2. 兖州煤业股份有限公司济宁三号煤矿, 山东济宁 272000;
3. 兖州煤业鄂尔多斯能化有限公司营盘壕煤矿, 内蒙古鄂尔多斯 017000
2. Jining No.3 Mine, Yanzhou Coal Mining Company Limited, Jining Shandong 272000, China;
3. Yingpanhao Coalmine, Yanzhou Coal Ordos Energy and Chemical Company Limited, Ordos Neimenggu 017000, China
煤层内小型断层、陷落柱等小构造的存在,容易引发安全隐患,如顶板垮落、突水、瓦斯突出等,严重危害煤矿安全开采,由此引发的伤亡事故屡见不鲜.槽波方法(Dresen and Rüter, 1994;刘天放等,1994)在探测构造方面具有很好的效果(王伟等,2012).
早期的槽波研究基于弹性各向同性介质,以简单的二维层状模型为主(Krey et al., 1982),稍复杂的煤层模型无法用理论推导的方式得到槽波波场,一般采用数值模拟方法(Edwards et al., 1985).随着计算机技术的高速发展,槽波三维数值模拟研究越来越多,可以模拟三维复杂地质模型的槽波波场,加深了人们对槽波波场的认识.这些方法以计算速度较快的有限差分法为主(Essen et al., 2007; 杨思通和程久龙, 2012; 何文欣, 2017; Wang et al., 2017; Ji et al., 2018),少部分用有限元法,仍然以弹性各向同性介质为主,少部分涉及黏弹介质(Li et al., 2013).Essen等(2007)模拟了含有断层、煤厚变化情况下Rayleigh槽波的波场特征,指出槽波遇到干扰体产生振幅较小的反射槽波,在煤层分叉处不产生反射槽波.姬广忠等(2012)以交错网格高阶有限差分法为基础,提出了一类结合镜像法处理煤矿巷道特殊空间的算法,能较好地模拟含巷道的煤层模型.Yang等(2016)研究了巷道超前探测的地震波场,认为巷道迎头前方Rayleigh型槽波能量较强,适于超前探测,Love型槽波能量较弱,不利于超前探测.Li等(2015)利用有限差分模拟研究了黏弹介质中的槽波以及起伏巷道中的槽波传播情况.
Buchanan等(1983)从不同方向计算的群速度频散曲线显示煤层速度各向异性高达14%,认为忽略煤层各向异性会在反射异常体位置推断上引起误差.Liu等(1991)开始研究裂隙对Love型槽波传播的影响,计算了二维模型EDA介质中的槽波,结果发现理论合成记录和实际结果在走时、振幅和频散特征等方面吻合较好.目前各向异性煤层中的槽波研究很少,尚无各向异性煤层三维槽波波场及频散曲线的研究.
频散是槽波研究的一个重要方面,现有研究已经得到了弹性各向同性介质、三层水平层状煤层的槽波理论频散公式(Krey, 1963),同时采用理论推导和数值计算相结合,得到了弹性各向同性介质、多层水平层状煤层的槽波频散曲线数值解(Räder et al., 1985),学者们还分析了煤层不同参数对频散的影响.Yang等(2014)研究了多层介质Rayleigh型槽波频散曲线和品质因子特性,指出Rayleigh型槽波品质因子主要受煤层厚度和煤层横波品质因子影响.He等(2017)认为煤层中Rayleigh槽波简正振型始终存在,实际煤层中大多数能接收到基阶和一阶槽波.
煤层层理结构显著,裂隙较为发育,具有明显的各向异性.Yu等(1993)测试了在围压下煤样速度,发现随着围压的增加,P、SH波速度逐渐增大,各向异性减小.董守华(2008)、刘媛媛等(2012)研究了气煤的各向异性参数,发现气煤Thomsen各向异性参数属于弱到中等各向异性,部分气煤样品满足VTI介质假设条件,部分满足HTI介质假设条件,其他样品两种假设情况都不满足.陈同俊(2009)研究了构造煤各向异性参数,指出当构造煤中不含软分层构造煤时满足弱各向异性假设,当含有软分层构造煤时,不再满足弱各向异性假设.Morcote等(2010)对不同压力条件下的四种变质煤样进行超声测量,发现煤样在超过5MPa压力后波速几乎不再变化,其原因是孔隙与裂缝闭合.李东会(2012)测试了山西寺河矿区煤样,计算了Thomsen各向异性系数,发现常温常压下该地区煤属于中等甚至强各向异性介质,但是在高温高压的实际地应力下该地区煤属于弱各向异性介质.王赟等(2012, 2016)对六种不同变质程度煤样在常温常压下进行了超声测量,得出纵波速度各向异性大于横波速度各向异性,纵波平均各向异性可达20%,横波平均可达15%,另外两个方向速度各向异性约10%,不满足弱各向异性介质假设.许小凯等(2014)发现煤岩品质因子间存在明显的各向异性,且强于速度的各向异性.
煤层为沉积岩,具有顺煤层方向层理,此时可看做VTI(Vertical Transverse Isotropy)介质,煤层中常存在近垂直的裂隙(陈同俊等,2010),可用HTI(Horizontal Transverse Isotropy)介质等效,当煤层中既有层理又含裂隙时,可用正交各向异性介质等效.目前常用Thomsen理论(Thomsen,1986)研究介质各向异性,Thomsen理论建立在介质弱各向异性假设基础上.根据上述煤性质研究,不同地区的煤既有弱各向异性,也有中等甚至强各向异性,比较复杂多样.
本文以Thomsen理论为基础,专门研究弱各向异性、含垂直裂隙HTI煤层介质中的槽波性质.采用交错网格高阶有限差分法模拟三维槽波,推导三层水平层状HTI煤层介质的Love型槽波理论频散公式,分析HTI各弹性参数对频散曲线的影响,着重分析HTI介质和各向同性介质槽波的异同,为槽波数据处理提供依据.
1 HTI介质理论横向各向同性介质(TI\|Transversely Isotropy)有轴对称性,具有垂直对称轴称为VTI介质(Vertical Transverse Isotropy) (Thomsen,1986),具有水平对称轴称为HTI(Horizontal Transverse Isotropy)介质(图 1),裂隙近垂直方向发育的煤层属于HTI介质,煤的各向异性大小和方向可反映煤的裂缝密度和方位.
|
图 1 HTI介质模型 Fig. 1 HTI medium model which has horizontal symmetry axis |
HTI介质弹性矩阵有5个独立弹性常数,如下:
|
(1) |
弹性矩阵C确定了应力与应变之间的关系,但它的物理意义很不直观,由此导致波传播的相速度公式的物理意义不明确.为此,Thomsen(1986)提出了一套表征TI介质、弱各向异性介质弹性性质的参数,HTI介质弹性参数与Thomsen参数的关系为(Tsvankin,1997)
|
(2) |
(2) 式中,ρ为介质密度,Vp为qP波垂直方向传播速度,Vs为qSV波和SH波垂直方向传播速度,ε、γ、δ为与介质各向异性有关的Thomsen系数,对于各向同性介质,ε、γ、δ为0.
2 HTI介质三层水平层状煤层Love槽波频散方程实际探测中应用Love槽波较多,我们重点研究HTI介质Love槽波频散方程.在图 1中,HTI介质对称轴的方向设为x轴,垂直方向为z轴,则xoz面体现了HTI介质典型性质,而且此平面内SH波和qP波、qSV波解耦,求解相对容易,其他方向竖直平面这些波耦合在一起,求解比较复杂.本文我们xoz面内的Love槽波频散方程,以常用的三层水平介质为模型.
2.1 Love槽波理论频散方程求解在xoz平面,SH波波动方程为
|
(3) |
方程的平面波通解为:v=v0eβzeiω(t-x/cL).
图 2是三层水平层状HTI介质煤层模型,上下弹性半空间为围岩.上围岩的密度、垂向横波速度、弹性参数分别为ρ1、vs1、C441、C661(C441表示上围岩的C44弹性参数,其他弹性参数表示类似含义),下围岩为ρ3、vs3、C443、C663;中间低速夹层为煤层,其相应参数为ρ2、vs2、C442、C662,煤层厚度为2d.坐标原点位于煤层中心,z轴垂直向下,x轴平行于煤层顶界面.
|
图 2 HTI介质三层非对称水平层状煤层模型 Fig. 2 The asymmetrical three-layer coal seam model of HTI medium |
HTI三层水平介质SH波的位移为
|
(4) |
方程(4)中eiω(t-x/cL)为谐波因子,谐波因子左边部分是位移振幅,a1、a2、a3、a4为振幅系数,β1、β2、β3是振幅随深度指数衰减的系数.代入波动方程(3),可得
|
(5) |
cL为槽波相速度,β为正实数,所以

根据边界条件,位移和应力在界面上连续:
|
(6) |
由广义胡克定律:
|
(7) |
若使方程式中a1、a2、a3、a4不同时为0,则需系数行列式为0:
|
(8) |
得到两个解:
|
(9) |
|
(10) |
若上下围岩相同,三层对称模型Love槽波解为
|
(11) |
|
(12) |
(12) 式可变为
|
(13) |
显然(11)、(13)式取反正切函数后可统一为一个公式:
|
(14) |
当n=0时称为基阶频散曲线,n=1时称为一阶频散曲线,依次类推.
在yoz平面,HTI介质表现为各向同性,所以yoz平面内的Love槽波频散方程与各向同性介质相同,即将频散公式中的C44换成C66.显然介于xoz平面和yoz平面之间其他方向的垂向平面,其频散曲线同样介于两者之间.
更进一步,我们可以求出Love槽波的振幅深度分布,将频散曲线上的点代入方程(7),并令系数a4=1,可求出其他3个系数a1、a2、a3,将系数代入方程(4)即是HTI介质Love槽波的振幅深度分布公式.
2.2 HTI介质Love槽波频散性质分析群速度可由相速度推导出来(Dresen and Rüter, 1994).以表 1中的参数为例,计算HTI介质和各向同性介质的0~2阶理论频散曲线(图 3),煤层为HTI介质,围岩是各向同性介质,这样利于研究煤层各向异性.可看到两者基阶槽波差异较小,阶数越高差异越大,但是各阶的群速度基本接近,两者截止速度和最大速度相同.因为γ < 0,各向同性介质相速度大于HTI介质.从以上可以看出,若研究HTI介质各向异性,应使用高阶模态的频散曲线.
|
|
表 1 三层对称介质参数 Table 1 Medium parameters of the symmetrical three-layer model |
|
图 3 HTI和各向同性介质0~2阶理论频散曲线 (a)群速度频散曲线; (b)相速度频散曲线. Fig. 3 0~2 order theoretical dispersion curves of HTI and isotropic medium (a) Group velocity dispersion curve; (b) Phase velocity dispersion curve. |
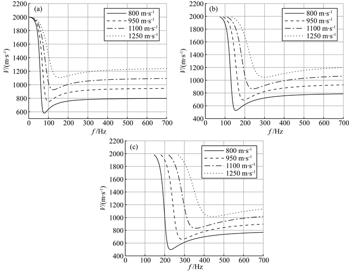
影响HTI介质槽波频散的各向异性参数主要为煤层vs和煤层γ,煤厚对槽波频率影响很大,我们主要分析煤厚、煤层vs、煤层γ对HTI介质槽波频散的影响.以表 2的参数为基础,我们将单一参数变化、其他参数固定来分析频散性质,比如煤厚选择2 m、3 m、5 m和8 m四个值,其他参数选择表 1的数值,计算出四个频散曲线(图 4a).群速度曲线(图 4a)存在极小值点,对应着槽波波列上的一个特殊震相,称为Airy相.因为群速度Airy相对实际探测最为重要,所以我们主要分析群速度频散曲线.
|
|
表 2 HTI介质Love槽波单一参数变化 Table 2 Single parameter change of Love channel wave in HTI medium |
|
图 4 不同煤厚参数各阶群速度频散曲线对比 (a)基阶; (b)一阶; (c)二阶. Fig. 4 Comparison of each order group dispersion curve with different coal thick parameters (a) Fundamental mode; (b) first-order; (c) second-order. |
煤厚参数变化(图 4)主要影响Airy相频率,而Airy相速度不变,煤厚越大Airy相频率越低,煤厚越小Airy相频率越高,对基阶槽波,8 m煤厚Airy相频率约为80 Hz,2 m煤厚Airy相频率约为300 Hz,而且频段较宽,Airy相频率与煤厚成非线性变化.同时阶数越高Airy相频率越高.
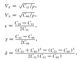
煤层vs参数变化(图 5)对Airy相速度影响很大,基阶槽波Airy相速度从580 m·s-1变到1100 m·s-1,一阶Airy相速度从520 m·s-1变到1050 m·s-1,二阶Airy相速度从500 m·s-1变到1010 m·s-1.煤层vs参数对基阶Airy相频率影响小,对高阶Airy相频率影响较大.
|
图 5 不同煤vs参数各阶群速度频散曲线对比 (a)基阶; (b)一阶; (c)二阶. Fig. 5 Comparison of each order group dispersion curve with different coal vs parameters (a) Fundamental mode; (b) First-order; (c) Second-order. |
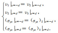
煤层γ参数变化(图 6)对各阶槽波Airy相速度基本没影响,对基阶Airy相频率影响很小,对高阶Airy相频率有一定影响.所以要研究各向异性参数γ和裂隙需要从高阶槽波入手.
|
图 6 不同煤γ参数各阶群速度频散曲线对比 (a)基阶; (b)一阶; (c)二阶. Fig. 6 Comparison of each order group dispersion curve with different coal γ parameters (a) Fundamental mode; (b) First-order; (c) Second-order. |
在yoz平面,HTI介质表现为各向同性,各波偏振特性和各向同性介质相同.在其他平面,P波偏振方向不再与波的传播方向平行而是呈一定夹角,SV波、SH波偏振方向不再与波的传播方向垂直也是呈一定夹角,这个夹角由γ决定,因此HTI介质中的槽波偏振特性与各向同性介质有较大不同.实际中一般接收Love槽波两水平分量,通过分量旋转提取Love槽波,显然HTI介质Love槽波不能再按SH波垂直传播方向来提取,这样会带来误差.
根据2.1节槽波振幅求解方法,以表 1作为介质参数,取相速度点1700 m·s-1,频散曲线上该相速度对应的基阶频率97.84 Hz、一阶频率218.55 Hz、二阶频率339.26 Hz,计算此条件下的槽波振幅深度分布(图 7).
|
图 7 HTI介质Love槽波振幅深度分布 (a)基阶振幅分布; (b)一阶振幅分布; (c)二阶振幅分布. Fig. 7 The depth distribution of the Love channel wave amplitude in HTI medium (a) Amplitude distribution of fundamental mode; (b) Amplitude distribution of first-order; (c) Amplitude distribution of second-order. |
图 7可看到,HTI介质Love槽波具有和各向同性介质相似的振幅分布形状,即基阶槽波振幅在煤层中央位置最大,呈偶对称,而一阶槽波振幅在煤层中央位置最小为0,在距顶底板1/4煤厚位置最大,呈奇对称,二阶槽波振幅在煤层中央位置最大,呈偶对称.
3 三维HTI介质槽波数值模拟 3.1 三维HTI介质一阶速度-应力弹性波方程为了防止对位移计算二阶导数,引进质点振动速度Vx、Vy、Vz变量,即位移的一阶导数,使计算简化.在没有受到外力影响或外力消失之后,可获得一阶速度\|应力弹性波方程:
|
(15) |
应用交错网格高阶有限差分方法,对三维HTI介质一阶速度-应力弹性波方程实现离散化,从而实现波场数值模拟.本文采用交错网格高阶有限差分法来模拟三维煤层槽波,对巷道自由界面采用镜像法处理(姬广忠等,2012;李桂花等,2011),边界吸收采用完全匹配层法.
3.2 数值模拟实例三维模型(图 8)xyz方向的大小为200 m×200 m×25 m,中间为煤层,煤厚5 m,两边是岩性相同的围岩,xyz方向网格大小1 m×1 m×0.25 m,时间采样间隔dt=0.05 ms.取煤层纵波速度1900 m·s-1,横波速度1100 m·s-1,密度1300 kg·m-3,ε、γ、δ分别为-0.1、-0.1、-0.15;顶底板围岩纵波速度3500 m·s-1,横波速度2000 m·s-1,密度2400 kg·m-3,ε、γ、δ都为0,为各向同性介质.巷道有两条,一条在x=11-15 m、y=10-190 m、z=11-14 m处,另一条在x=186-190 m、y=10-190 m、z=11-14 m处,巷道断面4 m×4 m,设为真空.测线1(x= 185 m,z=12.5 m)在右边巷道壁上,测线2(y=100 m,z=12.5 m)过炮点(图 8b中黑线).炮点位置在煤层中央,水平坐标为x=16 m、y=100 m,图 8b中圆圈所示,震源采用主频150 Hz Rick子波,激发纵波.
|
图 8 含巷道煤层工作面模型 (a)三维切片; (b)煤层中央横向切片z=12.5 m. Fig. 8 Working face model of coal seam with roadways (a) 3D model slices; (b) The horizontal slice in the center of coal seam (z=12.5 m). Black circles represent shots and Black line represents survey lines. |
图 9是60 ms时的波场快照,传播在最前面的是折射纵波,后面能量次强的是高阶Rayleigh型槽波,速度最慢、能量最强的是基阶槽波.在巷道壁上产生巷道型槽波,比常规槽波慢.z分量含Rayleigh槽波,x、y分量主要含Love槽波,显然Rayleigh槽波比Love槽波慢.
|
图 9 60 ms波场快照 (a) x分量; (b) y分量; (c) z分量. Fig. 9 Wave field snapshots at 60 ms (a) x-component; (b) y-component; (c) z-component. |
图 10是测线1的槽波记录,接收的穿过工作面的透射波.可以看到基阶槽波能量最强,速度最慢,次强的是高阶Rayleigh槽波,x、y分量基阶槽波速度比z分量快,群速度约920 m·s-1,包含Love槽波和Rayleigh槽波,能量较为集中.z分量基阶槽波能量较为分散,为Rayleigh槽波,不包含Love槽波.xy分量在测线中间部分能量小、两侧大,这是由于震源激发时受到了巷道的影响,影响了各方向的能量分布.
|
图 10 HTI介质测线1槽波记录 (a) x分量; (b) y分量; (c) z分量. Fig. 10 Channel wave records by survey line 1 in HTI medium (a) x-component; (b) y-component; (c) z-component. |
取测线2的分量槽波记录(图 11a),分析频散.由于测线2过震源,测线2的y分量显然只含有Love型槽波,不包含Rayleigh槽波.采用二维傅里叶变换,将槽波转化到V-f域,提取槽波频散图(图 11b).图 11b中主要是基阶Love槽波相速度频散曲线,能量集中在120~250 Hz,速度范围在1100~2000 m·s-1,和各向同性介质相同.因为震源频率主要在基阶Airy相附近,所以高阶槽波能量很弱.
|
图 11 HTI介质测线2 y分量槽波记录及其V-f域功率谱(虚线为理论频散曲线) (a) y分量槽波记录; (b) V-f域功率谱. Fig. 11 y-component channel wave record by survey line 2 in HTI medium and its power spectrum in the V-f domain (a) y-component channel wave record of survey line 2; (b) Power spectrum in the V-f domain. Dotted line is a theoretical dispersion curve. |
将煤层HTI介质换为各向同性介质.各向同性介质测线1的槽波记录(图 12)和HTI介质整体波场相似,速度差异小,x、y分量基阶槽波群速度为950 m·s-1,和HTI介质接近.另外,各向同性介质的高阶Rayleigh槽波能量比HTI介质强.从频散图的能量谱来看(图 13),两种介质的能量相近,各向同性介质能量略高,这说明HTI介质对槽波能量改变较小.
|
图 12 各向同性介质测线1槽波记录 (a) x分量; (b) y分量; (c) z分量. Fig. 12 Channel wave records by survey line 1 in isotropy medium (a) x-omponent; (b) y-component; (c) z-component. |
|
图 13 各向同性介质测线2 y分量槽波记录及其V-f域功率谱(虚线为理论频散曲线) (a) y分量槽波记录; (b) V-f域功率谱. Fig. 13 y-component channel wave record by survey line 2 in isotropy medium and its power spectrum in the V-f domain (a) y-component channel wave record of survey line 2; (b) Power spectrum in the V-f domain. Dotted line is a theoretical dispersion curve. |
图 14、15是HTI介质和各向同性介质测线2的z分量波场记录和频散特征,反映了Rayleigh槽波性质.可以看出两者频散曲线接近,HTI介质相速度比各向同性介质略高,两者波场也较为相似.
|
图 14 HTI介质测线2 z分量槽波记录及其V-f域功率谱 (a) z分量槽波记录; (b) V-f域功率谱. Fig. 14 z-component channel wave record by survey line 2 in HTI medium and its power spectrum in the V-f domain (a) z-component channel wave record of survey line 2; (b) Power spectrum in the V-f domain. |
|
图 15 各向同性介质测线2 z分量槽波记录及其V-f域功率谱 (a) z分量槽波记录; (b) V-f域功率谱. Fig. 15 z-component channel wave record by survey line 2 in isotropy medium and its power spectrum in the V-f domain (a) z-component channel wave record of survey line 2; (b) Power spectrum in the V-f domain. |
煤层各向异性比较复杂,难以用单一的理论模型来概括.目前对各向异性煤层介质中的槽波性质所知甚少,本文从基本的含垂直裂隙HTI介质弱各向异性煤层开始研究,避免模型过度复杂造成分析困难,对各向异性煤层中的槽波形成初步的认识.
本文主要研究了HTI模型对称轴和竖直方向平面内的槽波波场、Love槽波频散曲线和振幅分布.对于其他方向竖直平面的槽波波场与频散,由于qP波、qSV波和SH波耦合在一起,而不像在各向同性介质中解耦,其理论频散曲线求解比较复杂.槽波偏振方向公式需要重新计算,根据偏振方向才能将三维模拟中不同测线的Rayleigh和Love槽波分离出来,这些都需要进一步深入研究.另外本文研究煤层类型只具有一定的代表性,实际煤层大多为正交各向异性,需要继续研究正交各向异性煤层中的槽波.本文只是从理论上研究了HTI介质槽波性质,以后还需和实际数据相对比.
5 结论本文首次模拟了三维HTI介质中的槽波波场,推导了HTI介质三层水平层状模型的Love型槽波频散方程,分析了其频散性质和振幅分布,得出以下结论:
(1) HTI介质在yoz平面表现为各向同性,频散方程和各向同性相同,在xoz平面各向异性最为显著.
(2) 在xoz平面,基阶Love槽波频散曲线和各向同性介质差异较小,高阶较大.煤厚主要影响Airy相频率,而Airy相速度不变;煤层vs对Airy相速度影响很大;煤层γ对基阶槽波影响很小,高阶稍大.在振幅深度分布上,HTI介质Love槽波具有和各向同性介质相似的振幅分布形状.
(3) 各波偏振方向不再与波的传播方向平行或垂直,而是呈一定夹角,不能按各向同性介质中的偏振特性将Love槽波或Rayleigh槽波从波场中分离出来,γ决定着Love槽波的合成方向.
(4) HTI介质基阶Love槽波频散与各向同性介质差异不大,利用基阶Love槽波频散曲线推测裂隙发育较为困难,可利用高阶槽波频散曲线.
Buchanan D J, Jackson P J, Davis D. 1983. Attenuation and anisotropy of channel waves in coal seams. Geophysics, 48(2): 133-147. DOI:10.1190/1.1441453 |
Chen T J. 2009. Theory on P-wave azimuthal AVO and detecting technique of coal bed cracks[Ph. D. thesis] (in Chinese). Xuzhou: China University of Mining and Technology.
|
Chen T J, Wang X, Cui R F. 2010. The detectability analysis on HTI tectonic coal cracks by azimuthal AVO's forward modeling. Journal of China Coal Society (in Chinese) (in Chinese), 35(4): 640-644. DOI:10.13225/j.cnki.jccs.2015.04.015 |
Dong S H. 2008. Test on elastic anisotropic coefficients of gas coal. Chinese Journal of Geophysics (in Chinese) (in Chinese), 51(3): 947-952. DOI:10.3321/j.issn:0001-5733.2008.03.038 |
Dresen L, Rüter H. 1994. Seismic Coal Exploration Part B: In-Seam Seismics. Oxford and New York: Pergamon.
|
Edwards S A, Asten M W, Drake L A. 1985. P-SV wave scattering by coal-seam inhomogeneities. Geophysics, 50(2): 214-223. DOI:10.1190/1.1441911 |
Essen K, Bohlen T, Friederich W, Meier T. 2007. Modelling of Rayleigh-type seam waves in disturbed coal seams and around a coal mine roadway. Geophysical Journal International, 170(2): 511-526. DOI:10.1111/j.1365-246X.2007.03436.x |
He W X, Ji G Z, Dong S H, et al. 2017. Theoretical basis and application of vertical Z-component in-seam wave exploration. Journal of Applied Geophysics, 138(3): 91-101. DOI:10.1016/j.jappgeo.2017.01.008 |
He W X. 2017. Three dimensions in-seam wave field simulation and detection method research of working face fault[Ph. D. thesis] (in Chinese). Xuzhou: China University of Mining and Technology.
|
Ji G Z, Cheng J Y, Zhu P M, et al. 2012. 3-D numerical simulation and dispersion analysis of in-seam wave in underground coal mine. Chinese Journal of Geophysics (in Chinese) (in Chinese), 55(2): 645-654. DOI:10.6038/j.issn.0001-5733.2012.02.028 |
Ji G Z, Wei J C, Yang S T, et al. 2018. Three-component polarization migration of channel waves for prediction ahead of coal roadway. Journal of Applied Geophysics,, 159(12): 475-483. DOI:10.1016/j.jappgeo.2018.09.028 |
Krey T C. 1963. Channel waves as a tool of applied geophysics in coal mining. Geophysics, 28(5): 701-714. DOI:10.1190/1.1439258 |
Krey T, Arnetzb H, Knecht M. 1982. Theoretical and practical aspects of absorption in the application of in-seam seismic coal exploration. Geophysics, 47(12): 1645-1656. DOI:10.1190/1.1441314 |
Li D H. 2012. Anisotropic wave field simulation and characteristic analysis of coal reservoirs[Ph. D. thesis]. Xuzhou: China University of Mining and Technology.
|
Li G H, Feng J G, Zhu G M. 2011. Quasi-P wave forward modeling in viscoelastic VTI media in frequency-space domain. Chinese Journal of Geophysics (in Chinese) (in Chinese), 54(1): 200-207. DOI:10.3969/j.issn.0001-5733.2011.01.021 |
Li H, Zhu P M, Ji G Z. 2013. Channel wave propagation analysis of the 3D tunnel model in isotropic viscoelastic medium.//83rd Ann. Internat Mtg., Soc. Expi. Geophys.. Expanded Abstracts.
|
Li H, Zhu P M, Ji G Z, et al. 2015. Modified image algorithm to simulate seismic channel waves in 3D tunnel model with rugged free surfaces. Geophysical Prospecting, 64(5): 1259-1274. DOI:10.1111/1365-2478.12351 |
Liu E R, Crampin S, Roth B. 1991. Modelling channel waves with synthetic seismograms in an anisotropic in-seam seismic survey. Geophysical Prospecting, 40(5): 513-540. DOI:10.1111/j.1365-2478.1992.tb00539.x |
Liu T F, Pan D M, Li D C, et al. 1994. In-Seam Seismic Exploration (in Chinese). Xuzhou: China University of Mining and Technology Press.
|
Liu Y Y, Wang Y, Zhang M G. 2012. Discussion on the paper "Test on elastic anisotropy coefficients of gas coal". Progress in Geophysics (in Chinese) (in Chinese), 27(4): 1832-1836. DOI:10.6038/j.issn.1004-2903.2012.04.067 |
Morcote A, Mavko G, Prasad M. 2010. Dynamic elastic properties of coal. Geophysics, 75(6): E227-E234. DOI:10.1190/1.3508874 |
Räder D, Schott W, Dresen L, et al. 1985. Calculation of dispersion curves and amplitude-depth distributions of love channel waves in horizontally-layered media. Geophysical Prospecting, 33(6): 800-816. DOI:10.1111/j.1365-2478.1985.tb00779.x |
Thomsen L. 1986. Weak elastic anisotropy. Geophysics, 51(10): 1954-1966. DOI:10.1190/1.1442051 |
Tsvankin I. 1997. Reflection moveout and parameter estimation for horizontal transverse isotropy. Geophysics, 62(2): 614-629. DOI:10.1190/1.1444170 |
Wang B, Liu S D, Zhou F B, et al. 2017. Diffraction characteristics of small fault ahead of tunnel face in coal roadway. Earth Sciences Research Journal, 21(2): 95-99. DOI:10.15446/esrj.v21n2.64938 |
Wang W, Gao X, Li S Y, et al. 2012. Channel wave tomography method and its application in coal mine exploration:An example from Henan Yima mining area. Chinese Journal of Geophysics (in Chinese) (in Chinese), 55(3): 1054-1062. DOI:10.6038/j.issn.0001-5733.2012.03.036 |
Wang Y, Xu X K, Zhang Y G. 2012. Characteristics of P-wave and S-wave velocities and their relationships with density of six metamorphic kinds of coals. Chinese Journal of Geophysics (in Chinese) (in Chinese), 55(11): 3754-3761. DOI:10.6038/j.issn.0001-5733.2012.11.022 |
Wang Y, Xu X K, Zhang Y G. 2016. Ultrasonic elastic characteristics of six kinds of metamorphic coals in china under room temperature and pressure conditions. Chinese Journal of Geophysics (in Chinese) (in Chinese), 59(7): 2726-2738. DOI:10.6038/cjg20160735 |
Xu X K, Wang Y, Meng Z P. 2014. Quality factor characteristics of six metamorphic kinds of coals. Chinese Journal of Geophysics (in Chinese) (in Chinese), 57(2): 644-650. DOI:10.6038/cjg20140227 |
Yang S T, Cheng J L. 2012. The method of small structure prediction ahead with Rayleigh channel wave in coal roadway and seismic wave field numerical simulation. Chinese Journal of Geophysics (in Chinese) (in Chinese), 55(2): 655-662. DOI:10.6038/j.issn.0001-5733.2012.02.029 |
Yang S T, Wei J C, Cheng J L, et al. 2016. Numerical simulations of full-wave fields and analysis of channel wave characteristics in 3-D coal mine roadway models. Applied Geophysics, 13(4): 621-630. DOI:10.1007/s11770-016-0582-9 |
Yang X H, Cao S Y, Li D C, et al. 2014. Analysis of quality factors for Rayleigh channel waves. Applied Geophysics, 11(1): 107-114. DOI:10.1007/s11770-014-0409-5 |
Yu G, Vozoff K, Durney D W. 1993. The influence of confining pressure and water saturation on dynamic elastic properties of some Permian coals. Geophysics, 58(1): 30-38. DOI:10.1190/1.1443349 |
陈同俊. 2009. P波方位AVO理论及煤层裂隙探测技术[博士论文]. 徐州: 中国矿业大学.
|
陈同俊, 王新, 崔若飞. 2010. 基于方位AVO正演的HTI构造煤裂隙可探测性分析. 煤炭学报, 35(4): 640-644. DOI:10.13225/j.cnki.jccs.2015.04.015 |
董守华. 2008. 气煤弹性各向异性系数实验测试. 地球物理学报, 51(3): 947-952. DOI:10.3321/j.issn:0001-5733.2008.03.038 |
何文欣. 2017. 工作面断层的三维槽波波场模拟与探测方法研究[博士论文]. 徐州: 中国矿业大学.
|
姬广忠, 程建远, 朱培民, 等. 2012. 煤矿井下槽波三维数值模拟及频散分析. 地球物理学报, 55(2): 645-654. DOI:10.6038/j.issn.0001-5733.2012.02.028 |
李东会. 2012. 煤储层各向异性波场模拟与特征分析[博士论文. 徐州: 中国矿业大学.
|
李桂花, 冯建国, 朱光明. 2011. 黏弹性VTI介质频率空间域准P波正演模拟. 地球物理学报, 54(1): 200-207. DOI:10.3969/j.issn.0001-5733.2011.01.021 |
刘天放, 潘冬明, 李德春, 等. 1994. 槽波地震勘探. 徐州: 中国矿业大学出版社.
|
刘媛媛, 王赟, 张美根. 2012. 关于"气煤弹性各向异性系数实验测试"一文的讨论. 地球物理学进展, 27(4): 1832-1836. DOI:10.6038/j.issn.1004-2903.2012.04.067 |
王伟, 高星, 李松营, 等. 2012. 槽波层析成像方法在煤田勘探中的应用-以河南义马矿区为例. 地球物理学报, 55(3): 1054-1062. DOI:10.6038/j.issn.0001-5733.2012.03.036 |
王赟, 许小凯, 张玉贵. 2012. 六种不同变质程度煤的纵横波速度特征及其与密度的关系. 地球物理学报, 55(11): 3754-3761. DOI:10.6038/j.issn.0001-5733.2012.11.022 |
王赟, 许小凯, 张玉贵. 2016. 常温压条件下六种变质程度煤的超声弹性特征. 地球物理学报, 59(7): 2726-2738. DOI:10.6038/cjg20160735 |
许小凯, 王赟, 孟召平. 2014. 六种不同煤阶煤的品质因子特征. 地球物理学报, 57(2): 644-650. DOI:10.6038/cjg20140227 |
杨思通, 程久龙. 2012. 煤巷小构造Rayleigh型槽波超前探测数值模拟. 地球物理学报, 55(2): 655-662. DOI:10.6038/j.issn.0001-5733.2012.02.029 |
2019, Vol. 62


