2. 中海油研究总院, 北京 100027;
3. 中国科学院地质与地球物理研究所, 北京 100029
2. CNOOC Research Institute, Beijing 100027, China;
3. State Kay Laboratory of Lithospheric Evolution, Institute of Geology and Geophysics, Chinese Academy of Sciences, Beijing 100029, China
岩石圈热结构研究主要包括岩石圈的厚度、温度分布以及壳、幔两部分热流的配分比例及其组构关系,它不仅是岩石圈热演化过程的反映,又会对岩石圈的整个演化过程产生重大影响(何丽娟等, 2001).壳、幔热流的配分及组成关系直接影响到深部温度的分布、地壳及上地幔的活动性.岩石圈的热状态决定着岩石圈的流变和物理性质,从而影响着构造变形的特征和地质演化过程,也影响着地震波传播的速度和衰减及地磁、重力等地球物理场分布,对地球动力学过程有重大影响(石耀霖, 1990).
珠江口盆地位于南海北部大陆边缘,处于欧亚、印度—澳大利亚及菲律宾海板块相互作用的特殊构造位置(图 1),是在复杂基底上发育起来的被动大陆边缘盆地.盆地的形成和演化与南海北部深部地壳结构、南海的扩张机制等重大科学问题有着密切的关系.另外,珠江口盆地是南海北部最大的中—新生代沉积盆地,具有良好的油气资源开发前景.盆地白云凹陷荔湾3-1深水扇气田的重大发现拉开了我国深水油气勘探的序幕.研究珠江口盆地深部地热特征及热结构,对于探索该盆地的构造热演化动力学机制和含油气盆地的形成演化过程具有重要意义.独特的大地构造位置也决定了珠江口盆地岩石圈热结构将为中国中—新生代大陆岩石圈演化研究提供重要支持.
|
图 1 珠江口盆地区域构造图与地学断面 EP:欧亚板块,PSP:菲律宾海板块,ID:印度板块,AP :澳大利亚板块,SCS:南海,BN:婆罗洲, NUZ:北部隆起带,HJ:韩江凹陷,LF:陆丰凹陷,HZ:惠州凹陷,XJ:西江凹陷,EP:恩平凹陷,YJ:阳江凹陷,ZⅢ:珠Ⅲ坳陷,SH:神狐隆起,ZⅡ:珠Ⅱ坳陷,BY:白云凹陷,DS:东沙隆起,SD:顺德凹陷; CS:潮汕凹陷,XS:西沙海槽.红色实心点为地学断面的控制点,其中*V36为声纳浮标点位置,其余为双船扩展排列剖面(ESP)中心位置;黄色实心点表示ODP1148的位置;红色线条表示广州—巴拉望地学断面分布在研究区的一段. Fig. 1 Locations of the pearl river mouth basin and the transects Abbreviations: EP, Eurasian Plate; PSP, Philippine Sea Plate; ID, Indian Plate; AP, Australian Plate; SCS, South China Sea; BN, Borneo; NUZ, North uplifts zone; HJ, Hanjiang sag; LF, Lufeng sag; HZ, Huizhou sag; XJ, Xijiang sag; EP, Enping sag; YJ, Yangjiang sag; ZⅢ, ZhuⅢ depression; SH, Shenhu uplift; ZⅡ, ZhuⅡ depression; BY, Baiyun depression; DS, Dongsha uplift; SD, Shunde depression; CS, Chaoshan depression; XS, Xisha trough. Red circles show the control sites of the transects, site names ended with *V36 denote sonobuoy sites whereas the rest denote the positions of the expanding spread profile (ESP) midpoints; Yellow circle shows the location of the ODP Site 1148; Red line is part of the Guangzhou-Palawan Transect. |
南海北部陆缘盆地深部热体制研究开始于本世纪初.Zhang和Wang(2000a)等利用分布于南海北缘东部和中部的两条中外合作地震测线计算了该区域的深部热流结构和不同界面的温度;张健和宋海斌(2001)对南海北部陆架区盆地热结构进行了计算和对比分析;此外,Shi等(2002)通过重力异常拟合及地温场和流变性质的估算获得了西沙海槽深部热结构.但由于海上基础资料还比较稀少,洋壳或海陆过渡区目前尚缺乏系统的岩石圈热结构方面的研究.本文整理了珠江口盆地及邻区的大地热流数据;在中美合作双船地震剖面(ESP)的基础上,通过地热学方法,计算了ESP中心点位置处的壳幔热流值配分、深部温度以及“热”岩石圈厚度;统计了位于珠江口盆地区域的点的计算结果,并对盆地深部地热及相关问题作进一步探讨.
1 地质-地球物理背景珠江口盆地介于陆架-陆坡地壳减薄过渡带,多幕拉张、裂陷使得其地壳厚度向洋盆方向递减.上世纪80年代,中美在南海联合开展了海洋地质科学调查,共同开展了地震声纳浮标、双船扩展排列地震等测量,其中通过南海北部陆缘东部、中部和西部的三条地学断面(图 2)为研究珠江口盆地地壳结构特征提供了宝贵的数据(Nissen et al., 1995a, 1995b; 姚伯初, 1998).
|
图 2 地学断面AA′ (a), BB′ (b), CC′ (C)的二维地壳结构剖面(据姚伯初, 1998, 有修改) Fig. 2 Two-dimensional crustal structure of Transect AA′ (a), BB′ (b), and CC′ (C) (modified from Yao, 1998) |
中美联合南海地质考察项目获得的资料表明,珠江口盆地地壳厚度横向变化显著.在东部断面(CC′,图 2c),由东沙隆起至洋-陆边界,上地幔逐渐抬升,下地壳逐渐减薄,地壳厚度由32 km减薄到12 km;在中部断面(BB′,图 2b),由珠Ⅱ坳陷到洋-陆边界地壳逐渐减薄,地壳由27 km减薄到18 km;在西部断面(AA′,图 2a),珠Ⅲ坳陷和西沙海槽地壳显著减薄,地壳厚度分别为23 km和14 km.双船扩展排列剖面(ESP)资料揭示,南海北部陆缘地壳结构的另一显著特征是上地壳远比下地壳薄,上地壳厚度仅3~10 km,而下地壳厚度为10~25 km,下地壳是上地壳的3~5倍.此外,下地壳的下部普遍存在高速层,尤其是北部陆缘的中东部地区.
大地热流值是岩石圈热结构分析最基本最重要的参数.为了研究南海的起源、演化历史、大地构造属性及其形成的地球动力学背景,前人获得了大量钻井和海底探针地热资料(Watanabe et al., 1977; Anderson et al., 1978; Taylor and Hayes, 1983; Ru and Pigott, 1986; 陈墨香等, 1991; 饶春涛和李平鲁, 1991; Nissen et al., 1995a; Shyu et al., 1998).随着海上油气勘探的迅速发展,研究区钻井温度数据不断累积、更新,相应的大地热流数据也不断地增加.Shi等(2003)收集整理了南海地区热流数据592个,并进行了系统分析,研究了南海地区大地热流在平面上各构造单元的分布特征.米立军等(2009)研究了南海北部深水区地热特征及其成因,并提出南海北部深水区地温梯度为29.4~5.22 ℃/km,平均为39.1±0.74 ℃/km;大地热流值为24.2~121 mW·m-2,平均为77.5±14.8 mW·m-2.唐晓音等(2014)获得了19个大地热流数据,系统分析后认为珠江口盆地平均热流71.8±13.6 mW·m-2.唐晓音等(2016)在校正BHT温度数据的基础上,新增了珠江口盆地16个大地热流数据.基于Shi等(2003)发表的南海大地热流图,本文加入米立军等(2009)、唐晓音等(2014, 2016)发表的大地热流数据,使用克里金插值法对珠江口盆地及其邻区的热流进行插值处理,得到了珠江口盆地及周边大地热流等值线图(图 3).在此基础上,提取了ESP中心点位置处的大地热流值,提取结果见表 1.
|
图 3 珠江口盆地及邻区大地热流分布特征 Fig. 3 Heat flow map of the Pearl River Mouth Basin and its surroundings. Abbreviations are same with those in Fig. 1 |
|
|
表 1 壳、幔热流计算参数与结果 Table 1 Parameters and results for crustal and mantle heat flow calculation |
从图 3可以看出,盆地大地热流总体上从陆架到陆坡区呈增大趋势,但局部存在两个高值异常区,分别为顺德和阳江地区.顺德地区的大地热流高值异常位于始新世-渐新世的基性岩侵入、喷发区,阳江地区的高值异常则位于珠Ⅲ坳陷的北部边界断裂之上(饶春涛和李平鲁, 1991).
2 壳、幔热流 2.1 计算原理在地表所观测到的大地热流(q0)实际上由两部分组成,即地壳岩石中U、Th、40K等放射性元素蜕变产生的热量(地壳热流,qc)和来自地球深部的热量(地幔热流,qm).关于地幔热流值的计算,本文采用汪集暘和汪缉安(1986)提出的阶状模型,它是一种较理想的计算方法,适用于各种复杂环境的沉积盆地.模型在了解相应层段的生热率及厚度的基础上,从地表热流中逐层“扣除”由放射性元素所提供的那部分热量,以此求出地壳内各层段的相应热流值,假定地壳内某一层内岩石生热率为常数Ai,则该地层的放射性生热贡献为
|
(1) |
其中Hi为该层的厚度.假定地壳内某一层生热率A的分布普遍服从于指数衰变模型,则层内放射性热贡献为
|
(2) |
式中,Ai代表第i层顶部的初始生热率值,单位μW·m-3;zi,zi+1分别为计算层顶、底深度,单位km;D为放射性元素富集的特征厚度,单位km.
地壳放射性热贡献可由各层热贡献累加而得,即
|
(3) |
式中n为地壳分层数,从而可计算出地幔热流为
|
(4) |
在计算壳幔热流配分之前,首先要给出比较符合研究区实际情况的地壳结构模型.中美南海海洋地质科学联合调查项目获得的三条地学断面(Nissen et al., 1995a; 姚伯初, 1998; Hayes and Nissen, 2005) (断面位置见图 1),揭示了研究区的地壳结构,为本文的计算提供了地壳厚度(Hc)、地震波速(Vp)等基础参数(见图 2,表 1).
Čermák(1989)认为在地壳上部,破裂、水动力等作用常常导致生热元素重新分布,并给出了估算盆地基底以及地壳上部10 km深度范围内的生热率分布经验关系.本文地壳生热率的估算采用Čermák和Bodri(1991)的处理方法,将地壳分为沉积层、上地壳10 km与剩余地壳三层并分别估算其热流,各层生热率参数取值见表 1.根据袁玉松(2007)搜集和自测的珠江口盆地和琼东南盆地沉积岩样品的分析结果,研究区沉积层生热率取常数1.47 μW·m-3; 上地壳10 km生热率分布采用指数衰减模型A=A0exp(-z/D),生热率初始值A0引用珠江口盆地实测基底岩石生热率平均值2.42 μW·m-3(饶春涛和李平鲁, 1991),D取10 km (Shi et al., 2002).目前,估算盆地深部,特别是中、下地壳的生热率主要有两种思路:一是在系统测试研究区及其周缘各种类型岩石生热率的基础上,根据地球物理、地质学和地球化学等资料建立的研究区地壳不同壳层结构和岩石组成模型,通过岩性百分含量的加权平均来估算地壳深部岩石的生热率;二是根据地震波波速来推算生热率.基于地壳波速越大,其物质组成中的基性成分越多,生热率也相应越低的基本规律,Rybach和Buntebarth(1984)利用实验室测试的岩石波速和生热率值建立了P波速率Vp和生热率A之间的经验关系,并被大量研究者采用,公式为
|
(5) |
其中,B为常数项,显生宙岩石取12.6,前寒武系岩石取13.7;Vp为地震波速,km·s-1.值得注意的是,由于式(5)中的地震波速为实验条件下(20 ℃,100 MPa)的地震波速,所以在计算前,需要将原位地震波速Vp进行温、压校正,校正为实验条件下的波速.本文除沉积层、上地壳10 km(UTK)以外的剩余地壳生热率估算采用公式(5).式中原位地震波速采用了Rybach和Buntebarth(1984)提出来的方法进行了校正,校正结果见表 1,VPC.
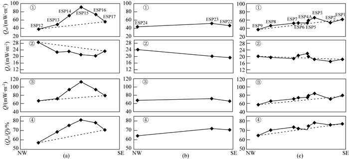
2.3 计算结果虽然剖面的壳幔热流分布具有明显的横向差异(图 4),但整体上三条剖面的地壳热流具有自NW向SE明显减小的趋势(图 4②),与地壳减薄趋势一致(图 2).剖面AA′的地壳热流从ESP12的28.6 mW·m-2减少到ESP17的23.3 mW·m-2;剖面BB′从ESP24的24.2 mW·m-2减少到ESP22的19.3 mW·m-2;剖面CC′从ESP9的20.1 mW·m-2减少到ESP11的18.3 mW·m-2(图 4②,表 1).地幔热流的整体变化趋势(图 4①)与地表热流值(图 4③)一致,从NW向SE增加.该趋势与地壳热流变化趋势相反.值得注意的是,剖面AA′中由于ESP14、ESP15、ESP16的地表热流值相对于ESP17点来说异常高,所以计算所得地幔热流值显示出异常高的特征.剖面AA′中的ESP11点在珠Ⅲ坳陷的北部边界断裂影响下,可能存在强烈的水热活动,故不在本文中进行计算.
|
图 4 珠江口盆地剖面地幔热流(①),地壳热流(②),地表热流(③),地幔/地表热流比值(④). (a)剖面AA′; (b)剖面BB′; (C)剖面CC′ Fig. 4 Mantle heat flow (①), crustal heat flow ②), surface heat flow (③), and the ratio of mantle heat flow to surface heat flow (④) of the Pearl River Mouth Basin. (a) for Transect AA′; (b) for Transect BB′; (c) for Transect CC′ |
图 4④展示了各剖面地幔热流与海底热流的比值.由图可知地幔热流在海底热流中所占比例由北部陆架向南部陆坡带逐渐递增.地幔热流在地表热流中所占的比例范围在57.0~81.2%之间,剖面AA′、BB′、CC′剖面的平均值分别为71.8%、68.9%、73.1%,均超过海底热流的50%.
对比地壳热流、地幔热流与地表热流,在地壳热流减少的情况下,只有当地幔热流增幅大于地壳热流减幅时才可能形成地表热流自NW向SE逐渐增加的整体趋势.由此反映出盆地海底热流变化不是由地壳中放射性生热所引起,而主要受深部岩石圈减薄、软流圈上涌所致的地幔高热异常控制.
3 深部温度与“热”岩石圈厚度 3.1 计算方法与参数钻孔的深度一般有限,对于无法通过直接测量获得钻孔特定深度温度的情况,可以根据浅部测温资料用间接的方法向深部外推.在研究沉积盆地深部地温时,一般考虑岩石热导率和生热率不随时间和位置变化,在稳态热流状况下的深部温度为
|
(6) |
式中,T0为海底温度,℃;q0为海底热流,mW·m-2;Z为深度,km;K为热导率,W·m-1·K-1.
海底温度T0与海水深度相关,本文海底温度计算公式根据台湾国际海洋研究中心海水温度数据库数据推算而来(Chi and Reed, 2008):
|
(7) |
式中,Zw为水深,m.
当计算层段生热率随深度呈指数分布时,温度计算式为
|
(8) |
式中,Ti为计算层段顶部温度,℃;qi为计算层段顶部热流,mW·m-2;Ai为计算层段顶部生热率初始值,μW·m-3;D为放射性元素富集的特征厚度,km;Zi为计算层段的厚度,km;Ki为计算层段的岩石热导率,W·m-1·K-1.每个构造层的生热率取值见表 1;热导率方面,沉积层取1.73 W·m-1·K-1(饶春涛和李平鲁, 1991),上地壳10 km取2.93 W·m-1·K-1,剩余地壳取2.3 W·m-1·K-1(张健等, 2005; 高翔等, 2012).
在岩石圈的相关研究中,其厚度特征一直以来备受关注,前人基于不同的原理与方法提出了不同意义上的岩石圈厚度,如地震、热、弹性及电性等岩石圈厚度(Artemieva, 2009).实际上,定义岩石圈厚度的许多参数很大程度上都依赖于温度场变化造成的岩石物性的“突变”.因此,“热”岩石圈厚度是最直接也是争议最少的定义方式,并得到了广泛的应用(Pollack and Chapman, 1977; Artemieva and Mooney, 2001; Artemieva, 2009).“热”岩石圈厚度是岩石圈热结构表征的重要参数,是从地热学角度对岩石圈的定义.它是指以热传导方式进行热传递的岩石圈层,该圈层以下是以热对流为主要方式的软流圈(Morgan, 1984).Rudnick等(1998)将地温曲线与干玄武岩固相线或地幔绝热固相线相交的深度定义为热岩石圈底边界,其对应的深度就是“热”岩石圈厚度,以区别于用其他方法确定的岩石圈厚度.在岩石圈内,热传导方式遵循一维热传导方程(式6、式8),根据该方程可以求取岩石圈内地温随深度变化的曲线.通常地热学方法计算的岩石圈厚度误差在15%左右(Pasquale et al., 1990).
本文采用Artemieva和Mooney(2001)提出的如下两条绝热线分别作为“热”岩石圈底面温度的上限(式9)和下限(式10),将其与计算的深部温度曲线相交深度的算术平均值作为计算点的“热”岩石圈厚度(图 5):
|
(9) |
|
(10) |
|
图 5 珠江口盆地“热”岩石圈厚度,以ESP22点计算为例 Fig. 5 Calculation of thermal lithospheric thickness for the Pearl River Mouth Basin, taking site ESP22 as an example |
本文计算得到的莫霍面温度与“热”岩石圈厚度结果见表 2.根据位于珠江口盆地范围内的剖面点(ESP12、ESP13、ESP14、ESP15、ESP24、ESP23、ESP22、ESP9、ESP8、ESP7)计算结果来看,莫霍面温度除了ESP15异常高(915.2 ℃,地表热流高),ESP23点异常低(317.7 ℃,地壳厚度小)外,其他各点的温度介于393.8~798.9 ℃之间,平均573.3 ℃,基本在600 ℃上下波动,与Zhang和Wang (2000a)的计算结果吻合.
|
|
表 2 莫霍面温度与“热”岩石圈厚度计算结果 Table 2 Calculated Moho temperatures and thermal lithosphere thicknesses |
以绝热线T1=1200+0.5Z约束得到的珠江口盆地“热”岩石圈厚度上限为32.6~82.6 km,以T2=1300+0.4Z约束得到的下限为35.4~92.8 km.除了点ESP15计算结果特别薄(平均值为34.0 km)以外,其他各点的“热”岩石圈厚度平均值介于43.2~87.2 km之间.为了讨论珠江口盆地大地热流特征与其热岩石圈厚度的关系,唐晓音等(2014)计算了盆地36口钻井井位处的“热”岩石圈厚度.计算结果表明,盆地“热”岩石圈厚度介于47.6~105 km,与本文由ESP中心点计算得到的结果吻合.
4 讨论与结论中国总体的热结构可以总结为:西北部地区为“冷壳冷幔”,中部地区为“温壳温幔”,西南地区“热壳热幔”,东北地区“冷壳热幔”.Wang (1996)从地热角度将中国大陆划分出5个“热-构造区”:西北区含塔里木、准噶尔和柴达木盆地,西南区以青藏高原为主体,含三江构造带;中部“热-构造区”包括鄂尔多斯、四川盆地和云贵高原的大部分,东部沿秦岭—大别山—线划分成两个区:北部为东北热-构造区,南部为东南热-构造区.为了更详细地描述中国东部地区的岩石圈热结构,何丽娟等(2001)将东部地区由南向北细划为五个热-构造区:1)华南“热-构造区”;2)扬子“热-构造区”;3)华北“热-构造区”;4)西伯利亚“热-构造区”;5)松辽“热-构造区”.其中华南“热-构造区”(包括华南带和浙闽带)地幔热流在50 mW·m-2左右,占地表热流的65%以上,莫霍面温度较高(600~800 ℃),“热”岩石圈厚度较薄,一般小于80 km.从本文的计算结果来看(ESP12、ESP13、ESP14、ESP15、ESP24、ESP23、ESP22、ESP9、ESP8、ESP7),珠江口盆地地幔热流与地表热流的比值平均70.5%;莫霍面温度波动于600 ℃上下;“热”岩石圈厚度值平均65.5 km.以上地热参数结果均表明,珠江口盆地岩石圈热结构具有典型的“冷壳热幔”特征,符合华南“热-构造区”的深部地热特征.
在珠江口盆地及周缘地区,由陆架、陆坡至中央海盆,在地壳热流逐渐减小的情况下地表热流逐渐递增,由此反映出地表热流变化不是由地壳中放射性生热所引起,而主要受深部热作用控制.在南海形成演化过程中,深部高温地幔对大陆边缘产生过强烈的热作用(Zhang and Wang, 2000b),特别是在南海北部大陆边缘地区,地幔热物质不断上涌并熔化附近的岩石,在地壳内形成局部熔融区.壳-幔热流结构(表 2)表明,地壳热流在地表热流中所占比例平均不足30%,说明研究区高热流区可能与地幔底侵、热物质上涌有密切关系,下地壳高速体的广泛存在也证实了这点(Nissen et al., 1995a; 姚伯初, 1998).珠江口盆地位于洋盆边缘,不仅受到较强烈的地幔热作用和地壳向洋一侧的伸展拉薄作用,而且由于其地壳内部具分层流变结构(Yao and Hayes, 1998; Zhang and Wang, 2000b),活动性较强,故表现出明显的向洋一侧地壳热流贡献减少的特点.
热岩石圈与地震岩石圈常常被用来互相对比.地震岩石圈指的是位于低速软流圈之上的高速盖层(Anderson, 1995).就全球来看,两者在某些地区吻合得较好,而在另一些地区差异较大.二者的差异反映了地球上地幔结构本身的特点,其中蕴含着丰富的地球动力学信息.地幔对流数值研究结果指出,固体岩石圈与流体地幔之间并不是一个明显的界面,而存在一个边界层(Jaupart and Mareschal, 1999),也称为流变边界层(Sleep, 2003, 2006).相对于固体岩石圈的纯传导与流体软流圈的纯对流,在流变边界层内热传递的方式是传导与对流共存.流变边界层的存在是造成岩石圈底界差异的重要原因,较小的流变边界层厚度对应着较小的地震/热岩石圈厚度差异(Artemieva, 2009; 何丽娟, 2014).如华北克拉通地震岩石圈与热岩石圈厚度,虽然两者均呈现出由西向东逐渐减薄的趋势,但之间的差值存在变化,在鄂尔多斯盆地最大差异可能达140 km(黄方等, 2015),西部汾渭地堑差异略有降低约64 km(何丽娟, 2014),而华北克拉通东部两者差异最大不到40 km,且向东逐渐减小,靠近郯庐断裂带附近两者差异只有不到10 km.热岩石圈与地震岩石圈底界自西向东的接近,暗示着华北克拉通流变边界层厚度自西向东的减薄.从广州—巴拉望地学断面(断面位置见图 1)(曾维军, 1991)的综合解释结果可知,珠江口盆地地区的地震岩石圈厚度大约为40~65 km,明显小于稳定克拉通的岩石圈厚度,表明珠江口盆地岩石圈曾显著地拉张减薄.用地热学方法确定的该盆地的“热”岩石圈厚度介于34~87.2 km之间,平均65.5 km,相比具有正常“热”岩石圈厚度(约125 km)的鄂尔多斯盆地(焦亚先等, 2013),也反映出显著拉张减薄这一特征.另外,通过对比发现,珠江口盆地的“热”岩石圈厚度与地震岩石圈厚度相差不大,可能暗示着该地区的流变边界层的厚度较小.
致谢 审稿专家对稿件提出了宝贵的修改意见,在此表示衷心感谢!
Anderson D L. 1995. Lithosphere, asthenosphere, and perisphere. Reviews of Geophysics, 33(1): 125-149. DOI:10.1029/94RG02785 |
Anderson R N, Langseth M G, Hayes D E, et al. 1978. Heat flow, thermal conductivity, geothermal gradient. //Hayes D E ed. Geophysical Atlas of the East and Southeast Asian Seas. Boulder, CO: Geological Society of America.
|
Artemieva I M, Mooney W D. 2001. Thermal thickness and evolution of Precambrian lithosphere:A global study. Journal of Geophysical Research:Solid Earth, 106(B8): 16387-16414. DOI:10.1029/2000JB900439 |
Artemieva I M. 2009. The continental lithosphere:Reconciling thermal, seismic, and petrologic data. Lithos, 109(1-2): 23-46. DOI:10.1016/j.lithos.2008.09.015 |
Čermák V. 1989. Crustal heat production and mantle heat flow in Central and Eastern Europe. Tectonophysics, 159(3-4): 195-215. DOI:10.1016/0040-1951(89)90128-5 |
Čermák V, Bodri L. 1991. A heat production model of the crust and upper mantle. Tectonophysics, 194(4): 307-323. DOI:10.1016/0040-1951(91)90300-H |
Chen M X, Xia S G, Yang S Z. 1991. Local geothermal anomalies and their formation mechanisms on Leizhou peninsula, South China. Scientia Geologica Sinica (in Chinese), 26(4): 369-383. |
Chi W C, Reed D L. 2008. Evolution of shallow, crustal thermal structure from subduction to collision:An example from Taiwan. GSA Bulletin, 120(5-6): 679-690. DOI:10.1130/B26210.1 |
Gao X, Zhang J, Sun Y J, et al. 2012. A simulation study on the thermal structure of Manila trench subduction zone. Chinese Journal of Geophysics (in Chinese), 55(1): 117-125. DOI:10.6038/j.issn.0001-5733.2012.01.011 |
Hayes D E, Nissen S S. 2005. The South China sea margins:Implications for rifting contrasts. Earth and Planetary Science Letters, 237(3-4): 601-616. DOI:10.1016/j.epsl.2005.06.017 |
He L J, Hu S B, Wang J Y. 2001. -Thermal structure of lithosphere in the Eastern continental area of China. Progress in Natural Science (in Chinese), 11(9): 966-969. |
He L J. 2014. The Rheological boundary layer and its implications for the difference between the thermal and seismic lithospheric bases of the North China Craton. Chinese Journal of Geophysics (in Chinese), 57(1): 53-61. DOI:10.6038/cjg20140106 |
Huang F, He L J, Wu Q J. 2015. Lithospheric thermal structure of the Ordos Basin and its implications to destruction of the North China Craton. Chinese Journal of Geophysics (in Chinese), 58(10): 3671-3686. DOI:10.6038/cjg20151020 |
Jaupart C, Mareschal J. 1999. The thermal structure and thickness of continental roots. Lithos, 48(1): 93-114. |
Jiao Y X, Qiu N S, Li W Z, et al. 2013. The Mesozoic-Cenozoic evolution of lithospheric thickness in the Ordos basin constrained by geothermal evidence. Chinese Journal of Geophysics (in Chinese), 56(9): 3051-3060. DOI:10.6038/cjg20130918 |
Mi L J, Yuan Y S, Zhang G C, et al. 2009. Characteristics and genesis of geothermal field in deep-water area of the northern South China Sea. Acta Petrolei Sinica (in Chinese), 30(1): 27-32. |
Morgan P. 1984. The thermal structure and thermal evolution of the continental lithosphere. Physics and Chemistry of the Earth, 15: 107-193. DOI:10.1016/0079-1946(84)90006-5 |
Nissen S S, Hayes D E, Bochu Y, et al. 1995a. Gravity, heat flow, and seismic constraints on the processes of crustal extension:Northern margin of the South China Sea. Journal of Geophysical Research:Solid Earth, 100(B11): 22447-22483. DOI:10.1029/95JB01868 |
Nissen S S, Hayes D E, Buhl P, et al. 1995b. Deep penetration seismic soundings across the northern margin of the South China Sea. Journal of Geophysical Research:Solid Earth, 100(B11): 22407-22433. DOI:10.1029/95JB01866 |
Pasquale V, Cabella C, Verdoya M. 1990. Deep temperatures and lithospheric thickness along the European Geotraverse. Tectonophysics, 176(1-2): 1-11. DOI:10.1016/0040-1951(90)90255-7 |
Pollack H N, Chapman D S. 1977. On the regional variation of heat flow, geotherms, and lithospheric thickness. Tectonophysics, 38(3-4): 279-296. DOI:10.1016/0040-1951(77)90215-3 |
Rao C T, Li P L. 1991. Study of heat flow in Pearl River Mouth Basin. China Offshore Oil and Gas (Geology) (in Chinese), 5(6): 7-18. |
Ru K, Pigott J D. 1986. Episodic rifting and subsidence in the South China Sea. AAPG Bulletin, 70(9): 1136-1155. |
Rudnick R L, McDonough W F, O'Connell R J. 1998. Thermal structure, thickness and composition of continental lithosphere. Chemical Geology, 145(3-4): 395-411. DOI:10.1016/S0009-2541(97)00151-4 |
Rybach L, Buntebarth G. 1984. The variation of heat generation, density and seismic velocity with rock type in the continental lithosphere. Tectonophysics, 103(1-4): 335-344. DOI:10.1016/0040-1951(84)90095-7 |
Shi X B, Zhou D, Qiu X L, et al. 2002. Thermal and rheological structures of the Xisha Trough, South China Sea. Tectonophysics, 351(4): 285-300. DOI:10.1016/S0040-1951(02)00162-2 |
Shi X B, Qiu X L, Xia K Y, et al. 2003. Characteristics of surface heat flow in the South China Sea. Journal of Asian Earth Sciences, 22(3): 265-277. DOI:10.1016/S1367-9120(03)00059-2 |
Shi Y L. 1990. Thermal structure of continental lithosphere and its implication. Advance in Earth Sciences (in Chinese), 5(6): 14-23. |
Shyu C T, Hsu S K, Liu C S. 1998. Heat flows off southwest Taiwan:Measurements over mud diapirs and estimated from bottom simulating reflectors. Terrestrial, Atmospheric and Oceanic Sciences, 9(4): 795-812. DOI:10.3319/TAO.1998.9.4.795(TAICRUST) |
Sleep N H. 2003. Survival of Archean cratonal lithosphere. Journal of Geophysical Research:Solid Earth, 108(B6): 2302. DOI:10.1029/2001JB000169 |
Sleep N H. 2006. Mantle plumes from top to bottom. Earth-Science Reviews, 77(4): 231-271. DOI:10.1016/j.earscirev.2006.03.007 |
Tang X Y, Hu S B, Zhang G C, et al. 2014. Characteristic of surface heat flow in the Pearl River Mouth Basin and its relationship with thermal lithosphere thickness. Chinese Journal of Geophysics (in Chinese), 57(6): 1857-1867. DOI:10.6038/cjg20140617 |
Tang X Y, Huang S P, Yang S C, et al. 2016. Correcting on logging-derived temperatures of the Pearl River Mouth Basin and characteristics of its present temperature field. Chinese Journal of Geophysics (in Chinese), 59(8): 2911-2921. DOI:10.6038/cjg20160816 |
Taylor B, Hayes D E. 1983. Origin and history of the South China sea basin. //Hayes D E ed. The Tectonic and Geologic Evolution of Southeast Asian Seas and Islands: Part 2. Washington, DC: American Geophysical Union.
|
Wang J Y, Wang J A. 1986. Mantle heat flow of Liaohe rifted basin in north China. Acta Geophysica Sinica (in Chinese), 29(5): 450-459. |
Wang J Y. 1996. Geothermics in China. Beijing: Seismological Press: 644.
|
Watanabe T, Langseth M G, Anderson R N. 1977. Heat flow in back-arc basins of the western Pacific. //Talwani M, Pitman W C, eds. Island Arcs, Deep Sea Trenches and Back-Arc Basins. . Washington, D. C., AGU, 137-167.
|
Yao B C, Hayes D E. 1998. Lithospheric deformation under the effect of an extensional stress field. Journal of the Geological Society of China, 41(4): 517-534. |
Yao B C. 1998. Crust structure of the northern margin of the South China Sea and its tectonic sigificance. Marine Geology & Quaternary Geology (in Chinese), 18(2): 1-16. |
Yuan Y S. 2007. Tectonic-thermal evolution and source rock's organic maturity history of the deepwater area in the Northern Margin of the South China Sea[Ph. D. thesis] (in Chinese). Beijing: Institute of Geology and Geophysics, Chinese Academy of Sciences. Zeng W J. 1991. Comprehensive study on Guangzhou-Palawan transection. Geological Research of South China Sea (in Chinese), (3): 39-64.
|
Zhang J, Wang J Y. 2000a. The deep thermal characteristic of continental margin of northern South China Sea. Chinese Science Bulletin, 45(18): 1717-1722. DOI:10.1007/BF02898994 |
Zhang J, Wang J Y. 2000b. Geodynamic characteristics of tectonic extension in the northern margin of South China Sea. Science in China Series D:Earth Sciences, 44(5): 437-445. |
Zhang J, Song H B. 2001. The thermal structure of main sedimentary basins in the northern margin of the South China Sea. Journal of Geomechanics (in Chinese), 7(3): 238-244. |
Zhang J, Song H B, Li J B. 2005. Thermal modeling of the tectonic evolution of the southwest subbasin in the South China Sea. Chinese Journal of Geophysics (in Chinese), 48(6): 1357-1365. |
陈墨香, 夏斯高, 杨淑贞. 1991. 雷州半岛局部地热异常及其形成机制. 地质科学, 26(4): 369-383. |
高翔, 张健, 孙玉军, 等. 2012. 马尼拉海沟俯冲带热结构的模拟研究. 地球物理学报, 55(1): 117-125. DOI:10.6038/j.issn.0001-5733.2012.01.011 |
何丽娟, 胡圣标, 汪集旸. 2001. 中国东部大陆地区岩石圈热结构特征. 自然科学进展, 11(9): 966-969. DOI:10.3321/j.issn:1002-008X.2001.09.013 |
何丽娟. 2014. 流变边界层及其对华北克拉通热/地震岩石圈底界差异的意义. 地球物理学报, 57(1): 53-61. DOI:10.6038/cjg20140106 |
黄方, 何丽娟, 吴庆举. 2015. 鄂尔多斯盆地深部热结构特征及其对华北克拉通破坏的启示. 地球物理学报, 58(10): 3671-3686. DOI:10.6038/cjg20151020 |
焦亚先, 邱楠生, 李文正, 等. 2013. 鄂尔多斯盆地中-新生代岩石圈厚度演化-来自地热学的证据. 地球物理学报, 56(9): 3051-3060. DOI:10.6038/cjg20130918 |
米立军, 袁玉松, 张功成, 等. 2009. 南海北部深水区地热特征及其成因. 石油学报, 30(1): 27-32. DOI:10.3321/j.issn:0253-2697.2009.01.005 |
饶春涛, 李平鲁. 1991. 珠江口盆地热流研究. 中国海上油气(地质), 5(6): 7-18. |
石耀霖. 1990. 大陆岩石圈的热结构及其意义. 地球科学进展, 5(6): 14-23. |
唐晓音, 胡圣标, 张功成, 等. 2014. 珠江口盆地大地热流特征及其与热岩石圈厚度的关系. 地球物理学报, 57(6): 1857-1867. DOI:10.6038/cjg20140617 |
唐晓音, 黄少鹏, 杨树春, 等. 2016. 南海珠江口盆地钻井BHT温度校正及现今地温场特征. 地球物理学报, 59(8): 2911-2921. DOI:10.6038/cjg20160816 |
汪集旸, 汪缉安. 1986. 辽河裂谷盆地地幔热流. 地球物理学报, 29(5): 450-459. DOI:10.3321/j.issn:0001-5733.1986.05.004 |
姚伯初. 1998. 南海北部陆缘的地壳结构及构造意义. 海洋地质与第四纪地质, 18(2): 1-16. |
袁玉松. 2007. 南海北部陆缘深水区构造-热演化与烃源岩成熟度史研究[博士论文]. 北京: 中国科学院地质与地球物理研究所. http://www.wanfangdata.com.cn/details/detail.do?_type=degree&id=Y1626246
|
曾维军. 1991. 广州-巴拉望地学断面综合研究. 南海地质研究, (3): 39-64. |
张健, 宋海斌. 2001. 南海北部大陆架盆地热结构. 地质力学学报, 7(3): 238-244. DOI:10.3969/j.issn.1006-6616.2001.03.007 |
张健, 宋海斌, 李家彪. 2005. 南海西南海盆构造演化的热模拟研究. 地球物理学报, 48(6): 1357-1365. DOI:10.3321/j.issn:0001-5733.2005.06.019 |
2018, Vol. 61

