2. 地球勘探与信息技术教育部重点实验室(成都理工大学), 成都 610059
2. Key Laboratory of Earth Exploration and Information Technology of Ministry of Education(Chengdu University of Technology), Chengdu 610059, China
近年来不同尺度(全球的,区域的,局部的)的地震台阵迅速发展.最典型的例子就是美国的USArray计划.USArray是EarthScope计划的组成部分.由400个宽频带地震台组成的间距约70 km的滚动台阵由西向东布设.目的是查明美国境内的大陆结构以及演化(李秋生等,2010).通过分析USArray的数据发现,在美国西部和中部地区由于历史上的板块俯冲使上地幔的结构非常复杂(Brudzinski and Allen, 2007; Yang and Ritzwoller, 2008; West et al., 2009; Liang and Langston, 2009; Schmandt and Humphreys, 2010; Levander et al., 2011; Obrebski et al., 2011; Schmandt and Humphreys, 2011; Shen et al., 2013a, 2013b; Evanzia et al., 2014; Langston and Horton, 2014; Porritt et al., 2014),并表现出显著的横向不均匀性.同时,USArray也为各种新方法的提出和发展提供了必不可少的测试数据(Liang and Langston, 2009; Lin and Ritzwoller, 2011; Pavlis et.al, 2012).然而通过USArray数据对美国东部区域的研究才刚刚开始(Burdick et al., 2014; Schmandt and Lin, 2014; Jin and Gaherty, 2015; Liu and Holt, 2015).
与之对应,中国也开始了中国地震科学台阵探测项目.该项目的主要目标是用于探测中国大陆与地震孕育环境密切相关的更加精细的深部介质速度结构、物性结构和力学状态(陈九辉等,2011).到目前为止已经进行了两期的台阵布置.一期探测工作区域为南北地震带中南段的云贵地区和甘肃南部以及青海东部地区(陈九辉等,2011).二期探测工作区域为南北地震带北段.与USArray计划的台阵相比,该计划规模更大,台阵更密.除此之外,对于特定研究目标而建立的流动台阵也与日俱增.比如为研究川滇、巴颜喀拉和华南三大活动地块的交界地块而布设的川西台阵(刘启元等,2008;Liu et al., 2014).
这些大型台阵的数据已被用于许多传统方法的研究,比如纵波,横波或者面波走时层析成像(徐小明等,2015;Schmandt and Lin, 2014;Huang et al., 2015b),波形层析成像(Schaeffer and Lebedev, 2014),接收函数分析(Liu et al., 2014;杨宜海等,2015),剪切波分裂(太龄雪等,2015;常利军等,2015;Huang et al., 2015a;Yang et al., 2017)以及背景噪声成像(鲁来玉等,2014;王琼等, 2015, Boué et al., 2014).这些方法都是把每一个台站看成一个独立的观测点.但没有把一个台站与周围的台站结合起来进行综合考虑.此外,走时层析成像与剪切波分裂这两种方法只考虑了地震波的走时信息而没有考虑地震波的振幅差异.而接收函数方法则利用每个台站的波形而没有利用台站之间地震波振幅变化的信息.聚束成像技术(Rost and Thomas, 2002)和双台相速度处理技术(潘佳铁等,2015)是目前较为流行的台阵数据处理技术.但这两种方法中的波形叠加或者互相关会致使台站记录的振幅信息丢失.然而波形振幅的变化包含有许多反映介质结构的信息.相比之下,波形梯度法可以通过密集的台阵获取振幅的空间变化,从而确定地下结构和地震波的传播效应(Langston,2007a).
三分量波形梯度法可以从波形的空间梯度中获得相速度、传播方向、几何扩散以及辐射花样四个参数.波形梯度法的第一次提出,是用于分析密西西比湾地区的由爆炸源引起的强地面运动(Langston et al., 2006).波形的空间梯度与地球介质连续的物理性质有很强的对应关系,比如应力与应变(Langston,2007a; Liu and Holt, 2015),并且波形的空间梯度也与波场的振幅以及它的时间导数有关(Langston, 2007a).应用波形梯度法分析一维的线性台阵数据,可以获得慢度和几何扩散参数(Langston, 2007a, 2007b).应用波形梯度法分析二维的规则台阵或不规则台阵数据,可以进一步求得辐射花样以及地震波的入射角度(Langston, 2007c).三维台站的波形梯度法的研究目前还在理论阶段.到目前为止很少有三维的台阵数据,所以所有的测试都是基于合成数据的应用(Poppeliers et al., 2013a, 2013b).波形梯度法可以用于任何类型的地震波,比如体波或者面波(Liang and Langston, 2009).基于之前的理论,Poppeliers(2010, 2011)提出了一种新的分析工具以量化依赖频率的地震波属性,主要是充分发挥小波变换在频率域上的特点,通过单小波变换和多小波变换对地震波进行分离,也就是说通过连续的小波变换将地震波分离成有限带宽的数据,之后再进行波形梯度的计算.
对于三分量波形梯度法来说,最为关键的一步就是求取波场的空间梯度.考虑到USArray台站分布的不规则性,本文使用加权反演联合折合速度法进行波场梯度的计算.此外对于不规则台站的波形空间梯度的求解,还可以对波场进行双三次样条插值从而求得连续的空间梯度场(Liu and Holt, 2015).这个方法常常用于GPS的数据分析(Holt et al., 2000; Holt and Shcherbenko, 2013).该方法的优点是得到了连续的空间梯度场,从而可以得到更精细的地下结构,但用这种方法计算时间将会加长.
在目前的波形梯度法研究中,大多只用到了地震仪三分量中的垂直分量,对水平分量缺少研究,本文通过图 1台阵记录的数据,同时对面波的三个分量进行研究.首先进行垂向分量的面波波形梯度计算,求得地震波入射子台阵的角度,再根据求得的入射角对地震计的水平的两个分量进行坐标旋转,得到地震波传播方向上的径向分量,以及切向分量的面波地震记录.瑞利波和勒夫波都是面波,前者由P波与SV波耦合叠加而成,后者则是SH波在近地表多次反射叠加而成.通过对面波三分量得出的相速度、传播方向、几何扩散以及辐射花样进行分析,可以定性地研究壳幔介质中可能存在的径向各向异性.对每一个地震事件,在每个子台阵中,波形梯度法可以基于波形相位的差异得到相速度.同时,也可以基于振幅的变化得到的振幅在径向与横向的变化.这些信息对于地震波传播中的散射,衰减或者介质的各向异性的研究都有重要的意义.
|
图 1 研究区域及台站分布 蓝色三角为2012年9月5日USArray台阵的分布.右上角的红色方框表示研究区域,红色五角星表示本文使用的地震事件. Fig. 1 Study region and USArray stations distribution map The blue triangles mark a snapshot of the USArray stations at 5th September 2012. The red box on the upright insert indicates the present study area and the red star is the event used in this paper. |
Langston等(2007a, 2007b, 2007c, 2008)建立了波形梯度法的基本理论.为了讨论方便,本文对一些基本公式进行简要回顾.对于三分量的波形梯度法,首先通过方位角对三个分量进行坐标旋转.假设垂向分量uz,径向分量ur,切向分量uθ,则在圆柱坐标系下,地震波场的三个分量可表示为
|
(1) |
|
(2) |
|
(3) |
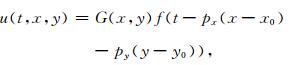
其中,GR(r)和RR(θ)分别表示P-SV波或瑞雷波振幅随距离和方位角的变化. GL(r)和RL(θ)分别表示SH波或勒夫波振幅随距离和方位角的变化. pR和pL都是r的函数,分别代表P-SV波和SH波的慢度.由于本文主要讨论面波,所以以下主要讨论瑞雷波和勒夫波.由于垂直分量与径向分量的面波部分属于瑞雷波,所以水平慢度同为pR.切向分量的面波部分属于勒夫波,水平慢度为pL.公式(1—3) 描述的是远震的瑞雷波和勒夫波的传播方程,并不适用于近震的地震波(Langston and Liang, 2008).
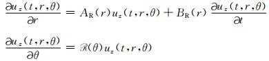
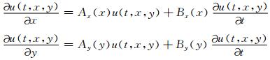
首先对垂直分量进行处理,根据文献(Langston,2007b),由公式(1) 分别对r和θ求偏导可得:
|
(4) |
其中,
|
(7) |
根据圆柱坐标系与直角坐标系的坐标转换:
|
(8) |
所以圆柱坐标系和直角坐标系的微分关系式:
|
(9) |
|
(10) |
假设直角坐标系下的地震波场的任一分量可以表示为
|
(11) |
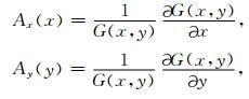
其中,G(x, y)表示是振幅的变化,即几何扩散和辐射花样的综合影响.px,py分别表示x方向与y方向的慢度.对式(11) 进行微分可得:
|
(12) |
其中,
|
(13) |
|
(14) |
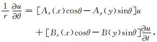
将式(12) 式代入式(10) 中可得:
|
(15) |
将式(4) 与式(15) 进行对比可得:
|
(16) |
可以得到传播方向:
|
(17) |
假定在局部区域慢度为常数,由式(14) 可得:
|
(18) |
|
(19) |
由式(17)(18)(19) 可得传播方向:
|
(20) |
通过式(5)(9)(13)(15) 辐射花样和几何扩散:
|
(21) |
|
(22) |
而垂直分量相速度为
|
(23) |
同理,径向分量与切向分量的四大参数也可通过式(20)(21)(22)(23) 得到.
2.2 计算空间梯度为了得到地震波的四大参数速度、传播方向、几何扩散以及辐射花样,首先需要得到波场的空间梯度.对于规则台阵或是轻微不规则台阵来说,空间梯度的计算常用有限差分的方法(Langston, 2007c).由于USArray台阵分布并不是那么规则,所以本文采用Liang和Langston(2009)提出的一种加权反演联合折合速度的方法来计算台阵的波形空间梯度的方法.计算空间梯度时,该方法可以有效的减少泰勒展开式中的高阶项带来的误差,从而得到较为精确的地震波场空间梯度.同时数值模拟实验也证实了该方法可以有效的减少计算空间梯度的误差(Liang and Langston, 2009).
3 三分量波形梯度法的应用及结果分析将图 1中台站记录到的2012年8月27日发生在中美洲西海岸的地震事件面波地震数据进行三分量波形梯度处理,得到结果.事实上,该方法可以运用于任意类型的地震波包括体波或者横波.本文运用的是面波数据.原因有三:第一,面波的频率相对其他类型地震波频率较低,在计算地震波场的空间梯度时面波受到截断误差的影响较小.第二,由于面波是水平地传播,因此计算的结果可以用极坐标系表示.第三,在震级较大的地震中,其他类型的地震波,比如,高频的体波将会更加的复杂(Poppeliers,2011).
3.1 单一子台阵的数据处理首先根据地震事件从地震学科研联合会(IRIS)数据管理中心下载数据并进行处理,对于垂直分量:(1) 检查数据并确保所有的数据在面波的震相清晰;(2) 去除地震数据的仪器响应,去除线性趋势,去除均值;(3) 对数据进行带通滤波,本文用的滤波频带为60~80 s,80~100 s,100~125 s,125~150 s;(4) 去除那些相比于附近台站地震波振幅过大或者过小的台站数据以及波形明显不正常的台站数据;(5) 运用折合速度法去除背景速度的影响.因此计算出的相速度是相对于平均速度的一个扰动;(6) 通过加权反演计算得到空间梯度;(7) 根据Langston(2007c)计算Ax, Ay, px, py;(8) 考虑平均速度,计算出真实的相速度;(9) 通过式(20)(21)(22)(23) 计算波形梯度的四大参数;(10) 通过波形的包络拾取相速度,将这个新的相速度作为折合速度,并重复步骤(5) 到(9).当新的相速度相比上一个循环的速度两者之间的差小于0.01 km·s-1时,则跳出循环.通过对垂直分量的计算,可以得到每个台站的地震波传播方向.利用这个角度对水平的两个分量进行坐标旋转,得到径向的分量以及切向分量.将得到的径向分量与切向分量的波形进行与垂向分量相同的处理.就可得到径向分量和切向分量的波形梯度的四大参数.
本文选取2012年8月27日发生在中美洲西海岸的地震事件,以台站R41A为主台站的子台阵进行三分量的波形梯度计算为例.辅助台站的选择是根据主台站来确定,将距离主台站大于50 km并且小于120 km的台站作为辅助台站.图 2a显示了子台阵的相对位置以及地震事件与主台站之间的大圆路径.子台阵一共有8个台站.图 2b中显示的是子台阵的台站记录到的垂向分量经100~125 s带通滤波后的波形.主台站波形用红色标出.在这个频带,面波占据主导地位.主台站与辅助台站的波形十分相似,但在振幅和相位上也有细微的差异,正是这些细微的差异可以反映地下介质的结构特征.
|
图 2 子台阵分布及其波形 (a)圆圈表示记录中美洲西海岸地震事件的台站,带颜色的圆圈表示子台阵的台站,其中红色实心圆圈表示主台站,而蓝色实心圆圈表示为辅助台站,红色直线表示地震波传播的射线方向;(b) 图 2a中子台阵垂向分量的地震波形.最底部的红色波形为图 2a中红色实心圆圈表示的主台站R41A地震记录,其他为辅助台站的波形,台站名标注在波形旁边. Fig. 2 Geometry of a subarray with waveforms (a) Circles represent stations that recorded the event from the Coast of Central America, circles with colors are stations of subarray, which circle with red is master station and circles with blue are support stations, the straight line shows the ray direction; (b) Waveforms of subarray shown in (a).The bottom trace is the waveform of the master station R41A, and other traces are waveforms of supporting stations, station names are annotated. |
根据图 2中的子台阵及其子台阵记录到的垂向分量的波形.在每一个时间点, 首先利用加权反演联合折合速度法(Liang and Langston, 2009)计算子台阵内的空间梯度,然后利用公式(20)—(23) 计算其相速度,传播方向,几何扩散以及辐射花样(图 3).注意空间梯度及四个参数都是随时间而变化的.从主台站(R41A)的垂向分量的地震波形得群速度为3.79 km·s-1.在面波的开始和结束的时间段,参数的变化比较剧烈,可能是由于在面波的开始和结束阶段其他震相的干扰造成的(Langston,2007c).选取波形峰值的时间点作为参考点,此时相速度、传播方向、几何扩散以及辐射花样的值都相对稳定.因此将在此参考时间点的各参数值作为相应震相的参数值.将参考点左右一个周期的参数的标准差作为测量误差.在图 3b中,相速度为4.23 km·s-1,这个相速度接近于这个频带的全球平均的瑞雷面波的速度.该子台阵内波传播的角度与大圆路径相差0.17°,说明地震波在通过子台阵的传播方向基本上是沿大圆路径方向入射的.几何扩散和辐射花样都是与振幅有关的参数,需要结合周边台站的这两个参数进行分析,将在后面的章节详细讨论.
|
图 3 R41A台垂向波形梯度结果 (a) R41A台站记录的滤波之后的波形,中间的短竖线表示波形峰值的时间点,在其旁边的数值为群速度,而两侧颜色较浅的竖线之间的距离为一个波长的宽度;(b)相速度;(c)传播方向,水平直线表示事件与台站之间大圆路径的方位角;(d)几何扩散;(e)辐射花样.在图(b,c,d,e)中,两个数值分别表示为相应参数值以及对应的测量误差. Fig. 3 Wave gradiometry results for vertical component of R41A (a) Filtered waveform of the master station (R41A), the vertical bar in the middle marks the timing of the waveform peak, the group velocity values at this time are shown beside the bar, range of the another bar shows the width of a wavelength; (b) Phase velocity; (c) Wave directionality, the horizontal line is the great circle azimuth; (d) Geometrical spreading; (e) Radiation pattern. On Figures 4b, 4c, 4d, and 4e, the two numbers are the corresponding parameter values and errors, respectively. |
对垂向分量的面波进行波形梯度计算后,得到了入射子台阵的传播方向.将计算得到的传播方向用于水平两个分量的坐标旋转中.由于本文的研究区域的传播方向的变化并不大,所以也可以用大圆路径的方位角进行旋转.但当传播方向的变化过大时,通过本文的方法进行分量的旋转则更加可靠.
在以R41A为主台站的子台阵中,对垂向分量的面波的分析,得出了地震波入射子台阵的传播方向为353.83°.根据此传播方向得到径向与切向分量的地震记录,对这两个分量进行波形梯度的研究,类似于垂向分量,得到相速度,传播方向,几何扩散以及辐射花样.图 4,图 5分别显示了R41A台的径向与切向分量的四大参数.径向分量的波形梯度结果表明了群速度为3.66 km·s-1,相速度为4.19 km·s-1.径向传播方向变化和垂向分量的传播方向变化结果基本一致,都小于1°.因为垂向分量与径向分量都记录的是瑞雷波的质点振动,因此这两个分量的速度,传播方向变化等基本一致.切向分量的波形梯度结果显示群速度为4.06 km·s-1, 相速度为4.88 km·s-1.该相速度与全球参考模型(PREM)得到的这一频带的勒夫波速度接近.在这个频带内,切向分量主要为勒夫波,其群速度和相速度均高于瑞雷波.这一结果与理论结果相一致.而切向分量的面波传播方向变化为1.77,大于另外两个分量的传播方向,表明勒夫波和瑞雷波的传播方向有一定的差异.相对来说,径向与切向分量的几何扩散绝对值与垂向相差不大,可能表明横向衰减与纵向衰减相同.
|
图 4 同图 3,但显示的是R41A台径向波形梯度结果 Fig. 4 Same with the Figure 3, but showing Wave gradiometry results for radial component of R41A |
|
图 5 同图 3,但显示的是R41A台切向波形梯度结果 Fig. 5 Same with the Figure 3, but showing Wave gradiometry results for tangential component of R41A |
将三分量波形梯度法运用于所有台站,每个台站的参数值都是由半波长范围内台站的参数值的平均,这可去除本地噪声带来的干扰(Liang and Langston, 2009).图 6表示由中美洲西海岸的事件的垂向分量得到的四个参数的成果图,滤波频带为100~125 s.图 6a显示研究区域的平均相速度在4.15 km·s-1左右,总体的特征为北边相速度高南边相速度低.在中央低地、欧扎克高原以及该研究区域内的阿巴拉契亚山脉都呈现出高速特征,在滨海平原表呈现出低速特征.虽然相速度的异常不能直接解释某一深度的地下速度结构的变化,但是面波的特定频带的相速度可以反映台站下方速度结构的整体的特征.通过P波与S波层析成像的结果看,在滨海平原地区上地幔也表现为低速特征(Schmandt and Lin, 2014).相同的相速度特征也可以通过多通道互相关得到(Jin and Gaherty, 2015).传播方向变化总体讲相对较小,如图 6b,传播方向变化的绝对值小于4°.传播方向变化是通过波形梯度法计算的实际入射角减去大圆路径的方位角.若传播方向的变化过大,则说明介质对地震波传播路径有较大的影响.图 6b中显示,传播方向变化大多大于0,表明实际路径向东偏.通过观察可以发现,传播方向变化分布基本上与传播方向平行(Liu and Holt, 2015),表现出对传播路径很强的依赖性.说明了地震波在传播过程中,如果经历较显著的横向构造变化则容易引起射线路径的改变.之前的研究表明,在板块边界,两者速度差异达0.25 km·s-1,就足以产生4°到8°的传播方向变化(Liang and Langston, 2009).
|
图 6 由中美洲西海岸的事件的频带100~125 s垂向分量得到的四个参数 (a)表示相速度;(b)表示传播方向变化;(c)表示几何扩散;(d)表示辐射花样.黑色、白色和蓝色分别表示州界、断层以及河流. Fig. 6 Wave parameter maps determined from vertical component data of Coast of Central America earthquake in the period band of 100~125 s. (a) Phase velocity; (b) Wave directionality variation; (c) Geometrical spreading; (d) Radiation pattern. Black, white and blue curves are state boundaries, major faults and rivers, respectively. |
通过式(22) 可以看出几何扩散体现射线方向上的振幅变化.如图 6c,几何扩散高的地方表示为振幅放大,几何扩散低的地方表示为振幅衰减.在伊利诺伊盆地以及墨西哥湾沿海平原表现为几何扩散高的特征,这两个区域都有较厚的沉积层,伊利诺伊盆地的北边沉积层最厚的地方厚度达到约6 km(Buschbach and Kolata, 1991),有利于波形的放大作用.几何扩散与传播路径的关系很小.
事实上,几何扩散与相速度大体上成负相关的关系(Liang and Langston, 2009).比如说在欧扎克高原表现为高相速度特征而几何扩散为负值说明振幅在该区域内振幅的衰减.这种负相关的关系可能是由于地震波传播过程中速度结构的变化从而导致了地震波形的聚焦和散焦,最终导致振幅的放大或者衰减.
辐射花样体现振幅随传播方向的变化.通过观察图 6b,图 6d中传播方向变化与辐射花样,可以看出一定的正相关关系.比如,传播方向变化为负的地方,其辐射花样一般为负.与传播方向的变化相同,辐射花样也与传播路径有着明显的依赖性,通过式(21) 也可以看出.这说明辐射花样的变化可能是由于在传播路径上散射的影响.
三个分量中的垂向分量和径向分量的面波都主要记录的是瑞雷面波.即四大参数应该有大体相同的特征.图 7表示的为径向分量的波形梯度结果.图 7a与图 6a中的相速度总体分布一致,同样是北边相速度偏高而南边相速度较低.但在局部地区也存在速度差异.在中央低地的东部地区,相速度略低于垂向分量的相速度.而在中央低地的西北部地区,速度垂向分量的相速度略高于径向分量.传播方向变化与传播路径同样有很强的依赖关系,且与辐射花样成正相关.几何扩散同样在伊利诺伊盆地以及墨西哥湾沿海平原表现为高值.而且在伊利诺伊盆地的几何扩散值更大.而且径向分量的几何扩散与相速度的负相关关系更加明显.对比图 6,总体上相速度,传播方向变化,几何扩散,辐射花样,这四个参数的一致性都很好.
|
图 7 同图 6,但显示的是径向分量得到的四个参数 Fig. 7 Same with the Figure 6, but showing wave parameter maps determined from radial component |
将得到的垂向分量的相速度与径向分量的相速度组成交会图(图 8),从图中可以看出,垂向分量相速度与径向分量相速度的线性特征十分明显,大部分点都在斜率为1的直线附近,说明垂向分量相速度与径向分量相速度的一致性较好.但同时也必须注意到,多数台站垂直分量相速度略大于径向分量,该现象可能体现了区域存在与质点振动方向相关的各向异性.
|
图 8 垂直分量相速度(横轴)与径向分量相速度(纵轴)交会图 Fig. 8 Scatterplots of phase velocity obtained from vertical (Horizontal) and radial (Vertical) component, respectively. |
图 9为切向分量的波形梯度结果,即勒夫波的波形梯度结果.对于勒夫波而言,由于其相速度大于瑞雷波的相速度,图 9a中的平均相速度在4.8 km·s-1,远大于垂直分量和切向分量的平均相速度(4.15 km·s-1).图 9a中明显的特征是佛罗里达半岛以及北边区域速度较之其他区域偏低,研究区域的中部整体相速度较高.和垂向分量的结果图 7a相比,主要差异在于北部区域.在图 7a中,北部区域的相速度相比其他区域较高,而在图 9a中刚好相反.说明可能地下结构存在明显的径向各向异性.图 9b为传播方向变化.图 9c的几何扩散结果,和垂向分量和径向分量的传播方向变化相比有较强的一致性.在阿巴拉契亚山脉以南佛罗里达半岛以北的区域传播方向变化略大.说明了几何扩散与地震波传播方向的关系很小.图 9d表示辐射花样,总体表现为西正东负,与传播方向的相关性不明显.
|
图 9 同图 6,但显示的是切向分量得到的四个参数 Fig. 9 Same with the Figure 6, but showing wave parameter maps determined from tangential component |
通过上述对100~125 s的波形梯度三分量的结果进行分析.垂向分量与径向分量的四个参数的一致性较高,但也存在一定的差异.垂向分量与径向分量的相速度交会图更加可以看出两个分量在相速度上具有较强的一致性.切向分量的相速度大于垂向分量与径向分量的相速度.而切向分量的相速度图特征与垂向分量、径向分量的相速度一致性不高,可能存在显著的径向各向异性.传播方向变化说明了整个传播路径对地震波传播方向的影响,三个分量的传播方向的变化基本一致.几何扩散和辐射花样都表示振幅的放大或者衰减.但三分量的几何扩散图一致性较高.而切向分量的辐射花样与另外两个分量的辐射花样有所差别.但是都存在对地震波传播方向明显的依赖性.
3.3 不同频带三分量相速度图面波相速度与传播路径中各层介质的厚度、横波波速、纵波波速、介质密度等有关,一定周期范围的相速度频散特征对应着相应深度范围的S波速度结构.不同周期的相速度图像反映的是不同深度范围内结构的横向变化情况.通过对不同频带的三分量相速度进行分析,可以初步得到一些地下结构方面的信息.图 10分别表示为周期在60~80 s,80~100 s,100~125 s,125~150 s的三分量的相速度图.总体上相速度都随着周期的增加而增加,并且切向分量的相速度大于垂向与径向分量的相速度.
|
图 10 不同频带三分量地震面波相速度图 (a), (b), (c)分别表示滤波频带在60~80 s时, 垂向分量、径向分量、切向分量的相速度; (d), (e), (f)分别表示滤波频带在80~100 s时, 垂向分量、径向分量、切向分量的相速度; (g), (h), (i)分别表本滤波频带在100~125 s时, 垂向分量、径向分量、切向分量的相速度; (G), (k), (l)分别表示滤波频带在125~150 s时, 垂向分量、径向分量、切向分量的相速度. Fig. 10 Three-component surface wave phase velocity map in different period (a), (b), (c) show phase maps determined from vertical, radial, tangential components seismic data in period 60~80 s, respectively; (d), (e), (f) show phase maps determined from vertical, radial, tangential components seismic data in period 60~80 s, respectively; (g), (h), (i) show phase maps determined from vertical, radial, tangential components seismic data in period 100-125 s, respectively; (j), (k), (l) show phase maps determined from vertical, radial, tangential components seismic data in period 125~150 s, respectively. |
频带在60~80 s的面波受到上地幔顶部速度结构的影响较大.在这个频带垂向分量和径向分量的相速度在北部地区以及南边的阿巴拉契亚山脉以南的地区呈现为高速特征,而在西南边和佛罗里达半岛呈现为低速异常(图 10a和10b).其结果与面波成像的相速度结果相似(Pollitz and Mooney, 2016).对于切向分量,在滨海平原,阿巴拉契亚山脉南段呈现出高速特征,在欧扎克高原及其北边区域,阿巴拉契亚山脉以北显示为低速特征(图 10c).切向分量的相速度在欧扎克高原及其南边区域与西南地区的差异较大.由于同一周期瑞雷波与勒夫波采样深度不一样,这可能是相速度差异的原因之一,也有可能体现了介质径向各向异性.
80~100 s的结果(图 10d,图 10e,图 10f),总体特征与60~80 s相似.呈现出很好的连续性,三个分量的平均相速度大于60~80 s.垂向分量与径向分量相速度的结果一致性较好.Pollitz等(2016)利用面波提取的该频带相速度分布表现出相同的特征.切向分量的相速度在北部基本为低速,而没有类似图 10c中的高速异常.总体上为“北低南高”的相速度分布,与垂向和径向分量的相速度分布特征相反.与图 10d和图 10e的不一致性更加明显.同样可以反映上地幔结构上普遍存在的不均匀性.
频带在100~125 s的面波主要受到上地幔速度结构的影响较大,其结果的分析见本文3.2节.相比于较小周期的结果,速度的延续性较好(图 10g,图 10h,图 10c).通过SPECFEM3D_GLOBE谱元法程序模拟的地震波,通过模拟的地震波得到的波形梯度结果(图 11),模拟得到的结果与实际结果呈现出较强的一致性.也从侧面证明了该方法的可靠性.
|
图 11 由SPECFEM3D_GLOBE谱元法程序合成的地震记录计算三分量的相速度,频带100~125 s (a)垂向分量的相速度;(b)径向分量的相速度;(c)切向分量的相速度. Fig. 11 Phase maps obtain from synthetic three-component data, filter passband is 100~125 s (a) Show phase map determined from vertical component synthetic data; (b) Show phase map determined from radial component synthetic data; (c) Show phase map determined from tangential component synthetic data. |
125~150 s的结果(图 10j,图 10k,图 10l),最大的特点是三个分量的结果在这个频带呈现较为一致的分布特征.可能是由于上地幔结构的不均匀性减弱的缘故.在中央低地及附近呈现出高速异常,在滨海平原都表现为低速异常.Pollitz等(2016)利用面波提取的该频带相速度分布表现出相同的特征.
通过不同频带的相速度结果对比,总体上反映了研究区域上地幔存在径向各向异性.周期较大的频带结构的不均匀性减弱.这些不同频带的相速度可以用于反演研究区域的三维的速度模型.
4 讨论与结论利用USArray台阵记录到的2012年8月27日发生在中美洲西海岸的7.4级地震的地震波形对美国中东部地区进行了三分量波形梯度的研究.相比于传统的台阵处理方法以及基于射线理论的层析成像方法,三分量波形梯度法的优点是同时考虑了地震波相位的变化以及振幅的变化.同时,仅仅利用一个地震事件就可以得到每一个台站下方的相速度等参数.通过对三分量的研究,对局部的各向异性也有一定的认识.通过一个地震事件的三分量波形梯度的结果的研究,可以对相速度的变化,传播方向变化,振幅的衰减或者放大有更加深刻的认识.许多因素都会影响波形梯度结果,比如,台阵间距、环境噪声、研究区域以外射线路径上的结构.
在波形梯度方法中, 首先对垂向分量的波形进行波形梯度计算得到研究区域每个台站的地震波入射的角度,再通过该角度进行坐标旋转,将地震波在直角坐标系旋转到极坐标系下.由于计算地震波的空间导数的时候,误差项与地震波的波数、台站间距以及射线方向与台站连线方向之间的角度有关,所以运用加权反演联合折合速度法降低误差从而得到地震波在空间上的导数,然后通过Langston(2007c)提出的时间域方法从得到的地震波的空间导数中提取A与B两个系数.而相速度,传播方向,几何扩散以及辐射花样可以通过式(20)(21)(22)(23) 得到.
最终得到了面波的三个分量的频带60~80 s、80~100 s、100~125 s、125~150 s的四个参数图.总体上来说,垂向分量与径向分量的波形梯度结果类似,相速度都表现出“北高南低”的特征.切向分量则呈现和垂向与径向分量相速度结果相反的特征.可能是各向异性造成的,也可能是两种面波在不同周期采样深度不一样造成的.传播方向变化不大,且变化值成条带状分布并基本平行于传播方向.几何扩散的正负表示当地地震波振幅的变化,反映了在局部不均匀地区的地震波振幅的放大和衰减.传播方向变化和辐射花样显示出对路径的依赖性.通过对4个周期相速度的分析,可以看出随着频带周期的增加,相速度图的平均速度也随之增加,同一周期垂向分量与径向分量在研究区域内的平均相速度基本一致,都小于切向分量的平均相速度.主要是由于切向分量主要为勒夫波,而垂向与径向分量主要为瑞雷波,一般来说勒夫波的波速大于瑞雷波的波速.
本文主要通过一个地震事件对三分量波形梯度法的研究,可以得到研究区域三个分量的相速度,传播方向变化,几何扩散以及辐射花样.相比于传统的台阵处理技术,比如,双台站相速度法,其不能得到地震波的振幅信息,而三分量波形梯度法可以更加有效的得到地震波相位和振幅信息.在以后的研究中,可以结合不同周期的相速度研究得到研究区域的频散曲线,用于S波速度结构的反演,得到三维S波速度结构.还可以从振幅信息中提取几何扩散和辐射花样,通过这些参数还可以得到一些介质的衰减以及阻抗信息.随着Chinarray台阵数据的公开,利用波形梯度法计算三维速度,各向异性及衰减特性等都将是未来研究的新方向.
致谢感谢Incorporated Research Institutions For Seismoligy(IRIS)提供地震波形资料.感谢Jeroen Tromp, Min Chen, Dimitri Komatitsch, Qinya Liu等人提供了Specfem3D_Globe谱元法计算程序.感谢哈佛大学CMT项目提供的震源机制解.感谢两位审稿专家对本文提出的建设性意见和建议,使得本文更加充实和完善.
| Boué P, Poli P, Campillo M, et al. 2014. Reverberations, coda waves and ambient noise:Correlations at the global scale and retrieval of the deep phases. Earth and Planetary Science Letters, 391: 137-145. DOI:10.1016/j.epsl.2014.01.047 | |
| Brudzinski M R, Allen R M. 2007. Segmentation in episodic tremor and slip all along Cascadia. Geology, 35(10): 907-910. DOI:10.1130/G23740A.1 | |
| Burdick S, van der Hilst R D, Vernon F L, et al. 2014. Model update January 2013:Upper mantle heterogeneity beneath North America from travel-time tomography with global and USArray transportable array data. Seismological Research Letters, 85(1): 77-81. DOI:10.1785/0220130098 | |
| Buschbach T C, Kolata D R. 1991. Regional setting of the Illinois basin.//Leighton M W, Kolata D R, Oltz D F, et al. Interior Cratonic Basins. Tulsa:American Association of Petroleum Geologists. | |
| Chang L J, Ding Z F, Wang C Y. 2015. Upper mantle anisotropy beneath the southern segment of North-South tectonic belt, China. Chinese Journal of Geophysics, 58(11): 4052-4067. DOI:10.6038/cjg20151114 | |
| Chen J H, Li S C, Yin X Z, et al. 2011. Crustal Discontinuity Structure underneath the North-Central Part of the North-South Earthquake Belt from Passive Seismic Array Observations. CGU General Assembly Conference Abstracts, 9, 327. | |
| Evanzia D, Pulliam J, Ainsworth R, et al. 2014. Seismic Vp & Vs tomography of Texas & Oklahoma with a focus on the Gulf Coast margin. Earth and Planetary Science Letters, 402: 148-156. DOI:10.1016/j.epsl.2013.12.027 | |
| Holt W E, Chamot-Rooke N, Le Pichon X, et al. 2000. Velocity field in Asia inferred from Quaternary fault slip rates and Global Positioning System observations. Journal of Geophysical Research:Solid Earth, 105(B8): 19185-19209. DOI:10.1029/2000JB900045 | |
| Holt W E, Shcherbenko G. 2013. Toward a continuous monitoring of the horizontal displacement gradient tensor field in Southern California Using cGPS observations from plate boundary observatory (PBO). Seismological Research Letters, 84(3): 455-467. DOI:10.1785/0220130004 | |
| Huang Z C, Wang L S, Xu M J, et al. 2015a. Teleseismic shear-wave splitting in se tibet:insight into complex crust and upper-mantle deformation. Earth and Planetary Science Letters, 432: 354-362. DOI:10.1016/j.epsl.2015.10.027 | |
| Huang Z C, Wang P, Xu M J, et al. 2015b. Mantle structure and dynamics beneath se tibet revealed by new seismic images. Earth and Planetary Science Letters, 411: 100-111. DOI:10.1016/j.epsl.2014.11.040 | |
| Jin G, Gaherty J B. 2015. Surface wave phase-velocity tomography based on multichannel cross-correlation. Geophysical Journal International, 201(3): 1383-1398. DOI:10.1093/gji/ggv079 | |
| Langston C A, Bodin P, Powell C, et al. 2006. Explosion source strong ground motions in the Mississippi embayment. Bulletin of the Seismological Society of America, 96(3): 1038-1054. DOI:10.1785/0120050105 | |
| Langston C A. 2007a. Spatial gradient analysis for linear seismic arrays. Bulletin of the Seismological Society of America, 97(1B): 265-280. DOI:10.1785/0120060100 | |
| Langston C A. 2007b. Wave gradiometry in the time domain. Bulletin of the Seismological Society of America, 97(3): 926-933. DOI:10.1785/0120060152 | |
| Langston C A. 2007c. Wave gradiometry in two dimensions. Bulletin of the Seismological Society of America, 97(2): 401-416. DOI:10.1785/0120060138 | |
| Langston C A, Liang C T. 2008. Gradiometry for polarized seismic waves. Journal of Geophysical Research:Solid Earth, 113(B8): B08305. | |
| Langston C A, Horton S P. 2014. Three-dimensional seismic-velocity model for the unconsolidated Mississippi Embayment sediments from H/V ambient noise measurements. Bulletin of the Seismological Society of America, 104(5): 2349-2358. DOI:10.1785/0120140026 | |
| Levander A, Schmandt B, Miller M S, et al. 2011. Continuing Colorado plateau uplift by delamination-style convective lithospheric downwelling. Nature, 472(7344): 461-465. DOI:10.1038/nature10001 | |
| Li Q S, Chen L, Wang L S, et al. 2010. USArray and latest scientific discoveries. Acta Geologica Sinica, 84(6): 847-853. | |
| Liang C T, Langston C A. 2009. Wave gradiometry for USArray:Rayleigh waves. Journal of Geophysical Research:Solid Earth, 114(B2): B02308. | |
| Lin F C, Ritzwoller M H. 2011. Helmholtz surface wave tomography for isotropic and azimuthally anisotropic structure. Geophysical Journal International, 186(3): 1104-1120. DOI:10.1111/j.1365-246X.2011.05070.x | |
| Liu Q Y, Chen J H, Li S C, et al. 2008. The MS8.0 Wenchuan Earthquake:preliminary results from the Western Sichuan Mobile seismic array observations. Seismology and Geology, 30(3): 584-596. DOI:10.3969/j.issn.0253-4967.2008.03.002 | |
| Liu Q Y, Van Der Hilst R D, Li Y, et al. 2014. Eastward expansion of the tibetan plateau by crustal flow and strain partitioning across faults. Nature Geoscience, 7(5): 361-365. DOI:10.1038/ngeo2130 | |
| Liu Y Y, Holt W E. 2015. Wave gradiometry and its link with Helmholtz equation solutions applied to USArray in the eastern U.S.. Journal of Geophysical Research:Solid Earth, 120(8): 5717-5746. DOI:10.1002/2015JB011982 | |
| Lu L Y, He Z Q, Ding Z F, et al. 2014. Azimuth anisotropy and velocity heterogeneity of Yunnan area based on seismic ambient noise. Chinese Journal of Geophysics, 57(3): 822-836. DOI:10.6038/cjg20140312 | |
| Obrebski M, Allen R M, Pollitz F, et al. 2011. Lithosphere-asthenosphere interaction beneath the western United States from the joint inversion of body-wave traveltimes and surface-wave phase velocities. Geophysical Journal International, 185(2): 1003-1021. DOI:10.1111/j.1365-246X.2011.04990.x | |
| Pan J T, Li Y H, Wu Q J, et al. 2015. Phase velocity maps of Rayleigh waves in the southeast Tibetan plateau. Chinese Journal of Geophysics, 58(11): 3993-4006. DOI:10.6038/cjg20151109 | |
| Pavlis N K, Holmes S A, Kenyon S C, et al. 2012. The development and evaluation of the Earth Gravitational Model 2008 (EGM2008). Journal of Geophysical Research:Solid Earth, 117(B4): B04406. | |
| Pollitz F F, Mooney W D. 2016. Seismic velocity structure of the crust and shallow mantle of the Central and Eastern United States by seismic surface wave imaging. Geophysical Research Letters, 43(1): 118-126. DOI:10.1002/2015GL066637 | |
| Poppeliers C. 2010. Seismic wave gradiometry using the wavelet transform:application to the analysis of complex surface waves recorded at the Glendora array, Sullivan, Indiana, USA. Bulletin of the Seismological Society of America, 100(3): 1211-1224. DOI:10.1785/0120090304 | |
| Poppeliers C. 2011. Multiwavelet seismic-wave gradiometry. Bulletin of the Seismological Society of America, 101(5): 2108-2121. DOI:10.1785/0120100226 | |
| Poppeliers C, Punosevac P, Bell T. 2013a. Three-dimensional seismic-wave gradiometry for scalar waves. Bulletin of the Seismological Society of America, 103(4): 2151-2160. DOI:10.1785/0120120224 | |
| Poppeliers C, Punosevac P. 2013b. Three-dimensional wave gradiometry for polarized seismic waves. Bulletin of the Seismological Society of America, 103(4): 2161-2172. DOI:10.1785/0120120165 | |
| Porritt R W, Allen R M, Pollitz F F. 2014. Seismic imaging east of the Rocky Mountains with USArray. Earth and Planetary Science Letters, 402: 16-25. DOI:10.1016/j.epsl.2013.10.034 | |
| Rost S, Thomas T. 2002. Array seismology:methods and applications. Reviews of Geophysics, 40(3): 2-1. DOI:10.1029/2000RG000100 | |
| Schaeffer A J, Lebedev S. 2014. Imaging the North American continent using waveform inversion of global and USArray data. Earth and Planetary Science Letters, 402: 26-41. DOI:10.1016/j.epsl.2014.05.014 | |
| Schmandt B, Humphreys E. 2010. Complex subduction and small-scale convection revealed by body-wave tomography of the western United States upper mantle. Earth and Planetary Science Letters, 297(3-4): 435-445. DOI:10.1016/j.epsl.2010.06.047 | |
| Schmandt B, Humphreys E. 2011. Seismically imaged relict slab from the 55 Ma Siletzia accretion to the northwest United States. Geology, 39(2): 175-178. DOI:10.1130/g31558.1 | |
| Schmandt B, Lin F C. 2014. P and S wave tomography of the mantle beneath the United States. Geophysical Research Letters, 41(18): 6342-6349. DOI:10.1002/2014GL061231 | |
| Shen W S, Ritzwoller M H, Schulte-Pelkum V. 2013a. A 3-D model of the crust and uppermost mantle beneath the central and western US by joint inversion of receiver functions and surface wave dispersion. Journal of Geophysical Research:Solid Earth, 118(1): 262-276. DOI:10.1029/2012JB009602 | |
| Shen W S, Ritzwoller M H, Schulte-Pelkum V. 2013b. Crustal and uppermost mantle structure in the central U.S.encompassing the midcontinent rift. Journal of Geophysical Research, 118(8): 4325-4344. DOI:10.1002/jgrb.50321 | |
| Tai L X, Gao Y, Liu G, et al. 2015. Crustal seismic anisotropy in the southeastern margin of Tibetan Plateau by ChinArray data:shear-wave splitting from temporary observations of the first phase. Chinese Journal of Geophysics, 58(11): 4079-4091. DOI:10.6038/cjg20151116 | |
| Wang Q, Gao Y, Shi Y T, et al. 2015. Rayleigh wave azimuthal anisotropy on the southeastern front of the Tibetan Plateau from seismic ambient noise. Chinese Journal of Geophysics, 58(11): 4068-4078. DOI:10.6038/cjg20151115 | |
| West J D, Fouch M J, Roth J B, et al. 2009. Vertical mantle flow associated with a lithospheric drip beneath the great basin. Nature Geoscience, 2(6): 439-444. DOI:10.1038/ngeo526 | |
| Xu X M, Ding Z F, Zhang F X. 2015. The teleseismic tomography study by P-wave traveltime data beneath the southern South-north Seismic Zone. Chinese Journal of Geophysics, 58(11): 4041-4051. DOI:10.6038/cjg20151113 | |
| Yang Y, Liang C, Li Z, et al. 2017. Stress Distribution Near the Seismic Gap Between Wenchuan and Lushan Earthquakes. Pure & Applied Geophysics, 174(6): 2257-2267. | |
| Yang Y H, Liang C T, Su J R. 2015. Focal mechanism inversion based on regional model inverted form receiver function and its application to the Lushan earthquake sequence. Chinese J. Geophys., 58(10): 3583-3600. DOI:10.6038/cjg20151013 | |
| Yang Y J, Ritzwoller M H. 2008. Teleseismic surface wave tomography in the western U.S. using the transportable array component of USArray. Geophysical Research Letter, 35(4): L04308. DOI:10.1029/2007GL032278 | |
| 常利军, 丁志峰, 王椿镛. 2015. 南北构造带南段上地幔各向异性特征. 地球物理学报, 58(11): 4052–4067. DOI:10.6038/cjg20151114 | |
| 陈九辉, 李顺成, 尹昕忠等. 2011. 中国地震科学台阵探测: 南北带中北段地壳间断面结构探测研究. //中国地球物理学会第二十七届年会论文集. 长沙: 中国地球物理学会. | |
| 李秋生, 陈凌, 王良书, 等. 2010. USArray及其近期科学发现. 地质学报, 84(6): 847–853. | |
| 刘启元, 陈九辉, 李顺成, 等. 2008. 汶川MS8.0地震:川西流动地震台阵观测数据的初步分析. 地震地质, 30(3): 584–596. DOI:10.3969/j.issn.0253-4967.2008.03.002 | |
| 鲁来玉, 何正勤, 丁志峰, 等. 2014. 基于背景噪声研究云南地区面波速度非均匀性和方位各向异性. 地球物理学报, 57(3): 822–836. DOI:10.6038/cjg20140312 | |
| 潘佳铁, 李永华, 吴庆举, 等. 2015. 青藏高原东南部地区瑞雷波相速度层析成像. 地球物理学报, 58(11): 3993–4006. DOI:10.6038/cjg20151109 | |
| 太龄雪, 高原, 刘庚, 等. 2015. 利用中国地震科学台阵研究青藏高原东南缘地壳各向异性:第一期观测资料的剪切波分裂特征. 地球物理学报, 58(11): 4079–4091. DOI:10.6038/cjg20151116 | |
| 王琼, 高原, 石玉涛, 等. 2015. 青藏高原东南缘基于背景噪声的Rayleigh面波方位各向异性研究. 地球物理学报, 58(11): 4068–4078. DOI:10.6038/cjg20151115 | |
| 徐小明, 丁志峰, 张风雪. 2015. 南北地震带南段远震P波走时层析成像研究. 地球物理学报, 58(11): 4041–4051. DOI:10.6038/cjg20151113 | |
| 杨宜海, 梁春涛, 苏金蓉. 2015. 用接收函数建立区域模型的震源机制反演及其在芦山地震序列研究中的应用. 地球物理学报, 58(10): 3583–3600. DOI:10.6038/cjg20151013 | |
2017, Vol. 60

