2. 中国科学院大学地球科学学院, 北京 100049
2. College of Earth Science, University of Chinese Academy of Sciences, Beijing 100049, China
在地球大气中间层顶和低热层区域内(80~110 km)存在着金属原子层, 主要有锂、钠、钾、钙、铁等元素的原子(Jegou et al., 1980; Plane, 1991; von Zahn and Höffner, 1996; Gerding et al., 2000; Gardner, 2004; Gardner et al., 2011).金属原子作为示踪物可以用来反演中层顶区域的大气温度和风场(Bills et al., 1991a, b; She et al., 1991; She and Yu, 1994), 研究重力波、潮汐波等大气动力学过程(Yuan et al., 2008; Yang et al., 2006, 2010), 探索中高层大气中性成分和电离层等离子体之间的耦合机制(Tsuda et al., 2015; Friedman et al., 2013; Chu et al., 2011).
荧光激光雷达是大气金属原子层探测的主要手段.Eska等(1998)利用窄线宽钾层测温激光雷达对德国Kühlungsborn(54°N)上空的钾层进行了长达一年的观测, 并首次给出了钾层的季节变化特征.随后, Eska等(1999)比照钠层模型的方法, 建立了第一个钾层模型, 并与观测结果进行了详细的比较.Plane等(2014)在全大气层气候模型(Whole Atmosphere Community Climate Model, 简称WACCM)的构架下, 更新了各含钾成分之间的化学反应及相应的反应速率, 建立了最新的WACCM-K模型, 可以很好地解释钾层夏季极大、春秋极小的季节变化特征.钾层模型的建立和不断完善对中高层大气金属层的研究具有积极地促进作用.
本文首先介绍了钾层静态模型的组成和结构, 详细的阐述了模型的建立过程, 并对模型的输入参数进行了说明; 然后给出了钾层静态模型的模拟结果, 并与北京上空钾层的观测数据进行了比较; 最后讨论了钾层模拟与观测之间的差异, 提出了钾层静态模型需要改进的方向.
1 钾层静态模型的建立钾层静态模型由动力学和化学两部分组成, 动力学部分控制总含钾成分的垂直分布, 化学部分决定不同高度处各种含钾成分的浓度.钾层静态模型中的源和汇分别是流星烧蚀和大气沉降.并且不同高度处的各种含钾成分之间的化学反应是闭合的, 即不产生和消耗总含钾成分.
动力学部分, 总含钾成分数密度nK满足连续方程:
|
(1) |
其中IK是由流星烧蚀所产生的总含钾成分的注入速率, ΦK是总含钾成分的垂直扩散通量.在长时间平均的条件下, 方程(1)两边均等于零, 则:
|
(2) |
对方程(2)两边在高度上进行积分, 可得:
|
(3) |
即某高度处的垂直扩散通量为流星注入速率在此高度往上的积分.
中层顶区域的大气中主要的含钾成分有K、KO、KO2、KOH、KHCO3、K+、K+·O、K+·O2、K+·N2、K+·CO2、K+·H2O 11种物质, 对于每一种含钾成分均受到相同的涡旋扩散作用.假设不同高度处的化学反应达到平衡时的时间尺度远小于垂直输送达到平衡的时间尺度.则总含钾成分的垂直扩散通量满足涡旋扩散方程(Eska et al., 1999):
|
(4) |
其中Ke是涡旋扩散系数, T是大气温度, H是大气分子数密度标高, 公式为
|
(5) |
其中na是大气分子数密度, 公式为
|
(6) |
其中ρ是大气密度, M是平均大气分子的摩尔质量, NA是阿伏伽德罗常量.
将方程(6)代入到方程(5)中, 并取倒数, 公式为
|
(7) |
又因为:
|
(8) |
并且在中层顶区域内有:
|
(9) |
因此得:
|
(10) |
将方程(10)代入到方程(4)中, 并移项、整理可得:
|
(11) |
其中

|
(12) |
当z=z0时有:
|
(13) |
即nK(z0)是钾层底部高度z0处的总含钾成分数密度.又因为:
|
(14) |
其中T0和ρ0分别为在z0处的大气温度和密度.
将方程(14)代入到方程(12)中, 可得:
|
(15) |
将nK(z0)从方程右边括号内提出可得:
|
(16) |
设:
|
(17) |
因此方程(16)可写为
|
(18) |
由此我们可以计算出总含钾成分数密度nK随高度的变化曲线.
化学部分, 不同的含钾成分之间发生复杂的化学反应过程, 如图 1所示.化学反应由中性反应和离子反应两部分组成.中性反应中, K、KO和KO2在H、O、O2和O3的作用下可以互相转化.KO可与H2或H2O分别反应生成KOH, KOH可与CO2反应生成KHCO3.KOH和KHCO3可以分别和H反应生成K.离子反应中, K可以与NO+或O2+反应生成K+, K+又分别与O、O2、N2、CO2、H2O反应生成相应的K+·O、K+·O2、K+·N2、K+·CO2、K+·H2O.图 1中K+·X表示K+·O、K+·O2和K+·N2, 其中任意两者可以互相转化.K+·X、K+·CO2、K+·H2O再获得e-生成K, 形成闭合循环.此外, K+·X可与CO2反应生成K+·CO2; K+·X和K+·CO2可与H2O反应生成K+·H2O, 具体的化学反应方程式参见表 1和Plane等(2014)的文献.
|
图 1 钾层静态模型中各含钾成分之间的化学反应 Fig. 1 Schematic diagram of potassium chemistry in the model |
|
|
表 1 钾层静态模型中的化学反应 Table 1 Chemical reactions in the potassium model |
中层顶区域的大气中主要有11种含钾成分, 对于其中任一种含钾成分A(k)而言, 作为生成物的化学反应有I个, 其化学反应速率分别为P(i), 每个化学反应有M个反应物, 其浓度分别为X(m); 作为反应物的化学反应有J个, 其化学反应速率分别为Q(j), 每个化学反应有N个反应物, 其浓度分别为Y(n).在每个高度处, 各化学反应达到平衡时, 即作为反应物的消耗速率等于作为生成物的产生速率, 化学平衡方程为
|
(19) |
因此对应不同的含钾成分一共可列出11个化学平衡方程.
具体的, 对于K, 有:
|
(20) |
对于KO, 有:
|
(21) |
对于KO2, 有:
|
(22) |
对于KOH, 有:
|
(23) |
对于KHCO3, 有:
|
(24) |
对于K+, 有:
|
(25) |
对于K+·O, 有:
|
(26) |
对于K+·O2, 有:
|
(27) |
对于K+·N2, 有:
|
(28) |
对于K+·CO2, 有:
|
(29) |
对于K+·H2O, 有:
|
(30) |
其中Rx是表 1中第x个化学反应的反应速率, x表示化学反应的序号; nW表示W的数密度, W表示参与反应的物质.需要指出的是nKatom为钾原子的数密度, ne是电子e-的数密度.
若将以上11个化学平衡方程相加求和, 则可得到恒等式0=0, 故这11个方程是线性相关的, 存在无穷多个非零解.又因为钾层静态模型中的化学反应是闭合的, 既不产生也不消耗总含钾成分, 所以从11个线性相关的方程组中任意选取10个, 再结合动力学部分得到的总含钾成分数密度nK, 可列出:
|
(31) |
即:
|
(32) |
共同构成十一元一次线性非齐次方程组, 若存在唯一的非零解, 即可得到每一种含钾成分随高度分布的曲线.
2 钾层静态模型的输入参数钾层静态模型的建立需要大量的输入参数.其中包括70 ~110 km范围内总含钾成分的注入速率, 涡旋扩散系数, 大气温度和大气密度, 以及大气中H、O、O2、O3、H2O、H2、CO2、N2、NO+、O2+、e-11种成分的数密度.此外, 还需要表 1中各化学反应在不同温度下的化学反应速率.
利用方程(18)和(17)计算总含钾成分nK随高度变化的曲线时, 需要流星烧蚀过程中的总含钾成分注入速率曲线IK和涡旋扩散系数曲线Ke, 二者可以从文献(Eska et al., 1999)中得到; 还需要大气温度和大气密度, 可由NRLMSISE-00(United States Naval Research Laboratory Mass Spectrometer and Incoherent Scatter Radar Exosphere)大气模式提供.
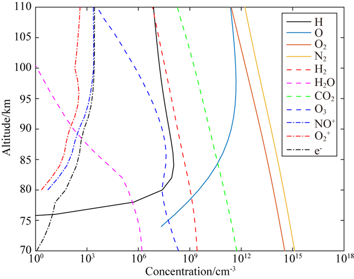
在钾层静态模型的化学部分中, 含钾成分与大气中的H、O、O2、O3、H2O、H2、CO2、N2、NO+、O2+、e- 11种成分发生反应, 故需要提供这11种大气成分的浓度随高度变化曲线.由于实测数据很难满足要求, 所以我们采用大气模型的输出结果.利用NRLMSISE-00大气模型获取H、O、O2、N2的数据, 利用WACCM获取H2、H2O、CO2、O3的数据, 以及利用IRI-2007(International Reference Ionosphere)模型获取NO+、O2+、e-的数据, 其结果如图 2所示.此外, 各种含钾成分之间互相转化的化学反应速率可以参考Plane等(2014)的文献中的表 1.
|
图 2 北京上空各大气成分夜间年平均浓度随高度变化曲线 Fig. 2 Nocturnal annual mean concentration of atmospheric versus altitude over Beijing |
根据以上的内容, 钾层静态模型已初步建立, 并且能够模拟出75~105 km区间内各主要含钾成分随高度变化曲线, 其结果如图 3所示.将此模拟结果与Eska等(1999)的文献中图 9相比较, 具有较好的一致性.
|
图 3 各主要含钾成分的浓度随高度变化曲线 Fig. 3 Concentrations of main potassium compositions versus altitude |
在90km以上的区域内, 钾原子的浓度随高度的增加而降低, 同时钾离子的浓度逐渐升高.在此区域内除了含有K+以外, 还有K+·O、K+·O2、K+·N2、K+·CO2、K+·H2O等多种离子, 但其含量很低, 故没有在图 3中表示出来.虽然这些离子的浓度很低, 但却在复杂的化学反应中起到了重要的作用, 是K+转化成K的过程中不可或缺的中间产物.其过程为
K++Y(+M) → K+·Y, K+·Y+e-→K+Y,
其中Y=O、O2、N2、CO2、H2O、M为大气分子.
在90 km以下的区域内, 钾原子的浓度随高度的降低而减小, KHCO3的浓度则迅速增加.特别是在85 km以下, KHCO3成为最主要的含钾成分.此外, 在钾层的下部还含有一定的KO2和少量的KOH.在更低的高度下, 所有的含钾成分均转化成KHCO3, 并随着大气运动沉降到低层大气中.
4 讨论我们利用子午工程北京延庆钠钾同时探测激光雷达的观测结果, 分析了2013年5月至2014年4月间的钾层数据, 给出了北京上空夜间钾层的年平均变化曲线, 并将其与钾层静态模型的模拟结果相比较, 如图 4所示.其比较结果虽然并不完全吻合, 但钾层静态模型基本模拟出了钾原子的空间分布和变化趋势, 并且在钾层的中部具有较好的一致性.
|
图 4 钾层静态模型的模拟结果与北京上空年平均钾层的比较 Fig. 4 Comparison between simulation result of the potassium model and average potassium layer over Beijing |
如表 2所示, 将钾层静态模型的模拟结果和北京上空夜间年平均观测数据进行详细的比较.峰值密度的模拟值与观测值最接近, 每立方厘米只相差0.1个钾原子.模拟的柱密度和RMS宽度比观测值分别小了1.0×107 cm-2和0.6 km, 而质心高度却比观测值大了0.6 km.从相对差值的角度来分析, 峰值密度和质心高度的模拟结果与观测仅相差0.2%和0.7%, 但在柱密度和RMS宽度两方面却相差了14.9%和12.5%, 仍然存在较大的提升空间.
|
|
表 2 钾层静态模型与观测结果的详细比较 Table 2 Detailed comparison of observations with simulations for the potassium layer |
钾层静态模型的模拟结果与观测值之间最主要的差别来自于钾层的下部, 其原因可能是两个方面造成的.一方面, 控制钾层下部的化学反应以中性反应为主, 而有些中性反应的化学反应速率是根据有关跃迁状态的电子结构而估算出来的, 并非实验测得的, 例如:
|
以上化学反应的化学反应速率均为2×10-10exp(-120/T), 其中T为温度.若适当地调整其中一个或多个化学反应速率, 应该可以获得更好的模拟结果.另一方面, 我们处理钾层观测数据时发现了一种特殊的现象, 即钾层的下部钾原子数密度异常增加, 质心高度明显下降的现象, 并且此现象在冬季的发生率很高.而目前的钾层静态模型尚不能对此类的特殊现象进行模拟和分析, 所以也会导致模拟和观测之间的具有一定差别.
Wang等(2017)报道了北京上空钾层具有明显的半年变化周期, 钾原子浓度冬夏极大, 春秋极小.而当前的钾层静态模型只能大致的模拟出钾层的形态特征, 以及分析钾层的变化是受到哪些动力学和化学过程的影响, 尚不能对钾层进行动态模拟.若想通过此模型分析和模拟钾层的季节变化特征, 则需要更加深入的研究.
5 结论本文详细的描述了钾层静态模型的建立方法和输入参数, 有效的模拟出了钾原子随高度变化的分布特征.本模型输出的各主要含钾成分随高度变化的曲线与Eska等(1999)的模型具有较好的一致性.并将钾层静态模型的模拟结果与北京上空夜间钾层的年平均曲线相比较, 模拟的峰值密度和质心高度与观测值仅相差0.2%和0.7%, 但模拟的柱密度和RMS宽度却比观测值明显偏小.钾层静态模型的初步建立为研究大气金属层的特性和演化规律提供了有力的支撑.
致谢感谢国家重大科技基础设施项目子午工程科学数据中心(主页:http://www.meridianproject.ac.cn/)为本文提供的数据, 感谢评审专家提出的建议和编辑给予的帮助.
Bills R E, Gardner C S, Franke S J.
1991a. Na Doppler/temperature lidar:initial mesopause region observations and comparison with the Urbana medium frequency radar. Journal of Geophysical Research-Atmospheres, 96(D12): 22701-22707.
DOI:10.1029/91jd02206 |
|
Bills R E, Gardner C S, She C Y.
1991b. Narrowband lidar technique for sodium temperature and Doppler wind observations of the upperatmosphere. Opt.Eng., 30(1): 13-21.
DOI:10.1117/12.55765 |
|
Chu X Z, Yu Z B, Gardner C S, et al.
2011. Lidar observations of neutral Fe layers and fast gravity waves in the thermosphere(110-155 km) at McMurdo(77.8°S, 166.7°E), Antarctica. Geophys.Res.Lett., 166: L23807.
DOI:10.1029/2011gl050016 |
|
Eska V, Höffner J, Von Zahn U.
1998. Upper atmosphere potassium layer and its seasonal variations at 54°N. Journal of Geophysical Research, 103(A12): 29207-29214.
DOI:10.1029/98ja02481 |
|
Eska V, Von Zahn U, Plane J M C.
1999. The terrestrial potassium layer(75-110 km) between 71°S and 54°N:Observations and modeling. Journal of Geophysical Research-Space Physics, 104(A8): 17173-17186.
DOI:10.1029/1999ja900117 |
|
Friedman J S, Chu X Z, Brum C G M, et al.
2013. Observation of a thermospheric descending layer of neutral K over Arecibo. J.Atmos.Sol.-Terr.Phys., 104: 253-259.
DOI:10.1016/j.jastp.2013.03.002 |
|
Gardner C S.
2004. Performance capabilities of middle-atmosphere temperature lidars:comparison of Na, Fe, K, Ca, Ca+, and Rayleigh systems. Appl.Opt., 43(25): 4941-4956.
DOI:10.1364/ao.43.004941 |
|
Gardner C S, Chu X Z, Espy P J, et al.
2011. Seasonal variations of the mesospheric Fe layer at Rothera, Antarctica(67.5°S, 68.0°W). Journal of Geophysical Research-Atmospheres, 116: D02304.
DOI:10.1029/2010jd014655 |
|
Gerding M, Alpers M, Von Zahn U, et al.
2000. Atmospheric Ca and Ca+ layers:Midlatitude observations and modeling. J.Geophys.Res.-Space Phys., 105(A12): 27131-27146.
DOI:10.1029/2000ja900088 |
|
Jegou J P, Chanin M L, Mégie G, et al.
1980. Lidar measurements of atmospheric lithium. Geophys.Res.Lett., 7(11): 995-998.
DOI:10.1029/GL007i011p00995 |
|
Plane J M C.
1991. The chemistry of meteoric metals in the earth's upperatmosphere. Int.Rev.Phys.Chem., 10(1): 55-106.
DOI:10.1080/01442359109353254 |
|
Plane J M C, Feng W, Dawkins E, et al.
2014. Resolving the strange behavior of extraterrestrial potassium in the upper atmosphere. Geophys.Res.Lett., 41(13): 4753-4760.
DOI:10.1002/2014gl060334 |
|
She C Y, Yu J R.
1994. Simultaneous three-frequency Na lidar measurements of radial wind and temperature in the mesopause region. Geophys.Res.Lett., 21(17): 1771-1774.
DOI:10.1029/94gl01417 |
|
She C Y, Yu J R, Huang J W, et al.
1991. Na temperature lidar measurements of gravitywave perturbations of wind, density and temperature in the mesopause region. Geophys.Res.Lett., 18(7): 1329-1331.
DOI:10.1029/91gl01517 |
|
Tsuda T T, Chu X, Nakamura T, et al.
2015. A thermospheric Na layer event observed up to 140km over Syowa Station(69.0°S, 39.6°E) in Antarctica. Geophys.Res.Lett., 42(10): 3647-3653.
DOI:10.1002/2015gl064101 |
|
Von Zahn U, Höffner J.
1996. Mesopause temperature profiling by potassium lidar. Geophys.Res.Lett., 23(2): 141-144.
DOI:10.1029/95gl03688 |
|
Wang Z L, Yang G T, Wang J H, et al.
2017. Seasonal variations of meteoric potassium layer over Beijing(40.41°N, 116.01°E). Journal of Geophysical Research:Space Physics, 122(2): 2106-2118.
DOI:10.1002/2016JA023216 |
|
Yang G T, Clemesha B, Batista P, et al.
2006. Gravity wave parameters and their seasonal variations derived from Na lidar observations at 23°S. Journal of Geophysical Research-Atmospheres, 111(D21): D21107.
DOI:10.1029/2005jd006900 |
|
Yang G T, Clemesha B, Batista P, et al.
2010. Seasonal variations of gravity wave activity and spectra derived from sodium temperature lidar. Journal of Geophysical Research-Atmospheres, 115: D18104.
DOI:10.1029/2009jd012367 |
|
Yuan T, Schmidt H, She C Y, et al.
2008. Seasonal variations of semidiurnal tidal perturbations in mesopause region temperature and zonal and meridional winds above Fort Collins, Colorado(40.6°N, 105.1°W). Journal of Geophysical Research-Atmospheres, 113(D20): D20103.
DOI:10.1029/2007jd009687 |
|
2018, Vol. 61

