2. 中国石油大学(北京), 北京;
3. 中国石油长庆油田分公司勘探开发研究院, 西安 710021;
4. 中国石油杭州地质研究院, 杭州 310023
2. China University of Petroleum(Beijing), Beijing 102249, China;
3. Research Institute of Petroleum Exploration & Development, PCOC, Xi'an 710021, China;
4. PetroChina Hangzhou Research Institute of geology, Hangzhou 310023, China
全波形反演技术是一种从全波场地震记录中定量提取地下介质参数的数据拟合技术,利用波场的走时、振幅以及相位等多种信息,通过不同优化方法对地下模型参数进行精细刻画,分辨率明显高于传统基于射线理论的反演方法.自Taratola(1984, 1986)提出波形反演的理论框架,其在不同数据域、模型域以及不同介质中反演技术都得到了长足发展(Virieux and Operto 2009).在全球和区域性的构造反演以及勘探地球物理中都取得了很好的应用效果.
FWI问题基于波动方程理论,是一种非线性性质极强的反问题,尤其是在弹性多参数反演中.非线性问题的线性化求解方法主要分为两大类:全局优化和局部优化算法.全局优化方法对目标函数依赖性不高,甚至不需要进行梯度计算,但是该类方法随机性高计算量大,不具备广泛的适用性,只适合未知参数非常少的反演问题.相较于全局优化算法,局部优化方法计算量非常小,适用于复杂模型和实际应用中的推广,但是该类方法在反演初始需要一个精度较高的初始模型,从而保证模拟记录与实际记录误差在1/4波长之内,以避免反演过程中周期跳跃现象的发生.为解决该问题,Bunks等(1995)和Pratt(1999)分别在时间频率域提出了从低频(组)到高频(组)的多尺度递归反演策略,在一定程度上降低了FWI对初始模型的依赖性,但并没有在本质上解决数据低频缺失的问题,初始模型依然是决定FWI成功应用的必要条件.
本质上讲,空间域(深度域)的波动方程反演方法获得的是地下介质的不同波数信息,FWI所需要的精确初始模型必须含有丰富的地下地质构造的低波数分量.低频震源非常昂贵,不适合广泛应用.为了改变这一现状,众多地球物理工作者应用数学变换和信号处理方法挖掘地震数据中潜在的“伪”低频信息,并将得到的低频信息用于全波形反演中的初始模型反演.Shin等提出的Laplace域、Laplace-Fourier域、对数域的全波形反演方法(Shin and Cha, 2008, 2009; Shin and Min, 2006).Bozda等以及其他学者利用调制解调原理提出了包络反演方法以及Beat tone反演方法(Bozdağ et al., 2011; Wu et al., 2014; Chi et al., 2014; Hu, 2014, Song, et al., 2015).陈生昌和陈国新(2016)对地震波场进行时间二阶积分,强化了地震数据中的低频信息减弱了反演对初始模型的依赖.Hu等利用地震记录中的高频信息通过经验模态分解以及相位追踪的方法分离和延拓低频信息构建初始模型(Hu et al., 2017; Li and Demanet, 2016).Wang等(2017)基于信号振幅谱无论向高向低移动包络保持不变的性质,建立了高低频信息之间的联系,利用高频有效反演得到了模型中的低波数信息.这些方法在全波形反演中取的了一定的效果,但是它们挖掘到的低频信息与真实记录中的理论低频没有直接关系,这些所谓的低频信息的物理意义仍然有待商榷.
获取模型低波数信息的另一途径是大角度波场信息.Diving波或折射波沿着界面滑行,源检波场夹角为180°,因此地震记录中存在远偏移距数据的前提下FWI可以有效恢复地下浅层的低波数参数(Woodward, 1992; Zhou et al., 2015),但不能够获取中深层的低波数模型参数.对于中深层,可以通过增强反演梯度中的层析分量(传播方向相反的波互相关)削弱偏移分量(传播方向相同的波互相关)来实现(Alkhalifah.2014; Wang et al., 2016),但是由于初始模型过于平滑,梯度更新量中几乎不存在层析分量.针对此问题,Xu等(2012)利用偏移反偏移(Symes和Kern, 1994)技术提出了反射波波形反演(RFWI)方法增强层析分量.Alkhalifah等进一步发展了反射波反演方法并提出了多级散射波反演进而取得更丰富的反射能量来更新模型低波数信息(Alkhalifah and Wu, 2016; Alkhalifah, 2017).为了避免进行RFWI中的真振幅偏移,很多学者提出基于走时互相关目标函数的RFWI(Ma and Hale, 2013; Zheng et al., 2013; Wang et al., 2018; Chi et al., 2015; Luo et al., 2016).
考虑到实际地下介质为弹性介质而非声介质,基于以前的认识及研究基础,本文进一步开展了弹性多参数反射波反演方法研究.我们提出了一种基于解耦弹性波方程的走时反射波反演方法,本方法中利用纵横波阻抗扰动作为反偏移中的次级震源扰动产生反射波.结合解耦波动方程,利用波场快照构建时移互相关目标函数,以此分别隐式计算并利用纵横波各自的走时信息,提高纵横波速度反演精度.模型测试证明了本文方法的可行性.
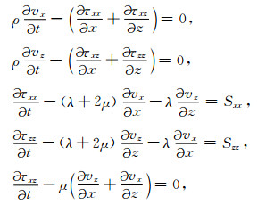
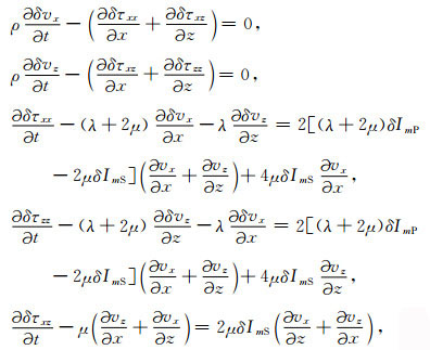
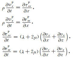
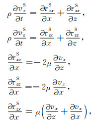
1 方法原理 1.1 常规弹性波全波形反演框架首先简单介绍基于一阶速度应力方程的弹性波FWI框架:
|
(1) |
其中vx和vz分别代表质点速度的水平分量和垂直分量,τxx、τzz和τxz为应力,Sxx和Szz表示加载在正应力上的爆炸震源.λ和μ为拉梅常数,ρ为密度.
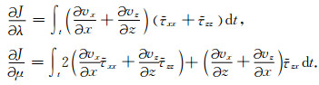
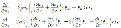
就任意目标函数而言,它们对模型参数的导数(梯度)最终均可以推导为雅克比矩阵与伴随波场乘积的形式,根据伴随状态法(Plessix, 2006)弹性参数λ和μ的梯度计算公式最终可以表示为正传波场与反传伴随波场的互相关(Wang et al., 2012):
|
(2) |
通过链式法则可获得纵横波速度vP和vS对应的梯度(Mora, 1987):
|
(3) |
其中J为目标函数,[vx, vz]和[τxx, τzz, τzx]分别为正传质点速度和反传伴随应力.梯度算子的构建是迭代类反演算法的核心,正确求解梯度以后,便是采用梯度类或牛顿类优化算法对模型参数进行更新,本文中的共轭梯度算法优化更新方法,并通过变步长方法(Köohn, 2011)分别求解不同参数在反演中的迭代步长.
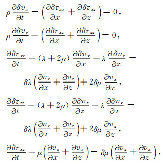
1.2 弹性波反偏移反射波全波形反演的目的是为了能够产生反射波信息增强梯度算子中的层析分量更新低波数信息.然而由于一般情况下初始模型过于平滑,所以无法产生扰动波场形成反射波.Xu等(2012a; 2012b)通过在FWI中引入偏移,并把偏移剖面作为新的次级震源(反偏移技术)成功产生了反射波.对于弹性波反射波而言可以通过以下过程获得(Feng and Schuster, 2017; Chen and Sacchi, 2017).
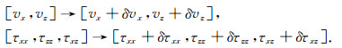
模型参数扰动[λ, μ]→[λ+δλ, μ+δμ]会产生相应的波场扰动(本文中密度项保持不变):
|
(4) |
把参数扰动和波场扰动代入弹性波方程(1),并与方程(1)相减,根据Born近似省去高阶项可得扰动波场与背景波场的关系:
|
(5) |
方程中参数扰动δλ和δμ可通过方程(2)基于最小二乘目标函数进行计算,方程右侧可视为背景波场与参数扰动相关形成的次级震源.参数扰动往往对应生成的是散射波场(陈生昌和周华敏,2016),然而对于反射波反演,需要的是与反射系数相关的反射波场.把方程(6)代入方程(5):
|
(6) |
可得,
|
(7) |
其中, δImP=δ(ρvP)/ρvP和δImS=δ(ρvS)/ρvS代表纵横波阻抗扰动,在公式上看它们与反射系数序列具有相同的极性,因此我们认为此时扰动波场[δvx, δvz, δτxx, δτxz, δτzz]为反射波.但是我们很难保证δImP和δImS在幅值上与真实反射系数一致,为了避免最小二乘偏移以及真振幅偏移,在反射波反演中我们采用走时互相关目标函数进行反演.
1.3 解耦方程走时反演常规数据域的互相关目标函数通过计算求解一定时差范围[-T, T]内观测记录与模拟记录的互相关,并在该时差范围内寻找最大互相关值来确定模拟与真实数据之间的走时残差.对于弹性多分量数据,地震记录中同时存在纵横波信息,它们的走时信息存在一定差异,利用常规互相关函数计算出的纵横波走时残差的平均值去反演纵横波速度存在一定误差及局限.考虑到纵横波的传播过程是解耦的,本文基于解耦波动方程,利用正传波场快照和反传波场波场快照构建时移互相关目标函数,分别隐式计算纵、横波的走时信息,并分别反演纵波、横波速度.
1.3.1 走时目标函数时移互相关目标函数(Luo et al., 2016)定义为
|
(8) |
单个地震炮点xs对应的空间位置点x处t时刻的正传波场快照Us(x, t; xs)与反传波场快照Ur(x, t; xs)之间的时移互相关,
|
(9) |
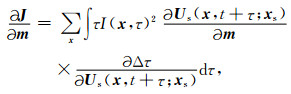
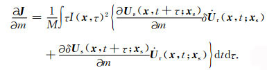
时移量τ∈[-T, T],目标函数(8)式在速度存在误差时可以自动的计算非零相关值对应的时移量Δτ,在此我们假设速度的扰动误差仅仅会引起时移量Δτ的变化,所以J关于模型参数m的梯度可以表示为
|
(10) |
进一步推导可得,
|
(11) |
其中,∂Us(x, t+τ; xs)/∂m为雅克比矩阵,根据伴随理论方程(11)中的其他项为反传的伴随波场Ua(x, t; xs):
|
(12) |
对于方程(12)中的∂Δτ/∂Us(x, t+τ; xs)采用隐式函数求导法则:
|
(13) |
其中·代表时间偏导,用M表示

|
(14) |
对反传地震记录(虚拟震源)进行时间求导数运算后再作为伴随方程的震源进行传播,可以得到(14)中伴随波场的一阶时间导数波场

|
(15) |
方程(15)的显示表达式可以根据伴随状态法以及方程(3)直接给出.其中δUs和δUr分别为震检两侧通过反偏移方程(7)获得的反偏移波场(反射波).虽然以上目标函数以及梯度计算方法避免了直接计算Δτ,但是对于纵横波同时传播的弹性介质而言, 常规互相关梯度不可避免的会遇到P和S波之间耦合效应的各种相互干扰,例如S-P和S-S的相关(Wang and Cheng, 2017; Oh et al., 2017),从而造成反演精度下降,尤其是对波数偏高的横波速度(横波相较于纵波速度偏小).为了降低纵横波之间的耦合影响,充分利用爆炸震源情况下能量占优的PP波与PS波反演纵横波速度,进一步开展了解耦方程反演方法研究.
1.3.2 解耦方程反演波场分离的主要应用是弹性逆时偏移,通过波场分离和相应的成像条件可以获取具有明确物理意义的反射系数剖面(Du et al., 2012, 2917; Duan and Sava, 2015).最初的波场分离是基于纵波为无旋场,横波为无散场通过亥姆赫兹分解完成的,该方法的物理意义是把耦合矢量波场分别投影到纵波和横波的极化矢量上(Dellinger and Etgen, 1990).这种情况下获取的纵横波并不是弹性矢量波场,没有充分反映纵横波矢量特性.Ma和Zhu(2003)利用解耦的纵横波二阶位移方程分别获得具有矢量特性的纵横波,解耦延拓波动方程是指可以用于P波和S波分解的弹性波波动方程.为了适应本文基于速度应力方程的反演方法,我们采用李振春等(2007)提出的解耦方程,纵波方程为
|
(16) |
横波方程为
|
(17) |
其中vx=vxP+vxS,vz=vzP+vzS为总波场.[τxxP, τzzP]和[τxxS, τzzS, τzxS]是纵横波的应力张量.解耦的速度应力方程(16)和(17)一方面可以采用旋转交错网格进行正演模拟降低横波速度偏低引发的频散效应,另一个主要优势在于方程中给出了波形反演梯度计算中所必须的应力分量.在反演过程中利用解耦的纵横矢量波场分别构建对应速度参数的梯度,可以有效减低不同模型参数之间的耦合效应.本文解耦反演方法中我们利用解耦的雅克比矩阵进行梯度构建降低纵横波之间的耦合效应,根据解耦雅克比矩阵与解耦散射格林函数的等价性(Wang and Cheng, 2017),解耦后梯度公式(15)可表示为
|
(18) |
其中Mod表示P波模式或S波模式.梯度式(18)的显示表达式同样可以根据伴随状态法以及方程(3)直接给出.图 1和图 2分别展示了非解耦(常规)与解耦情况下纵横波速度的梯度敏感核算子.由于多分量地震数据中纵波能量要比横波能量强很多,因此解耦与否对纵波速度的梯度敏感性影响不大(图 1a和图 2a).就横波速度而言,由于其对弹性波场的敏感性要弱于纵波速度,因此横波速度反演(梯度算子)更容易受到其他波型的影响从而导致反演精度下降.从图 1b和图 2b可以看出,解耦梯度算子在很大程度上提高了横波梯度算子分辨率.
|
图 1 常规敏感核算子:(a)纵波; (b)横波 Fig. 1 Conventional sensitivity kernels: compressional wave (a) and shear wave (b) |
|
图 2 解耦敏感核算子:(a)纵波; (b)横波 Fig. 2 Decoupled sensitivity kernels: compressional wave (a) and shear wave (b) |
我们将通过抽取的Sigbee2A弹性波模型,对本文中的常规和解耦反射波走时反演方法在模型低波数信息恢复方面的能力进行验证对比分析.测试中波场计算过程采用高阶交错网格有限差分法实现,模型大小为NX×NZ=314×146,纵横向网格间隔均为16 m,地表放炮,炮数60炮,炮间距50 m,检波点沿地表所有网格点放置.震源主频为8 Hz雷克子波(滤除3 Hz以下低频信息).图 3为真实的纵、横波速度模型,图 4为线性初始模型,反演过程中密度项为常数(2.0 g·cm-3).
|
图 3 真实速度模型:(a)纵波速度;(b)横波速度 Fig. 3 True velocity models: (a) Compressional wave; (b) Shear wave |
|
图 4 线性初始速度模型:(a)纵波速度; (b)横波速度 Fig. 4 Linear initial velocity models: (a) Compressional wave; (b) Shear wave |
图 5为利用线性初始模型估计的纵横波阻抗扰动δImP和δImS.由于初始模型中低波数分量很少,导致地震波走时信息与真实模型中的走时差异过大, 导致模型中两个绕射点处偏移结果发散不收敛.
|
图 5 线性初始速度模型的波阻抗扰动剖面δI (a)纵波速度; (b)横波速度. Fig. 5 Impedance perturbations δI of linear initial velocity models (a) Compressional wave; (b) Shear wave. |
Sigbee2A模型是一种假设地下岩石弹性参数为线性关系的速度模型,其纵波速度和横波速度(图 3)形态相同.通过10次迭代反演更新速度模型,可以看出当迭代到一定次数后,基于解耦波动方程的反演得到的纵波、横波梯度(图 9)的形态接近,二者为线性关系,而常规反射波走时反演得到纵波、横波梯度(图 6)的形态差异较大.另外,解耦方程反演结果(图 10)的低波数成分比常规方程反演结果(图 7)更加丰富,尤其在横波速度模型的构建方面,主要表现在对抽稀Sigbee2A模型右上角高速层的刻画上(黑色椭圆处).因此我们可以得出,解耦反演方法可以有效降低波场之间的耦合效应,提高横波速度反演质量.
|
图 6 常规反射波走时反演第10次迭代梯度结果 (a)纵波速度; (b)横波速度. Fig. 6 The 10th gradients using conventional reflection travel-time inversion for models (a) Compressional wave; (b) Shear wave. |
|
图 7 常规走时反射波反演结果 (a)纵波速度; (b)横波速度. Fig. 7 Conventional reflection travel-time inversion results (a) Compressional wave; (b) Shear wave. |
|
图 9 解耦反射波走时反演第10次迭代梯度结果 (a)纵波速度; (b)横波速度. Fig. 9 The 10th gradients using decoupling reflection travel-time inversion for models (a) Compressional wave; (b) Shear wave. |
|
图 10 解耦走时反射波反演结果 (a)纵波速度; (b)横波速度. Fig. 10 Dcoupling reflection travel-time inversion results (a) Compressional wave; (b) Shear wave. |
图 8和图 11分别对应利用图 7和图 10所示速度场进行偏移获取的纵、横波阻抗扰动剖面.可以看出,相比于线性初始模型偏移结果,图 8和图 11中偏移剖面收敛程度得到了显著提高,尤其是模型下方的绕射点均得到了很好的收敛.然而进一步比较图 8和图 11可以看出,图 11中的断陷区域(黑色箭头处)以及底层高速区域(黑色框区域)的成像结果分辨率更高.从侧面也证实了解耦方程反射波反演结果要优于常规反射波反演.
|
图 8 利用常规走时反演速度的波阻抗扰动剖面δI (a)纵波速度; (b)横波速度. Fig. 8 Impedance perturbations δI of models using conventional reflection travel-time inversion (a) Compressional wave; (b) Shear wave. |
|
图 11 利用解耦反射波走时反演速度的波阻抗扰动剖面δI (a)纵波速度; (b)横波速度. Fig. 11 Impedance perturbations δI of models using decoupling reflection travel-time inversion (a) Compressional wave; (b) Shear wave. |
为了有效构建纵、横波速度模型中的低波数成分,本文研究了基于弹性波一阶速度应力方程的弹性波反射波走时反演方法.为降低不同参数之间的耦合效应,尤其是对多分量数据较为不敏感的横波速度参数,我们提出了一种基于解耦弹性波方程的走时反射波反演方法,并提出改进的时移互相关目标函数,分别隐式计入射波场快照与反传波场快照的时移量,很大程度的降低了纵波、横波之间的耦合关系, 并提高纵横波速度低波数信息的反演质量.Sigbee2A模型测试证明了本文方法的可行性和有效性.
致谢 感谢评审专家的修改意见使稿件质量得以提高.
Alkhalifah T. 2014. Scattering-angle based filtering of the waveform inversion gradients. Geophysical Journal International, 200(1): 363-373. DOI:10.1093/gji/ggu379 |
Alkhalifah T, Wu Z D. 2016. Multiscattering inversion for low-model wavenumbers. Geophysics, 81(6): R417-R428. DOI:10.1190/geo2015-0650.1 |
Alkhalifah T. 2017. Sparse frequencies data inversion and the role of multi-scattered energy.//87th Ann. Internat Mtg., Soc. Expi. Geophys.. Expanded Abstracts.
|
Baeten G, De Maag J W, Plessix R E, et al. 2013. The use of low frequencies in a full-waveform inversion and impedance inversion land seismic case study. Geophysical Prospecting, 61(4): 701-711. DOI:10.1111/1365-2478.12010 |
Bozdağ E, Trampert J, Tromp J. 2011. Misfit functions for full waveform inversion based on instantaneous phase and envelope measurements. Geophysical Journal International, 185(2): 845-870. DOI:10.1111/j.1365-246X.2011.04970.x |
Bunks C, Salek F M, Zaleski S, et al. 1995. Multiscale seismic waveform inversion. Geophysics, 60(5): 1457-1473. DOI:10.1190/1.1443880 |
Chen K, Sacchi M D. 2017. Elastic least-squares reverse time migration via linearized elastic full-waveform inversion with pseudo-Hessian preconditioning. Geophysics, 82(5): S341-S358. DOI:10.1190/geo2016-0613.1 |
Chen S C, Zhou H M. 2016. Re-exploration to migration of seismic data. Chinese Journal of Geophysics (in Chinese), 59(2): 643-654. DOI:10.6038/cjg20160221 |
Chen S C, Chen G X. 2016. Full waveform inversion of the second-order time integral wavefield. Chinese Journal of Geophysics (in Chinese), 59(10): 3765-3776. DOI:10.6038/cjg20161021 |
Chi B X, Dong L G, Liu Y Z. 2014. Full waveform inversion method using envelope objective function without low frequency data. Journal of Applied Geophysics, 109: 36-45. DOI:10.1016/j.jappgeo.2014.07.010 |
Chi B X, Dong L G, Liu Y Z. 2015. Correlation-based reflection full-waveform inversion. Geophysics, 80(4): R189-R202. DOI:10.1190/geo2014-0345.1 |
Dellinger J, Etgen J. 1990. Wave-field separation in two-dimensional anisotropic media. Geophysics, 55(7): 914-919. DOI:10.1190/1.1442906 |
Du Q Z, Zhu Y T, Ba J. 2012. Polarity reversal correction for elastic reverse time migration. Geophysics, 77(2): S31-S41. DOI:10.1190/geo2011-0348.1 |
Du Q Z, Guo C F, Zhao Q, et al. 2017. Vector-based elastic reverse time migration based on scalar imaging condition. Geophysics, 82(2): S111-S127. DOI:10.1190/geo2016-0146.1 |
Duan Y T, Sava P. 2015. Scalar imaging condition for elastic reverse time migration. Geophysics, 80(4): S127-S136. DOI:10.1190/geo2014-0453.1 |
Feng Z C, Schuster G T. 2017. Elastic least-squares reverse time migration. Geophysics, 82(2): S143-S157. DOI:10.1190/geo2016-0254.1 |
Hu W W. 2014. FWI without low frequency data-beat tone inversion.//84th Ann. Internat Mtg., Soc. Expi. Geophys.. Expanded Abstracts.
|
Hu Y, Han L G, Xu Z, et al. 2017. Adaptive multi-step full waveform inversion based on waveform mode decomposition. Journal of Applied Geophysics, 139: 195-210. DOI:10.1016/j.jappgeo.2017.02.017 |
Jin S, Madariaga R, Virieux J, et al. 1992. Two-dimensional asymptotic iterative elastic inversion. Geophysical Journal International, 108(2): 575-588. DOI:10.1111/j.1365-246X.1992.tb04637.x |
Köhn D. 2011. Time domain 2D elastic full waveform tomography[Ph. D. thesis]. Kiel: Christian-Albrechts-Universität zu Kiel.
|
Li Y E, Demanet L. 2016. Full waveform inversion with extrapolated low frequency data. Geophysics, 81(6): R339-R348. DOI:10.1190/geo2016-0038.1 |
Li Z, Zhang H, Liu Q M, et al. 2007. Numeric simulation of elastic wavefield separation by staggering grid high-order finite-difference algorithm. Oil Geophysical Prospecting (in Chinese), 42(5): 510-515. |
Luo Y, Ma Y, Wu Y, et al. 2016. Full-traveltime inversion. Geophysics, 81(5): R261-R274. DOI:10.1190/geo2015-0353.1 |
Ma D T, Zhu G M. 2003. Numerical modeling of P-wave and S-wave separation in elastic wavefield. Oil Geophysical Prospecting (in Chinese), 38(5): 482-486. |
Ma Y, Hale D. 2013. Wave-equation reflection traveltime inversion with dynamic warping and full-waveform inversion. Geophysics, 78(6): R223-R233. DOI:10.1190/geo2013-0004.1 |
Mora P. 1987. Nonlinear two-dimensional elastic inversion of multioffset seismic data. Geophysics, 52(9): 1211-1228. DOI:10.1190/1.1442384 |
Oh J W, Kalita M, Alkhalifah T. 2017. 3D elastic full-waveform inversion for OBC data using the P-wave excitation amplitude.//87th Ann. Internat Mtg., Soc. Expi. Geophys.. Expanded Abstracts.
|
Plessix R E. 2006. A review of the adjoint-state method for computing the gradient of a functional with geophysical applications. Geophysical Journal International, 167(2): 495-503. DOI:10.1111/j.1365-246X.2006.02978.x |
Pratt R G. 1999. Seismic waveform inversion in the frequency domain, Part 1:Theory and verification in a physical scale model. Geophysics, 64(3): 888-901. DOI:10.1190/1.1444597 |
Shin C, Min D J. 2006. Waveform inversion using a logarithmic wavefield. Geophysics, 71(3): R31-R42. DOI:10.1190/1.2194523 |
Shin C, Cha Y H. 2008. Waveform inversion in the Laplace domain. Geophysical Journal International, 173(3): 922-931. DOI:10.1111/j.1365-246X.2008.03768.x |
Shin C, Cha Y H. 2009. Waveform inversion in the Laplace-Fourier domain. Geophysical Journal International, 177(3): 1067-1079. DOI:10.1111/j.1365-246X.2009.04102.x |
Symes W W, Kern M. 1994. Inversion of reflection seismograms by differential semblance analysis:Algorithm structure and synthetic examples. Geophysical Prospecting, 42(6): 565-614. DOI:10.1111/j.1365-2478.1994.tb00231.x |
Tarantola A. 1984. Inversion of seismic reflection data in the acoustic approximation. Geophysics, 49(8): 1259-1266. DOI:10.1190/1.1441754 |
Tarantola A. 1986. A strategy for onolinear elastic inversion of seismic reflection data. Geophysics, 51(10): 1893-1903. DOI:10.1190/1.1442046 |
Virieux J, Operto S. 2009. An overview of full-waveform inversion in exploration geophysics. Geophysics, 74(6): WCC1-WCC26. DOI:10.1190/1.3238367 |
Wang F, Donno D, Chauris H, et al. 2016. Waveform inversion based on wavefield decomposition. Geophysics, 81(6): R457-R470. DOI:10.1190/geo2015-0340.1 |
Wang G C, Wang S X, Du Q Z, et al. 2017a. Traveltime-based reflection full-waveform inversion for elastic medium. Journal of Applied Geophysics, 141: 68-76. DOI:10.1016/j.jappgeo.2017.04.009 |
Wang G C, Yuan S Y, Wei W W, et al. 2017b. Building good initial model for fullwaveform inversion using frequency shift filter.//87th Ann. Internat Mtg., Soc. Expi. Geophys.. Expanded Abstracts.
|
Wang J, Zhou H, Tian Y K, et al. 2012. A new scheme for elastic full waveform inversion based on velocity-stress wave equations in time domain.//82nd Ann. Internat Mtg., Soc. Expi. Geophys.. Expanded Abstracts.
|
Wang T F, Cheng J B. 2017. Elastic full waveform inversion based on mode decomposition:the approach and mechanism. Geophysical Journal International, 209(2): 606-622. DOI:10.1093/gji/ggx038 |
Woodward M J. 1992. Wave-equation tomography. Geophysics, 57(1): 15-26. DOI:10.1190/1.1443179 |
Wu R S, Luo J R, Wu B Y. 2014. Seismic envelope inversion and modulation signal model. Geophysics, 79(3): WA13-WA24. DOI:10.1190/geo2013-0294.1 |
Xu S, Wang D, Chen F, Lambaré G, et al. 2012a. Inversion on reflected seismic wave.//82nd Ann. Internat Mtg., Soc. Expi. Geophys.. Expanded Abstracts.
|
Xu S, Wang D, Chen Y, et al. 2012b. Full waveform inversion for reflected seismic data.//82nd Ann. Internat Mtg., Soc. Expi. Geophys.. Expanded Abstracts.
|
Zhou W, Brossier R, Operto S, et al. 2015. Full waveform inversion of diving & reflected waves for velocity model building with impedance inversion based on scale separation. Geophysical Journal International, 202(3): 1535-1554. DOI:10.1093/gji/ggv228 |
陈生昌, 周华敏. 2016. 再论地震数据偏移成像. 地球物理学报, 59(2): 643-654. DOI:10.6038/cjg20160221 |
陈生昌, 陈国新. 2016. 时间二阶积分波场的全波形反演. 地球物理学报, 59(10): 3765-3776. DOI:10.6038/cjg20161021 |
李振春, 张华, 刘庆敏, 等. 2007. 弹性波交错网格高阶有限差分法波场分离数值模拟. 石油地球物理勘探, 42(5): 510-515. DOI:10.3321/j.issn:1000-7210.2007.05.006 |
马德堂, 朱光明. 2003. 弹性波波场P波和S波分解的数值模拟. 石油地球物理勘探, 38(5): 482-486. DOI:10.3321/j.issn:1000-7210.2003.05.005 |
2019, Vol. 62

