矿物颗粒边界连通的碳薄膜是提升岩石电导率大小的重要机制之一(Duba and Shankland, 1982; Duba et al., 1988; Frost et al., 1989; Mareschal et al., 1992; Glover and Vine, 1992, 1994, 1995; Mathez et al., 1995; Haak et al., 1997; Roberts and Tyburczy, 1999).Duba等(1982)首次从理论上分析了石墨作为上地幔高导相介质的可能性,并认为极少量(< 100 ppm)碳的存在便可以使岩石电导率提升至0.1 S·m-1.Frost等(1989)与Mareschal等(1992)分别指出~1000 Å和30~300 Å厚的碳膜便能够导致下地壳的高导现象(≥0.01 S·m-1).此外,部分实验和野外调查结果也证实碳是提高断层带电导率的重要因素(Haak et al., 1997; Roberts and Tyburczy, 1999; Mathez et al., 2008; 陈进宇等, 2017).
前人研究显示碳在自然断层带中普遍存在,例如龙门山断裂带(Togo et al., 2011; Li et al., 2013; Wang et al., 2014; Duan et al., 2016; Chen et al., 2016; 陈进宇等, 2017)、德国Bohemian脆性剪切带(Zulauf et al., 1990, 1999; Zulauf, 1992; Bigalke et al., 2003)、日本Atotsugawa断裂带(Oohashi et al., 2011)、瑞士Err拆离系(Manatschal, 1999)、新西兰Hyde-Macraes剪切带(Craw, 2002)等.剪切带中的碳主要以无定型碳为主,但也有石墨存在(Zulauf et al., 1990, 1999; Manatschal, 1999; Bigalke et al., 2003; Crespo et al., 2005; Togo et al., 2011; Oohashi et al., 2012; Kuo et al., 2014; 陈进宇等, 2017).对于碳质富集的一些断层带,前人的定量分析揭示断层带内的含碳量大致在6 wt%以内(Manatschal, 1999; Bigalke et al., 2003; Oohashi et al., 2011; 陈进宇等, 2017),明显高于围岩的(Manatschal, 1999; Zulauf et al., 1999; Togo et al., 2011; Li et al., 2013; 陈进宇等, 2017).前人研究表明,地震断层摩擦滑动驱使的碳物质石墨化(Togo et al., 2011; Oohashi et al., 2011; Kuo et al., 2014)或含碳流体相的热液沉淀(Frost et al., 1989; Roberts and Tyburczy, 1999; Zulauf et al., 1999; Craw, 2002; Mathez et al., 2008)、含碳岩层或煤层的变质演化(Crespo et al., 2005; Jödicke et al., 2004, 2007; Nover et al., 2005)、含石墨断层岩的压溶和机械搬运(Crespo et al., 2005; Oohashi et al., 2012)、还原环境下方解石参与的化学反应(Galvez et al., 2013; Oohashi et al., 2014)等是断层带中碳质富集的几种主要机制.
摩擦实验是研究浅部断层滑动性质的一种重要手段(Scholz, 2002).近20年来,该项研究的一个重要突破是发展了模拟断层同震滑动的高速摩擦实验技术(Shimamoto and Tsutsumi, 1994; Tsutsumi and Shimamoto, 1997; Mizoguchi et al., 2007; Di Toro et al., 2011).对断层泥开展的低速(准静态μm·s-1量级)至高速(m·s-1量级)摩擦实验揭示,干燥条件下绝大多数样品在中-低速域具有较高的摩擦强度,在滑动速率接近m·s-1量级时呈现显著的滑动弱化(Mizoguchi et al., 2007; Di Toro et al., 2011; Oohashi et al., 2011; Yao et al., 2013a, 2013b; Oohashi et al., 2013, 2014).对不同矿物成分的人工和天然样品开展的大量实验研究均揭示,高速滑动下的显著弱化几乎不依赖于矿物组成(Di Toro et al., 2011; Yao et al., 2013a).然而,当断层泥中含有石墨时,断层的特征弱化速率可能会出现大幅降低(Oohashi et al., 2013).Oohashi等(2013)对石墨-石英二相混合物模拟的断层泥开展了低速-高速摩擦实验,结果显示纯石墨具有与滑动速率无关的低摩擦特性(摩擦系数约为0.1);混合样品的摩擦滑动性状与石墨含量密切相关:在给定剪应变的情况下,样品在低速至高速滑动下的摩擦强度与石墨含量能够用反S型曲线拟合;石墨含量为10~30 vol%的情况下,混合样品呈现出的滑动弱化与应变局部化和滑动面上石墨的富集有关.近年来的部分研究将断层摩擦实验与电导率测量相结合,在认识滑动带物质演化和断层力学性质方面取得了重要结果.如Yamashita等(2014)在辉长岩的摩擦实验中通过实时监测断层带的电导率变化,成功捕捉到了低滑动速率下(5.3×10-3 m·s-1)粗糙辉长岩颗粒的迅速破裂阶段和随后的细粒化发育过程,以及高滑动速率下(1.3 m·s-1)熔融斑块的形成、逐渐连接和最终发展成熔体层的演化过程.
为了研究断层带中碳质组分随剪切变形的分布特征及其演化过程,本文将以石英-石墨粉末二相混合物为对象,开展摩擦滑动条件下的电导率测量,研究断层摩擦滑动过程对碳质分布结构的影响.研究结果有助于深化对地震断裂带电性特征的认识,也可以为野外断层带大地电磁测深资料的解释提供约束;另外,实验结果对评估含碳断层的摩擦滑动性质也具有重要意义.
1 实验样品与实验方法 1.1 实验样品实验样品选用人工模拟断层泥样品(下文简称样品).样品由不同比例(3、5、6和7 wt%,即3.5、5.8、7.3和8.1 vol%)的分析纯石墨粉末(编号CAS[7782-42-5],含碳量≥98.5%)与天然石英粉末均匀混合而成.利用Microtrac S3500激光粒度分析仪(测量范围0.01~2800 μm,误差≤0.6%)分析显示石英粒径分布范围与天然断层泥相近(~600目),粒度中值为9.99 μm(图 1).配制样品时石墨粒度控制在 < 35 μm,显微镜下粗略估计其粒度范围为10~30 μm,以23 μm左右最为常见.
|
图 1 样品中石英粉末的粒度分布(实线).几种典型的龙门山断裂带断层泥样品的粒度分布结果绘在图中用作对比(虚线;陈进宇等,2017) Fig. 1 Particle size distribution (PSD) of the quartz powder used in this study (solid line), as compared to PSD of representative natural gouge samples from the Longmenshan fault zone (dashed lines; Compiled after Chen et al., 2017) |
摩擦实验在地震动力学国家重点实验室Shimamoto第三代旋转剪切低速-高速摩擦实验系统上开展,该系统可提供的最大轴向压力为100 kN,通过伺服马达和皮带齿轮变速箱,实验系统可对实心或空心圆柱样品施加0.5转/年至25转/秒的旋转剪切变形(姚路, 2013; Ma et al., 2014; 见图 2a-2b).考虑到圆柱形样品的线速度沿径向存在梯度,通常根据整个滑动面上做功等效的原则定义等效滑动速率(Shimamoto and Tsutsumi, 1994; Hirose and Shimamoto, 2005),下文提及的速率(V)和位移(D)均是基于这种等效假设.为了在摩擦实验中同时实现电导率的原位测量,本研究为该实验系统设计了专门的断层泥装样结构,这是本研究中的技术创新点之一.
|
图 2 (a) 中国地震局地质研究所Shimamoto第三代旋转剪切低速-高速摩擦实验机(LHVR-Beijing; Ma et al., 2014);(b)实验系统主要部件的示意图,1 伺服马达,2 齿轮/皮带变速系统,3 主加载框架,4 旋转记录器,5 样品,6 围岩锁固装置,7 轴压杆稳固平台,8 轴压杆,9 扭矩计,10 轴向位移计,11 推力轴承,12 轴向载荷计,13 轴压气缸;(c)装样结构实物图;(d)和(e)分别为径向和轴向方向的电极装配图 Fig. 2 (a) A photograph of the rotary-shear low to high velocity frictional testing machine (LHVR-Beijing; 3rd generation machine designed by Prof. Shimamoto) at Institute of Geology, China Earthquake Administration. (b) A schematic diagram of the main units of the LHVR-Beijing. 1 servo-motor, 2 gear/belt system for speed change, 3 loading frame, 4 rotary encoder, 5 specimen assembly, 6 locking devices of specimens, 7 frame for holding the lower loading column, 8 axial loading column, 9 torque gauge, 10 axial displacement transducer, 11 thrust bearing, 12 axial force gauge, 13 air actuator. (c) A photograph of the sample assembly. (d) and (e) Schematic diagrams showing the electrode assemblies for electrical conductivity measurement along directions parallel and perpendicular to slip surface, respectively |
实验装样结构如图 2c-2e所示,所用的围岩样品为空心圆柱状刚玉环(简称刚玉环),内径28.0 mm,外径40.0 mm,长40.0 mm;刚玉环的两个端面利用平面磨床进行了精细打磨以确保具有较高的平行度和光洁度.实验前将断层泥样品以及组装好的配件(Teflon柱、Teflon环、电极)放置于60℃的烘箱中48 h以上,以除去样品和配件中的吸附水.将2.00 g(厚度约2.2 mm)样品放置于两个刚玉环之间,为安置电导率测量电极和避免断层泥被轻易挤出,在刚玉环内嵌入一个直径为28.0 mm的Teflon柱;在刚玉环外侧滑动面处套有内、外直径分别为40.0和58.0 mm的Teflon环.电导率测量使用了两对钛合金弧形电极:一对电极分别镶嵌于Teflon柱(π/3弧度)和Teflon环上预制的豁口内(2π/3弧度),用于测量样品的径向(即平行滑动面方向)电导率;另一对电极分别置于上(π/3弧度)、下(2π/3弧度)刚玉滑动面上预制的凹槽内,用于测量样品的轴向(即垂直滑动面方向)电导率.装样时,保证两对测量电极分别置于样品滑动面的对侧,以确保在实验中能够测量得到圆弧形样品π/3弧度的电阻值大小,同时其中一对电路不会受到另一对电极的干扰.实验中Teflon柱和Teflon环的存在会产生额外摩擦力,实验后也对其进行校正(Mizoguchi et al., 2007).
所有实验均在室温、室内湿度下开展.实验选用的正应力为2 MPa,等效滑动速率为500 μm·s-1~1 m·s-1.由于初始样品中含有一定量的孔隙,严格意义上来说,样品是包含了石英粉末、石墨粉末和孔隙气体的三相体.为减少孔隙,实验初始阶段将实验样品在4 MPa的正应力下预压1 h.预压结束后将正应力恒定在2 MPa,分别测量样品在轴向和径向两个方向的电导率并作为初始样品的电导率值.此后,按设定的滑动速率进行旋转剪切摩擦实验,当位移达到计划测量点时,停止旋转剪切并保持正应力进行两个方向的电导率测量,测量完毕后重新恢复摩擦实验.每组实验均多次重复上述步骤,直至实验结束.
1.3 电导率测量方法与数据处理本文研究中电导率实验测量选用交流阻抗谱法,采用将Solartron 1260阻抗/增益相位分析仪(测量精度0.1°相位角)和Solartron 1296绝缘界面(Dielectric Interface)串联的方式,并利用SMaRT程序在0.1~107 Hz频率范围内扫频,每个数量级按对数取10个点测量得到样品复阻抗的实部Z′、虚部Z″、模值|Z|和相角θ.通过运行ZView程序,对阻抗谱进行复数非线性最小二乘拟合(CNLS),从而获得待测样品的径向和轴向电阻值.为了避免交流电频率(50 Hz)对电导率测量结果的影响,在实际测量中我们剔除了50.12 Hz和100 Hz频率的阻抗谱值.
对于成分均匀的规则柱状介质,其电导率可以表示为
|
(1) |
式中σ表示样品电导率(S·m-1),L表示样品长度(m),S表示电极的横截面积(m2),R表示样品电阻(Ω).依据本实验中具体的装样结构和测量方式,推导得到样品径向和轴向电导率的计算公式依次如下:
|
(2) |
式中σr和σa分别表示径向和轴向方向的电导率(S·m-1),h表示样品沿轴向方向的厚度(m),dint和dext分别表示弧形电极的内、外直径(m),Rr和Ra分别表示样品径向和轴向的电阻值(Ω).
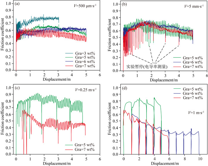
2 实验结果 2.1 样品的摩擦滑动力学性状不同石墨含量的样品在中速-高速条件下的摩擦强度-位移实验结果如图 3所示.由图中可以看出,在所有滑动速率下,样品的稳态摩擦系数(μss)与石墨含量呈现较好的负相关关系(5 mm·s-1速率下的样品趋势不太明显),稳态摩擦系数通过对趋于平稳阶段的摩擦系数求平均得到.在500 μm·s-1的低滑动速率下,石墨含量为3、5、6、7 wt%的样品其μss依次为0.78、0.58、0.62、0.49(图 3a).在5 mm·s-1的中等滑动速率下,石墨含量为6和7 wt%样品的μss分别为0.62和0.60(图 3b).在0.25 m·s-1和1 m·s-1的高滑动速率下,石墨含量为5 wt%的样品摩擦系数较高(μss=0.72~0.75),没有显示出滑动弱化特征;但当石墨含量增加至7 wt%时,样品的力学数据则表现出显著的滑动弱化特征,μss依次为0.45(0.25 m·s-1)和0.27(1 m·s-1)(图 3c-3d).
|
图 3 不同石墨含量样品在不同滑动速率(V)下的摩擦-位移曲线 (a) V=500 μm·s-1; (b) V=5 mm·s-1; (c) V=0.25 m·s-1; (d) V=1 m·s-1.曲线中摩擦系数的大幅瞬时降低(竖垂线“|”)是由于摩擦实验突然暂停(开展电导率测量)造成的. Fig. 3 Friction coefficient versus displacement curves for samples with different graphite contents in friction experiments at various slip rates Each large drop in frictional coefficient in the curves (vertical lines in each curve) is caused by a pause in the experiment, during which electrical conductivity measurement was performed. |
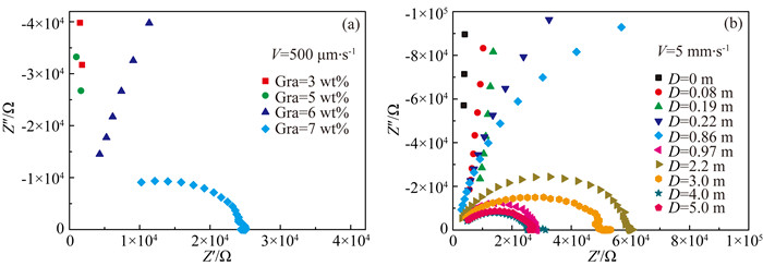
在500 μm·s-1~1 m·s-1速率下,含碳量为3,5,6,7 wt%的样品其径向阻抗谱图均只出现一个阻抗弧(图 4).在相同的剪切速率和滑动距离条件下,样品径向阻抗谱圆弧的直径随石墨含量的增加而逐渐变小,表明其电阻值也相应地降低(图 4a).例如,在相同的实验条件下,相比于石墨含量为3 wt%的样品,石墨含量为7 wt%样品的电阻值有约4个数量级的降低.对于石墨含量为7 wt%的样品,在相同的剪切速率下,其径向阻抗谱弧半径与相应的电阻值随着滑动距离的增加也不断地减小(图 4b).值得说明的是,在滑动距离由0.19 m增加至0.22 m的过程中,样品的电阻值下降了约3个数量级,显示较短距离(D < 0.22 m)的剪切滑动便可以显著地提升样品沿滑动方向的导电性能.与之相反的是,在500 μm·s-1~1 m·s-1速率下,含碳量为3,5,6,7 wt%的样品其轴向阻抗谱图表现出与石墨含量、滑动速率和滑动位移无明显相关的特点.
|
图 4 (a) 500 μm·s-1滑动速率下四种不同石墨含量样品(3、5、6、7 wt%)在滑动1 m位移时的径向阻抗谱图;(b) 5 mm·s-1滑动速率下,7 wt%石墨含量样品在不同滑动位移下的径向阻抗谱图.Z′、Z″分别为复阻抗的实部与虚部,Gra为石墨,D为滑动距离 Fig. 4 (a) The radial impedance spectroscopy of samples sheared at a slip rate of 500 μm·s-1 with different contents of graphite (3, 5, 6 and 7 wt%) at a shear displacement of 1 meter. (b) The radial impedance spectroscopy of sample sheared at a slip rate of 5 mm·s-1 with a graphite content of 7 wt% at different displacements. Z′ and Z″: Real and Imaginary part of the complex impedance, Gra: graphite, D: Slip distance |
样品径向电导率随着摩擦滑动总体呈现出明显的变化(图 5).在500 μm·s-1,5 mm·s-1和0.25 m·s-1的滑动速率下(图 5a-5c),石墨含量为6和7 wt%样品的径向电导率在很短的滑动距离内(多在数十厘米范围)迅速升高,之后维持在稳定的数值(如石墨含量为7 wt%样品的电导率由初始的10-8~10-7 S·m-1迅速增加至0.01~0.1 S·m-1);石墨含量为5 wt%样品的径向电导率随着摩擦滑动仅呈现出缓慢的增加,且不同速率下增加的幅度存在差异;对于石墨含量为3 wt%的样品,尽管数据有限,但依然可见摩擦滑动对样品径向电导率几乎无明显的提升(图 5a).总体而言,500 μm·s-1~0.25 m·s-1滑动速率下,摩擦滑动对样品电导率的提升效应随着石墨含量的增加而显著增强.不过,在1 m·s-1的高速小位移滑动过程中,石墨含量为5 wt%,6 wt%和7 wt%的样品的电导率增加幅度相当,而3 wt%石墨含量的样品的电导率呈现缓慢的小幅度下降(图 5d).在1 m·s-1的高速大位移滑动过程中,石墨含量为7 wt%的样品的电导率出现约两个数量级的降低(图 6).
|
图 5 不同石墨含量样品(3~7 wt%)在不同滑动速率下的径向电导率-位移曲线 (a) V=500 μm·s-1; (b) V=5 mm·s-1; (c) V=0.25 m·s-1; (d) V=1 m·s-1. Fig. 5 Radial electrical conductivity versus displacement curves for samples with different graphite contents (3~7 wt%) in the friction experiments under various slip rates |
|
图 6 7wt%石墨含量的样品在1 m·s-1滑动速率下经历0.1~24.3 m滑动位移后的径向电导率-位移曲线 Fig. 6 Radial electrical conductivity versus displacement (0.1~24.3 meter) curve for the sample with 7 wt% graphite content in the friction experiment under a slip rate of 1 m·s-1 |
样品轴向电导率受摩擦滑动的影响较小.随着滑动距离的增加,样品轴向电导率的变化始终处于一个数量级的范围之内,并且电导率的变化与样品中的石墨含量和滑动速率没有明显相关关系(图 7).
|
图 7 不同石墨含量样品在不同滑动速率下的轴向电导率-位移曲线 (a) V=500 μm·s-1; (b) V=5 mm·s-1; (c) V=0.25 m·s-1. Fig. 7 Axial electrical conductivity versus displacement curves for samples with different graphite contents in the friction experiments under various slip rates |
图 8中的结果清晰展示了电导率在摩擦实验中可能的演化过程:(1)滑动开始之后快速增加(阶段1);(2)达到稳态(阶段2);(3)经历大位移高速滑动后明显降低(阶段3),之后达到稳态(阶段4).为了认识石墨在摩擦滑动中分布结构的变化及其对样品导电特性和力学行为的影响,我们使用扫描电镜(SEM)对实验前后的样品开展了显微结构观测(薄片切片位置见图 2c),SEM观测在地震动力学国家重点实验室完成.由上文中的电导率-位移曲线结果(图 5a-5c)可知,使样品电导率达到稳定状态所需要的滑动距离较小.因此,为了更好地捕捉到电导率变化对应的结构特征,选择较低剪切速率(V=500 μm·s-1)下的实验样品开展微观结构观测.同时,为了了解石墨在摩擦滑动过程中物相的稳定性,对中等速率(V=5 mm·s-1)下达到电导率稳定状态后的样品继续开展了高速(V=1 m·s-1)条件下的长距离滑动实验.作为例子,下文详细描述石墨含量为7 wt%的样品在静态预压(阶段0)、摩擦滑动早期(阶段1)、电导率随位移的演化达到稳态(阶段2)、经历长距离的高速滑动(阶段4)四个代表性状态下的微观结构特征.
|
图 8 摩擦实验中石英-石墨样品电导率的代表性演化阶段 Fig. 8 The representative evolution stages of electrical conductivity of the quartz-graphite samples in the friction experiments |
图 9为初始实验样品(4 MPa正应力下预压1 h)的背散射电子图像,其中亮灰色颗粒为石英,灰黑色区域主要是环氧树脂及少量石墨(二者因石墨的片状结构很容易区分).由图可见,石英颗粒呈现均匀无序分布,颗粒棱角分明,粒径从数微米到数十微米不等,多数颗粒彼此间相互接触,构成“骨架”.石墨颗粒边界平直,呈片状分散在石英颗粒间的孔隙中,彼此孤立.受4 MPa正应力的预压,样品中片状的石墨颗粒呈现出微弱的定向(图 9b).
|
图 9 石墨含量为7 wt%的石英-石墨断层泥初始样品在4 MPa正应力下预压1h后的显微结构 (a)模拟样品的整体图像;(b)-(c)局部放大图像;(d)-(f) X射线能谱(EDS)分析结果(点位如图b所示).图中矿物缩写分别为:Gra:石墨;Qtz:石英;Resin:环氧树脂. Fig. 9 The microstructures of original quartz-graphite gouge (7 wt% graphite) statically compacted at a normal stress of 4 MPa for one hour (a) Microstructures of the entire gouge layer; (b)-(c) Close-up view of the gouge; (d)-(f) Energy dispersive spectrum (EDS) analyses of the sample (the analyzed areas are indicated by small filled rectangles in (b)). Abbreviation of minerals: Gra: graphite, Qtz: quartz, Resin: epoxy resin. |
在剪切摩擦滑动的早期阶段(V=500 μm·s-1,D=0.19 m),样品在靠近旋转端围岩一侧出现矿物颗粒细化的薄层,层厚约55~60 μm(图 10a).该薄层中,石英颗粒破裂和磨碎现象明显,粒径减小且磨圆度较好;片状的石墨大颗粒被剥落成细小的石墨薄片,分散在石英颗粒边缘(图 10b-10e).远离旋转端围岩,样品基本保持着初始样品中的结构(总体上约有90%的样品未发生明显的剪切变形),包括矿物的粒度、矿物形态和矿物分布等(图 10f-10g).
|
图 10 石墨含量为7 wt%的石英-石墨混合断层泥样品在2 MPa正应力、500 μm·s-1滑动速率、0.19 m滑动距离条件下的变形显微结构 (a)变形模拟样品的整体图像;(b)-(g)局部放大图像.图中矿物缩写为Gra:石墨. Fig. 10 The microstructures of the quartz-graphite gouge (7 wt% graphite) deformed at a normal stress of 2 MPa, a slip rate of 500 μm·s-1 and a displacement of 0.19 meter (a) Microstructures of the entire gouge layer; (b)-(g) Close-up view of the gouge. Abbreviation of minerals: Gra: graphite. |
在电导率随着摩擦滑动达到稳态之后(V=500 μm·s-1,D=1.5 m),滑动带内作为支撑骨架的石英颗粒进一步被磨细,出现一个超细粒径的致密滑动带(图 11a-11b),石英粒径由未变形的几至几十微米减小到数百纳米至几微米的量级(图 11b-11c).此阶段,SEM下仅能直接观察到少量石墨细颗粒的存在,彼此间呈较好的连通状分布在石英颗粒的边缘(图 11c-11e).与石英相比,石墨因硬度小而被磨得更细.此时,SEM的分辨率已不足以解析单个细小的石墨颗粒,以至于在SEM下石墨颗粒难以被大量观测到(仅能观测到少量的稍大颗粒).滑动带以外的区域,样品依然近乎保持其初始的未变形结构特征(图 11f-11g).
|
图 11 7wt%石墨含量的石英-石墨混合断层泥样品在500 μm·s-1滑动速率下滑动1.5 m距离条件下的变形显微结构 (a)变形模拟样品的整体图像;(b)-(g)局部放大图像.图中矿物缩写为Gra:石墨. Fig. 11 The microstructures of the quartz-graphite gouge (7 wt% graphite) deformed at a slip rate of 500 μm·s-1 and a displacement of 1.51 meter (a) Microstructures of the entire gouge layer; (b)-(g) Close-up view of the gouge. Abbreviation of minerals: Gra: graphite. |
经历长距离的高速滑动后(V=1 m·s-1,D=33 m),滑动带内的石墨含量大幅减少几近消失,仅剩下零星小颗粒(粒径<0.5 μm)(图 12a-12d).远离滑动带样品依然保持与初始样品相似的结构特征(图 12e).
|
图 12 以5 mm·s-1速率滑动3 m后,然后以1 m·s-1速率滑动30 m,电导率出现降低阶段石英-石墨混合样品的显微结构 (a)变形模拟样品的整体图像;(b)-(e)局部放大图像.图中矿物缩写为Gra:石墨. Fig. 12 The microstructures of the quartz-graphite gouge (7 wt% graphite) deformed at a slip rate of 5 mm·s-1 and a displacement of 3 meter, and then a slip rate of 1 m·s-1 and a displacement of 30 meter (a) Microstructures of the entire gouge layer; (b)-(e) Close up photomicrographs of a slip zone close to the rotary wall rock ((b)-(d)), and a weakly-deformed zone in the middle portion (e) of the gouge layer. Abbreviation of minerals: Gra: graphite. |
在实验的初始阶段(未滑动),样品的电导率大都集中在10-8~10-7 S·m-1范围内(图 5-7),接近于石英的电导率,这与微结构观察揭示的片状石墨孤立地分散于石英颗粒间是一致的(图 9).摩擦滑动开始后,滑动带中的石英和石墨颗粒因被压碎和磨蚀而细粒化,石墨在滑动带中的分布逐渐趋于均匀,连通性逐步增强(图 10b-10e).此阶段,样品的径向电导率相对于初始样品升高3~4个数量级(图 5).沿轴向方向,由于样品几乎未发生明显的剪切滑动(图 10a),其导电性状维持在原有水平,样品的电导率变化很小(图 7).由此造成样品的电导率在径向和轴向存在一定差异,即各向异性的初步形成.随着摩擦滑动的继续进行,样品的径向电导率逐渐稳定,比初始样品升高约5~6个量级(图 5a-5c),暗示着高导的石墨在样品中存在较好的连通性.对此阶段样品的微结构观察揭示滑动带内已不存在片状的石墨,石英和石墨颗粒已处于亚微米甚至纳米尺度(图 11b-11e).虽然此时无法利用SEM直接观察和表征纳米尺度石墨颗粒的连通状态,但基于物理常识可知,在滑动带内石墨总量一定的情况下,石墨颗粒的总表面积将随着粒度的急剧减小而显著增大;而且,更小的粒度必将大大减小颗粒之间的孔隙空间.无论是更大的表面积还是更小的孔隙度都将带来更多的颗粒接触几率,形成连通的导电层.
本实验研究还揭示了对于石墨含量为6 wt%和7 wt%的样品,高速滑动(V=1 m·s-1)具有比中至中高速滑动(V≤0.25 m·s-1)更低的电导率提升幅度(对比图 5d与5a-5c),以及经历高速大位移滑动后(V=1 m·s-1)样品的电导率出现降低的现象(图 6).虽然高速大位移条件下,滑动带内的石英和石墨颗粒可能会进一步细粒化,但此时显著摩擦生热效应将会催生相反的物理过程--即石墨的热氧反应(Boylan, 1996; Oohashi et al., 2011).Oohashi等(2011)在对不定型碳开展的高速摩擦实验中(m·s-1量级)发现,碳质组分在含氧的气氛中因摩擦升温会发生快速的氧化反应,释放出二氧化碳.对野外断层带的许多研究也揭示,虽然碳质在浅表断层带总体上存在富集现象,但如果对断层核部碳含量进行精细分析会发现,大地震的主滑动带可能会出现局部的碳质亏损(Ikehara et al., 2007).而且,不仅仅是宏观温度对碳质的赋存具有显著影响,凹凸体尺度的急剧升温(flash heating; e.g. Rice, 2006; Proctor et al., 2014; Yao et al., 2016)也会造成细颗粒的石墨在高速滑动中发生快速的氧化反应.上述原因导致高速滑动后样品的径向电导率升高不如中速实验中的显著(对比图 7d与图 7a-7c),甚至出现降低趋势(图 6以及图 7d中石墨含量为3 wt%的情况).
由于摩擦滑动造成的剪切变形结构具有强烈的方向性,样品的电导率也因此呈现出各向异性.在平行滑动面方向,样品的电导率从初值不断升高并最终达到稳定状态,相对于初始状态最高提升约5~6个数量级(图 5).而垂直滑动面方向样品电导率基本保持在一个常值水平(图 7).本研究中,中-中高速实验中的石墨基本不会发生物相变化(V≤0.25 m·s-1),电导率的各向异性直接反映了石墨分布结构的各向异性.这种各向异性可能形成于如下过程:伴随着剪切滑动的开始,石墨在滑动面中趋于定向或均匀分布(图 11),形成平行于滑动面的石墨富集层,与石英粉末一起构成了相互平行的层状结构.这种分布结构直接决定了样品的电导率特征.在平行滑动面方向,电流分别从石墨富集层和石英层通过,相当于二者构成了并联电路,高导石墨层成为主要的导电通道.因此,样品沿径向方向表现为高导特征;在垂直滑动面方向,电流分别从石墨富集层、石英层穿过,相当于二者构成了串联电路,此时,高电阻层控制着样品在该方向的导电性质,即样品沿轴向表现为高阻特征.石墨在径向方向的连通性增加势必会导致在轴向方向的连通性变差,这也可以解释随滑动位移的增加,轴向方向电导率维持稳定甚至出现略微降低的趋势(图 7).
Mathez等(2008)研究显示,岩石颗粒边界不连通的石墨对于电导率的提升作用有限,而本研究也得到了相似的结果.对于含碳岩石,提高碳在岩石中的分布均匀性或在颗粒边界的连通性将是提升岩石导电能力的关键.前人研究表明,压力的增加能够有效闭合岩石中的裂隙和孔隙,促使碳相互连通,样品导电性显著增强(Glover and Vine, 1992; Shankland et al., 1997; Nover et al., 1998; 陈进宇等, 2017).陈进宇等(2017)在0.1~300 MPa单轴压缩条件下对石英-石墨模拟样品开展的电导率实验显示,压力的升高不仅能够改善样品中石墨的连通性,同时还可以有效的减少样品中的孔隙,从而提升样品中石墨的体积分数.石墨在石英颗粒边界形成连通或部分连通的导电网路所需要的含量≥7 wt%(压力>200 MPa).本实验同样揭示,稳态电导率的数值随样品中石墨含量的增加而增加,如石墨含量为3、5、6和7 wt%的样品经历速率为500 μm·s-1的摩擦滑动后,其稳态电导率数值分别为~10-7、10-6~10-5、10-4~10-3和10-2~10-1 S·m-1(图 5a).不过,尽管本实验中的正应力远低于陈进宇等(2017)中的应力条件,但形成良好石墨连通网路需要的特征石墨含量只有约5 wt%,低于陈进宇等(2017)中给出的7 wt %.我们认为,相对于陈进宇等(2017)实验中主要通过高正应力改变孔隙度增强石墨连通性而言,本实验中改变石墨连通性主要通过:(1)石墨的定向排列;(2)滑动带内石墨颗粒急剧减小.即一方面减小了孔隙度,另一方面造成表面积(接触面积)显著增大,从而使得石墨的连通性显著增强.这暗示着剪切变形对于改变石墨分布、提升断层带导电性是非常高效的.
断层剪切带中含碳量以及含碳结构是用碳解释断层剪切带高导现象的关键因素(陈进宇等, 2017; 陈进宇和杨晓松, 2017).在很多例子中,断层的局部滑动带或者主滑动面上包含5 vol%以上的石墨(Manatschal, 1999; Oohashi et al., 2012; Kuo et al., 2014).考虑到野外成熟断层带上通常会经历较大的剪切变形(Lin et al., 2000; Li et al., 2012),本实验中揭示的石墨伴随剪切变形所形成的分布及其演化特征在自然断层带中也应当存在.此外,考虑到石墨相对于其他造岩矿物属于弱矿物相,本研究中揭示的剪切变形对石墨分布特征及其演化过程的影响对于了解浅部断层带中广泛分布的黏土矿物等弱矿物相在剪切变形过程中的结构演化也具有参考意义.
4 结论通过对中速至高速摩擦实验中所得的电导率数据、力学数据和显微结构进行分析,得到以下几点结论与认识:
(1) 石英-石墨混合样品的导电性主要由石墨的含量和分布结构决定.石墨在矿物颗粒边界的连通性是控制岩石导电能力的关键因素.
(2) 断层活动能够改变石英-石墨混合样品(或野外含碳断层带)中碳质的分布结构,甚至当样品中的石墨含量大于5 wt%且滑动位移量在数十厘米以上时,碳质分布结构的改变可以促使样品表现出显著的电导率各向异性:在平行断层运动的方向上,样品电导率快速增加,之后达到稳定状态;在垂直断层运动的方向上,样品电导率近乎保持在一个常值水平,甚至略有降低.电导率的各向异性直接反映了样品中石墨分布结构的各向异性.
(3) 摩擦滑动通过剪切变形使含石墨样品中的石墨定向排列,更重要的是通过磨碎作用增大石墨颗粒的接触表面积、降低孔隙度,从而造成断层带在更低的特征石墨含量即表现出较好的导电性.考虑到浅部断层带中富含的黏土矿物与石墨同属层状弱矿物相,本文揭示的剪切变形对石墨定向和富集性的影响或许可以外推至以粘土矿物为代表的其他层状弱矿物相.
致谢 感谢姚文明工程师在实验配件加工中给予的帮助;感谢马玺工程师在扫描电镜使用中的支持和指导;感谢审稿人提出的宝贵意见和建议;感谢编辑部的大力支持.
Bigalke J, Junge A, Zulauf G. 2003. Electronically conducting brittle-ductile shear zones in the crystalline basement of Rittsteig (Bohemian Massif, Germany):Evidence from self potential and hole-to-surface electrical measurements. International Journal of Earth Sciences, 93(1): 44-51. |
Boylan J. 1996. Smooth operators:Carbon-graphite materials. Materials World, 4(12): 707-708. |
Chen J Y, Yang X S, Ma S L, et al. 2016. Hydraulic properties of samples retrieved from the Wenchuan earthquake fault scientific drilling project hole-1 (WFSD-1) and the surface rupture zone:Implications for coseismic slip weakening and fault healing. Geochemistry, Geophysics, Geosystems, 17(7): 2717-2744. DOI:10.1002/ggge.v17.7 |
Chen J Y, Yang X S. 2017. Review of experimental studies on electrical conductivity of crustal rocks and minerals. Progress in Geophysics (in Chinese), 32(6): 2281-2294. |
Chen J Y, Yang X S, Chen J Y. 2017. Experimental studies on the relationship between carbonaceous structure and electrical conductivity of the Longmenshan fault zone. Chinese Journal of Geophysics (in Chinese), 60(9): 3475-3492. DOI:10.6038/cjg20170917 |
Craw D. 2002. Geochemistry of late metamorphic hydrothermal alteration and graphitisation of host rock, Macraes gold mine, Otago Schist, New Zealand. Chemical Geology, 191(4): 257-275. DOI:10.1016/S0009-2541(02)00139-0 |
Crespo E, Luque J, Barrenechea J, et al. 2005. Mechanical graphite transport in fault zones and the formation of graphite veins. Mineralogical Magazine, 69(4): 463-470. DOI:10.1180/0026461056940266 |
Di Toro G, Han R, Hirose T, et al. 2011. Fault lubrication during earthquakes. Nature, 471(7339): 494-498. DOI:10.1038/nature09838 |
Duan Q B, Yang X S, Ma S L, et al. 2016. Fluid-rock interactions in seismic faults:Implications from the structures and mineralogical and geochemical compositions of drilling cores from the rupture of the 2008 Wenchuan earthquake, China. Tectonophysics, 666: 260-280. DOI:10.1016/j.tecto.2015.11.008 |
Duba A, Huengest E, Nover G, et al. 1988. Impedance of black shale from Münsterland 1 borehole:An anomalously good conductor?. Geophysical Journal, 94(3): 413-419. DOI:10.1111/j.1365-246X.1988.tb02264.x |
Duba A G, Shankland T J. 1982. Free carbon & electrical conductivity in the Earth's mantle. Geophysical Research Letters, 9(11): 1271-1274. DOI:10.1029/GL009i011p01271 |
Frost B R, Fyfe W S, Tazaki K, et al. 1989. Grain-boundary graphite in rocks and implications for high electrical conductivity in the lower crust. Nature, 340(6229): 134-136. DOI:10.1038/340134a0 |
Galvez M E, Beyssac O, Martinez I, et al. 2013. Graphite formation by carbonate reduction during subduction. Nature Geoscience, 6(6): 473-477. DOI:10.1038/ngeo1827 |
Glover P W J, Vine F J. 1992. Electrical conductivity of carbon bearing granulite at raised temperatures and pressures. Nature, 360(6406): 723-726. DOI:10.1038/360723a0 |
Glover P W J, Vine F J. 1994. Electrical conductivity of the continental crust. Geophysical Research Letters, 21(22): 2357-2360. DOI:10.1029/94GL01015 |
Glover P W J, Vine F J. 1995. Beyond KTB-Electrical conductivity of the deep continental crust. Surveys in Geophysics, 16(1): 5-36. |
Haak V, Simpson F, Bahr K, et al. 1997. KTB and the electrical conductivity of the crust. Journal of Geophysical Research, 102(B8): 18289-18306. DOI:10.1029/96JB03861 |
Hirose T, Shimamoto T. 2005. Growth of molten zone as a mechanism of slip weakening of simulated faults in gabbro during frictional melting. Journal of Geophysical Research: Solid Earth, 110(B5): B05202. DOI:10.1029/2004JB003207 |
Ikehara M, Hirono T, Tadai O, et al. 2007. Low total and inorganic carbon contents within the Taiwan Chelungpu fault system. Geochemical Journal, 41(5): 391-396. DOI:10.2343/geochemj.41.391 |
Jödicke H, Kruhl J, Ballhaus C, et al. 2004. Syngenetic, thin graphite-rich horizons in lower crustal rocks from the Serre San Bruno, Calabria (Italy), and implications for the nature of high-conducting deep crustal layers. Physics of the Earth and Planetary Interiors, 141(1): 37-58. DOI:10.1016/j.pepi.2003.09.013 |
Jödicke H, Nover G, Kruhl J, et al. 2007. Electrical properties of a graphite-rich quartzite from a former lower continental crust exposed in the Serre San Bruno, Calabria (southern Italy). Physics of the Earth and Planetary Interiors, 165(1-2): 56-67. DOI:10.1016/j.pepi.2007.08.001 |
Kuo L W, Li H B, Smith S S AF, et al. 2014. Gouge graphitization and dynamic fault weakening during the 2008 MW7. 9 Wenchuan earthquake. Geology, 42(1): 47-50. |
Li C Y, Pang J Z, Zhang Z Q. 2012. Characteristics, Geometry, and Segmentation of the Surface Rupture Associated with the 14 April 2010 Yushu Earthquake, Eastern Tibet, China. Bulletin of the Seismological Society of America, 102(4): 1618-1638. DOI:10.1785/0120110261 |
Li H B, Wang H, Xu Z Q, et al. 2013. Characteristics of the fault-related rocks, fault zones and the principal slip zone in the Wenchuan Earthquake Fault Scientific Drilling Project Hole-1 (WFSD-1). Tectonophysics, 584: 23-42. DOI:10.1016/j.tecto.2012.08.021 |
Lin A, Ouchi T, Chen A, et al. 2000. Co-seismic displacements, folding and shortening structures along the Chelungpu surface rupture zone occurred during the 1999 Chi-Chi (Taiwan) earthquake. Tectonophysics, 330(3-4): 225-244. |
Ma S L, Shimamoto T, Yao L, et al. 2014. A rotary-shear low to high-velocity friction apparatus in Beijing to study rock friction at plate to seismic slip rates. Earthquake Science, 27(5): 469-497. DOI:10.1007/s11589-014-0097-5 |
Manatschal G. 1999. Fluid-and reaction-assisted low-angle normal faulting:Evidence from rift-related brittle fault rocks in the Alps (Err Nappe, eastern Switzerland). Journal of Structural Geology, 21(7): 777-793. DOI:10.1016/S0191-8141(99)00069-3 |
Mareschal M, Fyfe W S, Percival J, et al. 1992. Grain-boundary graphite in Kapuskasing gneisses and implications for lower-crustal conductivity. Nature, 357(6380): 674-676. DOI:10.1038/357674a0 |
Mathez E A, Duba A G, Peach C L, et al. 1995. Electrical conductivity and carbon in metamorphic rocks of the Yukon-Tanana Terrane, Alaska. Journal of Geophysical Research: Solid Earth, 100(B6): 10187-10196. DOI:10.1029/95JB00615 |
Mathez E A, Roberts J J, Duba A, et al. 2008. Carbon deposition during brittle rock deformation:Changes in electrical properties of fault zones and potential geoelectric phenomena during earthquakes. Journal of Geophysical Research: Solid Earth, 113(B12): B12201. DOI:10.1029/2008JB005798 |
Mizoguchi K, Hirose T, Shimamoto T, et al. 2007. Reconstruction of seismic faulting by high-velocity friction experiments:An example of the 1995 Kobe earthquake. Geophysical Research Letters, 34(1): L01308. DOI:10.1029/2006GL027931 |
Nover G, Heikamp S, Meurer H J, et al. 1998. In-situ electrical conductivity and permeability of mid-crustal rocks from the Ktb drilling:Consequences for high conductive layers in the earth crust. Surveys in Geophysics, 19(1): 73-85. |
Nover G, Stoll J B, Von Der Gönna J. 2005. Promotion of graphite formation by tectonic stress-a laboratory experiment. Geophysical Journal International, 160(3): 1059-1067. DOI:10.1111/gji.2005.160.issue-3 |
Oohashi K, Hirose T, Shimamoto T. 2011. Shear-induced graphitization of carbonaceous materials during seismic fault motion:Experiments and possible implications for fault mechanics. Journal of Structural Geology, 33(6): 1122-1134. DOI:10.1016/j.jsg.2011.01.007 |
Oohashi K, Hirose T, Kobayashi K, et al. 2012. The occurrence of graphite-bearing fault rocks in the Atotsugawa fault system, Japan:Origins and implications for fault creep. Journal of Structural Geology, 38: 39-50. DOI:10.1016/j.jsg.2011.10.011 |
Oohashi K, Hirose T, Shimamoto T. 2013. Graphite as a lubricating agent in fault zones:An insight from low-to high-velocity friction experiments on a mixed graphite-quartz gouge. Journal of Geophysical Research: Solid Earth, 118(5): 2067-2084. DOI:10.1002/jgrb.50175 |
Oohashi K, Han R, Hirose T, et al. 2014. Carbon-forming reactions under a reducing atmosphere during seismic fault slip. Geology, 42(9): 787-790. DOI:10.1130/G35703.1 |
Proctor B P, Mitchell T M, Hirth G, et al. 2014. Dynamic weakening of serpentinite gouges and bare surfaces at seismic slip rates. Journal of Geophysical Research: Solid Earth, 119(11): 8107-8131. DOI:10.1002/2014JB011057 |
Rice J R. 2006. Heating and weakening of faults during earthquake slip. Journal of Geophysical Research: Solid Earth, 111(B5): B05311. DOI:10.1029/2005JB004006 |
Roberts J J, Tyburczy J A. 1999. Partial-melt electrical conductivity:Influence of melt composition. Journal of Geophysical Research: Solid Earth, 104(B4): 7055-7065. DOI:10.1029/1998JB900111 |
Scholz C H. 2002. The Mechanics of Earthquakes and Faulting. 2nd ed. Cambridge: Cambridge University Press.
|
Shankland T J, Duba A G, Mathez E A, et al. 1997. Increase of electrical conductivity with pressure as an indicator of conduction through a solid phase in midcrustal rocks. Journal of Geophysical Research: Solid Earth, 102(B7): 14741-14750. DOI:10.1029/96JB03389 |
Shimamoto T, Tsutsumi A. 1994. A new rotary-shear high-speed frictional testing machine:Its basic design and scope of research. Journal of Tectonic Research Group of Japan, 39: 65-78. |
Togo T, Shimamoto T, Ma S L, et al. 2011. Internal structure of Longmenshan fault zone at Hongkou outcrop, Sichuan, China, that caused the 2008 Wenchuan earthquake. Earthquake Science, 24(3): 249-265. DOI:10.1007/s11589-011-0789-z |
Tsutsumi A, Shimamoto T. 1997. High-velocity frictional properties of gabbro. Geophysical Research Letters, 24(6): 699-702. DOI:10.1029/97GL00503 |
Wang H, Li H B, Si J L, et al. 2014. Internal structure of the Wenchuan earthquake fault zone, revealed by surface outcrop and WFSD-1 drilling core investigation. Tectonophysics, 619-620: 101-114. DOI:10.1016/j.tecto.2013.08.029 |
Yamashita F, Fukuyama E, Mizoguchi K. 2014. Probing the slip-weakening mechanism of earthquakes with electrical conductivity:Rapid transition from asperity contact to gouge comminution. Geophysical Research Letters, 41(2): 341-347. DOI:10.1002/2013GL058671 |
Yao L, Ma S L, Shimamoto T, et al. 2013a. Structures and high-velocity frictional properties of the Pingxi Fault zone in the Longmenshan Fault system, Sichuan, China, activated during the 2008 Wenchuan earthquake. Tectonophysics, 599: 135-156. DOI:10.1016/j.tecto.2013.04.011 |
Yao L, Shimamoto T, Ma S L, et al. 2013b. Rapid postseismic strength recovery of Pingxi fault gouge from the Longmenshan fault system:Experiments and implications for the mechanisms of high-velocity weakening of faults. Journal of Geophysical Research: Solid Earth, 118(8): 4547-4563. DOI:10.1002/jgrb.50308 |
Yao L, Ma S L, Platt J D, et al. 2016. The crucial role of temperature in high-velocity weakening of faults:Experiments on gouge using host blocks with different thermal conductivities. Geology, 44(1): 63-66. DOI:10.1130/G37310.1 |
Yao L. 2013. Experimental studies on intermediate-to high-velocity frictional properties of fault gouges from the Longmenshan fault zone. Beijing: Institute of Geology, China Earthquake Administration.
|
Zulauf G, Kleinschmidt G, Oncken O. 1990. Brittle Deformation and Graphitic Cataclasites in the Pilot Research Well KTB-VB (Oberpfalz, FRG). Geological Society, London, Special Publications, 54(1): 97-103. DOI:10.1144/GSL.SP.1990.054.01.10 |
Zulauf G. 1992. Late to post-Variscan deformation phases and palaeostresses in the KTB pilot research well (Bohemian Massif, Germany). Tectonophysics, 202(1): 1-21. DOI:10.1016/0040-1951(92)90452-C |
Zulauf G, Palm S, Petschick R, et al. 1999. Element mobility and volumetric strain in brittle and brittle-viscous shear zones of the superdeep well KTB (Germany). Chemical Geology, 156(1-4): 135-149. DOI:10.1016/S0009-2541(98)00189-2 |
陈进宇, 杨晓松. 2017. 地壳岩石矿物电导率实验研究进展. 地球物理学进展, 32(6): 2281-2294. |
陈进宇, 杨晓松, 陈建业. 2017. 含碳结构对龙门山断层带电导率影响的实验探索. 地球物理学报, 60(9): 3475-3492. DOI:10.6038/cjg20170917 |
姚路. 2013.龙门山断裂带断层泥中速-高速摩擦性质的实验研究[博士论文].北京: 中国地震局地质研究所.
|
2019, Vol. 62


