2. 中国科学院大学, 北京 100049
2. University of Chinese Academy of Sciences, Beijing 100049, China
在常规单炮地震数据采集中,需设置较大的放炮间隔来避免炮与炮之间在时间上产生混叠,这会带来采集工时长以及炮点采样稀疏等问题,从而导致获得的原始数据品质较低.而同时震源采集(Simultaneous-source acquisition)技术(Aaron et al., 2009; Abma et al., 2012; Beasley, 2008; Berkhout et al., 2008; Berkhout, 2008; Hampson et al., 2008)不受放炮间隔时间的限制,允许炮记录存在重叠,可以同时或短时内激发多个震源,在提高采集效率的同时,可以获得密集采样,宽方位覆盖的高质量数据,不仅如此,由于其允许混叠的特性,数据体积也被大大地减小.SS技术在工业上有着广泛的应用前景,国外各大石油公司已经投入了实际生产中,如何对SS数据进行偏移成像成为了国内外学者和研究人员的研究热点.
目前已有多位研究人员提出了不同的针对SS数据的偏移成像方法,从策略上可以分为两大类:一类是先分离再偏移,称为分离成像方法;一类是直接对SS数据进行偏移,称为直接成像法.分离成像方法先将混叠的SS数据分离为单炮记录,再利用常规方法对其偏移成像,分离方法的优劣直接影响成像结果.已有大量的研究取得了不错的效果(Akerberg et al., 2008; Beasley et al., 2016; Chen, 2015; Chen et al., 2014a, b, 2015a; Cheng and Sacchi, 2013; Huo et al., 2009; Abma et al., 2010; Mahdad et al., 2011; Xue et al., 2017; Zhang et al., 2015; Zu et al., 2016).但该方法需要先分离混合数据,然后用常规单炮偏移流程处理,与SS数据的高效采集不匹配.因此,越来越多的研究人员将研究重点转移到不需要分离的更为高效的直接成像类方法上来(卢昕婷等, 2015; Chen et al., 2015b, 2017, Dai et al., 2011, 2012; Li et al., 2016; Schleicher et al., 2015; Xue et al., 2016).
SS数据的直接成像不需要先对数据进行分离,但是由于炮之间的干扰,会在最后的成像结果中引入很强的串扰噪声.如何减弱甚至消除成像结果中的串扰是直接成像类方法的关键性问题.地震偏移可以看作线性反演问题,通过拟合观测数据来获取反演结果.Tang和Biondi (2009)首先利用最小二乘偏移(Least-squares migration, LSM)方法对SS数据进行反演成像,有效地压制了成像中的串扰噪声和采集脚印.LSM适用于各种偏移算子,具有高度的灵活性,使得LSM成为SS数据直接偏移成像的主流方法,已有多名研究人员将LSM应用于SS数据的偏移成像中(李庆洋等, 2016; 卢昕婷等, 2015; Chen et al., 2015b, 2017, Dai et al., 2012, 2011; Xue et al., 2016).
基于双程波理论的逆时偏移(Reverse time migration, RTM)(Baysal et al., 1983)对于复杂地质结构有着良好的成像效果.相比于射线类方法,RTM不受大倾角限制.对SS数据偏移而言,RTM可以在一个偏移过程中同时对多震源波场进行延拓,能显著地提高计算效率,这是射线类方法所不具备的.在对SS数据的最小二乘逆时偏移(LSRTM)中,通过不断的迭代拟合观测数据来压制成像中的串扰噪声.通常采用梯度类的迭代法来进行求解,由于SS数据的反演成像在数学上是一个病态问题,需引入约束项来保证迭代的稳定性以及提高计算效率.Fomel (2007)提出的整形正则化(shaping regularization),通过对模型加约束来建立起估计模型和期望模型之间的联系,以获得较好的反演结果和较高的计算效率.该方法在地震速度分析(Fomel, 2007)、SS数据分离和直接成像(Chen et al., 2014a; Xue et al., 2016)上都得到了较好的效果.Xue等(2016)利用该整形正则方法,在不完备数据和SS数据的反演成像中取得了良好的效果.
在本文中,我们利用SE(Liu et al., 2010)来构建预条件算子对SS数据的LSRTM过程进行约束.SE算子将结构预测与平滑滤波相结合,通过相邻地震道对结构进行预测的同时沿着预测方向进行滤波.可以在压制噪声的同时,最大程度的还原地下结构信息.但压制噪声和保护结构在地震数据处理中始终是矛盾的问题.SE在压制噪声的同时,会破坏成像的陡倾角结构,为了取得压制噪声和保护成像细节之间的平衡,我们引入了加权的SE算子来对LSRTM过程进行约束,对于陡倾角结构给予较小的权重避免过度平滑.与此同时,为了获取更好的成像效果,每次迭代中用到的倾角信息均从前次迭代结果中提取.我们称该方法为加权构造增强最小二乘逆时偏移(WSE-LSRTM).在简单模型以及复杂Marmousi模型的数值测试中表明,WSE-LSRTM方法不仅对SS数据直接成像中的串扰噪声有着良好的压制效果,而且能够较好地保护成像中的陡倾角等不连续结构.
1 同时震源数据最小二乘偏移若观测数据用向量d表示,模型参数为向量m,则有如下公式:
|
(1) |
其中,L为Born模拟算子.本文中的L由时间域双程波有限差分方法来实现.SS数据为多个炮记录的混合叠加,可以表示为如下形式:
|
(2) |
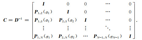
其中,B称为混合算子(Berkhout, 2008)或编码矩阵(Romero et al., 2000).B矩阵的行数为混合炮的个数,列数则为常规单炮的个数.其具体形式如下:
|
(3) |
Bi为第i个混合炮的混合算子,其中Aj为第j个常规炮的振幅因子,tj为其对应的延迟激发时间.在本文中不对振幅和激发时间进行编码,Bi中的元素为0或1,表示第j个常规炮是否为第i个混合炮的一部分.将式(1)代入式(2)中即可得到SS数据与地下模型的关系:
|
(4) |
式中,F=BL为SS的正演算子.将其伴随算子(adjoint operator)作用到SS数据D上,就可以得到SS数据的偏移成像公式:
|
(5) |
我们称C=BTB为串扰矩阵,在常规偏移中,没有炮之间的相互干扰,C为单位矩阵,而在SS数据偏移中,由于混合算子的存在,C不再为单位阵,其非对角项的元素会在最后的成像剖面中引入串扰噪声.此外,直接应用伴随算子得到的成像结果只是地下结构的一个模糊表示,要得到真实的结构特征,一般需通过LSM反演得到地下结构的反射率模型.
根据SS数据与地下模型的关系式,我们可以定义数据空间中的目标泛函如下:
|
(6) |
其中,F为SS正演算子,D为SS数据,ε为标量正则化参数,用来调节数据项和正则项的相对贡献量,ε的选择一般根据具体问题来确定.公式(6)在最小二乘准则下的解可以写为:
|
(7) |
在实际问题中,公式(6)表示的线性系统往往是病态的,其条件数很大,数据空间很小的误差就能引起估计模型的巨大改变.直接求解上述方程是不现实的.对于像地震偏移成像这类大规模问题,我们通常采用迭代的方法来求解.本文利用共轭梯度法(Hestenes and Stiefel, 1952)来求解该问题.在SS数据的LSRTM过程中,由于炮之间的干扰,我们得到的梯度下降方向不能很好的使拟合误差减小,反映在计算中,表现为收敛速度慢,不能较好的压制成像中的噪声.为了压制SS成像中的串扰噪声以及提高迭代收敛速度,我们需要对该病态反演问题加以约束,好的约束条件对于反演的稳定性和结果至关重要.通常有两类方法,一种是利用正则算子在数据空间做正则化;另一种是构造一个预条件算子对模型加以约束.Fomel和Claerbout (2003)研究表明,对于大型问题,第二种方法的效果更好.在本文中,我们引入了SE(Liu et al., 2010)作为预条件算子来对迭代过程进行约束.
2 加权结构增强滤波SE的基本思想是使反演结果沿着预测方向平滑变化以达到衰减噪声的目的.其采用的预测算子为平面波构建算子(plane-wave construction, PWC)(Fomel and Guitton, 2006),PWC是平面波分解算子(plane-wave destruction, PWD)(Fomel, 2002)的逆.将地震数据表示为s=[s1, s2, …, sN]T,PWD算子可以表示为线性算子的形式:
|
(8) |
其中,r为原始道与预测道相减的残差,E即为PWD算子,定义如下(Fomel and Guitton, 2006):
|
(9) |
其中,I为单位算子,σi为局部倾角,P为预测算子,通过沿同相轴倾角方向来预测下一道地震数据,Pi, j表示从第i道来预测第j道.通过正则化共轭梯度法使得预测误差r最小来估计出主要的局部倾角信息.求得局部倾角后,即可构建PWC算子来对相邻道进行预测.PWC为PWD算子的逆,表示为:
|
(10) |
利用PWC根据局部倾角信息对地震道进行预测的同时,沿着预测方向进行平滑处理.PWC算子和平滑滤波相结合组成了SE算子.图 1为SE算子的作用效果.图 1a为一个简单速度模型,图 1b为通过PWD (Claerbout, 1992; Fomel, 2002)提取得到的局部倾角信息.图 1c为在模型界面上提取出来的9个点.接下来我们利用倾角信息通过SE算子来产生界面上9个点对应的响应.图 1d、1e、1f为平滑长度分别为20、40和90时得到的响应结果.可以看到,随着平滑长度的增加,响应也会沿着界面相应地延长,最后相连组成与图 1a中速度模型相同的界面.从结果中可以看出该算子是沿着模型结构方向进行的,验证了SE算子作为预条件算子的有效性.在实际应用中,我们可以很方便地通过调节平滑长度来控制压制噪声和保护结构信息之间的平衡.
|
图 1 结构增强平滑实例 (a)简单速度模型;(b)局部倾斜率;(c)从界面上选取的9个点;(d)平滑长度为20时的响应;(e)平滑长度为40时的响应;(d)平滑长度为90时的响应. Fig. 1 Example of structure-enhancing filtering (a) A simple velocity model; (b) Local dip field; (c) 9 points selected from the velocity interface; (d) Response of structure-enhancing filter for predict radius of 20; (e) Response for a larger radius of 40; (f) Response for the largest radius of 90. |
我们用S来表示SE预条件算子,那么有:
|
(11) |
其中,p为重新参数化的模型.将式(11)代入式(6),化为:
|
(12) |
利用预条件共轭梯度法,可以逐渐接近其解:
|
(13) |
迭代过程中,我们需要模型的局部倾角信息来构建SE算子.利用PWD方法可以从直接成像剖面中提取出所需的倾角信息,但对于SS直接偏移得到的成像剖面,因其中含有强的串扰噪声,提取过程中会将大倾角的串扰假象当作模型结构而得不到准确的结构倾斜信息.在本文中,每次迭代所需的结构倾斜信息均从前一次迭代的结果中提取,以保证倾角信息的准确性.
SE因为其平滑作用可以看作低通滤波器,在作用过程中会将成像中的一些细节部分平滑涂抹,虽然能较好地消除噪声,但会丢失成像中的高频部分,使得成像分辨率降低,特别是对于一些陡倾角的地质结构,SE的平滑作用会丢失大量细节信息,这对于后续的地质解释是十分不利的.因此,本文在利用SE对LSRTM做约束的基础上,在迭代过程中引入了一个加权算子W对成像中的陡倾角结构加以保护,以达到既能较好地消除减弱串扰噪声又能保留主要成像细节的目的.权重信息来源于局部倾角的大小,控制着SE的作用强度,对于倾角较大的部分,给予较小的平滑强度,这样就达到了保护陡倾角结构的目的.我们称该算子为加权构造增强算子(WSE).由于该权重因子只作用于模型空间,对LSRTM的计算速度影响微乎其微,实际应用中WSE-LSRTM和SE-LSRTM计算时间是相当的.
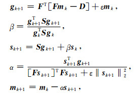
基于WSE的预条件共轭梯度法计算流程如下:
|
(14) |
其中,g为目标方程的梯度,s为预条件共轭方向.具体算法见表 1.
|
|
表 1 WSE-LSRTM共轭梯度算法 Table 1 Algorithm for conjugate-gradient inversion of WSE-LSRTM |
本文先后通过简单层状模型、简单断层模型和Marmousi模型来检测WSE-LSRTM方法的有效性和适应性.先用简单模型来测试方法在地质结构较为简单情况下的有效性,再利用断层模型测试其对大倾角结构的保护作用,最后利用Marmousi模型来测试方法对于复杂结构的适应性.所有数值实验中均采用空间四阶时间二阶的有限差分(Finite-difference, FD)算子来对声波波动方程进行波场延拓.
3.1 简单层状模型简单模型如图 1a所示,模型横向网格点为301,纵向网格点为201,纵横向网格间距均为10 m.32个炮点均匀分布于模型表面,通过FD正演得到了32个单炮记录,然后两炮不设延迟混合,模拟得到了两个炮点同时激发的SS数据,其混合算子如下:
|
(15) |
表示将每隔16个炮的两个常规单源炮混合为一个同时震源炮记录.16个同时震源混合炮集如图 2所示,其中直达波已被切除.正演中选用了主频为20 Hz的Ricker子波作为震源,时间采样间隔为1 ms,记录长度为1.8 s.
|
图 2 简单模型切除直达波的同时震源数据 Fig. 2 SS data of simple synthetic model with the direct waves muted |
接下来,分别利用RTM,LSRTM以及本文的WSE-LSRTM方法对SS数据进行偏移成像,迭代次数均为10次,偏移速度模型为对原速度模型做平滑后得到的光滑速度模型.图 3a为SS数据直接RTM成像剖面,成像中包含有明显的偏移脚印带来的假象和很强的串扰噪声,特别是在浅部.图 3b为LSRTM得到的成像剖面,与RTM结果相比,LSRTM能够减弱一部分串扰噪声,但效果有限,剖面中仍残存有较强的噪声.图 3c和图 3d均为WSE-LSRTM方法得到的反演成像结果,不同之处在于,图 3c使用的结构信息直接从RTM成像剖面中提取,在整个迭代过程中保持不变,而图 3d中每次迭代使用的结构信息从前一次迭代结果中提取.从结果对比中可以看出,本文WSE-LSRTM方法采用的提取结构信息的策略更为可靠.与LSRTM成像相比,WSE-LSRTM方法能够有效地去除串扰噪声,界面刻画锐利,不仅偏移脚印消失了,串扰噪声也得到了很好的压制,得到的成像结果平滑连续,能量也很好的集中于界面上,且深部照明也得到了一定的补偿.从该简单模型测试中可以看出,WSE-LSRTM方法在对简单模型的SS直接成像中能取得很好的效果,验证了该方法的有效性.
|
图 3 偏移结果对比 (a) RTM;(b) LSRTM;(c)倾角信息不变的WSE-LSRTM;(d)倾角信息变化的WSE-LSRTM结果. Fig. 3 Comparison of different methods (a) RTM; (b) LSRTM; (c) WSE-LSRTM with constant dip field; (d) WSE-LSRTM with iteratively updated dip field. |
为了验证WSE-LSRTM方法对于陡倾角结构的保护作用,我们用一个简单断层模型(图 4)来说明其相对于SE-LSRTM方法的优越性.如图 4所示,模型横向网格点为251,纵向网格点为201,横向和纵向网格间距均为10 m.我们采用主频为20 Hz的Ricker子波模拟得到了30个常规单炮记录,然后同前例类似,不设时间延迟,两两组合得到了15个混合炮记录(如图 5所示).
|
图 4 简单断层速度模型 Fig. 4 Velocity model with fault |
|
图 5 断层模型同时震源数据 Fig. 5 SS dataset with two sources simultaneously shot |
图 6为利用图 4中速度模型计算得到的反射率模型以及分别利用常规单源数据RTM,SS数据RTM,LSRTM,SE-LSRTM以及本文的WSE-LSRTM方法得到的成像结果比较.图 6a为参考反射率模型,图 6b为单炮数据RTM得到的成像剖面,由于炮点较为稀疏,其中有较明显的偏移脚印残留.图 6c为SS数据直接RTM得到的成像结果,其中除了偏移脚印还包含有很强的串扰噪声.图 6d、6e和6f分别为LSRTM,SE-LSRTM和WSE-LSRTM方法迭代5次得到的成像剖面.LSRTM成像结果中,偏移脚印得到了明显的减弱,炮之间的串扰噪声也得到了一定程度的压制,但仍然一些噪声残留在剖面中.SE-LSRTM成像剖面中偏移脚印和串扰噪声都得到了很好的压制,界面成像平滑清晰,但是断层的连续性被严重破坏,而WSE-LSRTM得到的成像剖面中,压制了串扰噪声的同时,对于断层结构也有着较好的保护,没有因为SE算子的平滑作用而被破坏,与常规单源采集数据的RTM结果(图 6b)相比,浅部的偏移脚印得到了很好的压制,但由于WSE算子本质上为平滑低通滤波,WSE-LSRTM得到的结果在空间分辨率上是不如单源RTM结果的.
|
图 6 简单断层模型偏移结果比较 (a)反射率模型;(b)常规单源数据RTM结果;SS数据(c)直接RTM结果;(d) LSRTM迭代5次结果;(e) SE-LSRTM迭代5次结果;(f) WSE-LSRTM迭代5次结果. Fig. 6 Migration results of simple model with fault (a) Reflectivity; (b) RTM result of conventional acquisition; (c) RTM result of SS data; (d) LSRTM result of SS data after 5 iterations; (e) SE-LSRTM result of SS data after 5 iterations; (f) WSE-LSRTM result of SS data after 5 iterations. |
为了更进一步验证WSE-LSRTM方法对于复杂模型的成像效果,我们选用Marmousi模型(Versteeg, 1994)来进行测试.该模型基于一个大陆漂移地质环境来建立,由于飘移作用,其中含有大量正断层和陡倾角结构,横向速度变化剧烈.在背斜处有碳氢物化合物聚集.图 7为Marmousi速度模型.横纵向网格点数分别为1151和376,网格间距均为8 m.在数值模拟中,我们采用两个炮点同时激发的混合策略.60个炮点均匀分布在模型水平表面上,选用主频为15 Hz的Ricker子波做震源,同样不设时间延迟,混合得到了30个两炮混合的SS数据集(图 8).
|
图 7 Marmousi速度模型 Fig. 7 Marmousi velocity model |
|
图 8 Marmousi模型同时震源数据 Fig. 8 Synthetic SS dataset of Marmousi model |
图 9为利用不同方法得到的成像剖面对比.图 9a为模型的反射率模型,图 9b为单源RTM得到的成像剖面,图 9c为SS数据直接RTM成像剖面,可以看出其中的串扰噪声十分严重.图 9d为LSRTM迭代5次后的成像剖面,与RTM结果相比,有一些提升,但仍然有较强的串扰噪声.图 9e为不加权SE约束的SE-LSRTM方法迭代5次的反演剖面,可以看出成像效果有着明显的提升,反射体平滑锐利,串扰基本被消除.但若是仔细查看,我们会发现黑框区域内的断层边缘已经被严重破坏了,也就是说在反演过程中SE的平滑作用过强.在实际应用中,断层的划定对于与储层相关的地质解释至关重要,对断裂这样的不连续结构的破坏是不能接受的.图 9f展示了WSE-LSRTM方法得到的成像剖面,该结果与RTM和LSRTM相比同样有很大的提升,串扰噪声基本被消除.与SE-LSRTM方法相比,对于方框内的不连续结构,WSE-LSRTM方法对于陡倾角边缘有着较好刻画.
|
图 9 Marmousi模型偏移结果对比 (a)反射率模型;(b)单源RTM成像;SS数据(c) RTM成像结果;(d) LSRTM迭代5次成像结果;(e) SE-LSRTM迭代5次成像结果;(f) WSE-LSRTM迭代5次成像结果. Fig. 9 Migration result of Marmousi model (a) Reflectivity; (b) RTM result of conventional acquisition; (c) RTM result of SS data; (d) LSRTM result of SS data after 5 iterations; (e) SE-LSRTM result of SS data after 5 iterations; (f) WSE-LSRTM result of SS data after 5 iterations. |
为了更好地观察各类方法的成像效果,我们将图 9中的虚线黑框部分放大(图 10).从图中可以更清楚地看到,SE-LSRTM对于成像中的陡倾角不连续结构过度平滑造成了结构细节的丢失,这还是在我们选择了一个非常小的平滑半径5的情况下.图 10f中WSE-LSRTM方法得到的局部放大成像剖面中串扰噪声也得到了较好的压制,虽然相比于SE-LSRTM仍然有些许的串扰噪声包含在内,但其对于成像中的陡倾角结构(图中黑色箭头标注部分)有着很好的保护,陡倾角结构成像更为清晰.
|
图 10 图 9中虚线黑框部分放大结果比较 (a)反射率;(b)常规单源RTM结果;同时震源数据(c) RTM结果; (d) LSRTM结果; (e) SE-LSRTM结果; (f) WSE-LSRTM结果. Fig. 10 Magnified comparison of the black boxes shown in Fig. 9 (a) Reflectivity; (b) RTM result of conventional acquisition; (c) RTM of SS data; (d) LSRTM of SS data; (e) SE-LSRTM of SS data; (f) WSE-LSRTM of SS data. |
在实际应用中,我们更倾向于一个包含些许噪声但有更多细节的成像剖面,而不是一个缺少成像保真度的不包含噪声的结果.WSE-LSRTM不仅能够压制SS成像中的串扰噪声,更为重要的是,该方法可以取得压制噪声和保护陡倾角结构之间的平衡.
4 结论我们提出了一种新的约束LSRTM算法应用于SS数据的直接反演成像中.利用WSE算子对共轭梯度迭代过程加以约束.WSE算子利用倾角信息做结构平滑滤波的同时,定量地控制着不同倾角结构的平滑权重,对于含有陡倾角结构的部分给予较小的平滑强度,以避免过度平滑而破坏细节.在简单层状模型、断层模型和复杂Marmousi模型的测试中表明,相比于SE约束的SE-LSRTM方法,WSE-LSRTM方法不仅对于SS偏移中的串扰噪声有着较好的压制效果,更为重要的是,该方法可以有效地避免SE算子对于陡倾角结构的过度平滑造成的成像细节丢失,得到成像保真度较高的剖面.
致谢 感谢Madagascar(http://www.ahay.org)软件提供的绘图支持.
Aaron P, Van Borselen R, Fromyr E. 2009. Simultaneous sources: A controlled experiment on different source configurations.//79th Ann. Internat Mtg., Soc. Expi. Geophys.. Expanded Abstracts, 1177-1181, doi: 10.1190/1.3255061.
|
Abma R, Zhang Q, Arogunmati A, et al. 2012. An overview of BP's marine independent simultaneous source field trials.//82nd Ann. Internat Mtg., Soc. Expi. Geophys.. Expanded Abstracts, 1-5, doi: 10.1190/segam2012-1404.1.
|
Abma R L, Manning T, Tanis M, et al. 2010. High quality separation of simultaneous sources by sparse inversion.//72nd Ann. Internat Mtg., Soc. Expi. Geophys.. Expanded Abstracts, doi: 10.3997/2214-4609.201400611.
|
Akerberg P, Hampson G, Rickett J, et al. 2008. Simultaneous source separation by sparse Radon transform.//78th Ann. Internat Mtg., Soc. Expi. Geophys.. Expanded Abstracts, 2801-2805, doi: 10.1190/1.3063927.
|
Baysal E, Kosloff D D, Sherwood J W C. 1983. Reverse time migration. Geophysics, 48(11): 1514-1524. DOI:10.1190/1.1441434 |
Beasley C, Moore I, Fletcher R, et al. 2016. Simultaneous source separation using adaptive robust linear algebra.//78th Ann. Internat Mtg., Soc. Expi. Geophys.. Expanded Abstracts, doi: 10.3997/2214-4609.201600952.
|
Beasley C J. 2008. A new look at marine simultaneous sources. The Leading Edge, 27(7): 914-917. DOI:10.1190/1.2954033 |
Berkhout A J G. 2008. Changing the mindset in seismic data acquisition. The Leading Edge, 27(7): 924-938. DOI:10.1190/1.2954035 |
Berkhout A J G, Blacquière G, Verschuur E. 2008. From simultaneous shooting to blended acquisition.//78th Ann. Internat Mtg., Soc. Expi. Geophys.. Expanded Abstracts, 2831-2838, doi: 10.1190/1.3063933.
|
Chen Y K, Fomel S, Hu J W. 2014a. Iterative deblending of simultaneous-source seismic data using seislet-domain shaping regularization. Geophysics, 79(5): V179-V189. DOI:10.1190/geo2013-0449.1 |
Chen Y K, Yuan J, Jin Z Y, et al. 2014b. Deblending using normal moveout and median filtering in common-midpoint gathers. Journal of Geophysics and Engineering, 11(4): 45012. DOI:10.1088/1742-2132/11/4/045012 |
Chen Y K. 2015. Deblending using a space-varying median filter. Exploration Geophysics, 46(4): 332-341. DOI:10.1071/EG14051 |
Chen Y K, Jin Z Y, Gan S W, et al. 2015a. Iterative deblending using shaping regularization with a combined PNMO-MF-FK coherency filter. Journal of Applied Geophysics, 122: 18-27. DOI:10.1016/j.jappgeo.2015.08.004 |
Chen Y K, Yuan J, Zu S H, et al. 2015b. Seismic imaging of simultaneous-source data using constrained least-squares reverse time migration. Journal of Applied Geophysics, 114: 32-35. DOI:10.1016/j.jappgeo.2015.01.004 |
Chen Y K, Chen H M, Xiang K, et al. 2017. Preserving the discontinuities in least-squares reverse time migration of simultaneous-source data. Geophyscis, 82(3): S185-S196. DOI:10.1190/geo2016-0456.1 |
Cheng J K, Sacchi M D. 2013. Separation of simultaneous source data via iterative rank reduction.//83rd Ann. Internat Mtg., Soc. Expi. Geophys.. Expanded Abstracts, 88-93, doi: 10.1190/segam2013-1313.1.
|
Claerbout J F. 1992. Earth Soundings Analysis:Processing Versus Inversion. New York: Blackwell Science Inc.
|
Dai W, Wang X, Schuster G T. 2011. Least-squares migration of multisource data with a deblurring filter. Geophysics, 76(5): R135-R146. DOI:10.1190/geo2010-0159.1 |
Dai W, Fowler P, Schuster G T. 2012. Multi-source least-squares reverse time migration. Geophysical Prospecting, 60(2): 681-695. DOI:10.1111/j.1365-2478.2012.01092.x |
Fomel S. 2002. Applications of plane-wave destruction filters. Geophysics, 67(6): 1946-1960. DOI:10.1190/1.1527095 |
Fomel S, Claerbout J F. 2003. Multidimensional recursive filter preconditioning in geophysical estimation problems. Geophysics, 68(2): 577-588. DOI:10.1190/1.1567228 |
Fomel S, Guitton A. 2006. Regularizing seismic inverse problems by model reparameterization using plane-wave construction. Geophysics, 71(5): A43-A47. DOI:10.1190/1.2335609 |
Fomel S. 2007. Shaping regularization in geophysical-estimation problems. Geophysics, 72(2): R29. DOI:10.1190/1.2433716 |
Hampson G, Stefani J, Herkenhoff F. 2008. Acquisition using simultaneous sources. The Leading Edge, 27(7): 918-923. DOI:10.1190/1.2954034 |
Hestenes M R, Stiefel E. 1952. Methods of conjugate gradients for solving linear systems. Journal of Research of the National Bureau of Standards, 49(6): 409-436. DOI:10.6028/jres.049.044 |
Huo S D, Luo Y, Kelamis P. 2009. Simultaneous sources separation via multi-directional vector-median filter.//82nd Ann. Internat Mtg., Soc. Expi. Geophys.. Expanded Abstracts, 77: 123-131, doi: 10.1190/1.3255522.
|
Li C, Huang J P, Li Z C, et al. 2016. Regularized least-squares reverse time migration of simultaneous-source data with adaptive singular spectrum analysis.//86th Ann. Internat Mtg., Soc. Expi. Geophys.. Expanded Abstracts, 4419-4423.
|
Li Q C, Huang J P, Li Z C, et al. 2016. Multi-source least-squares reverse time migration based on first-order velocity-stress wave equation. Chinese Journal of Geophysics (in Chinese), 59(12): 4666-4676. DOI:10.6038/cjg20161226 |
Liu Y, Fomel S, Liu G C. 2010. Nonlinear structure-enhancing filtering using plane-wave prediction. Geophysical Prospecting, 58(3): 415-427. DOI:10.1111/j.1365-2478.2009.00840.x |
Lu X T, Han L G, Zhang P, et al. 2015. Direct migration method of multi-source blended data based on total variation. Chinese Journal of Geophysics (in Chinese), 58(9): 3335-3345. DOI:10.6038/cjg20150926 |
Mahdad A, Doulgeris P, Blacquiere G. 2011. Separation of blended data by iterative estimation and subtraction of blending interference noise. Geophysics, 76(3): Q9-Q17. DOI:10.1190/1.3556597 |
Romero L A, Ghiglia D C, Ober C C, et al. 2000. Phase encoding of shot records in prestack migration. Geophysics, 65(2): 426-436. DOI:10.1190/1.1444737 |
Schleicher J, Costa J C, Novais A. 2015. Reduction of crosstalk in blended-shot migration. Geophysics, 80(1): S31-S41. DOI:10.1190/geo2014-0293.1 |
Tang Y X, Biondi B. 2009. Least-squares migration/inversion of blended data.//79th Ann. Internat Mtg., Soc. Expi. Geophys.. Expanded Abstracts, 2859-2863, doi: 10.1190/1.3255444.
|
Versteeg R. 1994. The Marmousi experience:Velocity model determination on a synthetic complex data set. The Leading Edge, 13(9): 927-936. DOI:10.1190/1.1437051 |
Xue Y R, Man M X, Zu S H, et al. 2017. Amplitude-preserving iterative deblending of simultaneous source seismic data using high-order Radon transform. Journal of Applied Geophysics, 139: 79-90. DOI:10.1016/j.jappgeo.2017.02.010 |
Xue Z G, Chen Y K, Fomel S, et al. 2016. Seismic imaging of incomplete data and simultaneous-source data using least-squares reverse time migration with shaping regularization. Geophysics, 81(1): S11-S20. DOI:10.1190/geo2014-0524.1 |
Zhang L L, Wang Y B, Zheng Y K, et al. 2015. Deblending using a high-resolution radon transform in a common midpoint domain. Journal of Geophysics and Engineering, 12(2): 167-174. DOI:10.1088/1742-2132/12/2/167 |
Zu S H, Zhou H, Chen Y K, et al. 2016. A periodically varying code for improving deblending of simultaneous sources in marine acquisition. Geophysics, 81(3): V213-V225. DOI:10.1190/geo2015-0447.1 |
李庆洋, 黄建平, 李振春, 等. 2016. 基于一阶速度-应力方程的多震源最小二乘逆时偏移. 地球物理学报, 59(12): 4666-4676. DOI:10.6038/cjg20161226 |
卢昕婷, 韩立国, 张盼, 等. 2015. 基于全变分原理的多震源混合数据直接偏移方法. 地球物理学报, 58(9): 3335-3345. DOI:10.6038/cjg20150926 |
2018, Vol. 61





