的密度ρ=(1-ϕ)ρg+ϕρf,
设应力、压力、位移为时间的简谐函数e-iωt,弹性波统一方程的频率域表达式可以写为矩阵形式,即:
|
(18) |
|
(19) |
则单一均匀介质中的解为
|
(20) |
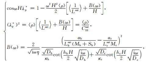
其中P(z-z0)是传播矩阵,参考层位置为z0.Q的特征值对角矩阵为Λ,特征向量为矩阵A.
对于n个周期为H的双层介质,设参考层z0=0,式(20)变为
|
(21) |
为了求解在等效介质中传播的波的有效慢度,即等效系统矩阵Q*的特征值,附录B推导了等效介质中的传播矩阵,使P(H)可以写为
|
(22) |
式(21)变为
|
(23) |
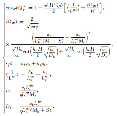
最终得到等效系统矩阵Q*中与纵波有关的特征值λp*满足:
|
(24) |
括号〈〉表示介质性质的厚度加权平均.
对(24)式简化,得到饱和裂缝裂隙介质纵波模量为
|
(25) |
式(25)和裂缝介质的表达式(11)形式类似,只是将M替换为M+S.从物理意义上看,饱和裂缝裂隙介质的频变柔度为饱和背景介质的准静态柔度1/Lbsat和裂缝裂隙的频变影响之和,而后者可以由裂缝的准静态柔度ZN和不同类型的裂隙柔度Sb的非线性方程表示,它表征了介质中裂缝和裂隙、裂缝和孔隙及裂隙和孔隙流体流动的影响.
如果用弱度表达式(13)对式(25)进行简化,则有:
|
(26) |
若在裂缝裂隙介质中传播的波频率足够低,其波长远大于周期性层状介质的非均匀尺度,此种情况下,介质中的流体受到压力后,有足够的时间发生相对流动,最后达到平衡状态.在低频极限下ω→0,式(25)中的余切函数可以用参数的倒数来代替,C33sat化简为
|
(27) |
按照频变纵波模量表达式(25)的物理意义,裂缝介质的其他模量可以通过修改Brajanovski等(2005)的层状裂缝介质低频模量表达式得到,即将其中的Mb替换为Mb+S,于是各参数的表达式为
|
(28) |
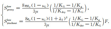
考虑挤喷流的影响,对于低频极限,波在裂隙孔隙介质中传播时,流体压强有充足的时间发生均衡松弛,从而使得裂隙、孔隙中的流体压力均匀分布.对于尖灭型和硬币型裂隙,其低频下的表达式则分别变为
|
(29) |
式中各参数的具体形式见附录A.
3.2 高频极限高频极限条件下,波在含裂隙、孔隙介质中传播时,缝隙内的流体没有足够时间流动,波动引起的孔隙压力的改变不能及时达到平衡状态,而且因为裂缝厚度hc→0,裂缝的法向柔度非常接近于0,此时有:
|
(30) |
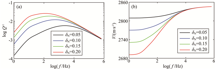
设背景介质中(表 1)只存在较大裂缝,则利用式(15)计算得到的纵波衰减和速度频散结果如图 2所示.图 2a是裂缝介质品质因子随频率变化的双对数坐标图,黑色、蓝色、绿色和红色曲线分别对应裂缝法向弱度δN0.05、0.1、0.15、0.2.曲线随频率分为三段,衰减系数1/Q变化分别正比于频率的1、1/2、-1/2次幂(Gurevich et al., 2010).裂缝介质的总体衰减随裂缝法向弱度增大而增强.图 2b是裂缝介质速度随频率变化的半对数坐标图,不同颜色的曲线对应关系同上.可以看出随频率增加速度增大;且裂缝弱度越大,速度在整个频带上的变化范围越大;但在高频时速度趋于稳定值,与裂缝弱度大小无关.在油气勘探中,一般通过方位叠前反演求取裂缝弱度来进行流体预测,但反演结果存在多解性.如果利用低频范围内衰减与频率的线性关系对流体预测过程进行约束,可减小这种多解性.
|
|
表 1 孔隙介质参数 Table 1 Parameters of the porous medium |
|
图 2 不同裂缝弱度下裂缝介质衰减(a)和频散(b) Fig. 2 Attenuation (a) and frequency dispersion (b) of fractured media with different fracture weakness |
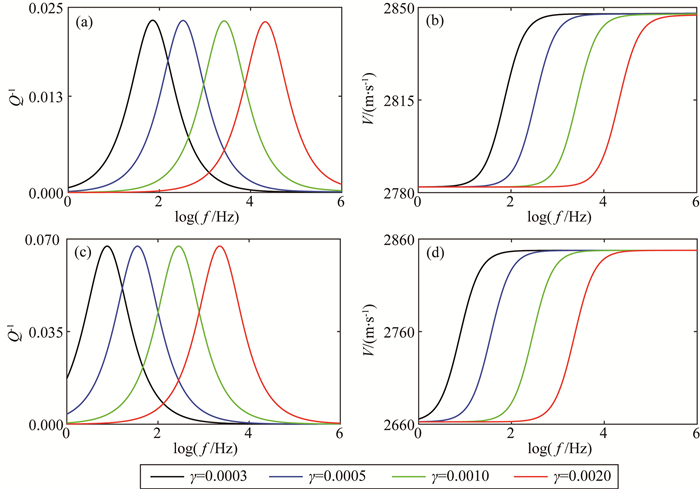
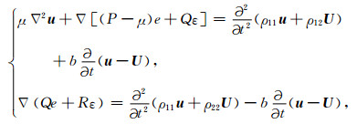
假如背景介质中只存在较小的裂隙,根据引入挤喷流影响的孔隙介质弹性波方程(1),利用式(2)分别研究硬币型裂隙和尖灭型裂隙的纵波衰减和速度频散.在相同的裂隙密度ε=0.025情况下,裂隙纵横比γ分别为0.0003、0.0005、0.001、0.002时对应的速度频散及衰减如图 3所示.可以看出,从低频到高频变化最为显著的频率区间位置由γ所控制(唐晓明,2011).裂隙纵横比变大,衰减峰值向高频方向移动,这是因为在相同压力下,裂隙纵横比越小,裂隙越容易闭合,裂隙向孔隙的挤喷流越容易发生.而裂隙纵横比相同时,相比于硬币型裂隙,尖灭型裂隙的衰减频段较低,这是由两种裂隙的喷射衰减机制不同引起的,也说明尖灭型裂隙更易压缩(宋永佳和胡恒山,2013).另外在低频范围,尖灭型裂隙介质中的纵波速度明显小于硬币型裂隙介质中的速度,即尖灭型裂隙的柔度大于硬币型裂隙的柔度.
|
图 3 不同裂隙纵横比下,硬币型裂隙的衰减(a)、频散(b)和尖灭型裂隙的衰减(c)、频散(d) Fig. 3 Attenuation and frequency dispersion for cracked media with different crack aspect ratios. (a) and (b) Penny shaped crack. (c) and (d) Pinchout shaped crack |
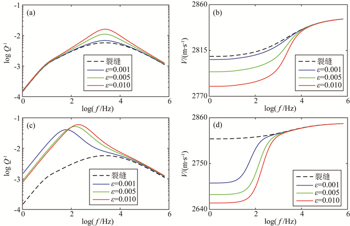
进一步利用式(1)和(2)研究相同裂隙纵横比γ=0.001时,纵波衰减和速度频散随裂隙密度的变化,如图 4所示.可以看出,裂隙密度影响的是衰减峰值的大小.裂隙密度越大,衰减越大;而且在低频时,随裂隙密度增加,介质柔度增加,刚度减小,速度减小.相同参数下尖灭型裂隙的衰减(图 4c)大于硬币型裂隙(图 4a)的衰减,而速度相对较小(图 4b和图 4d).
|
图 4 不同裂隙密度下,硬币型裂隙的衰减(a)、频散(b)和尖灭型裂隙的衰减(c)、频散(d) Fig. 4 Same as Fig. 3 but with different crack density |
若同时存在裂缝和裂隙,利用式(26)研究其纵波衰减和速度频散.设裂缝弱度为0.05,裂隙纵横比为0.001分别保持不变,当裂隙密度变化时的衰减和速度频散如图 5所示.其中虚线对应只含裂缝的介质,实线对应裂缝裂隙介质.图 5a和图 5b对应硬币型裂隙,图 5c和图 5d对应尖灭型裂隙.由图 5看出,在低频和高频范围,硬币型裂隙裂缝介质和裂缝介质的衰减基本相同,受裂隙密度变化影响较小;而在中间频带随裂隙密度增加,衰减增大,因为此时的波长和裂隙的特征长度相差较小.对于尖灭型裂隙,其在低频时的衰减明显大于只含有裂缝的衰减,但是仍然和频率呈线性关系;在中间频带随裂隙密度增加,衰减峰值增大.速度频散曲线的变化趋势在裂隙裂缝介质和裂缝介质中是一致的,即随着裂隙密度增加速度减小;在低频范围因为裂隙的存在增加了岩石的柔度,速度相对较低;另外因为衰减机制不同,尖灭型裂隙的柔度明显大于硬币型裂隙的柔度,在低频下速度频散更小.在高频范围,不论是硬币型裂隙裂缝介质还是尖灭型裂隙裂缝介质,其衰减和速度变化与只含裂缝的介质趋于相同.这是因为高频时,特征单元内的流体应力没有足够的时间达到平衡状态,裂隙到孔隙中的挤喷流和裂缝之间的流体流动的影响消失所致.
|
图 5 不同裂隙密度下,硬币型裂隙裂缝介质衰减(a)、频散(b)和尖灭型裂隙裂缝介质衰减(c)、频散(d) Fig. 5 Same as Fig. 4 but for crack-fractured medium |
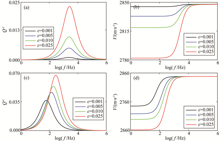
接下来保持裂隙密度不变,裂缝法向弱度仍为0.05,研究裂隙纵横比分别为0.0005、0.001、0.002时的纵波衰减和速度频散情况,如图 6所示.其中虚线对应纯裂缝介质,实线对应裂缝裂隙介质.由图 6可见当裂隙纵横比减小时,裂缝裂隙介质的衰减峰值频率向低频移动,速度显著变化的频率范围也同时向低频移动.在低频范围,相对于纯裂缝介质,波在硬币型裂隙裂缝介质和尖灭型裂隙裂缝介质中的衰减仍然和频率成正比,但在尖灭型裂隙裂缝介质中的衰减更大.从图 6b和图 6d看出,硬币型裂隙裂缝介质和尖灭型裂隙裂缝介质速度的低频及高频趋势是相同的,中间过渡带随着裂隙纵横比的增大,速度频散向高频方向迁移.此外,对比图 3和图 6可以看出,不论是裂隙介质还是裂缝裂隙介质,裂隙纵横比对波的优势衰减频率和速度频散显著的频段都起着控制作用.
|
图 6 不同裂隙纵横比下,硬币型裂隙裂缝介质衰减(a)、频散(b)和尖灭型裂隙裂缝介质衰减(c)、频散(d) Fig. 6 Same as Fig. 2 but for cracked-fractured medium |
目前在利用周期性White模型描述裂缝介质时,只考虑了由于裂缝和孔隙之间的流体流动引起的频散衰减,本文结合挤喷流模型,加入了裂隙与孔隙之间流体流动的影响,可以看作是介观尺度双孔隙度模型的一种变体.在讨论了硬币型裂隙和尖灭型裂隙以及裂缝介质中传播的波的衰减和速度频散规律基础上,深入研究了硬币型裂隙裂缝介质和尖灭型裂隙裂缝介质的波的衰减和速度频散,分析了不同介质中裂缝法向弱度、裂隙密度及裂隙纵横比对衰减和速度频散的影响规律.
研究表明,在其他参数保持不变时,裂缝法向弱度主要影响衰减的大小和低频速度大小;裂隙密度主要影响衰减峰值的大小,裂隙纵横比主要控制优势衰减频率和速度显著变化的频率区间.在低频范围,相对于纯裂缝介质,波在硬币型裂隙裂缝介质和尖灭型裂隙裂缝介质中的衰减仍然和频率成正比;尖灭型裂隙的柔度大于硬币型裂隙的柔度,且对衰减的影响程度更大.在高频范围,不论是硬币型裂隙裂缝介质还是尖灭型裂隙裂缝介质,其衰减和速度变化与只含裂缝的介质趋于相同.
附录A式(2)中,所有的S=0时,即为Biot方程形式.对于硬币型裂隙:
|
(A1) |
其中J1、J0分别为一阶和零阶贝塞尔函数;νG、KG分别为零频条件下饱和岩石的泊松比和体积模量,μ是流体饱和介质的剪切模量;εc为裂隙密度,γ为裂隙纵横比.
对于尖灭型裂隙:
|
(A2) |
两种裂隙附加柔度表达式S中,±号分别对应简谐系统e±iωt,上标的正负号只会影响复模量的虚部信息,以确保计算得到的地震波衰减值为正.
附录B通过求解行列式det(λI-Q)=0,I为单位矩阵,可以得到Q的特征值是下面方程的根,即:
|
(B1) |
特征值是四个垂直传播的压缩波(沿传播方向的位移)的慢度,两上两下.当ω→0时,正根λ+2→ 

对于n个周期为H的双层介质,设参考层z0=0,(20)式变为
|
(B2) |
因为矩阵乘法不可交换,指数n不能移动到方括号内,不能通过单一周期得到精确的传播矩阵P(H).但是对于每一层,有:
|
(B3) |
为求解等效介质中传播的波的有效慢度,即等效系统矩阵Q*的特征值,将式(B3)写为
|
(B4) |
等效系统矩阵Q*的特征值是方程(B5)的根,即:
|
(B5) |
式中Tr是矩阵的迹,Ⅱ和Ⅲ分别是张量的二三不变量.因为e-iωHQ*的特征值代表等效介质中快、慢纵波的慢度,它们是成对出现的,即e±iωHλp*、e±iωHλd*.Trp0是所有根之和,Ⅱp0是根两两相乘之和,Ⅲp0是三个根相乘之和,即:
|
(B6) |
由(B6)式可以得到:
|
(B7) |
由于厚度H相对于快纵波波长来说很小,即ωHλp* < < 1,因此cosωHλp*~1,(B6)式变为
|
(B8) |
因此:
|
(B9) |
进一步得到:
|
(B10) |
可以看出(B10)式左边对应快纵波,右边对应慢纵波.因为我们关心快纵波,所以:
|
(B11) |
从式(B4)P0的结构看出,Trp0和Ⅱp0分别是快纵波项

|
(B12) |
对于低频,此结果可以写为
|
(B13) |
将(B12)式的B(ω)代入,得到:
|
(B14) |
可以看出此式与式(8)具有相同的形式,只是与背景介质有关的项发生了变化.进一步应用式(10)的极限条件,可以得到裂缝介质纵波模量表达式(11).
Bakulin A, Grechka V, Tsvankin I. 2000. Estimation of fracture parameters from reflection seismic data-Part Ⅰ:HTI model due to a single fracture set. Geophysics, 65(6): 1788-1802. DOI:10.1190/1.1444863 |
Berryman J G. 1980. Confirmation of Biot's theory. Applied Physics Letters, 37(4): 382-384. DOI:10.1063/1.91951 |
Brajanovski M, Gurevich B, Schoenberg M. 2005. A model for P-wave attenuation and dispersion in a porous medium permeated by aligned fractures. Geophysical Journal of the Royal Astronomical Society, 163(1): 372-384. DOI:10.1111/j.1365-246X.2005.02722.x |
Brajanovski M, Müller T M, Gurevich B. 2006. Characteristic frequencies of seismic attenuation due to wave-induced fluid flow in fractured porous media. Geophysical Journal of the Royal Astronomical Society, 166(2): 574-578. DOI:10.1111/j.1365-246X.2006.03068.x |
Chapman M. 2010. Frequency-dependent anisotropy due to meso-scale fractures in the presence of equant porosity. Geophysical Prospecting, 51(5): 369-379. |
Chapman M, Liu E R, Li X Y. 2010. The influence of fluid-sensitive dispersion and attenuation on AVO analysis. Geophysical Journal of the Royal Astronomical Society, 167(1): 89-105. |
Gassmann F. 1951. Vber die Elastizität Poröser Medien. Vierteljschr. Naturforsch. Ges. Zürich, 96: 1-23. |
Guo J X, Rubino J G, Barbosa N D, et al. 2017a. Seismic dispersion and attenuation in saturated porous rocks with aligned fractures of finite thickness:Theory and numerical simulations-Part 1:P-wave perpendicular to the fracture plane. Geophysics, 83(1): WA49-WA62. |
Guo J X, Rubino J G, Barbosa N D, et al. 2018. Seismic dispersion and attenuation in saturated porous rocks with aligned fractures of finite thickness:Theory and numerical simulations-Part 2:Frequency-dependent anisotropy. Geophysics, 83(1): WA63-WA71. |
Guo J X, Rubino J G, Glubokovskikh S, et al. 2017b. Effects of fracture intersections on seismic dispersion:theoretical predictions versus numerical simulations. Geophysical Prospecting, 65(5): 1264-1276. DOI:10.1111/1365-2478.12474 |
Gurevich B, Brajanovski M, Galvin R J, et al. 2010. P-wave dispersion and attenuation in fractured and porous reservoirsporoelasticity approach. Geophysical Prospecting, 57(2): 225-237. |
Hsu C J, Schoenberg M. 1993. Elastic waves through a simulated fractured medium. Geophysics, 58(7): 964-977. DOI:10.1190/1.1443487 |
Hudson J A. 1980. Overall properties of a cracked solid. Mathematical Proceedings of the Cambridge Philosophical Society, 88(2): 371-384. DOI:10.1017/S0305004100057674 |
Jakobsen M. 2004. The interacting inclusion model of wave-induced fluid flow. Geophysical Journal of the Royal Astronomical Society, 158(3): 1168-1176. DOI:10.1111/j.1365-246X.2004.02360.x |
Lambert G, Gurevich B, Brajanovski M. 2006. Attenuation and dispersion of P-waves in porous rocks with planar fractures:Comparison of theory and numerical simulations. Geophysics, 71(3): N41-N45. DOI:10.1190/1.2197490 |
Li L, Yan S H, Liu Q M, et al. 2018b. Micro-and macroscopic study of crack propagation in coal:theoretical and experimental results and engineering practice. Journal of Geophysics and Engineering, 15(4): 1706-1718. DOI:10.1088/1742-2140/aabb34 |
Li S G, Du X H, Zhao P X, et al. 2018a. Experimental study on crack evolution characteristics of rock-like materials under different strain rates. Journal of Geophysics and Engineering, 15(5): 2071-2078. DOI:10.1088/1742-2140/aabb66 |
Mavko G, Mukerji T, Dvorkin J. 2009. The Rock Physics Handbook:Tools for Seismic Analysis of Porous Media. Cambridge: Cambridge University Press.
|
Müller T M, Rothert E. 2006. Seismic attenuation due to wave-induced flow:Why Q in random structures scales differently. Geophysical Research Letters, 33(16): L16305. DOI:10.1029/2006GL026789 |
Schoenberg M. 1998. Elastic wave behavior across linear slip interfaces. The Journal of the Acoustical Society of America, 68(5): 1516-1521. |
Tang X M, Chen X L, Xu X K. 2012. A cracked porous medium elastic wave theory and its application to interpreting acoustic data from tight formations. Geophysics, 77(6): 245-D252. |
Wang X Q, Ge H K, Han P. 2018. A new model for fracability evaluation with consideration of natural cracks. Journal of Geophysics and Engineering, 15(4): 1492-1505. DOI:10.1088/1742-2140/aab500 |
White J E. 1975. Computed seismic speeds and attenuation in rocks with partial gas saturation. Geophysics, 40(2): 224-232. DOI:10.1190/1.1440520 |
White J E, Mihailova N, Lyakhovitsky F. 2005. Low-frequency seismic waves in fluid-saturated layered rocks. The Journal of the Acoustical Society of America, 57(S1): S30-S30. |
Wu G C, Wu J L, Zong Z Y. 2014. The attenuation of P wave in a periodic layered porous media containing cracks. Chinese Journal of Geophysics (in Chinese), 57(8): 2666-2677. DOI:10.6038/cjg20140825 |
Wu J L, Wu G C, Zong Z Y. 2015. Attenuation of P waves in a porous medium containing various cracks. Chinese Journal of Geophysics (in Chinese), 58(4): 1378-1389. DOI:10.6038/cjg20150424 |
宋永佳, 胡恒山. 2013. 裂隙挤喷流对孔隙介质排水体积模量的影响. 力学学报, 45(3): 395-405. DOI:10.6052/0459-1879-12-230 |
唐晓明. 2011. 含孔隙、裂隙介质弹性波动的统一理论——Biot理论的推广. 中国科学:地球科学, 41(6): 784-795. |
吴国忱, 吴建鲁, 宗兆云. 2014. 周期性层状含孔隙、裂隙介质模型纵波衰减特征. 地球物理学报, 57(8): 2666-2677. DOI:10.6038/cjg20140825 |
吴建鲁, 吴国忱, 宗兆云. 2015. 含混合裂隙、孔隙介质的纵波衰减规律研究. 地球物理学报, 58(4): 1378-1389. DOI:10.6038/cjg20150424 |
2019, Vol. 62


