2. 澳门科技大学月球与行星科学实验室-中国科学院月球与深空探测重点实验室伙伴实验室, 澳门;
3. 中国科学院地质与地球物理研究所, 北京 100029
2. Lunar and Planetary Science Laboratory, Macau University of Science and Technology-Partner Laboratory of Key Laboratory of Lunar and Deep Space Exploration, Chinese Academy of Sciences, Macau, China;
3. Institute of Geology and Geophysics, Chinese Academy of Sciences, Beijing 100029, China
地向高速流携带的能量和磁通量传输在磁尾处亚暴活动期间非常重要(Angelopoulos et al., 1994;Cao et al., 2006, 2008, 2013;Huang et al., 2012b, 2015a, 2015b), 磁尾中低密度泡状等离子体可产生爆发性高速流事件(BBFs)(Shiokawa et al., 1997;Nakamura et al., 2011), 其前端物理量变化剧烈, 磁场Bz分量增加, 该结构被称为偶极化锋面.偶极化锋面上存在较大的电流, 与其前部和高速流刹车区域内的磁通量堆积有关(Hwang et al., 2011;Ge et al, 2011;Huang et al., 2012a, 2015b, 2015c;Fu et al., 2012a, 2012c;Zhou et al., 2014a).
尽管数值模拟和观测对偶极化锋面已有较多研究, 但到目前为止, 对锋面的形成机制尚不完全清楚.在射流刹车区域由高速流和等离子体间强相互作用触发的交换/气球膜不稳定性是一种可行的偶极化锋面生成机制(Pritchett and Coroniti, 2010;Guzdar et al., 2010;Lapenta and Bettarini, 2011;Lu et al., 2013).交换不稳定性可解释磁尾中的许多基本等离子体过程, 由其引起的浮力效应将使得磁尾远处的等离子体密度降低, 可用于解释BBFs的形成过程(Chen and Wolf, 1993.当地向高速流接近地球时, 在刹车区域(-10RE)由于热压增加和磁曲率力的减少而形成的共同作用, 浮力效应会产生交换不稳定性, 在其地向头部产生偶极化锋面(Nakamura et al., 2009;Zhou et al., 2009).Guzdar等(2010)利用理想MHD模拟再现了由交换不稳定性产生偶极化锋面, 很好地解释了偶极化锋面的周期性特征.然而, 观测结果表明典型偶极化锋面的厚度与离子惯性长度相当, 而且锋面处物理量的关键特征亦出现在离子惯性长度(或离子Larmor半径)级别的微小尺度内的特性(Runov et al., 2009;Huang et al., 2012a, Hwang et al., 2011).因此, 只有通过考虑离子动力学效应的自洽数值模型才能获取到偶极化锋面的关键特征.PIC和混合处理方法相较于MHD/Hall MHD处理方法具有更大的优势自洽地确定交换波长.Nakamura等(2002)研究了重联耗散区在几个地球半径的波长情况下的交换不稳定性, 给出了磁尾中BBFs的形成与交换不稳定性的相关性.Pritchett等(2014)通过PIC数值模拟研究了一个地球半径波长情况下的动力学气球膜/交换不稳定性.然而受限于空间分辨率, PIC和混合模拟难以精确捕捉锋面的特征结构, 以及基于动力学效应的等离子体过程.Lu等(2013)提出了一个包含Hall效应和有限Larmor回旋半径(FLR)效应的动力学MHD模型, 结合Guzdar等磁尾中交换不稳定性的初始模型, 自洽地通过数值模拟再现偶极化锋面.Lu等(2013)的模型考虑不同的等离子体动力学效应, 从而更容易地解释每个动力学效应的物理特性, 这相比更复杂的PIC或混合方法具有优势.该模型自洽地重现了离子惯性长度下偶极化锋面的电性结构, 并能够解释在离子回旋半径尺度的等离子体流迁移及偶极化锋面的大尺度晨昏漂移.
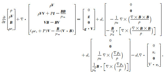
1 MHD方程及数值算法多个偶极化锋面被认为可由磁尾中的交换不稳定性产生.然而观测结果证明单流体MHD模型不适用于研究偶极化锋面的动力学结构.在构建模型方程时应该考虑诸如Hall效应和FLR效应等反应等离子体小尺度结构的效应.本文构建了二维考虑Hall效应和FLR效应的扩展MHD模型方程, 在考虑有效重力的情况下(Rosenbluth and Longmire, 1957;Guzdar et al., 2010), 无量纲形式的扩展MHD方程可写为
|
(1) |
在公式(1)中, P=p+B2/2μ0, et=V2/2+p/ρ(γ-1)+B2/2ρμ0, g=[βρgx/2, 0, 0]T, β为β等离子体beta数, gx为X方向的有效重力, pe为电子压力, di为无量纲离子惯性长度.本文中绝热指数γ=5/3.公式(1)右边的第三和第四项来自广义欧姆定律中的Hall项和电压力梯度(EPG)项, 表达形式为
|
(2) |
其中E和J分别为电场强度和电流, n为等离子体数密度, e为电子电荷.电场主要对流电场(-V×B), Hall电场(J×B/ne)和EPG电场(-∇pe/ne)等三部分组成.
在公式(1)中, 回旋黏性张量πi由下式给出:
|
(3) |
|
(4) |
其中pi是离子热压, B是磁场大小.Vx和Vy为速度分量.总热压p由离子和电子的热压组成, 即p=pi+pe.
二维扩展MHD方程可以用通量矢量形式简单地写成
|
(5) |
一般曲线坐标系(ξ, η)下公式(5)可写为
|
(6) |
其中

模型方程组的有限差分法将采用分裂算法, 计算沿i, j方向分别进行, 从而简化了计算过程.采用Harten(1983)的二阶迎风TVD格式进行求解.
2 初始条件在近地区域的爆发性高速流由于尾向阻力作用而停止, 该阻力与尾向压力梯度和地向磁曲率力有关.本文考虑交换不稳定性平衡初始条件, 以等离子体压力、磁场力和有效引力之间的平衡关系建立初始平衡态.等离子体密度ρ和磁场Bz分量沿x方向的初始分布可用如下分布
|
其中, ρL是近地侧的等离子体密度, ρR是远地侧的等离子体密度, A是常数, 用来维持磁场Bz分量为正.无量纲离子惯性长度可表达为di=(mi/μ0e2Z2L2ni)1/2, 在该尺度下电子运动与离子运动分离.在典型的质子密度ni=0.2/cm3时, di=500/L.本文参考长度取为L=1 RE, 此时无量纲离子惯性长度近似为di≈0.1.根据之前的观测结果(Baumjohann et al., 1989), 质子和电子的温度比Tp/Te =5, 从而pe=p/6, pi=5p/6.
本文在y方向采用较大波数(ky»1)的正弦形式扰动, 在x和y方向的模拟区域长度分别4 RE和3 RE.在x和y方向的网格单元数分别为301和201.
3 数值结果为了研究Hall效应和FLR效应对交换不稳定性产生偶极化锋面上电磁系统特性演化的影响, 我们研究了表 1所示的三个数值算例, 用IMHD、HMHD和HFMHD来分别表示理想MHD算例、Hall MHD算例和Hall & FLR MHD算例.
|
|
表 1 数值算例 Table 1 Numerical cases |
在三个不同算例情况下在t=50时刻密度的分布如图 1所示, 可以看出交换不稳定性产生一个地向传播的低密度流道, 从而产生地向高速流.
|
图 1 在t=50时刻三种不同算例情况下等离子体密度的分布 Fig. 1 Profiles of plasma density for the three cases at t=50 |
图 2给出了地向传播的低密度泡状等离子体结构和尾向传播的高密度等离子体团之间的速度漩涡.为了方便观察其结构的演化, 图中显示了两个周期的演化图像.Hwang等(2011)利用Cluster卫星观测数据研究了中心电流片处的周期性偶极化锋面, 发现沿尾向传播的磁场Bz分量平缓增加.由图 2可看出交换不稳定性也可产生尾向传播的偶极化锋面.另外, 由于两个“蘑菇”结构在相反的流动方向上有很强的速度剪切, 紧随其后的Kelvin-Helmholtz不稳定性将导致等离子体“卷动”.
|
图 2 算例HFMHD在t=50时两个周期的速度分布 Fig. 2 Velocity distribution at t=50 for the HFMHD case |
由于偶极化锋面对粒子加速起着重要作用, 研究偶极化锋面上的电场结构具有重要意义(Fu et al., 2011, 2013).图 3给出了在HFMHD情况下, 电场Ex分量在y=-0.85处电场及其分量沿着x方向的分布, 可见总电场主要是由偶极化锋面上的Hall电场产生, 而对流电场和电子压力梯度电场对总电场的贡献很小, 因此在偶极化锋面上磁场冻结条件被破坏.在偶极化锋面后的通量堆积区内, 电场E与对流电场-V×B近似相等, 这意味着该处满足磁场冻结条件.
|
图 3 HFMHD情况下电场强度及其分量在y=-0.85时沿着x方向的分布 Fig. 3 Profiles of electric field and its ingredients along x axis at y=-0.85 for the HFMHD case |
Fu等(2012b)研究表明, 偶极化锋面属于切向间断.为了证明锋面的切向间断特性, 本文在偶极化锋面上选定两个点计算等离子体速度, 给出分布以捕获偶极化锋面的位置.通过在不同时刻追踪偶极化锋面上的各个点, 可以得到偶极化锋面的速度.为了便于比较, 图像沿X方向进行了拉伸, 如图 4所示.本文选择了t1=49.9, t2=50.3两个时刻, 此时Δt=0.4.在偶极化锋面的日下点, 即图 4a所示的A点, 两个前进时刻间日下点的位移Δx=0.2099, 由此可得日下点的法向速度是VDF=0.052475, 这与日下点处等离子体流速的Vx分量近似相等, 即Vx=-0.0527212.点B处在偶极化锋面的侧翼, 定义此处θ为偶极化锋面的切线与X轴的夹角, θ=29.66°.可在不同时刻测定锋面上具有相同切线的位置, 正如图 4b中所标示的那样, 由此即可得到B点速度的x和y向分量.法向速度分量可由VDFn=VDFycosθ-VDFxsinθ=0.02274计算.B点处等离子体流动的法向分量亦可由Vn=Vycosθ-Vxsinθ=0.02298得出.由此可见, 偶极化锋面保持了切向间断的特性.
|
图 4 在HFMHD情况下的分布 (a) A点; (b) B点. Fig. 4 Profile of for the HFMHD case (a) A point; (b) B point. |
Lu等(2013)给出的图 1a和1b表明, Hall电场与沿偶极化锋面切向增加的电流密度有关, 且对偶极化锋面上电场的产生做主要贡献.事实上, 离子速度可依照表达式V=(miVi+meVe)/(mi+me)≈Vi近似取均值, 而电子速度可由电流密度和离子速度确定, 即Ve=Vi-diJ/n.图 5和图 6给出了离子速度和电子速度的矢量场分布, 偶极化锋面上的电子运动对电流密度做主要贡献, 且严格遵守电场漂移E×B.偶极化锋面的地向传播与Hall效应引起的电子流速度强扰动有关.
|
图 5 HMHD情况下离子速度矢量场分布 Fig. 5 Vector field distribution of ion velocity for the HMHD case |
|
图 6 HMHD情况下电子速度矢量场分布 Fig. 6 Vector field distribution of electron velocity for the HMHD case |
由电流密度表达式可得, J=n(Vi-Ve)/di, 可以看到, 偶极化锋面法线方向上出现了由离子运动(图 7中粉色箭头)产生的较小的电流密度分量(如图 7中蓝色箭头), 而该法向电流密度分量在磁场作用下产生了一个沿偶极化锋面切平面的洛伦兹力分量(如图 7中绿色箭头), 这使得交换不稳定性“蘑菇型”分布不对称.
|
图 7 由Hall效应产生的沿偶极化锋面切平面的洛伦兹力 Fig. 7 Lorentz force due to Hall effect along the tangent plane of the DF |
本文模型考虑了FLR效应的影响, 旨在描述由单个带电粒子在磁场中的回转运动所产生的效应.偶极化锋面的晨昏不对称现象可由Zhou等(2014)和Pan等(2015)提出的离子在偶极化锋面上的加速和反射过程来解释, 是由偶极化锋面内部反射离子回旋的有限回旋半径效应引起的.在本文所采用的扩展MHD方程组模型下, FLR效应导致了整个流动结构的漂移.FLR效应可由动量方程中的离子应力张量回转粘性分量给出, “回旋粘性消除”相关的离子速度量减去来对流加速度ρV·∇V, 可定义离子磁化速度V*.因此, 流体方程的左侧便可随后表为如下的形式:
|
其中V*=-∇×(pB/B2)/ρ.定义Vdiam=(B×∇p)/ρB2和Vdriftmag=-p∇×(B/B2)/ρ, 分别为离子抗磁速度和磁场旋度引起的漂移速度, 满足V*=Vdiam+Vdriftmag.回旋运动速度出现在偶极化锋面上, 主要由离子抗磁速度贡献, 在锋面上沿着切线方向, 在日下点处该速度为昏向(Lu et al., 2015).因此, 由于耗散回旋粘性力∇·πi使得y方向对流加速度消失, 从而导致了大尺度结构的漂移运动.
偶极化锋面上回旋运动速度V*指向昏侧, 因此离子抗磁速度指向昏侧, 与整个结构的漂移运动方向相反(Lu et al., 2015).为了证实晨向漂移运动是由FLR效应所引起的, 本文给出了不同y坐标位置上y方向速度分量沿着x方向的分布, 如图 8所示.从图 8b可以看出由于FLR效应的影响, Vy速度分量在偶极化锋面上明显减, 而在锋面后的区域增加, 因此导致整个“蘑菇”结构晨向漂移.这与Ferraro等的数值模拟结果一致, 也就是说FLR效应将导致结构的晨向漂移(如Ferraro and Jardin(2006)等的图 5d, 在其模拟坐标中正x方向即为本文晨向).
|
图 8 算例HMHD和HFMHD在不同y坐标位置上y方向速度分量沿着x方向的分布 (a)选取的位置; (b) y方向速度分量分布. Fig. 8 Comparison of variation of the Vy component along the x direction on the five selected lines between the HMHD and HFMHD cases (a) Selected five lines; (b) Velocity profile. |
本文采用了考虑Hall效应和有限Larmor回旋半径(FLR)效应的扩展MHD方程组, 在离子惯性长度/离子回转半径的尺度下研究了在近地区域由交换不稳定性产生的偶极化锋面的动力学性质.数值模拟结果表明交换不稳定性产生地向高速运动的低密度流动通道, 在高速流的前端磁场Bz分量迅速增大, 因此交换不稳定性将在近地区域产生偶极化锋面.由于Hall效应的作用, 锋面上电场沿着锋面的法线方向, 而电子压力梯度作用对法向电场有很小的贡献.在锋面后部的通量堆积区, 电场与对流电场相等, 这意味着此处满足磁场冻结条件.在FLR效应的影响下, 锋面上的法线电场在通量堆积区内急剧地变为尾向.同时, 本文证明了偶极化锋面是切向间断, 因此在相对偶极化锋面静止的参考系上穿过偶极化锋面法向等离子体速度为零.
Hall电场不仅产生了偶极化锋面上的法向电场, 还与沿偶极化锋面切平面方向的电流密度增长有关.在离子惯性长度尺度, 偶极化锋面上的电子运动是电流密度的主要来源并且严格遵循电漂移, 同时偶极化锋面上的离子主要沿着电场运动, 尤其是锋面上日下点周围区域.因此, 电流密度的法向分量同磁场Bz分量的相互作用产生了沿偶极化锋面切面方向的洛伦兹力分量, 它使得整个流场结构扭曲变形.
离子磁化流速仅存在在偶极化锋面上, 并沿着锋面的切面.离子磁化流速由离子抗磁速度和磁场旋度产生的磁漂移速度组成, 在锋面上离子抗磁速度起决定作用.因此, 由FLR效应产生的离子磁化流速在锋面的日下点指向昏向, 但偶极化锋面后部区域的速度y向分量增加, 从而导致了整个“蘑菇”结构的晨向漂移.
Angelopoulos V, Kennel C F, Coroniti F V, et al.
1994. Statistical characteristics of bursty bulk flow events. Journal of Geophysical Research:Space Physics, 99(A11): 21257-21280.
DOI:10.1029/94JA01263 |
|
Baumjohann W, Paschmann G, Cattell C A.
1989. Average plasma properties in the central plasma sheet. Journal of Geophysical Research:Space Physics, 94(A6): 6597-6606.
DOI:10.1029/JA094iA06p06597 |
|
Cao J B, Ma Y D, Park G, et al.
2006. Joint observations by Cluster satellites of bursty bulk flows in the magnetotail. Journal of Geophysical Research:Space Physics, 111(A4): A04206.
DOI:10.1029/2005JA011322 |
|
Cao J B, Duan J T, Du A M, et al.
2008. Characteristics of mid-low latitude Pi2 excited by bursty bulk flows. Journal of Geophysical Research:Space Physics, 113(A7): A07S15.
DOI:10.1029/2007JA012629 |
|
Cao J B, Ma Y D, Park G, et al.
2013. Kinetic analysis of the energy transport of bursty bulk flows in the plasma sheet. Journal of Geophysical Research:Space Physics, 118(1): 313-320.
DOI:10.1029/2012JA018351 |
|
Chen C X, Wolf R A.
1993. Interpretation of high speed flows in the plasma sheet. Journal of Geophysical Research:Space Physics, 98(A12): 21409-21419.
DOI:10.1029/93JA02080 |
|
Ferraro N M, Jardin S C.
2006. Finite element implementation of Braginskii's groviscous stress with application to the gravitational instability. Physics of Plasma, 13: 092101.
DOI:10.1063/1.2236277 |
|
Fu H S, Khotyaintsev Y V, Vaivads A, et al.
2011. Fermi and betatron acceleration of suprathermal electrons behind dipolarization fronts. Geophysical Research Letters, 38(16): L16104.
DOI:10.1029/2011GL048528 |
|
Fu H S, Khotyaintsev Y V, Vaivads A, et al.
2012a. Occurrence rate of earthward-propagating dipolarization fronts. Geophysical Research Letters, 39(10): L10101.
DOI:10.1029/2012GL051784 |
|
Fu H S, Khotyaintsev Y V, Vaivads A, et al.
2012b. Electric structure of dipolarization front at sub-proton scale. Geophysical Research Letters, 39(6): L06105.
DOI:10.1029/2012GL051274 |
|
Fu H S, Khotyaintsev Y V, Vaivads A, et al.
2012c. Pitch angle distribution of suprathermal electrons behind dipolarization fronts:A statistical overview. Journal of Geophysical Research:Space Physics, 117(A12): A12221.
DOI:10.1029/2012JA018141 |
|
Fu H S, Khotyaintsev Y V, Vaivads A, et al.
2013. Energetic electron acceleration by unsteady magnetic reconnection. Nature Physics, 9(7): 426-430.
DOI:10.1038/nphys2664 |
|
Ge Y S, Raeder J, Angelopoulos V, et al.
2011. Interaction of dipolarization fronts within multiple bursty bulk flows in global MHD simulations of a substorm on 27 February 2009. Journal of Geophysical Research:Space Physics, 116(A5): A00I23.
DOI:10.1029/2010JA015758 |
|
Guzdar P N, Hassam A B, Swisdak M, et al.
2010. A simple MHD model for the formation of multiple dipolarization fronts. Geophysical Research Letters, 37(20): L20102.
DOI:10.1029/2010GL045017 |
|
Harten A.
1983. High resolution schemes for hyperbolic conservation laws. Journal of Computational Physics, 49(3): 357-393.
DOI:10.1016/0021-9991(83)90136-5 |
|
Huang S Y, Zhou M, Deng X H, et al.
2012a. Kinetic structure and wave properties associated with sharp dipolarization front observed by Cluster. Annales Geophysicae, 30(1): 97-107.
DOI:10.5194/angeo-30-97-2012 |
|
Huang S Y, Zhou M, Sahraoui F, et al.
2012b. Observations of turbulence within reconnection jet in the presence of guide field. Geophysical Research Letters, 39(11): L11104.
DOI:10.1029/2012GL052210 |
|
Huang S Y, Fu H S, Vaivads A, et al.
2015a. Dawn-dusk scale of dipolarization front in the Earth's magnetotail:multi-cases study. Astrophysics and Space Science, 357: 22.
DOI:10.1007/s10509-015-2298-3 |
|
Huang S Y, Fu H S, Yuan Z G, et al.
2015b. Electromagnetic energy conversion at dipolarization fronts:Multi-spacecraft results. Journal of Geophysical Research:Space Physics, 120(6): 4496-4502.
DOI:10.1002/2015JA021083 |
|
Huang S Y, Yuan Z G, Ni B, et al.
2015c. Observations of large-amplitude electromagnetic waves and associated wave-particle interactions at the dipolarization front in the Earth's magnetotail:A case study. Journal of Atmospheric and Solar-Terrestrial Physics, 129: 119-127.
DOI:10.1016/j.jastp.2015.05.007 |
|
Hwang K J, Goldstein M L, Lee E, et al.
2011. Cluster observations of multiple dipolarization fronts. Journal of Geophysical Research, 116: A00I32.
DOI:10.1029/2010JA015742 |
|
Lapenta G, Bettarini L.
2011. Self-consistent seeding of the interchange instability in dipolarization fronts. Geophysical Research Letters, 38(11): L11102.
DOI:10.1029/2011GL047742 |
|
Lu H Y, Cao J B, Zhou M, et al.
2013. Electric structure of dipolarization fronts associated with interchange instability in the magnetotail. Journal of Geophysical Research:Space Physics, 118(10): 6019-6025.
DOI:10.1002/jgra.50571 |
|
Lu H Y, Cao J B, Ge Y S, et al.
2015. Hall and finite Larmor radius effects on the dipolarization fronts associated with interchange instability. Geophysical Research Letters, 42(23): 10099-10105.
DOI:10.1002/2015GL066556 |
|
Nakamura M S, Matsumoto H, Fujimoto M.
2002. Interchange instability at the leading part of reconnection jets. Geophysical Research Letters, 29(8): 88-1-88-4.
DOI:10.1029/2001GL013780 |
|
Nakamura R, Retinò A, Baumjohann W, et al.
2009. Evolution of dipolarization in the near-Earth current sheet induced by Earthward rapid flux transport. Annales Geophysicae, 27(4): 1743-1754.
DOI:10.5194/angeo-27-1743-2009 |
|
Nakamura R, Baumjohann W, Panov E, et al.
2011. Flux transport, dipolarization, and current sheet evolution during a double-onset substorm. Journal of Geophysical Research:Space Physics, 116(A5): A00I36.
DOI:10.1029/2010JA015865 |
|
Pan D X, Zhou X Z, Shi Q Q, et al.
2015. On the generation of magnetic dips ahead of advancing dipolarization fronts. Geophysical Research Letters, 42(11): 4256-4262.
DOI:10.1002/2015GL064369 |
|
Pritchett P L, Coroniti F V.
2010. A kinetic ballooning/interchange instability in the magnetotail. Journal of Geophysical Research:Space Physics, 115(A6): A06301.
DOI:10.1029/2009JA014752 |
|
Pritchett P L, Coroniti F V, Nishimura Y.
2014. The kinetic ballooning/interchange instability as a source of dipolarization fronts and auroral streamers. Journal of Geophysical Research:Space Physics, 119(6): 4723-4739.
DOI:10.1002/2014JA019890 |
|
Rosenbluth M, Longmire M N.
1957. Stability of plasma confined by magentic fields. Annals of Physics, 1(2): 120-140.
DOI:10.1016/0003-4916(57)90055-6 |
|
Runov A, Angelopoulos V, Sitnov M I, et al.
2009. THEMIS observations of an earthward-propagating dipolarization front. Geophysical Research Letters, 36(14): L14106.
DOI:10.1029/2009GL038980 |
|
Shiokawa K, Baumjohann W, Haerendel G.
1997. Braking of high-speed flows in the near-Earth tail. Geophysical Research Letters, 24(10): 1179-1182.
DOI:10.1029/97GL01062 |
|
Zhou M, Ashour-Abdalla M, Deng X H, et al.
2009. THEMIS observation of multiple dipolarization fronts and associated wave characteristics in the near-Earth magnetotail. Geophysical Research Letters, 36(20): L20107.
DOI:10.1029/2009GL040663 |
|
Zhou M, Ni B B, Huang S Y, et al.
2014a. Observation of large-amplitude magnetosonic waves at dipolarization fronts. Journal of Geophysical Research:Space Physics, 119(6): 4335-4347.
DOI:10.1002/2014JA019796 |
|
Zhou X Z, Angelopoulos V, Liu J, et al.
2014b. On the origin of pressure and magnetic perturbations ahead of dipolarization fronts. Journal of Geophysical Research:Space Physics, 119(1): 211-220.
DOI:10.1002/2013JA019394 |
|
2018, Vol. 61
