在过去几十年中,地下浅部的资源由于被大量探明和开采而日渐减少,但社会与工业的飞速发展却对地下资源愈发依赖(王礼茂,2002).在浅层(0~500 m深度)找矿的难度势必越来越大,必须向更深部勘探(严加永等,2008).金属矿的传统勘探方法(重、磁、电)由于各自特性在中深部金属矿勘探中存在多种问题,地震勘探技术在这方面具有不可替代的优势,但也有其特有的困难,例如成层性差、目标体小、不规则等(廉玉广等, 2009, 2010).在国内反射地震技术已经有了一定的研究与成果(吕庆田等, 2005, 2009, 2010).但金属矿与其围岩的波阻抗近似,导致反射波信号能量弱,常规方法建立的速度模型精度不高,偏移成像效果不理想(徐明才等,2005).孙宏宇等(2015)使用可视性分析和能量补偿的全波形反演技术(FWI)对金属矿模型进行反演,取得了较好成果.
全波形反演在计算机技术的飞速更新基础上,得到了广泛关注和迅速发展,成为当今地球物理学界的一大研究热点.20世纪80年代Tarantola(1984)提出了时间域全波形反演,首先提出了使用伴随状态法求解目标函数.Bunks等(1995)讲述了关于多尺度的概念,使全波形反演能尽可能地避免周波跳跃现象.到了20世纪末,Pratt(1999)提出了频域全波形反演,使用有限频率的数据结合从低频到高频的多尺度思想就能得到令人满意的反演结果,在效率上得到了质的飞跃,使FWI正式走到了世界前沿.但FWI是一个强非线性问题,使用局部优化算法导致FWI对初始模型和低频信息非常依赖,在实际数据中如果没有良好的低频数据和初始模型构建,那么反演就极其容易陷入局部极小中(Choi and Alkhalifah, 2011;Baeten et al., 2013;Bharadwaj et al., 2013).巨大的数据量让我们难以使用全局优化算法(Sambridge and Drijkoningen, 1992;Ji and Singh, 2005),为了解决缺失低频数据的问题,科学家们提出了一系列方法.
Shin和Min(2006)、Choi和Min(2012)使用了对数波场,利用对数目标函数的特性可以得到更平稳的解.Shin和Cha(2009)提出了在Laplace域全波形反演来得到一个可靠的初始模型后,再在该模型的基础上进行频域FWI,在一定程度上解决了缺失低频信息的问题.Hu(2014)提出了利用波的干涉原理,使用两个相对高频的数据干涉得到一个相对低频的模拟数据来进行全波形反演,但在具体的数值运算时很难体现出干涉的物理意义.Wu等(2013, 2014)在时间域提出了利用地震记录中含有丰富低频信息的包络进行多尺度反演,而罗静蕊等(2016)指出提取包络能将大尺度响应与波形数据分离开来,这样可以减少目标函数中的局部极小值,为全波形反演提供了一个良好的初始模型,胡勇等(2017)在前者的基础上提出了利用解调包络代替简单的Hilbert包络,得到了更加精确的结果,但包络是一种人工构建的数值低频数据,与真实物理低频存在差异,因此在国际上还未取得广泛认可.Zhang等(2015)利用被动源原理重构低频信息来填补主动源地震信息采集中缺失的低频部分,但噪声干扰严重,无法有效去除.Zhang等(2017)通过时间域稀疏盲反褶积算法在重构地震记录低频部分的同时校正了一定量的子波误差,但是该算法为局部算法,当子波误差过大时,无法得到好的重构效果.
本文提出的新方法同样是为了解决全波形反演在缺失低频数据时导致的局部收敛问题.在Zhang等(2017)的盲反褶积思想上通过伴随状态法震源函数反演得到了可靠的重构效果.通过模拟出低频时的自激自收点信息,增加了全波形反演的宏观信息,反演结果有效提高.本文首先介绍反演精确震源函数和基于褶积与反褶积思想重构低频信息的原理,然后在Marmousi模型中进行了震源函数不准确、缺失低频信息和新方法的全波形反演数值实验,证明了新方法的可行性与抗噪性.最后应用该方法于深部金属矿模型中得到了满意的反演结果.
1 方法原理 1.1 频域伴随状态法震源函数反演在实际地震数据中应用全波形反演,有效地估计震源函数是一大难题,现阶段常用炮点附近的直达波作为震源函数,但该方法得到的震源函数或多或少都会存在误差.为了得到更准确的震源函数,胡勇等(2017)在时间域提出了伴随状态震源函数反演方法,利用截取近炮点观测数据的直达波数据,反演出准确的震源函数.
但在频域全波形反演中,我们需要的是频域震源,通过时域与频域间的转换不仅麻烦而且会引入一定量的数值误差.如同全波形反演对速度反演的目标函数一样,对于震源反演的目标函数同样是最小化模拟数据与实际数据的残差平方,但数据中只包含直达波信息,对于模拟数据,我们可以直接在直达波所在层位模型中正演得到,目标函数为
|
(1) |
其中S(ω)和U(ω)分别是频率为ω时,检波器处的波场模拟值与波场观测值,‖·‖2表示二范数,对震源f求梯度有:
|
(2) |
特别注意,这里的T代表共轭转置,δ=S(ω)-U(ω).
二维频域常密度声波方程可以表示成简单的矩阵形式为
|
(3) |
其中A是阻抗矩阵,F是震源矩阵,u是波场.在反演震源时一般都是单炮反演,故有F=f.公式(3)两端同时对震源f求导可得:
|
(4) |
其中阻抗矩阵A与震源f无关,故有

|
(5) |
残差δ=S(ω)-U(ω)即为伴随震源函数.
1.2 褶积重构低频数据低频数据是全波形反演在实际应用中成功的关键.在初始模型不精确的前提下,低频数据能有效增加宏观信息,使全波形反演成功收敛至全局极小.如何得到可靠的低频数据一直是全波形反演研究的热点之一.目标函数公式(1)关于速度的梯度公式一般有:
|
(6) |
对于S(ω)我们可以模拟出其在所有模型空间点全部频率的值,而U(ω)我们只有检波器所处空间点的值并且还缺失了它的低频部分.
褶积模型是简单的模拟地震记录模型,它表示观测记录u是震源函数z与地层反射系数h通过褶积运算得到,忽略噪声影响,可简单表示为
|
(7) |
在频域可表示为
|
(8) |
通过褶积模型得到的观测记录是简单一次波的记录,而在FWI中,我们用到的是全波场信息,二者存在一定差异.但频域正演的自激自收记录可以近似看作是由褶积模型得到的记录.
地层反射系数h和H只与地层速度相关.通过上节内容我们可得到准确的不含低频的震源子波,通过反褶积运算,我们可以得到自激自收点的地层反射系数h,即:
|
(9) |
这里的*-1表示反褶积运算.然后我们给出一个已知的雷克子波,提取其低频分量,与地层反射系数h做褶积运算即可得到该雷克子波低频分量r对应的自激自收点低频观测记录uc,即:
|
(10) |
在频域更加方便,将雷克子波的对应低频量R与对应频率的地层反射系数H相乘即可得到该雷克子波下的低频观测记录UC,即:
|
(11) |
将公式(11)代入梯度公式中有:
|
(12) |
这里的S(ω)是以雷克子波的对应低频量R(ω)为震源,对初始模型做正演得到.
但上述过程中有复杂的反褶积运算和地层反射系数的时域与频域间变换,所以比较麻烦,在应用中可以利用相似性现象进行更巧妙简洁的运算,将会在下面的Marmousi模型中结合模型数据详细介绍.
2 Marmousi模型数值实验本次实验中Marmousi模型网格横纵大小为365×121,网格间距为25 m,横向距离9125 m,纵向距离3025 m,检波器置于50 m深处.震源置于175 m深处,使用10 Hz主频的雷克子波,采样间隔为0.01 s.使用一个大平滑速度模型作为初始速度模型,Marmousi模型速度变化范围在1500 m·s-1与4500 m·s-1之间.从图 1中可以看到该初始速度模型与真实速度模型差距很大.
|
图 1 速度模型 (a)真实速度模型;(b)初始速度模型. Fig. 1 Velocity models (a) True velocity model; (b) Initial velocity model. |
本次实验以上图Marmousi模型为速度模型,对其进行二维频域常密度声波方程正演,在迭代更新过程中由于只取直达波数据,故只选用Marmousi模型的水层.利用公式(6)求得的梯度使用共轭梯度法对震源函数进行迭代更新,使得线性初始震源函数向真实震源函数逼近,最终得到满意结果.
由于是在频域进行反演,如果真实震源函数内不含有低频分量,那么反演得到的模拟震源函数同样也没有低频分量.在实验中使用如上说明的主频为10 Hz的雷克子波,但截去了其7 Hz以下的分量,这在频域中是极其容易的.初始震源函数使用接近0的线性震源函数,振幅为1×10-6,相位为0.从7 Hz开始到40 Hz结束,频率间隔0.1 Hz,每个频率上最多迭代8次,实验结果如图 2.
|
图 2 震源函数反演结果 Fig. 2 Source function inversion results |
从图 2中可以看到无论是能量谱、振幅谱和相位谱,在频域应用伴随状态法反演震源函数均从初始线性震源收敛至真实震源函数.实验结果证明了伴随状态法反演震源函数在频域能够完全使用,并且拥有频域全波形反演的高效率优点,共迭代更新了约2000次,总用时不到6 min,应用前景非常可观.值得注意的是,单炮震源函数在模型空间中相当于一个尖脉冲,而伴随状态法将会在整个模型空间中反演震源,所以需要人为定位炮点在模型空间中的位置,提取该位置的反演量作为结果进入下次迭代,只有这样才能保证反演又快又好收敛.如不采用此策略,反演将有极大几率陷入局部极小而失败.
2.2 褶积重构自激自收点低频数据算例在开始按上节原理中提出的过程进行实验前,我们先观察在Marmousi模型中模拟出某一炮的真实自激自收记录U,并将其与真实震源函数Z相除,得到地层反射系数H随频率的变化.从图 3中我们可以看到地层反射系数H在5~20 Hz间几乎是相同的.而对于2.5~5 Hz区间的地层反射系数H与5~20 Hz间的地层反射系数H是近似的.所以我们在实际应用中不需要进行复杂的时频域变换与褶积反褶积运算,我们可以直接在频域将已知的雷克子波的低频分量与5~20 Hz区间内的某个地层反射系数H值相乘,得到自激自收点重构的低频观测分量,即:
|
(13) |
|
图 3 某炮自激自收点地层反射系数H的频谱图 Fig. 3 Spectra of reflection coefficient at self-exciting and self-receiving point |
其中下标l与h分别表示低频与高频.
图 4是自激自收点在5 Hz时真实的观测分量与重构的观测分量对比.因为需对比看效果,故假设震源函数已知,并使用相同的5 Hz分量.在实际中,震源函数的低频分量是未知的,使用了已知的雷克子波的低频分量重构数据,并在全波形反演的低频段过程中同样使用该雷克子波即可.从图中的365个自激自收点数据实际与重构模拟对比效果可以看出,两者存在微小误差,但与能得到低频信息相比,该微小误差在可接受范围之内.这证明了褶积与反褶积思想及相似性现象重构自激自收点低频数据的有效性.
|
图 4 所有自激自收点的5 Hz数据重构效果示意图 Fig. 4 Data reconstruction of 5 Hz at all self-exciting and self-receiving points |
震源函数的准确与否直接影响了全波形反演的最终成败,震源的错误将导致模拟的正演也出现错误,我们再用错误的模拟数据去匹配观测数据,最终反演的地层将无法正确收敛归位,得到失败的反演结果.
如图 5a,是以图 1b为初始模型,缺失7 Hz以下数据,并且震源函数的相位分量与真实震源函数相反,从7 Hz开始,以0.25 Hz为间隔,至25 Hz结束,每个频率最多迭代8次并在步长小于0.1时自动进入下一频率,最终得到的结果.为了提高效率,采用了超级炮思想,将15炮合成一个超级炮,其中每个单炮的震源函数振幅与相位均随机以减少串扰噪声.从图 5a中我们看到反演完全失败,对比于图 5b(图 5b与图 5a的操作完全一样,除了震源函数是使用从线性初始震源函数通过伴随状态法反演得到),可以看出失败的原因就是震源函数的错误.
|
图 5 FWI测试 (a)震源函数负相位的FWI结果;(b)通过伴随状态法反演得到精确震源函数的FWI结果;(c)通过伴随状态法反演得到精确震源函数并加入重构低频数据的FWI结果. Fig. 5 FWI tests (a) FWI result of source function with negative phase; (b) Inversion result of accurate invert source function by adjoint-state method; (c) FWI result of accurate invert source function from adjoint-state inversion added by reconstructed low-frequency data. |
但图 5b的反演结果与真实模型对比,可以看到反演在左上区域和左中部出现了局部极小现象,并且在深部左右侧的高速区块反演出现失败的现象,高速层没有反演完全,在高速层的下半部分出现异常低速区,最后在底部的背斜地质构造虽然有体现,但背斜地层的速度却是错误的.图 5c同样是以图 1b为初始模型,采用同样的反演策略,但首先在低频段使用重构的自激自收点低频信息而得到的结果示意图.从图 5c中我们可以看到图 5b所存在的问题均有效改善,浅中部的局部极小问题得以解决,深部的高速体合理归位,底部的背斜速度也收敛正确.
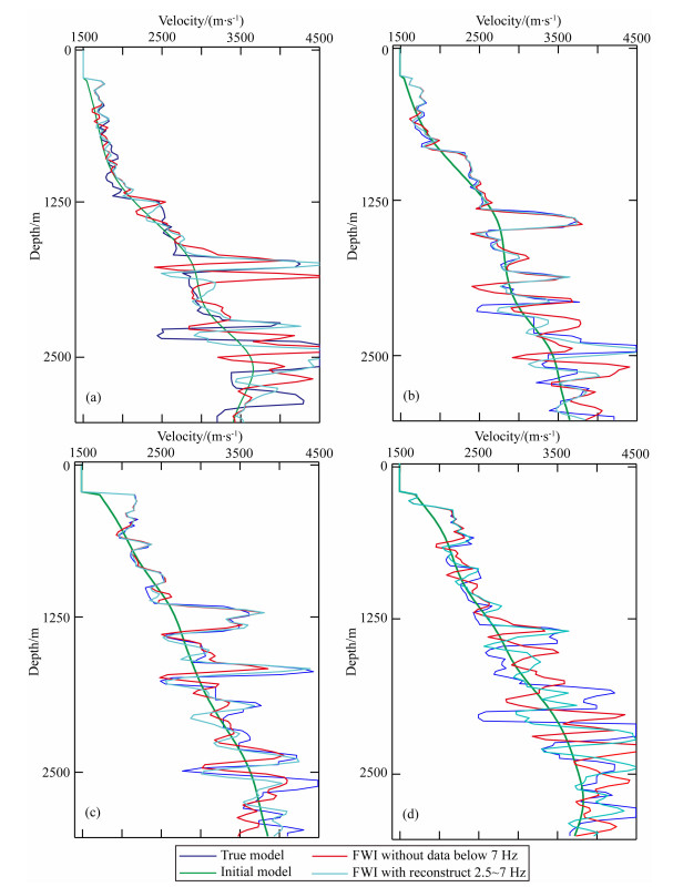
图 6是在水平1250 m、3500 m、6250 m和8125 m处的纵向速度对比.从抽道对比图中可以更清晰的看出图 5b与图 5c间的反演效果差距,加入重构低频数据的全波形反演结果(宝蓝色)比未使用低频数据的全波形反演结果(红色)对真实速度模型(深蓝色)拟合更加接近,尤其是速度模型的深部.
|
图 6 反演结果抽道对比 (a) x=1250 m;(b) x=3500 m;(c) x=6250 m;(d) x=8125 m. Fig. 6 Comparison of inversion on sampled traces |
虽然伴随状态法震源函数反演使用的直达波数据一般很容易得到,但如果直达波中已经混入了一定量的噪声干扰,那对直接使用震源附近的直达波来直接作为或者参考而成的震源函数肯定会有干扰.针对本文的震源函数反演方法,假设在震源附近的观测点中提取的直达波中存在有误差.图 7是某个检波器上的直达波加噪前后频谱能量示意图,图 8是震源反演得到的结果.
|
图 7 直达波加噪示意图 Fig. 7 Schematic of direct waves added by noise |
|
图 8 直达波含有随机噪声的震源函数反演结果 Fig. 8 Source function inversion results of direct waves with random noise |
对比图 3和图 8,我们发现即使直达波中有一定量的噪声干扰,频域伴随状态法震源函数反演依旧能够很准确地反演出震源函数.
在FWI的抗噪声测试中,我们对所有频率的观测数据加入了随机的基于自身能量1%~100%的高斯噪声.加噪对比如图 9所示.对比图 13与图 14的最终反演结果,我们可以看到,加入重构自激自收低频数据后,反演依旧能有好的结果.
|
图 9 观测数据加噪能量示意图 Fig. 9 Schematic of observed data with noise added |
|
图 10 精确震源函数的观测数据加噪FWI结果 (a)未使用重构低频数据;(b)使用重构低频数据. Fig. 10 FWI result of accurate source function with noise added (a) Without reconstructed low-frequency data; (b) With reconstructed low-frequency data. |
|
图 13 金属矿FWI结果 (a)未使用重构低频数据;(b)使用重构低频数据. Fig. 13 FWI result of metallic deposit (a) Without reconstructed low-frequency data; (b) With reconstructed low-frequency data. |
本次实验中的金属矿模型使用安徽省庐枞盆地某矿床复杂地球物理模型(图 11)的纵波速度模型(图 12a).矿体总体呈复杂的似层状、平缓透镜状,平面投影呈椭圆状,空间上表现为穹隆状,中心以浸染状贫铁矿为主,富、厚矿多环绕于四周.矿床由多个矿体组成,其中规模较大的只有2个矿体,其余均为小矿体(廉玉广等,2011).速度模型的网格横纵大小为400×120,网格间距为20 m,横向距离8000 m,纵向距离2400 m,检波器置于40 m深处.震源置于100 m深处.使用一个大平滑速度模型作为初始速度模型,金属矿速度模型速度变化范围在2700 m·s-1与5500 m·s-1之间.从图 12a和图 12b中可以看到使用的初始速度模型与真实速度模型差距很大.
|
图 11 S1线过罗河矿体地球物理模型(据廉玉广等,2011) Fig. 11 Geophysical model of Luohe deposit along S1 seismic line in Luzong Basin (after Lian et al., 2011) |
|
图 12 金属矿速度模型 (a)真实速度模型;(b)初始速度模型. Fig. 12 Metallic deposit velocity model (a) True velocity model; (b) Initial velocity model. |
图 13a是以图 12b为初始速度模型的普通全波形反演金属矿速度模型反演结果,可以看到在浅部出现异常的低速带,并且各个层位的分界反演模糊,最重要的金属矿体下部出现明显错误.图 13b同样是以图 12b为初始速度模型,但是使用了重构自激自收点低频数据的全波形反演金属矿速度模型反演结果.对比图 13a与图 13b可以看到,在加入重构的低频数据后,全波形反演结果有了明显的提升,浅层出现的异常局部极小值已经恢复,各层位收敛更加精确,主矿体边界更加清晰,在主矿体下部的反演错误已经纠正.以上效果证明了新方法在金属矿模型的应用中有显著成效.两侧均存在模糊区是由于两侧数据覆盖次数比中间区域要少得多.
4 结论(1) 在时域伴随状态法震源函数反演的基础上,将震源函数反演应用于频域,实现了频域内震源函数的高精度高效率估计,为全波形反演的实际应用打下基础,同时也为很多地震处理技术提供了可靠的震源函数估计.
(2) 在可靠震源函数的前提下,利用褶积与反褶积思想结合相似性现象重构了自激自收点的低频信息,弥补了全波形反演对低频信息的需求,对全波形反演的初始模型增加了宏观信息,反演结果有了极大改善.
(3) 对噪声的测试结果证明了本文的震源函数反演和全波形反演思想对残留有噪声的数据同样有效,并有较强抗噪性.
陆上复杂金属矿模型的成功应用证明了本文方法的实用性.但陆上数据比海洋数据有更多的干扰与噪声,而在实际生产中,陆上的浅层速度不像海洋中的水层速度是已知的,应用本文的方法前,首先我们需要精确的近地表速度,然后是如何处理得到可靠的自激自收点的中高频数据,这两点将会是本文的全波形反演方法在实际处理陆上数据时的难点.
Baeten G, de Maag J W, Plessix R E, et al. 2013. The use of low frequencies in a full-waveform inversion and impedance inversion land seismic case study. Geophys. Prospect, 61(4): 701-711. DOI:10.1111/1365-2478.12010 |
Bharadwaj P, Mulder W A, Drijkoningen G. 2013. Multi-objective full waveform inversion in the absence of low frequencies.//SEG Technical Program Expanded. Houston, Texas: SEG, 964-968.
|
Bunks C, Saleck F M, Zaleski S, et al. 1995. Multiscale seismic waveform inversion. Geophysics, 60(5): 1457-1473. DOI:10.1190/1.1443880 |
Choi Y, Alkhalifah T. 2011. Frequency-domain waveform inversion using the unwrapped phase.//SEG Technical Program Expanded. San Antonio, Texas: SEG, 2576-2580.
|
Choi Y, Min D J. 2012. Source-independent elastic waveform inversion using a logarithmic wavefield. Journal of Applied Geophysics, 76: 13-22. DOI:10.1016/j.jappgeo.2011.10.013 |
Hu W Y. 2014. FWI without low frequency data-beat tone inversion.//SEG Technical Program Expanded. Denver, Colorado: SEG, 1116-1120.
|
Hu Y, Han L G, Xu Z, et al. 2017. Demodulation envelope multi-scale full waveform inversion based on precise seismic source function. Chinese J. Geophys (in Chinese), 60(3): 1088-1105. DOI:10.6038/cjg20170321 |
Ji Y, Singh S C. 2005. Anisotropy from full waveform inversion of multicomponent seismic data using a hybrid optimization method. Geophys. Prospect, 53(3): 435-445. DOI:10.1111/j.1365-2478.2005.00476.x |
Lian Y G, Han L G, Lü Q T, Yan J Y.2009. The research of seismic modeling and imaging in metal ore region. Chinese Geophysics 2009. Beijing: Chinese Geophysical Society, 305.
|
Lian Y G, Lü Q T, Han L G, Yan J Y. 2010. The research of seismic modeling in metal ore region. Chinese Geophysics 2010-Proceedings of the 26th Annual Meeting of the Chinese Geophysical Society and the 13th Academic Conference in Seismological Society of China. Beijing: Seismological Society of China, 702.
|
Lian Y G, Lü Q T, Han L G, Zhao J H. 2011. Research of seismic modeling od complex metal ore body-examples of the Luzong Luohe, Nihe and Dabaozhuang deposits. Acta Geologica Sinica, 85(5): 887-899. |
Luo J R, Wu R S, Gao J H. 2016. Local minima reduction of seismic envelope inversion. Chinese J. Geophys (in Chinese), 59(7): 2510-2518. DOI:10.6038/cjg20160716 |
Lü Q T, Han L G, Yan J Y, Lian Y G. 2009. Application of reflection seismic on the Volcanic hydrothermal iron-sulfide deposits. Chinese Geophysics 2009. Beijing:Chinese Geophysical Society: 304-305. |
Lü Q T, Lian Y G, Zhao J H. 2010. Application of reflection seismic technology in metallogenic geological background and deep mineral exploration:status and prospects. Acta Geologica Sinica, 84(6): 771-787. |
Lü Q T, Shi D N, Zhao J H, Yan J Y, Xu M C. 2005. Seismic method for deeper mineral exploration:Problems and prospects-A case study of the Tongling ore district. Geological Bulletin of China, 24(3): 211-218. |
Pratt R G. 1999. Seismic waveform inversion in the frequency domain, Part 1:Theory and verification in a physical scale model. Geophysics, 64(3): 888-901. DOI:10.1190/1.1444597 |
Sambridge M, Drijkoningen G. 1992. Genetic algorithms in seismic waveform inversion. Geophysical Journal International, 109(2): 323-342. DOI:10.1111/j.1365-246X.1992.tb00100.x |
Shin C, Cha Y H. 2009. Waveform inversion in the Laplace-Fourier domain. Geophys. J. Int, 177(3): 1067-1079. DOI:10.1111/j.1365-246X.2009.04102.x |
Shin C, Min D J. 2006. Waveform inversion using a logarithmic wavefield. Geophysics, 71(3): R31-R42. DOI:10.1190/1.2194523 |
Sun H Y, Han L G, Han M, et al. 2015. Elastic full waveform inversion based on visibility analysis and energy compensation for metallic deposit exploration. Chinese J. Geophys (in Chinese), 58(12): 4605-4616. DOI:10.6038/cjg20151222 |
Tarantola A. 1984. Inversion of seismic reflection data in the acoustic approximation. Geophysics, 49(8): 1259-1266. DOI:10.1190/1.1441754 |
Wang L M. 2002. Resources security strategies in China:the case of oil resources. Resources Science (in Chinese), 24(1): 5-10. |
Wu R S, Luo J R, Wu B Y. 2013. Ultra-low-frequency information in seismic data and envelope inversion.//SEG Technical Program Expanded. Houston, Texas: SEG, 3078-3082.
|
Wu R S, Luo J R, Wu B Y. 2014. Seismic envelope inversion and modulation signal model. Geophysics, 79(3): WA13-WA24. DOI:10.1190/geo2013-0294.1 |
Xu M C, Gao J H, Rong L X, Chai M T, Liu J X, Lü Q T, Shi D N. 2005. The tentative application of surface seismic tomography to the exploration of metallic deposits. Geophysical and Geochemical Exploration, 29(4): 299-303. |
Yan J Y, Teng J W, Lü Q T. 2008. Geophysical exploration and application of deep metallic ore resources. Progress in Geophysics (in Chinese), 23(3): 871-891. |
Zhang P, Han L G, Xu Z, et al. 2017. Sparse blind deconvolution based low-frequency seismic data reconstruction for multiscale full waveform inversion. Journal of Applied Geophysics, 139: 91-108. DOI:10.1016/j.jappgeo.2017.02.021 |
Zhang P, Han L G, Zhou Y, et al. 2015. Passive-source multitaper-spectral method based low-frequency data reconstruction for active seismic sources. Appl. Geophys, 12(4): 585-597. DOI:10.1007/s11770-015-0520-2 |
胡勇, 韩立国, 许卓, 等. 2017. 基于精确震源函数的解调包络多尺度全波形反演. 地球物理学报, 60(3): 1088-1105. DOI:10.6038/cjg20170321 |
廉玉广, 韩立国, 吕庆田等. 2009.金属矿地震正演模拟与成像技术研究.//中国地球物理·2009.北京: 中国地球物理学会, 305.
|
廉玉广, 吕庆田, 韩立国等. 2010.金属矿体地震波场正演模拟研究.//中国地球物理2010——中国地球物理学会第二十六届年会、中国地震学会第十三次学术大会论文集.北京: 中国地震学会, 702.
|
廉玉广, 吕庆田, 韩立国, 等. 2011. 复杂金属矿体地震波正演模拟研究——以庐枞盆地罗河、泥河和大包庄矿床为例. 地质学报, 85(5): 887-899. |
罗静蕊, 吴如山, 高静怀. 2016. 地震包络反演对局部极小值的抑制特性. 地球物理学报, s59(7): 2510-2518. DOI:10.6038/cjg20160716 |
吕庆田, 韩立国, 严加永等. 2009.反射地震在"玢岩型"铁、硫矿探测中的应用研究.//中国地球物理·2009.北京: 中国地球物理学会, 304-305.
|
吕庆田, 廉玉广, 赵金花. 2010. 反射地震技术在成矿地质背景与深部矿产勘查中的应用:现状与前景. 地质学报, 84(6): 771-787. |
吕庆田, 史大年, 赵金花, 等. 2005. 深部矿产勘查的地震学方法:问题与前景——铜陵矿集区的应用实例. 地质通报, 24(3): 211-218. DOI:10.3969/j.issn.1671-2552.2005.03.002 |
孙宏宇, 韩立国, 韩淼, 等. 2015. 基于可视性分析与能量补偿的金属矿弹性波全波形反演. 地球物理学报, 58(12): 4605-4616. DOI:10.6038/cjg20151222 |
王礼茂. 2002. 中国资源安全战略:以石油为例. 资源科学, 24(1): 5-10. DOI:10.3321/j.issn:1007-7588.2002.01.002 |
徐明才, 高景华, 荣立新, 等. 2005. 地面地震层析技术在金属矿勘查中的试验研究. 物探与化探, 29(4): 299-303. DOI:10.3969/j.issn.1000-8918.2005.04.005 |
严加永, 滕吉文, 吕庆田. 2008. 深部金属矿产资源地球物理勘查与应用. 地球物理学进展, 23(3): 871-891. |
2019, Vol. 62


