龙门山断裂带位于中国青藏高原东缘与四川盆地之间,长约500 km、宽40~50 km,从西北到东南分别由汶川—茂县、映秀—北川、灌县—江油和山前隐伏断裂带构成了叠瓦状的断层构造(Burchfiel et al., 2008; 徐锡伟等, 2008; 张培震等, 2008).大地电磁探测资料显示(Sun et al., 2003; 王绪本等, 2009; Bai et al., 2010; Zhao et al., 2012; 王绪本等, 2013; Wang et al., 2014b),青藏高原东缘松潘—甘孜地块地下约20 km存在高导层(~0.1 S·m-1).向东“挤出”的巴颜喀拉块体因受到坚硬的四川盆地阻挡,逆冲至扬子地块之上,形成了龙门山浅部中高阻(100~1000 Ω·m)的楔状褶皱推覆体,而汶川7.9级地震震源则位于推覆体下伏的高导层中,并且该高导层向上延伸对应于映秀—北川和灌县—江油断裂的同震地表破裂带.这两条同震地表破裂带北东向延伸分别达到约270 km和约72 km(Xu et al., 2009),同时龙门山逆冲断层三叠系岩层还存在0.03~0.1 S·m-1的高导层(Zhao et al., 2012).
目前普遍认为,岩石圈高导层的成因机制在深部主要包括岩石中的含水矿物(Yang et al., 2011, 2012; Shimojuku et al., 2012)、超细的矿物颗粒粒径(Ten Grotenhuis et al., 2004)、部分熔融(Schilling et al., 1997; Scarlato et al., 2004)以及硫化物(Watson et al., 2010)等;在浅部则主要包括矿物颗粒边缘存在的含电解质流体(Jones, 1992; Nesbitt, 1993)或碳膜(Frost et al., 1989; Mareschal et al., 1992).与流体相比,碳具有活化能低,受温度影响小的特点(Duba and Shankland, 1982);同时压力的增加也能够使含碳岩石的孔隙减小,碳膜的连通性显著增强(Glover and Vine, 1992; Shankland et al., 1997; Nover et al., 1998).由此可见,碳是导致岩石或矿物电导率升高的一个重要因素,但是需要满足碳在岩石中的含量达到一定程度并且互相连通(Duba and Shankland, 1982).Frost等(1989)与Mareschal等(1992)提出微量的碳(≥10-3vol‰)在矿物颗粒边缘均匀分布就能形成很薄的碳膜( < 1000 Å),生成连通的导电路径,使岩石的电导率提升至0.01 S·m-1以上.岩石中的单质碳一部分来源于外来流体在经历冷却和出溶反应后于矿物颗粒边界沉积形成(Glover, 1996; Mathez et al., 2008);另一部分来自于含碳物质在干燥条件下的转化,包括碳质岩层中的有机质高温分解(Duba et al., 1988)、含碳粉末在厌氧的条件下经强烈摩擦发生石墨化(Glover, 1996; Oohashi et al., 2011; Kuo et al., 2014)、烟煤或无烟煤在高温高压条件下失去挥发份(Nover et al., 2005)以及压溶作用导致含碳岩层中的碳富集(Jödicke, 1992; Oohashi et al., 2012)等.
室内研究结果与野外调查资料均显示碳能够显著提升断层破裂带的导电性.Mathez等(2008)发现填充饱和含碳流体的石英岩发生断裂时,碳在断裂表面迅速形成碳膜并导致石英岩电导率升高,而不含碳膜的石英岩电导率则无明显变化.Haak等(1997)发现由于受到流体与断层剪切摩擦作用的影响,德国Bohemian断层带中富含大量的石墨,引起该剪切带导电性升高.Jödicke等(2004, 2007)指出富碳黑页岩会通过断层剪切作用将石墨均匀涂抹在开放裂隙的表面上,形成连通的导电路径.
前人研究显示碳在龙门山断层带中普遍存在,例如深溪沟(28.3%, Wang et al., 2014a)、龙池(3.2%, Chen et al., 2016)、金河(3.1%, Duan et al., 2016)、平溪(2.4%, Chen et al., 2016)和北川(0.9%, Chen et al., 2016)等.其中八角庙断层剖面(走向N32°E,倾角N76°W)位于龙门山映秀—北川破裂带西南端(图 1),汶川地震时,其垂向滑移达到5~6 m(Liu-Zeng et al., 2010).野外调查资料(Togo et al., 2011; Wang et al., 2014a; Si et al., 2014; Liu et al., 2016)显示八角庙断层带露头宽30~40 m,主要由浅灰色、黑色断层角砾和黑色含粘土的弱面理化断层泥所组成,同震滑移带厚度约10~20 mm.分析显示断层泥和断层角砾中含有大量无定型碳或石墨(Togo et al., 2011; Kuo et al., 2014; Liu et al., 2016).
|
图 1 龙门山断层带地质构造简图(引自Chen et al., 2013) Fig. 1 Geological map of the Longmenshan fault zones (compiled after Chen et al. 2013) |
鉴于少量的碳便有可能显著地提高断层带的导电性,并可能是引起龙门山断裂带电导率异常的原因之一,因此,本文系统地实验研究了采自八角庙剖面的断层岩的电导率与含碳量、碳的赋存形式以及碳的分布结构之间的关系.结果对于认识和探讨龙门山断裂带的高导层成因具有重要的理论意义,并可为有关汶川地震断裂带的大地电磁测深资料的合理解释提供实验约束.
2 实验样品与实验方法 2.1 实验样品实验样品分为人工模拟断层泥样品(简称模拟样品)与八角庙天然断层岩样品(简称天然样品)两种.模拟样品(表 1)由含碳粉末与不同粒径(100、200、400、600、2000与6000目)的石英粉末(英文缩写Qtz)混合构成,制成含碳量不等、颗粒粒径不同的4组模拟样品,以便研究含碳量与颗粒粒径对模拟样品电导率的影响.其中含碳粉末包括分析纯石墨粉(英文缩写Gra,编号CAS[7782-42-5],含碳量≥ 98.5%)和无烟煤(英文缩写Ant,编号GBW11126b,含碳量84.04±0.31%).天然样品(表 2)取自八角庙断层剖面(图 2),包括断层泥、角砾岩及碳质凝灰岩,其含碳量经有机碳含量分析仪(Shimadzu, TOC-VCPH)定量测试.测试方法为将约100 mg样品处于980 ℃温度下灼烧,通过CO2释放量得到样品的总含碳量(TC);另取等量的样品在200 ℃温度下和磷酸反应得到的CO2释放量转化为样品的无机碳含量(IC);二者相减就为样品的总有机碳含量(TOC),包括样品内部存在的单质碳和有机碳.测试结果表明:断层泥含碳量较高(最高能够达到59.12%),而角砾岩和凝灰岩含碳量相对较低( < 3%).考虑到实验样品厚度有限(~4 mm),为了消除大颗粒对电导率测试结果的影响,对部分天然样品(SC1104-19、BJ-09-9-2、BJF2-09-10-10),筛取粒径小于50目的部分用于实验研究.
|
|
表 1 模拟样品及典型实验结果 Table 1 The list of the synthetic samples and the key results |
|
|
表 2 天然样品及典型实验结果 Table 2 The list of the natural samples and the key results |
|
图 2 龙门山映秀—北川断裂带八角庙露头剖面及断层岩中富集碳质的现象 (a)八角庙断层剖面露头;(b)八角庙含碳断层岩;(c)代表性断层泥样品(BJ-09-9-8);(d)典型显微结构(BJF2-09-10-10).其中(a)和(b)中红线内为含碳断层泥;(d)中黄色箭头指示样品内部存在的含碳脉体,红色箭头指示用于固定样品薄片的丙烯酸树脂胶. Fig. 2 The Bajiaomiao outcrop on the Yingxiu-Beichuan fault and the enrichment of carbonaceous material in the fault rocks (a) Outcrop at Bajiaomiao village; (b) Carbon-bearing fault rocks; (c) Representative specimen of carbonaceous fault gouges (BJ-09-9-8); (d) Typical microstructure for the carbon-rich sample (BJF2-09-10-10). |
利用Microtrac S3500激光粒度分析仪(测量范围0.01~2800 μm,误差≤0.6%)对石英粉末和天然样品颗粒粒径大小进行了测试(图 3).相比于其它样品,600目石英颗粒粒径分布范围较宽,与天然样品相近,目数用~600表示.采用Bruker-D8 advance分析仪(40 kV, 40~100 mA),Cu Kα放射,步宽0.02°~0.05°,利用XRD(粉晶X射线衍射)技术定性分析了天然样品和模拟样品中碳的晶体结构.为了提高衍射的强度和精度,测试前对实验样品进行了酸处理,即将样品分别与17%盐酸、46%氢氟酸和17%盐酸反应,以去除天然样品中的碳酸盐和硅酸盐.衍射结果显示(图 4),含碳量较高的天然样品与无烟煤均具有无定型碳的宽峰,其中样品SC1104-22与BJF2-09-9-10还存在少量的石墨.
|
图 3 模拟样品中的石英粉末与部分天然样品粒度分析结果 Fig. 3 Particle size distribution results of the quartz powder of synthetic samples and representative natural fault rock samples |
|
图 4 实验样品粉晶X射线衍射测试结果 (a)酸浓缩的天然样品;(b)无烟煤及纯石墨粉.括号内的数值为通过含碳量测试分析所得到的天然样品的碳含量. 20°~30°的宽峰对应无定型碳,其他的峰值分别为石墨(Gra)、板钛矿(Bro)、金红石(Rut)、氟钠镁铝石(Ral)、方氟硅钾石(Hie)和氢氧镁石(Bru),后三者为酸处理的中间产物. Fig. 4 XRD analysis results of the experimental samples (a) Residual material of the natural samples after acid treatment; (b) The anthracite powder and the graphite powder. The values in parentheses are carbon contents of natural samples given by TOC analyzer. Broad peaks between 20° ~ 30° correspond to the amorphous carbon, and other sharp peaks, as annotated, are identified as graphite (Gra), brookite (Bro), rutile (Rut), ralstonite (Ral), hieratite (Hie)and brucite (Bru). The latter three minerals are the acid-treated products. |
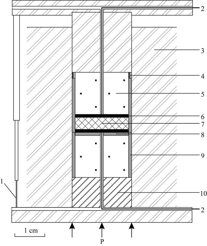
所有样品的电导率实验都是在地震动力学国家重点实验室19.80 mm活塞-圆筒式压机的硬质合金压力腔内完成,装样方法如图 5所示.其中将铜片作为导电电极,样品周围的氧化镁片与氧化镁环作为绝缘材料,刚玉柱当作传压介质,同时在上刚玉柱上端的周围空隙中填充少量的细石英粉并与刚玉柱齐平,保证实验装置能够在不同压力作用下均匀变形并阻止氧化镁环向上位移.实验开始前先将样品及配件(电极、绝缘材料和传压介质等)在65 ℃下烘干24 h以上,以保证完全除去样品与实验材料的吸附水.
|
图 5 电导率测量装样图 1位移传感器,2电极线,3硬质合金,4石英粉末,5刚玉柱压块,6铜电极,7样品,8氧化镁片,9氧化镁环,10钢块. Fig. 5 Sample assembly used for electrical conductivity measurement 1 Displacement transducer; 2 Electrode wire; 3 Tungsten carbide; 4 Quartz powder; 5 Corundum press block; 6 Cu-electrode; 7 Sample; 8 MgO disk; 9 MgO ring; 10 Steel block. |
电阻值的测量采用交流阻抗谱的方法.运用Solartron 1260阻抗/增益相位分析仪和Solartron 1296绝缘界面两种仪器相互串联的方式,使用SMaRT软件,在107~10-2 Hz的频率范围进行测量.数据处理使用ZView软件,采用复数最小二乘法对实验数据进行拟合,从而得到样品的电阻值.因为实验室所用交流电频率为50 Hz,为避免交流电频率对测量结果的影响,在实际数据分析中剔除了50 Hz和100 Hz频率的阻抗谱值.当电阻值 < 102 Ω时,为了避免产生较大的误差,则单独采用Solartron 1260阻抗/增益相位分析仪结合ZPlot软件对样品的电阻值进行测量.
依据公式(1) 计算实验样品的电导率数值:
|
(1) |
其中σ(P)、H(P)与R(P)分别表示在压力P的条件下样品的电导率(S·m-1)、厚度(m)和电阻值(Ω)大小,S表示样品的横截面积(m2).
依据公式(2) 计算模拟样品在不同压力下的总孔隙度φt(P)(Yang et al., 2014),其值代表空气在样品内部所占的体积百分比:
|
(2) |
公式(2) 忽略了空气密度的影响,对于初始孔隙度小于50%的样品,这样简化所带来的误差小于0.05%.式中ρ(P)与ρs(P)分别为样品整体和基质(石英和含碳粉末)的密度(g·cm-3),由下列公式给出:
|
(3a) |
|
(3b) |
其中M是样品的质量(g),v(P)=S·H(P), 代表样品的体积(cm3).ρs0为模拟样品基质在常压下的密度(g·cm-3),由公式(4) 计算得到.βs为样品中所有矿物的平均体压缩率(MPa-1),由样品的平均体积模量KVGH(Hill, 1952)通过式(5a)—(5c)计算得到:
|
(4) |
|
(5a) |
|
(5b) |
|
(5c) |
公式(4) 中mc与mq为模拟样品中含碳粉末与石英粉末的质量百分数;ρc0与ρq0分别为含碳粉末(石墨粉或无烟煤)与石英粉末在常压下的密度(g·cm-3).由AccuPyc Ⅱ 1340系列真密度分析仪(误差±0.03%)测量得到石墨粉的密度ρg0=2.3126 g·cm-3与石英粉的密度ρq0=2.6635 g·cm-3;经过国家煤炭质量监督检验中心认定无烟煤的密度为ρa0=1.85±0.02 g·cm-3.式(5b)和(5c)中Ki是样品中各项组分i的体积模量(MPa).碳粉末的体积模量Kc=161.0 GPa,石英的体积模量Kq=37.8 GPa(Bass, 1995).vi是样品中的组分i的初始体积百分比,通过下式计算得到,其中mi与ρi0分别代表样品中的组分i的质量百分数(wt%)与常压下的密度(g·cm-3):
|
(6) |
实验前,标定了实验系统本身的电阻值(R0=1.8938 Ω)与不同压力下实验配件的轴向形变量Δh(P).实验时首先将质量M样品放入样品腔中,在0.2~0.5 MPa压力下预压样品1 h以上,当样品厚度达到稳定后测量样品的初始绝对厚度H(P0),并记录与其相对应的位移初始值l(P0)(位移传感器测量精度优于0.01%).所有的实验均是在常温条件和0.2~300 MPa压力范围内进行.鉴于0.2~100 MPa的低压条件下,样品的孔隙度随压力升高快速减小,故在此区间进行加密测量(Yang et al., 2014; 杨彧等, 2014).每次加压后,至少等待30 min,待样品厚度稳定后记录位移l(P)并测量电阻值R′(P),计算样品在相应压力P时的实际厚度(m):
|
(7) |
其中ΔH(P)=l(P)-l(P0)-Δh(P).由于电极在实验中几乎没有横向应变(样品横向应变也可以忽略),所以样品的直径视为常数(17.80 mm),并用于横截面积S的计算.样品的实际电阻值R(P)=R′(P)-R0.将M、R(P)、H(P)和S代入公式(1) 和公式(2) 中计算得到压力为P时样品的电导率σ(P)和总孔隙度φt(P).
3 实验结果 3.1 典型样品实验结果通过交流阻抗谱对样品电阻值的测量,得到样品阻抗谱实部Z′-虚部Z″关系图.以典型样品A7.5(92.5wt%石英粉与7.5wt%石墨粉混合的样品)为例:(a)在0.2~80 MPa压力范围内,样品A7.5的阻抗谱呈现半圆弧的形式(图 6a),代表电阻与电容并联的电路(Huebner and Dillenburg, 1995),说明模拟样品中的石墨粉末并未连通,样品内部电流主要依赖于样品颗粒内部传输.随着压力升高,样品总孔隙度的降低,颗粒之间的接触面积逐渐增大,阻抗谱弧的直径逐渐减小,电阻值逐渐降低.(b)在225~300 MPa压力范围内,阻抗谱逐渐演化为靠近原点并且垂直于实轴Z′的直线段(图 6c),代表电阻与电感并联的电路(Laumonier et al., 2015),说明石墨粉在样品中已经完全连通,电流经由连通的石墨粉传导.随着压力升高,石墨粉末之间的连通性增强,阻抗谱与实轴的交点逐渐向原点靠近,电阻值逐渐降低.(c)在100~200 MPa中间压力范围内,阻抗谱由直径不断减小的半圆弧和向坐标原点不断靠近的垂直于实轴直线段组成(图 6b),代表部分石墨粉产生连通,样品内部电流传输一部分经由粉末颗粒内部传导,另外一部分通过石墨粉传输.简言之,随着压力升高,模拟样品中总孔隙度降低,碳在样品中的体积百分含量逐渐增高,其导电机制也由颗粒内部导电逐渐向连通的石墨粉转化.
|
图 6 典型样品A7.5(7.5wt%Gra+92.5wt%Qtz)在不同压力范围内电导率的测量结果 (a) 0.2~80 MPa:石墨粉未形成连通的导电路径;(b) 100~200 MPa:石墨粉在部分区域内形成连通的导电路径;(c) 225~300 MPa:石墨粉在样品整体范围内形成连通的导电路径;(d)实验压力范围内电导率σ的变化. Fig. 6 Experimental results of electrical conductivity measurement for typical sample A7.5 (7.5wt%Gra+92.5wt%Qtz) (a) 0.2~80 MPa: conductive pathways between graphite powders are not present; (b) 100~200 MPa: partially conductive pathways formed; (c) 225~300 MPa: fully conductive pathways are developed; (d) The variations of electrical conductivity for the whole pressure range investigated. |
在0.2~300 MPa的压力范围内,样品A7.5电导率σ-压力P的关系曲线如图 6d所示.结果显示当石墨粉未连通和完全连通时,样品的电导率变化不超过一个数量级;而当石墨粉部分连通时,电导率随着压力的增加呈现对数性增长.
为了检测实验数据的重复性,对样品A3和A10分别进行了5次与3次重复性测量.测量结果表明,样品A3中的石墨粉末在实验压力范围内依然处于未连通状态,因此只能利用部分阻抗谱弧进行拟合,其误差约在1个数量级范围之内;而由于在实验压力范围内,样品A10中的石墨粉末均处于完全连通状态,测量误差则在0.3个数量级范围之内.由此可见,随着石墨粉连通性增加,其测量精度也相应地提高.
3.2 模拟样品的总孔隙度测量结果通过公式(2) 计算,得到4组模拟样品的总孔隙度φt随压力P的变化(图 7).从图中可以看出,所有模拟样品的孔隙度变化趋势与Yang等(2014)所测量的断层岩样品结果相类似.在实验的压力范围内随着压力升高,总孔隙度呈指数衰减.采用公式(8) 对实验测量结果进行拟合,其拟合曲线在图 7中以虚线表示.
|
图 7 模拟样品的总孔隙度φt随压力P的变化与拟合曲线 (a)相同粒径的石英粉与不同含量石墨粉混合的样品(1组);(b)相同粒径的石英粉与不同含量无烟煤混合的样品(2组);(c)不同粒径石英粉与4wt%石墨粉混合的样品(3组);(d)不同粒径石英粉与8wt%石墨粉混合的样品(4组).图中的矿物代号分别为石墨(Gra)、无烟煤(Ant)和石英(Qtz). Fig. 7 Pressure (P) dependence of total porosity (φt) for the synthetic samples (a) Mixture of quartz powder of a fixed grain size distribution with various contents of graphite (group 1); (b) Mixture of quartz powder of a fixed grain size distribution with various contents of anthracite powder (group 2); (c) Mixture of quartz powder with various grain size with a given (4 wt%) content of graphite (group 3); (d) Mixture of quartz powder with various grain size with a given (8 wt%)content of graphite (group 4). |
|
(8) |
拟合结果显示,公式(8) 能够很好地描述总孔隙度-压力的相关关系.样品的粒径对初始孔隙度aφ和孔隙度随压力变化率bφ影响显著.1组样品A0—A10与2组样品C10—C30的石英粉末峰值粒径均为9.990 μm,其初始孔隙度差别较小(大部分样品的aφ介于0.16~0.22之间),孔隙度随压力变化率bφ介于0.17~0.23之间.当压力由0.2 MPa加载至300 MPa时,1组样品A0—A10孔隙度由37.7%~43.2%减小至18.0%~24.6%(图 7a);2组样品C10—C30孔隙度由33.1%~43.3%减小至14.0%~20.2%(图 7b),这两组样品的孔隙度变化幅度相差不大.相反,3组样品B4-1~B4-60与4组样品B8-1—B8-60石英粉末的峰值粒径范围介于194.0~2.083 μm,其aφ变化范围介于0.12~0.32之间,bφ变化范围介于0.18~0.30之间.石英粒径越小,孔隙度越高(图 7c、7d).
3.3 模拟样品的电导率测量结果根据4组模拟样品的实验测量结果分别做出电导率σ-压力P关系曲线如图 8所示.通过对样品电阻值测量的阻抗谱弧进行统计分析发现,当含石墨粉和含无烟煤样品的电导率分别达到10-9 S·m-1和5×10-7 S·m-1时,其含碳粉末在样品局部形成连通的导电网络;当电导率达到0.02 S·m-1时,含碳粉末则在样品整体范围内形成连通的导电网络.因此,可以将电导率分别划分为>0.02 S·m-1、10-9~0.02 S·m-1、< 10-9 S·m-1与>0.02 S·m-1、5×10-7~0.02 S·m-1、<5×10-7 S·m-1三个区间,分别作为判断模拟样品中的石墨粉和无烟煤形成连通、部分连通的导电网路和孤立结构的依据,分别在图中以深灰色、浅灰色和白色区域表示.
|
图 8 模拟样品的电导率σ压力犘关系曲线,(a)、(b)、(c)和(d)同图 7 其中白色区域表示样品中的碳未连通,浅灰色区域表示样品中的碳部分连通,深灰色区域表示样品中的碳完全连通. Fig. 8 The pressure (P) dependence of electrical conductivity (σ) for the synthetic samples, (a), (b), (c) and (d) are as Fig. 7 Samples in the white, light grey and dark grey zones are interpreted to be carbon disconnected, partially connected, and completely connected, respectively. |
当石英粒径分布范围一致时(~600目),模拟样品中含碳粉末(石墨粉与无烟煤)形成部分连通和完全连通网络的压力阈值与含碳粉末的质量分数正相关(表 1).反映出形成部分连通和完全连通的碳导电网络与碳体积率直接相关.样品中含碳粉末的质量分数越高,孔隙度越低(相应的实验压力越大),样品内部的碳体积百分含量就越大.对于相同质量分数的碳粉末(4wt%与8wt%),随着石英粉末粒径的增大,石英颗粒的比表面积逐渐减小,含碳粉末越容易构成导电通路.
3.4 天然断层岩样品的电导率测量结果天然断层岩样品电导率的测试结果如图 9所示.实验结果显示,无论天然样品中碳含量是多少,在阻抗谱Z′-Z″图上仅表现出随着压力的增高,其阻抗谱弧直径不断减小的半圆弧(作为例子,图 9a展示了样品SC1303-12的阻抗谱Z′-Z″图).与模拟样品结果不同的是,所有样品的电导率随压力的增高仅有非常小幅度的提升,并未出现碳导电网络所对应的阻抗谱Z′-Z″图谱(垂直于实轴Z′的直线段).这暗示天然样品中碳的存在形式与模拟样品中的石墨粉或无烟煤不一致.此外,尽管样品BJ-09-9-8含碳量达到59.12%,但其电导率却很低( < 2.00×10-6 S·m-1).
|
图 9 天然样品的实验结果 (a)黑色断层泥样品(SC1303-12) 的阻抗谱图;(b)天然样品的电导率测试结果.括号内的数值为碳含量,标有实心符号的样品内部存在石墨,标有空心符号的样品内部不存在石墨,斜线框内为电磁探测结果(Zhao et al, 2012). Fig. 9 The experimental results of natural samples (a) The complex impedance of black gouge (SC1303-12); (b) The experimental results of natural samples. The values in parentheses are carbon contents of samples. The solid and hollow symbols represent graphite-bearing and graphite-free samples, respectively. The gray-striped region is the MT data given by Zhao et al. (2012). |
由于实验样品内部存在大量的孔隙,所以并不能简单视为含碳粉末和石英粉末的二相体系.随着样品的孔隙体积在加压过程中迅速减小,碳在样品中的体积百分含量便逐渐增加.因此,样品碳体积率φc是研究含碳结构与电导率关系的关键参数.利用公式(9a)和(9b)计算了模拟样品的碳体积率φc随压力的变化.其中φc0是含碳粉末中的碳浓度,实验所用石墨的碳浓度为~100%,无烟煤的碳浓度为~84.04%.而ρc(P)则表示含碳粉末在压力为P时的密度(g·cm-3):
|
(9a) |
|
(9b) |
根据计算得到碳体积率φc(P),作出模拟样品电导率σ-碳体积率φc的关系曲线如图 10所示.在石英粒径为~600目的条件下,含石墨粉的模拟样品中的碳体积率分别达到5.95~6.13vol%和6.46~6.73vol%时,石墨粉便能够形成部分连通和完全连通的导电路径(图 10a);而对于含无烟煤的模拟样品,碳体积率则需要分别达到16.02~17.22vol%和19.03~20.27vol%(图 10b).
|
图 10 模拟样品电导率σ-碳体积率φc的关系曲线,(a)、(b)、(c)和(d)同图 7 Fig. 10 Electrical conductivity (σ)-carbon volume fraction (φc) curves of the synthetic samples; (a), (b), (c) and (d) are as Fig. 7 |
利用扫描电镜(SEM)并结合能谱(EDS)观察样品的微观结构,以验证上述样品的导电性能够随着碳体积率增加呈现出弱导电-部分连通-完全连通的变化规律,其中EDS面扫描图能有效分辨碳在样品中的分布(样品采用喷金预处理),如图 11所示.对于不同类型的模拟样品(石英-石墨粉或石英-无烟煤混合),随着碳体积率的增加,碳在样品中的导电网格逐渐由不连通向部分连通与完全连通转化,很好地辅助证实了电导率的测量结果.需要指出的是,石墨粉末集合体多以碟盘状分布于石英粉末中,形成与压缩方向垂直的面理构造(图 11a—11c);而无烟煤则普遍以椭球状分散于石英粉末颗粒之间(图 11d—11f).
|
图 11 实验样品的典型微观结构及能谱分析结果 (a)—(c)石英粒径相同、石墨粉含量不同的样品(1组);(d)—(f)石英粒径相同、无烟煤含量不同的样品(2组);(g)—(i)石英粒径不同、石墨粉含量相同的样品(4组).其中黄色空心箭头指示压缩方向;绿色部分为EDS面扫描硅元素图层与氧元素图层叠加而得到的硅酸盐图层,代表模拟样品中的石英粉末;红色部分为碳元素图层,代表模拟样品中的含碳粉末. Fig. 11 Typical microstruscture and energy spectrum analysis results of the post-deformational samples (a)—(c): Mixture of quartz powder of a fixed grain size distribution with various contents of graphite (group 1); (d)—(f): Mixture of quartz powder of a fixed grain size distribution with various contents of anthracite powder (group 2); (g)—(i): Mixture of quartz powder with various grain size with a given (4 wt%) content of graphite (group 4). The yellow arrows indicate the compression direction. The green regions, which represent the quartz grains in synthetic samples, are identified from the EDS analyses by superimposing the silicon and oxygen element layers. The red regions, showing carbon element layers, represent thecarbonaceous portions of the samples. |
Wang等(2013)在研究石墨对地幔橄榄岩电导率影响时,根据逾渗理论(Gueguen and Dienes, 1989)提出了橄榄岩的导电模型,即当描述石墨高导相几何形态分布的参数大于逾渗阈值时,橄榄岩电导率大小与石墨的体积率有关.依据逾渗模型,在给定石英颗粒粒径大小分布的情况下,本文建立了一个含碳断层岩的电导率与碳体积率、含碳粉末几何形态和纯含碳粉末电导率关系的导电模型公式:
|
(10a) |
|
(10b) |
其中σc为含碳粉末的电导率(S·m-1),σc0为含碳粉末在模拟样品中开始产生部分连通时的电导率(S·m-1)(对于含石墨粉的样品σg0=10-9 S·m-1,而对于含无烟煤的样品σa0=5×10-7 S·m-1).n是样品碳体积率的函数,
(a)当n≥nc时,含碳粉末在模拟样品中形成连通的导电网络.通过对模拟样品中的碳粉末集合体的形态因子c/w进行统计,发现呈碟盘状分布的石墨粉末集合体的c/w较大;而呈椭球状分布的无烟煤集合体的c/w较小.分别取c/w的平均值4.29(含石墨粉样品)和2.28(含无烟煤样品)作为平均参数值对实验数据拟合,σ-n关系的拟合曲线如图 12b和图 12d虚线所示.拟合结果显示,其电导率σ与参数n有关,符合逾渗模型(式10a),其中石墨的逾渗阈值(0.203) 略低于无烟煤(0.295),石墨的r值(2.53) 与无烟煤(2.87) 相近,σc、nc受到c/w值变化影响较大,而系数r值对c/w值的变化不敏感.
|
图 12 模拟样品电导率的实验模型 (a)和(c):含碳粉末未连通时,模拟样品电导率σ-总孔隙度φt的关系;(b)和(d):含碳粉末开始连通时,模拟样品电导率的逾渗模型.其中(a)、(b)为含石墨粉样品,(c)、(d)为含无烟煤样品.计算式c/w取统计平均值. Fig. 12 The experimental models of synthetic samples (a) and (c): The exponential relationship between electrical conductivity (σ) and total porosity (φt) before conductive pathways develop in the smaple; (b) and (d): The percolation theory controlling the electrical conductivity as conductive pathways starts to developped. (a) and (b) are graphite-quartz mixture samples, while (c) and (d) are anthracite-quartz mixture samples. The c/w values used in the fitting are the statisticaly mean values from our microstructural analyses. |
(b)当n<nc时,模拟样品的含碳粉末未产生连通.随着样品总孔隙度φt的减小,颗粒之间接触面积逐渐增大,电导率σ指数性增加.此时样品电导率σ的大小与总孔隙度φt有关(式10b),σ-φt关系的拟合曲线如图 12a和图 12c虚线所示.
4.1.2 矿物粒径与导电结构的关系不同粒径的石英粉末样品的电导率σ-碳体积率φc关系曲线如图 10c和图 10d所示.对应的显微结构照片(样品B8-1、B8-4和B8-60) 如图 12g—12i所示.实验结果表明:(a)当石墨粉末未连通时,样品中的石英颗粒粒径越小,其电导率越高;(b)当石墨粉末部分连通或完全连通时,石英颗粒粒径越小,越难形成连通的导电薄膜(图 12g—12i),导致其电导率下降.造成这种现象的原因可以归结于颗粒的比表面积对电导率的影响.粒径越小,比表面积越大,颗粒边界对导电性的贡献越大;粒径越大,石英颗粒的比表面积越小,相同的石墨粉末越容易覆盖石英石颗粒表面并形成导电的网络通道.由此可见,岩石中矿物颗粒的大小也是影响碳导电结构的重要因素.
4.2 碳的晶体结构对样品电导率的影响不仅是碳体积率与矿物颗粒体积,碳的晶体结构直接决定了样品的导电性.例如在实验压力的范围内(0.2~300 MPa),模拟样品A7.5(含7.5wt%石墨粉)电导率为1.39×10-11~1.00×10-1 S·m-1,能够形成完全连通的导电路径;模拟样品C10(含7.5wt%无烟煤)电导率为6.36×10-9~1.11×10-7 S·m-1,并未形成连通的导电路径;天然样品BJ-09-9-8的含碳量甚至达到59.12%,但其电导率在2.24×10-7~1.50×10-6 S·m-1之间.Pierson(1993)认为石墨和无定型碳均具有良好的导电性,但相比石墨而言,无定型碳的导电性略低;而有机质碳在常温下则可视为绝缘体,这可以解释尽管天然样品BJ-09-9-8的含碳量很高,但其电导率却相对较低的现象.利用逾渗模型拟合得到本次实验所用到的石墨粉和无烟煤(无烟煤主要以无定型碳为主)的电导率分别为889.6 S·m-1和50.67 S·m-1,与前人的结果相近.例如,石墨的电导率为104~107 S·m-1(Duba et al., 1994),2×105~4×105 S·m-1(平行晶格层面方向)和3.3×102 S·m-1(垂直晶格层面方向)(Pierson, 1993).
4.3 断层带导电性质的讨论将实验结果与龙门山地震断层带的电磁探测结果(Zhao et al., 2012)进行对比(图 10a、10b)可以看出,若要利用碳含量和碳分布结构来解释其10~30 Ωm电磁探测结果的话,断层带需要含有6.46%~6.75vol%的石墨或19.43%~22.43vol%的无定型碳.然而,龙门山地震断层带中石墨或无定型碳含量远远达不到该数值.
通过对含石墨粉末(图 12b)和无烟煤(图 12d)的模拟样品与天然橄榄岩样品(Wang et al., 2013中的图 5)的逾渗模型进行对比发现天然橄榄岩样品c/w值(10~20) 和r值(~10) 较高,而逾渗阈值n(~0.3) 与模拟样品相近,这说明碳在两类样品中的导电性质相近,但是分布形态不一.在模拟样品中碳主要还是在石英颗粒孔隙中集中分布,而在天然样品中则趋向以薄膜状形式存在于岩石颗粒边缘,形成导电网络.因此,在碳的体积率相同的条件下,天然样品会比模拟样品电导率高得多.换言之,仅需要很少的导电碳(~3.5vol%),便可以形成连通的导电路径,只是因为样品内部结构的差异性导致本次实验模拟样品的逾渗阈值偏高.
室内实验结果显示,如果断层泥处于厌氧的条件下,受到断层强烈的摩擦作用,发生瞬态高温,有机质碳也会脱去挥发份,发生石墨化作用,并可能形成单质碳甚至石墨晶体(Glover, 1996; Nover, 2005; Nover et al., 2005; Oohashi et al., 2011; Kuo et al., 2014).断层泥的显微构造显示(图 2d),在断层的核部,导电碳也能够富集形成高导的脉体.但是由于受到实验样品厚度大小的限制,本次实验并没有测量具有完整含碳结构的天然样品,同时也没有将天然样品中的有机质碳的挥发份除去,导致天然样品电导率值较低.
Sibson(1977)提出地下1~4 km松散的断层角砾或断层泥内部存在大量的孔隙,可以赋存高导的流体、石墨与金属相.Zhao等(2012)推断流体是形成龙门山断裂带地下高导层的主要因素,但是地壳深度的增加也会导致流体的导电性降低(Nesbitt, 1993)与连通性减弱(Haak et al., 1997).通过大量的野外地质调查和室内实验研究,前人发现很多断层剪切带核部碳含量或石墨含量明显增加,如日本的Ushikubi断层(Oohashi et al., 2012)、瑞士的Err拆离断层(Manatschal, 1999)以及德国的Bohemian断层块(Haak et al., 1997; Zulauf et al., 1999)等,说明碳也可能是导致断层带高导性质的重要原因之一.虽然本次实验结果显示天然样品需要很高的含碳量,并且其电导率结果也没有达到预期值,但是我们推断地下含有~3.5vol%碳的断层带在地震强烈地摩擦滑动条件下,有机碳就能转化为单质碳并在滑动面上富集,形成实际电磁数据得到的高导层.在今后的实验中如果考虑在动态摩擦的条件下研究含有完整含碳结构断层岩的电导率作为补充,相信对含碳断层带的导电结构能够有一个更加完整而清晰地认识.
5 结论利用含碳粉末与不同粒径的石英粉末相互混合制成的模拟样品和地震断层岩天然样品研究碳含量、矿物粒径和碳晶体结构对样品电导率的影响,并探讨龙门山地震断层带的导电结构.从实验及分析结果得到以下认识:
(1) 单质碳粉末与石英粉末混合构成的模拟样品适合于研究含碳断层岩的电导率特征.当模拟样品中的含碳粉末形成导电通路,其电导率与碳体积率符合逾渗模型;相反,如果含碳粉末没有相互连通,样品的电导率随着总孔隙度不断降低而呈指数性升高.
(2) 矿物粒径对样品的导电性有重要影响.当石墨粉末未连通时,矿物粒径越小,比表面积就越大,其电导率越高;相反,当石墨粉末部分连通或完全连通时,在碳体积率相同的情况下,矿物粒径越大,矿物颗粒之间的含碳粉末就越容易形成连通的导电网络,导电性越好.
(3) 天然断层带中的单质碳主要以碳膜的形式赋存于颗粒边缘,因此断层滑移有利于碳形成连通的高导路径.有机碳本身并不能实质性改进提高岩石的导电性.在厌氧的条件下,摩擦滑动有可能促使有机碳向单质碳转化并对断层岩的导电性做出贡献.
致谢本文实验样品的碳含量分析测试是在中国科学院青藏高原研究所完成,粒度分析是在中国地震局活动构造与火山重点实验室赵波博士指导下完成,部分研究内容也与地震动力学国家重点实验室段庆宝博士进行了探讨,在此表示衷心感谢.
| Bai D H, Unsworth M J, Meju M A, et al. 2010. Crustal deformation of the eastern Tibetan plateau revealed by magnetotelluric imaging. Nature Geoscience, 3(5): 358-362. DOI:10.1038/ngeo830 | |
| Bass J D. 1995. Elasticity of minerals, glasses, and melts.//Ahrens T J ed. Mineral Physics & Crystallography:A Handbook of Physical Constants. Washington, DC:AUG, 2:45-63. | |
| Burchfiel B C, Royden L H, Van Der Hilst R D, et al. 2008. A geological and geophysical context for the Wenchuan earthquake of 12 May 2008, Sichuan, People's Republic of China. GSA Today, 18(7): 4-11. DOI:10.1130/GSATG18A.1 | |
| Chen J Y, Yang X S, Ma S L, et al. 2013. Mass removal and clay mineral dehydration/rehydration in carbonate-rich surface exposures of the 2008 Wenchuan Earthquake fault:Geochemical evidence and implications for fault zone evolution and coseismic slip. Journal of Geophysical Research:Solid Earth, 118(2): 474-496. DOI:10.1002/jgrb.50089 | |
| Chen J Y, Yang X S, Ma S L, et al. 2016. Hydraulic properties of samples retrieved from the Wenchuan earthquake fault scientific drilling project hole-1 (WFSD-1) and the surface rupture zone:implications for coseismic slip weakening and fault healing. Geochemistry, Geophysics, Geosystems, 17(7): 2717-2744. DOI:10.1002/2016GC006376 | |
| Duan Q B, Yang X S, Ma S L, et al. 2016. Fluid-rock interactions in seismic faults:Implications from the structures and mineralogical and geochemical compositions of drilling cores from the rupture of the 2008 Wenchuan earthquake, China. Tectonophysics, 666: 260-280. DOI:10.1016/j.tecto.2015.11.008 | |
| Duba A, Heikamp S, Meurer W, et al. 1994. Evidence from borehole samples for the role of accessory minerals in lower-crustal conductivity. Nature, 367(6458): 59-61. DOI:10.1038/367059a0 | |
| Duba A, Huengest E, Nover G, et al. 1988. Impedance of black shale from Münsterland I borehole:an anomalously good conductor?. Geophysical Journal, 94(3): 413-419. DOI:10.1111/j.1365-246X.1988.tb02264.x | |
| Duba A G, Shankland T J. 1982. Free carbon & electrical conductivity in the Earth's mantle. Geophysical Research Letters, 9(11): 1271-1274. DOI:10.1029/GL009i011p01271 | |
| Frost B R, Fyfe W S, Tazaki K, et al. 1989. Grain-boundary graphite in rocks and implications for high electrical conductivity in the lower crust. Nature, 340(6229): 134-136. DOI:10.1038/340134a0 | |
| Glover P W J. 1996. Graphite and electrical conductivity in the lower continental crust:a review. Physics and Chemistry of the Earth, 21(4): 279-287. DOI:10.1016/S0079-1946(97)00049-9 | |
| Glover P W J, Vine F J. 1992. Electrical conductivity of carbon-bearing granulite at raised temperatures and pressures. Nature, 360(6406): 723-726. DOI:10.1038/360723a0 | |
| Gueguen Y, Dienes J. 1989. Transport properties of rocks from statistics and percolation. Mathematical Geology, 21(1): 1-13. DOI:10.1007/BF00897237 | |
| Haak V, Simpson F, Bahr K, et al. 1997. KTB and the electrical conductivity of the crust. Journal of Geophysical Research:Solid Earth, 102(B8): 18289-18306. DOI:10.1029/96JB03861 | |
| Hill R. 1952. The elastic behaviour of a crystalline aggregate. Proceedings of the Physical Society, Section A, 65(5): 349-354. DOI:10.1088/0370-1298/65/5/307 | |
| Huebner J S, Dillenburg R G. 1995. Impedance spectra of hot, dry silicate minerals and rock:Qualitative interpretation of spectra. American Mineralogist, 80(1-2): 46-64. DOI:10.2138/am-1995-1-206 | |
| Liu-Zeng J, Wen L, Sun J, et al. 2010. Surficial slip and rupture geometry on the Beichuan Fault near Hongkou during the MW7.9 Wenchuan Earthquake, China. Bulletin of the Seismological Society of America, 100(5B): 2615-2650. DOI:10.1785/0120090316 | |
| Jödicke H. 1992. Water and graphite in the Earth's crust——an approach to interpretation of conductivity models. Surveys in Geophysics, 13(4-5): 381-407. DOI:10.1007/BF01903484 | |
| Jödicke H, Kruhl J H, Ballhaus C, et al. 2004. Syngenetic, thin graphite-rich horizons in lower crustal rocks from the Serre San Bruno, Calabria (Italy), and implications for the nature of high-conducting deep crustal layers. Physics of the Earth and Planetary Interiors, 141(1): 37-58. DOI:10.1016/j.pepi.2003.09.013 | |
| Jödicke H, Nover G, Kruhl J H, et al. 2007. Electrical properties of a graphite-rich quartzite from a former lower continental crust exposed in the Serre San Bruno, Calabria (southern Italy). Physics of the Earth and Planetary Interiors, 165(1-2): 56-67. DOI:10.1016/j.pepi.2007.08.001 | |
| Jones A G. 1992. Electrical conductivity of the continental lower crust.//Fountain D M, Arculus R J, Kay R W eds. Continental Lower Crust. Amsterdam:Elsevier Science Publishers, 81-143. | |
| Kuo L W, Li H B, Smith S A F, et al. 2014. Gouge graphitization and dynamic fault weakening during the 2008 MW7.9 Wenchuan earthquake. Geology, 42(1): 47-50. DOI:10.1130/G34862.1 | |
| Laumonier M, Gaillard F, Sifre D. 2015. The effect of pressure and water concentration on the electrical conductivity of dacitic melts:implication for magnetotelluric imaging in subduction areas. Chemical Geology, 418: 66-76. DOI:10.1016/j.chemgeo.2014.09.019 | |
| Liu J, Li H B, Zhang J J, et al. 2016. Origin and formation of carbonaceous material veins in the 2008 Wenchuan earthquake fault zone. Earth, Planets and Space, 68(1): 19. DOI:10.1186/s40623-016-0399-z | |
| Manatschal G. 1999. Fluid-and reaction-assisted low-angle normal faulting:evidence from rift-related brittle fault rocks in the Alps (Err Nappe, eastern Switzerland). Journal of Structural Geology, 21(7): 777-793. DOI:10.1016/S0191-8141(99)00069-3 | |
| Mareschal M, Fyfe W S, Percival J, et al. 1992. Grain-boundary graphite in Kapuskasing gneisses and implications for lower-crustal conductivity. Nature, 357(6380): 674-676. | |
| Mathez E A, Roberts J J, Duba A G, et al. 2008. Carbon deposition during brittle rock deformation:changes in electrical properties of fault zones and potential geoelectric phenomena during earthquakes. Journal of Geophysical Research:Solid Earth, 113(B12): B12201. DOI:10.1029/2008JB005798 | |
| Nesbitt B E. 1993. Electrical resistivities of crustal fluids. Journal of Geophysical Research:Solid Earth, 98(B3): 4301-4310. DOI:10.1029/92JB02576 | |
| Nover G. 2005. Electrical properties of crustal and mantle rocks-a review of laboratory measurements and their explanation. Surveys in Geophysics, 26(5): 593-651. | |
| Nover G, Heikamp S, Meurer H J, et al. 1998. In-situ electrical conductivity and permeability of mid-crustal rocks from the ktb drilling:consequences for high conductive layers in the earth crust. Surveys in Geophysics, 19(1): 73-85. DOI:10.1023/A:1006592016176 | |
| Nover G, Stoll J B, Von Der G nna J. 2005. Promotion of graphite formation by tectonic stress-a laboratory experiment. Geophysical Journal International, 160(3): 1059-1067. DOI:10.1111/gji.2005.160.issue-3 | |
| Oohashi K, Hirose T, Kobayashi K, et al. 2012. The occurrence of graphite-bearing fault rocks in the Atotsugawa fault system, Japan:origins and implications for fault creep. Journal of Structural Geology, 38: 39-50. DOI:10.1016/j.jsg.2011.10.011 | |
| Oohashi K, Hirose T, Shimamoto T. 2011. Shear-induced graphitization of carbonaceous materials during seismic fault motion:experiments and possible implications for fault mechanics. Journal of Structural Geology, 33(6): 1122-1134. DOI:10.1016/j.jsg.2011.01.007 | |
| Pierson H. 1993. Handbook of Carbon, Graphite, Diamond, and Fullerenes:Properties, Processing and Applications. New York: Noyes Publications. | |
| Scarlato P, Poe B T, Freda C, et al. 2004. High-pressure and high-temperature measurements of electrical conductivity in basaltic rocks from Mount Etna, Sicily, Italy. Journal of Geophysical Research:Solid Earth, 109(B4): B02210. | |
| Schilling F R, Partzsch G M, Brasse H, et al. 1997. Partial melting below the magmatic arc in the central Andes deduced from geoelectromagnetic field experiments and laboratory data. Physics of the Earth and Planetary Interiors, 103(1-2): 17-31. DOI:10.1016/S0031-9201(97)00011-3 | |
| Shankland T J, Duba A G, Mathez E A, et al. 1997. Increase of electrical conductivity with pressure as an indicator of conduction through a solid phase in midcrustal rocks. Journal of Geophysical Research:Solid Earth, 102(B7): 14741-14750. DOI:10.1029/96JB03389 | |
| Shimojuku A, Yoshino T, Yamazaki D, et al. 2012. Electrical conductivity of fluid-bearing quartzite under lower crustal conditions. Physics of the Earth and Planetary Interiors, 198-199: 1-8. DOI:10.1016/j.pepi.2012.03.007 | |
| Si J L, Li H B, Kuo L W, et al. 2014. Clay mineral anomalies in the Yingxiu-Beichuan fault zone from the WFSD-1 drilling core and its implication for the faulting mechanism during the 2008 Wenchuan earthquake (MW7.9). Tectonophysics, 619-620: 176-178. | |
| Sibson R. 1977. Fault rocks and fault mechanisms. Journal of the Geological Society, 133(3): 191-213. DOI:10.1144/gsjgs.133.3.0191 | |
| Stauffer D, Aharony A. 2003. Introduction to Percolation Theory. London: Taylor & Francis.. | |
| Sun J, Jin G W, Bai D H, et al. 2003. Sounding of electrical structure of the crust and upper mantle along the eastern border of Qinghai-Tibet Plateau and its tectonic significance. Science in China Series D:Earth Sciences, 46(S2): 243-253. | |
| Ten Grotenhuis S M, Drury M R, Peach C J, et al. 2004. Electrical properties of fine-grained olivine:evidence for grain boundary transport. Journal of Geophysical Research:Solid Earth, 109(B6): B06203. | |
| Togo T, Shimamoto T, Ma S L, et al. 2011. Internal structure of Longmenshan fault zone at Hongkou outcrop, Sichuan, China, that caused the 2008 Wenchuan earthquake. Earthquake Science, 24(3): 249-265. DOI:10.1007/s11589-011-0789-z | |
| Wang D J, Karato S I, Jiang Z T. 2013. An experimental study of the influence of graphite on the electrical conductivity of olivine aggregates. Geophysical Research Letters, 40(10): 2028-2032. DOI:10.1002/grl.50471 | |
| Wang H, Li H B, Si J L, et al. 2014a. Internal structure of the Wenchuan earthquake fault zone, revealed by surface outcrop and WFSD-1 drilling core investigation. Tectonophysics, 619-620: 101-114. DOI:10.1016/j.tecto.2013.08.029 | |
| Wang X B, Luo W, Zhang G, et al. 2013. Electrical resistivity structure of Longmenshan crust-mantle under sector boundary. Chinese Journal of Geophysics (in Chinese), 56(8): 2718-2727. DOI:10.6038/cjg20130820 | |
| Wang X B, Zhu Y T, Zhao X K, et al. 2009. Deep conductivity characteristics of the Longmen Shan, Eastern Qinghai-Tibet Plateau. Chinese Journal of Geophysics (in Chinese), 52(2): 564-571. | |
| Wang X B, Zhang G, Fang H, et al. 2014b. Crust and upper mantle resistivity structure at middle section of Longmenshan, eastern Tibetan plateau. Tectonophysics, 619-620: 143-148. DOI:10.1016/j.tecto.2013.09.011 | |
| Watson H C, Roberts J J, Tyburczy J A. 2010. Effect of conductive impurities on electrical conductivity in polycrystalline olivine. Geophysical Research Letters, 37(2): L02302. | |
| Xu X W, Wen X Z, Ye J Q, et al. 2008. the MS8.0 wenchuan earthquake surface ruptures and its seismogenic structure. Seismology and Geology (in Chinese), 30(3): 597-629. | |
| Xu X W, Wen X Z, Yu G H, et al. 2009. Coseismic reverse-and oblique-slip surface faulting generated by the 2008 MW7.9 Wenchuan earthquake, China. Geology, 37(6): 515-518. DOI:10.1130/G25462A.1 | |
| Yang X Z, Keppler H, McCammon C, et al. 2011. Effect of water on the electrical conductivity of lower crustal clinopyroxene. Journal of Geophysical Research:Solid Earth, 116(B4): B04208. | |
| Yang X Z, Keppler H, McCammon C, et al. 2012. Electrical conductivity of orthopyroxene and plagioclase in the lower crust. Contributions to Mineralogy and Petrology, 163(1): 33-48. DOI:10.1007/s00410-011-0657-9 | |
| Yang X S, Yang Y, Chen J Y. 2014. Pressure dependence of density, porosity, compressional wave velocity of fault rocks from the ruptures of the 2008 Wenchuan earthquake, China. Tectonophysics, 619-620: 133-142. DOI:10.1016/j.tecto.2013.09.012 | |
| Yang Y, Chen J Y, Yang X S. 2014. Experimental studies on relationship between P-wave velocity and porosity of fault rocks from the rupture of the 2008 Wenchuan earthquake. Chinese Journal of Geophysics (in Chinese), 57(6): 1883-1890. DOI:10.6038/cjg20140619 | |
| Zhang P Z, Xu X W, Wen X Z, et al. 2008. Slip rates and recurrence intervals of the Longmen Shan active fault zone, and tectonic implications for the mechanism of the May 12 Wenchuan earthquake, 2008, Sichuan, China. Chinese Journal of Geophysics (in Chinese), 51(4): 1066-1073. DOI:10.3321/j.issn:0001-5733.2008.04.015 | |
| Zhao G, Unsworth M J, Zhan Y, et al. 2012. Crustal structure and rheology of the Longmenshan and Wenchuan MW7.9 earthquake epicentral area from magnetotelluric data. Geology, 40(12): 1139-1142. DOI:10.1130/G33703.1 | |
| Zulauf G, Palm S, Petschick R, et al. 1999. Element mobility and volumetric strain in brittle and brittle-viscous shear zones of the superdeep well KTB (Germany). Chemical Geology, 156(1-4): 135-149. DOI:10.1016/S0009-2541(98)00189-2 | |
| 王绪本, 罗威, 张刚, 等. 2013. 扇形边界条件下的龙门山壳幔电性结构特征. 地球物理学报, 56(8): 2718–2727. DOI:10.6038/cjg20130820 | |
| 王绪本, 朱迎堂, 赵锡奎, 等. 2009. 青藏高原东缘龙门山逆冲构造深部电性结构特征. 地球物理学报, 52(2): 564–571. | |
| 徐锡伟, 闻学泽, 叶建青, 等. 2008. 汶川MS8.0地震地表破裂带及其发震构造. 地震地质, 30(3): 597–629. | |
| 杨彧, 陈进宇, 杨晓松. 2014. 汶川地震破裂带断层岩纵波速度与孔隙度关系的实验研究. 地球物理学报, 57(6): 1883–1890. DOI:10.6038/cjg20140619 | |
| 张培震, 徐锡伟, 闻学泽, 等. 2008. 2008年汶川8.0级地震发震断裂的滑动速率、复发周期和构造成因. 地球物理学报, 51(4): 1066–1073. DOI:10.3321/j.issn:0001-5733.2008.04.015 | |
2017, Vol. 60

