2. 中国地震局地震研究所中国地震局地震大地测量重点实验室, 武汉 430071;
3. 地壳运动监测工程研究中心, 北京 100036
2. Key Laboratory of Earthquake Geodesy, Institute of Seismology, CEA, Wuhan 430071, China;
3. National Earthquake Infrastructure Service, Beijing 100036, China
2015年尼泊尔地震发生于全球大陆地震最活跃区域之一的喜马拉雅地区,其地表的陡峭地形和高山地貌是印度—欧亚板块强烈碰撞、汇聚缩短、地壳增厚、山体隆升的结果,相应其深部存在莫霍面北向加深、速度横向强烈不均匀的复杂结构(Yin and Harrison, 2000; Li et al., 2008; Lei and Zhao, 2009; Zhao et al., 2010; Lei et al., 2014; Gao et al., 2016; Zhou and Lei, 2016),相对统一和自洽的破裂模型有助理解喜马拉雅造山带及青藏高原动力学演化.尼泊尔地震亦是迄今为止观测最为丰富的特大型陆内地震.观测数据包括SAR和光学遥感影像,地表位移的GPS观测,全球远震台网的速度波形,近场强震加速度波形,强地面运动的GPS高频记录等.用这些资料约束震源参数可为区域构造、灾害预防、强震预警等研究提供坚实基础(张勇等, 2015; 王卫民等, 2015; Yagi and Okuwaki, 2015;Lindesy et al., 2015; Wang and Fialko, 2015; Feng et al., 2015; Kobayashi et al., 2015; Zhang et al., 2015; Elliott et al., 2016; Feng et al., 2016; Zhang et al., 2016; Tan et al., 2017).就此次地震的震源研究而言,每一类观测皆有其优势.例如,用远震地震波可快速反演震源时空过程,但模型空间分辨率相对较低.InSAR资料可揭示破裂分布的诸多细节,但无法认识震源时间过程.近场GPS连续台网高频观测可用于约束破裂时空过程(Yue and Lay, 2011),但此类数据数量有限,建模效果还不够理想(Galetzka et al., 2015; Grandin et al., 2015; Kobayashi et al., 2016; Liu et al., 2016).
反演单一数据的破裂模型多基于不同模型假定和反演算法,彼此间多少有些差异,此前有些研究也尝试用联合反演的方式建模,旨在发挥不同类型观测的技术优势(Avouac et al., 2015;单新建等, 2015;谭凯等, 2016),但由于资料获取实效及资料交流方面的制约,迄今尚无基于所有观测约束的针对MW7.8主震及MW7.3最大余震的统一模型.本文最大限度收集境内外观测资料(高频GPS、静态GPS、InSAR和远震体波及近场强震记录),反演尼泊尔MW7.8主震与MW7.3余震破裂的时空过程,得到自洽和相对统一的震源模型, 并重点分析了高频GPS在主、余震模型反演中的作用.
2 反演方法和数据 2.1 原理有限断层破裂一般可简化为离散的子断层有序错动的叠加(Ide et al., 1996).通常子断层被当作点源,其错动过程或震源时间函数Sl(t)可通过数个单位地震矩率函数(基函数)的线性组合来逼近,即:
|
(1) |
这里,i=1,2对应于子断层错动两个独立分量,通常指向滑动角±45°方向(Yoshida et al., 1990; 1996; Yue and Lay, 2013),K为子断层基函数总数,aikl为其中之一φk(t)的系数,是破裂的运动学参数.
基函数设计为等腰三角形,具体表示为
|
(2) |
各基函数在时间域重叠排列(时间为τ),子断层上升时间为(k+1)τ.
假设破裂前锋到达子断层中心时开始释放地震矩(Yoshida et al., 1996),则动态波形uj(R, T)观测方程可表示为(Yoshida et al., 1990):
|
(3) |
uj(R, T)表示测站三个分量位移序列;vr为破裂速度,r0、rl为初始破裂点及子断层中心位置,Glji为格林函数,即子断层单位脉冲的理论地震图,与断层几何参数及介质结构有关,是其非线性函数.
静态位移vj(R)观测方程为(Yabuki and Matsu′ura, 1992):
|
(4) |
glji相应为静态格林函数.
本文利用频率波数积分法计算近场动态和静态格林函数(Zhu and Rivera, 2002),而利用反射法计算远震波形格林函数(Kikuchi and Kanamori, 1991).对喜马拉雅山脉两侧选用不同介质模型进行格林函数计算.尼泊尔地区为Grandin等(2015)采用的一维介质模型;藏南地区则使用滕吉文等(2012)的推算的速度模型.
2.2 模型参数及格网搜寻建模涉及对断层几何参数及运动参数的解算与评估.通常是在限定几何参数并在破裂光滑约束条件下,利用最小二乘法解算观测方程,最佳求取运动参数来实现.其数学方程如下:
|
(5a) |
|
(5b) |
|
(5c) |
这里,式(5a)为观测方程,dn为包含时变和静态位移的n类观测量,Bn为与观测量对应由格林函数构成的系数矩阵,Vn为残差,Dn与Pn分别为协方差与权.式(5b)为附加条件方程,▽2是拉普拉斯二阶差分算子,光滑约束确保相邻子断层间地震矩释放连续.式(5c)等号左部为目标函数,最优参数应使观测值拟合残差与地震矩分布的粗糙度之和最小,平滑因子β用于平衡两者对目标函数的贡献.
本文将模型参数分为三类,分类处理.(1) 依据震源机制解限定,不参与最小二乘解算的几何参数,如初始破裂位置、破裂长度和宽度、断层面走向、单位矩率函数上升时间等.(2) 利用最小二乘法直接解算的运动学参数,这里指与子断层震源时间函数有关,两个特征值,其可直接换算为子断层在走向和倾向上两个独立地震矩分量,并确定子断层滑动角. (3) 利用格网搜索确定的断层几何、运动学参数.通常在模型空间内系统性变动该参数(如破裂速度,子断层单位矩率函数叠加个数,断层面倾角,不同观测资料的权重比、平滑因子等),形成一组候选参数,在固定第一类参数时,用最小二乘法解算第二类参数,相应获得与此候选参数有关观测值拟合的残差平方和,最后以残差平方和最低值对应的候选值为此类参数的最佳估值.平滑因子确定稍有不同,由拟合观测值残差平方和与粗糙度的折衷曲线决定.以下介绍不同参数处理办法.
2.3 断层面模型构建本文中几何模型基于区域构造及余震分布,并借鉴此前公布的部分破裂模型(Avouac et al., 2015).具体为,将主震断层面沿走向和倾向(破裂长度和宽度)限定在250 km×170 km范围内,且断层面上边缘与喜马拉雅前缘逆冲断层基本吻合(Lavé and Avouac, 2000),并以NEIC矩张量解固定模型断层面走向(295°),不再进一步约束.同样,最大余震断层面总尺寸限定为90 km×150 km.设其走向与主震相同,如此定义的主余震模型破裂面走向大致反映了余震分布.NEIC的主震破裂倾角为11°,余震深度分布显示其应小于20°.这里采用格网搜寻法,在5°~17°区间搜索,最佳选取模型断裂面倾角(主震11°,最大余震9°).其后在反演破裂时空分布时,将主震断层面沿走向和倾向划分成25×17子断层阵列,最大余震破裂面划分为9×15阵列,子断层尺寸均为10 km×10 km.
2.4 破裂模型特征参数将主震破裂起始点设为USGS公布的震中位置(28.147°N, 84.708°E,15 km),对应网格化的(23,8) 子断层.破裂分布反演以USGS起始时刻为准,子断层起始时刻则由破裂传播速度及其位置决定.有研究表明,主震破裂速度可能不均匀(Fan and Shearer, 2015; Yagi and Okuwaki, 2015; Wang and Mori, 2016),但本文仍用均一速度建模,通过格网搜寻方式选取其最佳值(3.3 km·s-1),该值大致与前人结果一致(Galetzka et al., 2015; Grandin et al., 2015).
本文还测试用1~10个上升时间为4 s、叠加时间为2 s的等腰三角形函数逼近子断层震源时间函数,最终用4个三角形组合代表其地震矩率函数,因此其上升时间限定在10 s内.通过对断层面及破裂传播方式的设定,观测方程仅为地震矩率特征参数的线性函数,且特征参数可用线性非负最小二乘法求解.
2.5 观测数据与权重比动态波形数据分为近场强地面运动GPS高频观测、强震仪加速度记录和远震体波资料.主震的强地面运动观测包括6个GPS站5 Hz高频采样数据(Galetzka et al., 2015)、4个GPS站1 Hz数据(刘刚等,2015)及1个强震仪100 Hz数据(通过积分两次将其转换至位移).最大余震的强地面观测则由4个GPS站1 Hz及4个GPS站5 Hz数据组成.这些近场高频波形资料经0.01~0.1 Hz带通滤波(Grandin et al., 2015),取130 s/260 s和120 s/70 s时间窗口用于主震和最大余震的建模.远震数据为全球台网中震中距在30°~90°的43个站P波垂向记录(刘刚等,2015),波形数据进行0.002~1 Hz的带通滤波,并截取发震时刻后110 s内用于模拟(Zhang et al., 2013).
静态位移资料包括:(1)44个GPS站主震三维位移,最大余震28个GPS站.(2) 两幅ALOS-2卫星升轨L-波段SAR干涉图、两幅Sentinel卫星C-波段干涉图(Lindesy et al., 2015, 单新建等, 2015; Elliotte et al., 2016),干涉图通过四叉树法重采样后,分别取4437/2405个样点用于主震及最大余震建模.有关GPS站点和InSAR样点的分布见图 1.
|
图 1 `尼泊尔地震构造背景及MW7.8主震与MW7.3余震静、动态形变场 红色、蓝色、黑色边框白底箭头为主震GPS水平向同震位移,品红色箭头为MW7.3余震GPS水平向同震位移.彩色点为InSAR重采样LOS形变量(主震4437点/MW7.3余震2405点).红边黑底正三角为高频GPS站点,倒三角形为KATNP加速度记录站点.右侧红、蓝色曲线分别为主震与MW7.3余震滤波后的高频GPS东西向位移时序.左上图为喜马拉雅造山带历史地震分布.左中为加速度计站点KATNP东西向加速度记录及校正后的位移时序.右上为选用的远场地震台站分布. Fig. 1 Tectonic setting of the Gorkha earthquake and surface deformation including permanent offsets and kinematic waves caused by MW7.8 mainshock and MW7.3 aftershock The horizontal displacements of mainshock are depicted using white arrows with red, blue and black frames as well as magenta arrows show the horizontal displacements caused by MW7.3 aftershock. The LOS deformations are annotated by 4437 and 2405 resampled InSAR dots for mainshock and MW7.3 aftershock respectively. The locations of High-rate GPS are highlighted by black triangular with red frame and their east-west filtered deformation waves are plotted on the right side with red and blue curves. The inverted triangular infer the KATNP accelerometer and the left hand is its east-west acceleration recording and adjusted deformation wave both with green curves. The historical earthquakes distribution inserted on the left upper and magenta dots inferring the stations of teleseismic stations used in this paper inserted on the right upper. |
联合反演以均值及采样点数对各类观测数据归一化后进行相对权比的确定,首先确定用于搜索的权比区间,在此区间内选择拟合残差最小的权比值作为最佳相对权比.通过试错,最终选择0.1/1/1/0.8/1/1作为1 Hz GPS、远震P波和5 Hz GPS波形、以及强震记录、GPS和InSAR位移反演的权比,相对而言1 Hz采样GPS数据被降权,其余资料基本按其名义精度处理.确定平滑因子时,将权值较大的4类数据拟合残差加权平方和与粗糙度的折衷曲线拐点作为平滑因子最佳值固定.
3 结果与检验 3.1 独立模型与联合模型为了解分析GPS观测对统一建模的作用,本文既单独反演远震P波、远震P波+近场强震、静态GPS、静态+高频GPS、InSAR数据,也联合反演不同数据组合,获得一系列独立和联合模型(包括统一模型).各模型的特征见列表 1和图 2, 3.
|
|
表 1 单独模型与联合模型的参数对比 Table 1 Some parameters of separate and joint models |
|
图 2 MW7.8主震与MW7.3余震滑动分布的独立模型 (a)、(b)、(c)、(d)、(e)分别为远震P波、远震P波+近场强震记录(MW7.3余震模型仅由P波反演)、静态GPS、静态+高频GPS及InSAR模型.各子图中红底白边五角星为主震震中,白底红边五角星为MW7.3余震震中;粉色方形为主要城镇加德满都、吉隆及樟木;白色曲线与黑色曲线分别为主震及MW7.3余震的滑动量等值线;白底黑边箭头为主震滑动矢量,黑底白边箭头为MW7.3余震滑动矢量;黑色虚线标明了滑动量所处的深度范围;红色圆圈为主震后MW7.3余震前大于4级的余震,黑色圆圈为MW7.3余震后至2015年12月前大于4级的余震;(e)左下角附图为主震滑动分布(黑色等值线)和MW7.3余震滑动分布(白色等值线)与InSAR形变量分布的比较. Fig. 2 Slip distributions of MW7.8 mainshock and MW7.3 aftershock obtained by the separate inversions (a) Teleseismic P waves; (b) Teleseismic P waves + near-field strong motion (Model of MW7.3 aftershock just inverted by teleseismic P waves); (c) Static GPS; (d) Static GPS+high-rate GPS; (e) InSAR. The red star with white frame and the white star with red frame are the hypocenters of the mainshock and MW7.3 aftershock. Pink rectangles annotate the locations of Kathmandu, JILO and ZAMU cities. White and black contours depict the slip distributions of mainshock and MW7.3 aftershock respectively. The white arrows with black frames and the black arrows with white frames show the slip vectors of mainshock and MW7.3 aftershock respecitvely. Black dashed lines are the depths to the fault. The red circles are the aftershocks greater than M4 before the MW7.3 aftershock and the black circles are the aftershocks greater than M4 after MW7.3 aftershocks and before December 2015. The lower left insert of (e) shows the corresponding locations of slip patterns of mainshock and MW7.3 aftershock depicted with black and white contours and LOS deformation pattern. |
|
图 3 联合反演MW7.8主震与MW7.3余震滑动分布 (a)为近场数据联合模型,左下方附图为主震近场联合模型等值线(品红色)、Galetzka等(2015)主震近场联合模型等值线(黑色)及LOS形变量的对比图;(b)为全数据联合模型,左下方附图为主震及最大余震全数据联合模型等值线(品红色)、Grandin等(2015)主震及最大余震全数据联合模型等值线(黑色)及LOS形变量的对比图. Fig. 3 Slip distributions of MW7.8 mainshock and MW7.3 aftershock obtained by the joint inversions of (a) near-field datasets, (b) all datasets The lower left insert of (a) shows the slip contours of mainshock in this paper and Galetzka et al′s paper (2015) plotted with magenta and black color, respectively, and LOS deformation pattern of ALOS2. The lower left insert of (b) shows the slip contours of mainshock and MW7.3 aftershock in this paper and Grandin et al′s paper (2015) plotted with magenta and black color, respectively, and LOS deformation pattern. |
在主震破裂分布方面,远震模型仅笼统勾勒出一个大致轮廓(图 2a),主破裂面深度相对其他模型较浅,滑动量偏小且展示出一定走滑分量;最大滑动位于加德满都以北10 km,中尼边界樟木以西、吉隆以东及30 km以下深度亦出现约为2 m的次级滑动.加入近场的强震记录后,破裂以逆冲为主,分布更为紧凑,滑动峰值区域展布与大地测量模型接近(图 2b);最大滑动量值上升至6 m,吉隆处滑动基本消失.静态GPS模型最大滑动量位置及大小与其他模型具有一致性(图 2c),但分布集中,在走向上展布偏小;最大滑动量位于加德满都以北30 km,樟木以西、吉隆以东也存在2 m的次级滑动.站点数量不变,加入部分站点的高频数据后,GPS模型在走向上限定了主要破裂面范围(图 2d);最大滑动量位置相同,在加德满都东约40 km处出现5 m的次级滑动,吉隆处滑动基本消失.相比较,InSAR模型展现了更多的细节特征(图 2e),显现加德满都西北40 km、北30 km、东50 km处的3个4 m以上的滑动峰值区,以及樟木以西约5 m的滑动,破裂面等值线很好地吻合了LOS形变特征(图 2e插图).最大余震破裂面分布紧凑且特征简单,远震地震波模型显示滑动围绕震中分布,而大地测量模型则表明主要滑动集中在震中南侧.
联合反演得到近场数据模型(不含远震P波,图 3a)和统一模型(全数据组合,图 3b).主震方面:近场联合模型包含了GPS模型和InSAR模型的分布特征(表 1),破裂面形状与InSAR模型相近,4 m以上的峰值滑动区域相同,破裂面四周分布的零散破裂显著减少,如静态GPS模型在吉隆处滑动、InSAR模型在浅部10 km处破裂等,反演中高频GPS数据抑制其他数据中包含的各种非同震信号(余震或余滑形变),主震破裂分布更为紧凑.加入远震P波的统一模型分布特征基本与InSAR模型、近场数据模型相似(表 1),但细节特征更加丰富.加德满都南东30 km处及北深度30 km处3 m的次级滑动则体现了P波模型特征.联合模型的最大余震滑动分布与InSAR模型相近,滑动量集中于震中南侧.
独立模型(远震P波、远震P波+近场强震记录、静态+高频GPS模型)与联合模型(近场数据模型和统一模型)的主震及最大余震地震矩释放率函数如图 4所示.在总时长上,GPS模型与两个联合模型的主、余震破裂持续时间基本相同,远震P波模型与远震P波+近场强震记录模型持续时间则稍长,表明两者有更多零散破裂分布于断层面边缘,而近场大地测量数据能够抑制细碎破裂.在时间过程上,近场数据模型特征与GPS模型十分接近,而统一模型的特征则更接近远震P波模型.GPS模型、远震P波模型及远震P波+近场强震记录模型显示,在主震的前15 s内,断层基本没有释放多少地震矩,联合模型则表明在10 s后断层出现了大于1 m的破裂.所有时空分布模型显示,主震的最大滑动量均发生在破裂开始的约第22 s (表 1);在GPS模型与近场数据模型中,该时刻亦为地震矩释放峰值时刻,而远震P波模型、远震P波+近场强震记录模型及统一模型的地震矩峰值时刻发生于35 s,这主要是此时刻P波显示了破裂沿断层倾向扩展的信号,增大了此时刻的地震矩.
|
图 4 MW7.8主震、MW7.3余震地震矩释放率函数 (a)主震地震矩释放率函数;(b)最大余震地震矩释放率函数;黑色、青色、绿色、蓝色、红色曲线分别对应于远震P波模型、远震P波+近场强震记录(仅主震模型)、静态+高频GPS模型、近场数据联合模型和全数据联合模型. Fig. 4 Moment rate functions of (a) MW7.8 mainshock and (b) MW7.3 aftershock Teleseismic P waves, teleseismic P waves+near-field strong motion (just mainshock model), static GPS+HRGPS, near-field datasets and all datasets models are corresponding to black, cyan, green, blue and red curves. |
为检验各类模型分辨破裂面的可靠性,本文采用棋盘模型测试(图 5).输入模型的几何特征不变,破裂面分布和滑动幅度相应变化,但保持地震矩总量不变.结果表明:远震P波和静态GPS模型可分辨60 km×50 km的滑动.加入高频GPS资料可改进静态GPS模型的分辨率,基本可分辨30 km×40 km的滑动,且南东向高于北西向.InSAR模型与统一模型可分辨30 km×40 km的滑动,而后者对幅度估计更加准确,对20 km×20 km的滑动也有一定分辨力.统一模型的分辨率为最佳,支持分辨前述的主要滑动区域.各类数据对浅部破裂的敏感度优于深部,约以20 km深度为界,以上部分的滑动量估计较为准确,以下部分有所低估.此次地震的主要破裂面分布介于10~20 km深度处,此区间内滑动量幅值的估算较可靠.
|
图 5 棋盘检测 由左向右四列依次为破裂面尺寸在80 km×80 km、60 km×50 km、30 km×40 km及20 km×20 km,且正反破裂演速度相同的测试.第一行为设计模型(Input Model),第二至第五行分别为远震P波(Tel)、GPS永久形变(static GPS)、InSAR LOS形变(InSAR)、高频GPS(HRGPS)及联合模型. Fig. 5 Checkerboard tests From left to right, the sizes of slip patches of each column are 80 km×80 km、60 km×50 km、30 km×40 km, 20 km×20 km, respectively. The rupture velocities of simulation and inversion are designed to be the same value in these three tests. The first array are input models, the second line to the last line are the individual inversion of P-waves, static GPS, InSAR and HRGPS and the joint inversion of all data available. |
为验证高频GPS资料对破裂传播过程的约束能力,本文在棋盘测试时,特意对破裂速度加入系统噪声(图 6).测试表明相比远震P波,高频GPS数据对破裂速度比较敏感,错误的破裂速度将导致破裂分布空间特征的几何偏移,极震区上方KKN4在不同上升时间和破裂速度的动态位移结果(图S1),波形拟合误差也相应增加.联合模型则对破裂速度具有较好的抗差能力.
|
图 6 速度敏感度检测 输入模型滑动尺寸为60 km×50 km,破裂速度为2.5 km·s-1;由左向右四列反演的破裂速度依次固定为2.2 km·s-1、2.5 km·s-1、2.8 km·s-1、3.1 km·s-1,即正反演破裂速度不同的测试.第一行为设计模型(Input Model),第二至第四行分别为远震P波(Tel)、高频GPS(HRGPS,滤去永久形变量后)及联合模型. Fig. 6 Rupture velocity test The size of slip patch of input model is 60 km×50 km, and the rupture velocity of simulation is 2.5 km·s-1. The rupture velocities of inversion are designed to be the different values of 2.2 km·s-1, 2.5 km·s-1, 2.8 km·s-1 and 3.1 km·s-1, from left to right columns, respectively. The first array labeled input models, the second line to the last line are the inversions using teleseismic P waves, HRGPS (without permanent deformation) separately and all data jointly. |
|
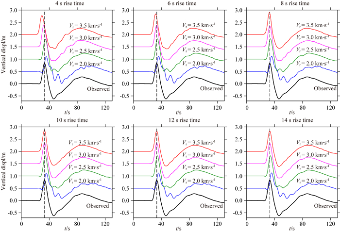
图 S1 不同子断层上升时间和破裂速度在KKN4垂直向的模拟值与观测值的比较 Fig. S1 Synthetic vertical displacements featured with different rupture velocities and rise times at station KKN4 from the 24 scenario models compared to the observed data (black trace) |
本文尝试利用尽可能多的观测资料约束2015年尼泊尔地震震源过程,所用资料不仅包括尼泊尔极震区,更包括西藏地区的GPS观测数据,增加了断层面上盘测站数量,使GPS能以单一手段独立约束破裂模型,且主震及其最大余震都有高频GPS,这为评估GPS连续观测网在地震学研究中的作用又提供一次难得机会.
4.1 破裂速度与上升时间破裂模型扩展与地震矩释放由破裂速度和子断层上升时间控制,由远震P波和高频GPS约束.本文利用高频GPS观测值与模拟值的平均互相关系数与破裂速度和子断层上升时间的相关曲线来确定主震中两者的最优值(图 7).上升时间10 s为相关曲线拐点,之后趋于稳定说明子断层基本不再释放地震矩,本文选取10 s作为最优值.破裂速度相关曲线在2.8 km·s-1后至3.3 km·s-1间趋于平坦,反演结果具有很好的稳定性,速度大于3.4 km·s-1后,拟合度曲线迅速下降.
|
图 7 时间扩展参数. (a)子断层上升时间与高频GPS互相关系数的相关曲线;(b)平均破裂速度与高频GPS互相关系数的相关曲线. Fig. 7 Kinematic source parameters (a) Cross correlation of observed and synthetic waves of HRGPS versus subfault rise time; (b) Cross correlation of observed and synthetic waves of HRGPS versus rupture velocity. A rise time of 10sec and a rupture velocity of 3.3 km·s-1 were used for the final preferred model. |
本文设定的破裂速度为不变值,并不表示子断层滑动初始时刻与震中距呈线性关系,实际破裂速度慢于3.3 km·s-1时表现为子断层震源时间函数中部分时间窗口靠前的基函数幅值为0,然而实际破裂速度无法超过最优值,即最优值实为最大破裂速度.这不排除破裂前锋传播存在一定速度变化,但不存在超剪切破裂的可能性(Fan and Shearer, 2015).检验表明,与采用不变的破裂速度比较,破裂速度先慢(小于2 km·s-1)后快(大于3.4 km·s-1)破裂方式导致数据拟合度较差.
4.2 模型分辨率各独立模型展现出的不尽相同的破裂特征及棋盘测试结果均表明反演多解性源自于各数据集对破裂不同的约束力.远震P波联合近场仅1站的强震记录,滑动峰值区域与大地测量模型已具有一致性,表明近震资料有助于约束破裂面空间特征.近场GPS数量虽大大少于InSAR样点,但其三维形变信息有效补充了一维InSAR的不足,使滑动量估计更准确.静态GPS仅约束住了主要破裂的位置及滑动量值,高频GPS加入后则揭示了主要破裂面范围(站点数量不变),表明在同等网形条件下,利用高频GPS约束破裂模型优于仅利用GPS永久位移的模型.模型时间分辨率则与约束数据所含最高频率相关,相对于远震资料,近场资料包含更高的频率信息,具有较高的时间分布率.以近场观测为主的高频GPS(不低于1 Hz,本文主要为5 Hz)能提供最高50 Hz有效频率(刘刚等, 2014),可在独立和联合反演中改善模型时间分辨率.
高频GPS大量用于破裂模型的研究中亦不乏单独反演结果(Miyazaki et al., 2004; Yokota et al., 2009; Yue and Lay, 2011),由于密集连续GPS观测网支持,单独模型亦有较好时空分辨率.本文研究虽利用了更多的高频GPS站(1 Hz),但仍受制于站点数量及分布未能给出其单独模型,此提示GPS连续网应当在有大震孕震能力的深大断裂两侧加密布设.随着实时解算功能的实现(Geng et al., 2016),GPS连续观测网络具备实时提供高时空分辨力破裂模型的能力.
4.3 影响反演的参数对影响反演结果众多因素如断层面倾角及走向、总几何尺寸、数据时长、滤波窗口、基函数形状等我们均进行了实验,结果表明在这些参数一定范围内滑动分布结果均较为稳健.如,主震断层面倾角5°~17°、走向280°~300°、模型长度180~240 km时破裂面形状及特征具有较高的重合度,地震矩及滑动量特征也基本稳定(图S2左图).数据拟合度上(图S2右图),倾角变化导致的平均残差变化范围达35%,其中静态GPS与InSAR对倾角更为敏感,残差变化分别达70%与30%,因此本文选择平均残差最小倾角值为最优.后两种参数变化导致平均残差变化范围分别不高于12%、6%,影响有限.对于残差变化不大的参数,我们依据权威机构发布结果或者已有成果固定其值.
|
图 S2 倾角(a)、走向(b)及长度(c)的格网搜索结果 左列图为不同参数值的主震滑动等值线(蓝色)与MW7.3余震滑动等值线图(绿色),分布具有较高的重叠性;左上附图为不同参数值的主震总地震矩(蓝色)与最大滑动量(红色),离散度不大.右列图为不同参数值的参数曲线(实线圆圈为主震模型,虚线三角为MW7.3余震模型,远震P波、高频GPS、静态GPS、InSAR残差曲线分别对应于红色、蓝色、绿色、品红色,平均残差为黑色). Fig. S2 Grid search for dip, strike and length (a), (b) and (c) corresponding to the results of slip contours and normalized residuals versus the different value of dip, strike and length (just for mainshock) for each dataset, respectively. The left pictures show the slip distributions of mainshock and the MW7.3 aftershock profiled by blue and green contours respectively. The contours show good coincidence. The higher left inserts of left pictures present little scattered total moment (blue) and max slip (red) of mainshock versus the different value of parameters. The right pictures show the normalized residuals of different datasets versus the different values of parameters. Teleseismic P, High rate GPS, static GPS, InSAR and average value corresponding to the red, blue, green, magenta and black color, as well as the solid line with open circle and the dashed line with open triangle represent the mainshock and the MW7.3 aftershock, respectively. |
除破裂速度外,影响较大因素为权值分配及平滑因子.本文联合反演使用了大地测量和地震学多种数据,各类观测方式不同,精度不一,反演还涉及到介质物性假定和非同震信号(余震、余滑)的处理,多种复杂因素必然导致拟合残差存在非随机性.本文大量尝试不同的相对权值,在对数据归一化后,以反演结果稳定及拟合残差最小为原则,在分布结果稳定区间中选取最优值.此法虽存在一定主观性,导致统一模型的破裂分布主要受InSAR控制,但数据拟合上并未牺牲其他类型观测数据的拟合度,各类数据拟合程度与独立反演结果相当(表 2,图S3-S5).
|
|
表 2 主震各种模型的模拟值与观测值拟合平均残差与互相关系数 Table 2 Mean residuals and cross correlation coefficients of separate and joint inversions of mainshock |
|
图 S3 同震永久形变的模拟值与观测值的拟合残差 (a), (b)分别为水平向和垂直向的GPS同震永久位移拟合残差,白底黑边箭头代表主震残差,品红色箭头代表MW7.3余震残差;(c), (d)分别为主震与MW7.3余震LOS形变量的拟合残差. Fig. S3 Residuals between observed and synthetic coseismic permanent displacements (a) and (b) are horizontal and vertical residuals of GPS permanent displacements, and the white arrows with black frames correspond to the mainshock as well as the magenta arrows correspond to MW7.3 aftershock. (c) and (d) show the residuals of LOS displacements of mainshock and MW7.3 aftershock respectively. |
|
图 S4 强地面运动的模拟值与观测值的比较 (a), (b)和(c)分别为主震5 Hz GPS、1 Hz GPS和加速度积分至位移的三分量的模拟值(红色)与观测值(黑色)比较;(d), (e)分别为最大余震5 Hz和1 Hz GPS三分量的模拟值(红色)与观测值(黑色)比较;图中的红色数字为模拟值与观测值的互相关系数. Fig. S4 Comparison of observed and synthetic strong motions (a), (b) and (c) are the comparisons between displacement waveforms derived from 5 Hz GPS, 1 Hz GPS, accelerometer observed data (black) and the model predictions (red) of mainshock. (d), (e) are the comparisons of 5 Hz, 1 Hz GPS observed data (black) and the synthetic data (red) of MW7.3 aftershock. All the red numbers annotate the cross correlation coefficients between observed and synthetic data. |
|
图 S5 远震P波的模拟值与观测值的比较 红色曲线为模拟值,黑色曲线为观测值;曲线左方为站名,左上方数值为方位角,左下方数字为震中距,右下方数字为模拟值与观测值的互相关系数. Fig. S5 Comparison of observed and synthetic waves of teleseismic P wave Red lines are the observed waves and black lines are the synthetic waves. In each sub-graph, the station name is on the left of curves along with the azimuth (upper) and epicenter distance (lower) in degree. The cross correlation coefficient is on the right bottom of each waveform. |
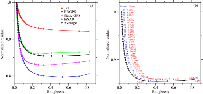
平滑因子选取直接影响滑动分布与最大滑动量.本文绘制了37个采样点(图 8),最大滑动量的变化范围为6.7~9.4 m,远震P波残差变化范围为仅为7%,静态GPS与InSAR变化范围在15%左右,而高频GPS变化范围则达到了20%,表明高频GPS对平滑因子变化更加敏感,更适合对平滑因子进行约束.不同数据的折衷曲线拐点位置不重合但基本均位于平滑因子为6~11的区间,因此本文认为最优平滑因子位于此区间内,对应的最大滑动量为7.3~7.8 m,由高频GPS确定的最大滑动量为7.4 m.
|
图 8 平滑因子与归一化残差的折衷曲线 红色、蓝色、绿色、品红色、黑色分别对应于远震P波、高频GPS、静态GPS、InSAR和均值. Fig. 8 Trade-off curves indicating normalized inversion residual versus smooth weight for each dataset Red, blue, green, magenta, and black curves correspond to teleseismic P waves, HRGPS, static GPS, InSAR and average values, respectively. |
本文主震近场数据模型与Galetzka等(2015)近场联合反演结果相似(图 3a附图),统一模型则与Grandin等(2015)全数据模型特征一致(图 3b附图),但后者25 km以下深度未见明显破裂;Kobayashi等(2016)全数据模型中深部30 km及以下亦显示出约3m滑动区域,破裂面形态一致.对于MW7.3余震, 此前仅有InSAR反演结果可供对比,本文全数据模型显示了与其完全一致分布形态和滑动幅度,但与主震反演不同,InSAR以外各类数据对约束余震破裂特征的作用有限.主震近场联合模型及统一模型的地震矩释放特征与Galetzka等(2015)及Grandin等(2015)给出的结果吻合;破裂速度、上升时间最优值亦与已发表破裂模型及反投影结果具有很好的一致性(Avouac et al., 2015; Galetzka et al., 2015; Grandin et al., 2015; Yagi and Okuwaki, 2015; Wang and Mori, 2016).
喜马拉雅主逆冲断裂带倾向的几何产状突变对此次地震破裂向深、浅部扩展产生的不可忽略的影响被大量讨论(刘静等, 2015; Elliott et al., 2016; Qiu et al., 2016),而研究破裂在走向上的条带分布、起止因素及与最大余震的关系对认识喜马拉雅逆冲断裂带孕震机理亦具有重要的动力学意义.本文统一模型显示主震破裂至最大余震区域截止,甚至可认为两者中间仍具有狭小空区,而积累滑动量表明破裂完全有能力形成进一步的扩展(Ader et al., 2012).本文走向及倾角的搜索结果表明,主震与最大余震的走向及倾角差别并不明显,断裂带几何属性的变化可能并非是阻碍主震走向扩展的主要因素.高分辨率层析成像结果表明在主震破裂区域存在明显高速异常,且与滑动分布具有很好的一致性,而终止区域恰好位于相对低速异常区,物性横向变化则可能是此次地震走向终止的原因,而MW7.3余震的发生则是由主震应力触发导致(Pei et al., 2016).
5 结论本文利用高频GPS(5 Hz和1 Hz)、静态GPS、InSAR和远震体波及近场强震记录,独立和联合反演尼泊尔地震MW7.8主震及MW7.3最大余震的震源破裂过程.各类独立模型由于数据集不同约束力展现出的特征不尽相同,联合模型不仅能够很好的兼容独立模型,而且具有更优的模型分辨力,对数据的综合利用也提高了分布的信噪比.全数据联合模型分辨力最佳,可作为统一模型,其结果表明:主震展布范围为140 km×80 km;4 m以上破裂集中在加德满都以北30 km、深度15 km的狭长区域内,最大滑动量为7.4m;破裂持续总长为60 s,破裂速度为3.3 km·s-1,子断层上升时间在10 s内.余震破裂区域位于主震东侧边缘,滑动量围绕震中扩散,扩展范围为30 km×20 km,最大滑动量约为4.4 m,总破裂持续时间为35 s.GPS连续观测网络数据不仅有益于破裂模型的时空分辨率,其静态+高频的数据亦能独立约束破裂扩展过程.在合理布网及足够站点数量支持下,有能力对大陆特大型地震提供实时破裂模型结果.
致谢感谢两位匿名审稿专家在本文修改中提出的宝贵意见和建议.本文使用的地震波数据来源于IRIS数据中心,尼泊尔境内GPS数据来源于UNAVCO,图件绘制使用了GMT绘图软件,尼泊尔地震信息中心提供了余震信息,在此一并感谢.
| Ader T, Avouac J, Jing L Z, et al. 2012. Convergence rate across the Nepal Himalaya and interseismic coupling on the Main Himalayan thrust:implications for seismic hazard. Journal of Geophysical Research, 117(B4): B04403. DOI:10.1029/2011JB009071 | |
| Avouac J, Meng L S, Wei S J, et al. 2015. Lower edge of locked Main Himalayan Thrust unzipped by the 2015 Gorkha earthquake. Nature Geoscience, 8(9): 708-711. DOI:10.1038/ngeo2518 | |
| Elliott J R, Jolivet R, González P J, et al. 2016. Himalayan megathrust geometry and relation to topography revealed by the Gorkha earthquake. Nature Geoscience, 9(2): 174-180. DOI:10.1038/ngeo2623 | |
| Fan W Y, Shearer P. 2015. Detailed rupture imaging of the 25 April 2015 Nepal earthquake using teleseismic P waves. Geophysical Research Letters, 42(14): 5744-5752. DOI:10.1002/2015GL064587 | |
| Feng G C, Li Z W, Shan X J, et al. 2015. Geodetic model of the 2015 April 25 MW7.8 Gorkha Nepal Earthquake and MW7.3 aftershock estimated from InSAR and GPS data. Geophysical Journal International, 203(2): 896-900. DOI:10.1093/gji/ggv335 | |
| Feng W P, Lindesy E, Barbot S, et al. 2016. Source characteristics of the 2015 MW7.8 Gorkha (Nepal) earthquake and its MW7.2 aftershock from space geodesy. Tectonophysics. DOI:10.1016/j.tecto.2016.02.029 | |
| Galetzka J, Melgar D, Genrich J, et al. 2015. Slip pulse and resonance of Kathmandu basin during the 2015 MW7.8 Gorkha earthquake, Nepal imaged with geodesy. Science, 349: 1091-1095. DOI:10.1126/science.aac6383 | |
| Gao R, Lu Z W, Klemperer S, et al. 2016. Crustal-scale duplexing beneath the Yarlung Zangbo suture in the western Himalaya. Nature Geoscience, 9(7): 555-560. DOI:10.1038/ngeo2730 | |
| Geng T, Xie X, Fang R X, et al. 2016. Real-time capture of seismic waves using high-rate multi-GNSS observation:Application to the 2015 MW7. 8 Nepal earthquake. Geophysical Research Letters, 43(1): 161-167. DOI:10.1002/2015GL067044 | |
| Grandin R, Vallée M, Satriano C, et al. 2015. Rupture process of the MW=7.9 2015 Gorkha earthquake (Nepal):Insights into Himalayan megathrust segmentation. Geophysical Research Letters, 42(20): 8373-8382. DOI:10.1002/2015GL066044 | |
| Ide S, Takeo M, Yoshida Y. 1996. Source process of the 1995 Kobe Earthquake:Determination of spatio-temporal slip distribution by bayesian modeling. Bulletin of the Seismological Society of America, 86(3): 547-566. | |
| Kikuchi M, Kanamori H. 1991. Inversion of complex body wave-Ⅲ. Bulletin of the Seismological Society of America, 81(6): 2335-2350. | |
| Kobayashi H, Koketsu K, Miyake H, et al. 2016. Joint inversion of teleseismic, geodetic, and near-field waveform datasets for rupture process of the 2015 Gorkha, Nepal, earthquake. Earth, Planets and Space, 68: 66. DOI:10.1186/s40623-016-0441-1 | |
| Kobayashi T, Morishita Y, Yarai H. 2015. Detailed crustal deformation and fault rupture of the 2015 Gorkha earthquake, Nepal, revealed from ScanSAR-based interferograms of ALOS-2. Earth, Planets and Space, 67: 201. DOI:10.1186/s40623-015-0359-z | |
| Lavé J, Avouac J. 2000. Active folding of fluvial terraces across the Siwaliks Hills, Himalayas of central Nepal. Journal of Geophysical Research, 105(B3): 5735-5770. DOI:10.1029/1999JB900292 | |
| Lei J S, Zhao D P. 2009. Structural heterogeneity of the Longmenshan fault zone and the mechanism of the 2008 Wenchuan earthquake (MS8.0). Geochemistry, Geophysics, Geosystems, 10(10): Q10010. DOI:10.1029/2009GC002590 | |
| Lei J S, Li Y, Xie J R, et al. 2014. Pn anisotropic tomography and dynamics under eastern Tibetan plateau. Journal of Geophysical Research, 119(3): 2174-2198. DOI:10.1002/2013JB010847 | |
| Li C, Van Der Hilst R, Meltzer A S, et al. 2008. Subduction of the Indian lithosphere beneath the Tibetan Plateau and Burma. Earth and Planetary Science Letters, 274(1-2): 157-168. DOI:10.1016/j.epsl.2008.07.016 | |
| Lindsey E, Natsuaki R, Xu X H, et al. 2015. Line-of-sight displacement from ALOS-2 interferometry:MW7.8 gorkha earthquake and MW7.3 aftershock. Geophysical Research Letters, 42: 6655-6661. DOI:10.1002/2015GL065385 | |
| Liu C L, Zheng Y, Wang R J, et al. 2016. Rupture processes of the 2015 MW7.9 Gorkha earthquake and its MW7.3 aftershock and their implications on the seismic risk. Tectonophysics, 682: 264-277. DOI:10.1016/j.tecto.2016.05.034 | |
| Liu G, Nie Z S, Fang R X, et al. 2014. Recognition of seismic phases recorded by high-rate GNSS measurements:Simulation and case studies. Chinese J. Geophys., 57(9): 2813-2825. DOI:10.6038/cjg20140908 | |
| Liu G, Wang Q, Qiao X J, et al. 2015. The 25 April 2015 Nepal Ms8.1 earthquake slip distribution from joint inversion of teleseismic, static and high-rate GPS data. Geophys, 58(11): 4287-4297. DOI:10.6038/cjg20151133 | |
| Liu J, Ji C, Zhang J Y, et al. 2015. Tectonic setting and general features of coseismic rupture of the 25 April, 2015 MW7.8 Gorkha, Nepal earthquake. Chinese Science Bulletin, 60(27): 2640-2655. DOI:10.1360/N972015-00559 | |
| Miyazaki S, Larson K, Choi K, et al. 2004. Modeling the rupture process of the 2003 September 25 Tokachi-Oki (Hokkaido) earthquake using 1 Hz GPS data. Geophysical Research Letters, 31(21): L211603. DOI:10.1029/2004GL021457 | |
| Pei S S, Liu H B, Lin B, et al. 2016. High-resolution seismic tomography of the 2015 MW7.8 Gorkha earthquake, Nepal:Evidence for the crustal tearing of the Himalayan rift. Geophysical Research Letters, 43(17): 9045-9052. DOI:10.1002/2016GL069808 | |
| Qiu Q, Hill E, Barbot S, et al. 2016. The mechanism of partial rupture of a locked megathrust:The role of fault morphology. Geology, 44(10): 875-878. DOI:10.1130/G38178.1 | |
| Shan X J, Zhang G H, Wang C C, et al. 2015. Joint inversion for the spatial fault slip distribution of the 2015 Nepal MW7.9 earthquake based on InSAR and GPS observations. Chinese J. Geophys, 58(11): 4266-4276. DOI:10.6038/cjg20151131 | |
| Tan K, Zhao B, Zhang C H, et al. 2016. Rupture models of the Nepal MW7.9 earthquake and MW7.3 aftrershock constrained by GPS and InSAR coseimic deformations. Chinese J. Geophys, 59(6): 2080-2093. DOI:10.6038/cjg20160614 | |
| Tan K, Zhang C H, Zhao B, et al. 2017. Multiplicity of solutions to geophysical inversion reflected by rupture slip distribution of the 2015 Nepal earthquake. Geodesy and Geodynamics, 8(1): 59-69. DOI:10.1016/j.geog.2016.12.003 | |
| Teng J W, Yuan X M, Zhang Y Q, et al. 2012. The stratificational velocity structure of crust and covering strata of upper mantle and the orbit of deep interaquifer substance locus of movement for Tibetan Plateau. Acta Petrologica Sinica, 28(12): 4077-4100. | |
| Wang D, Mori J. 2016. Short-Period Energy of the 25 April 2015 MW7.8 Nepal Earthquake Determined from Backprojection Using Four Arrays in Europe, China, Japan, and Australia. Bulletin of the Seismological Society of America, 106(1): 259-266. DOI:10.1785/0120150236 | |
| Wang K, Fialko Y. 2015. Slip model of the 2015 MW7.8 Gorkha (Nepal) earthquake from inversions of ALOS-2 and GPS data. Geophysical Research Letters, 42(18): 7452-7458. DOI:10.1002/2015GL065201 | |
| Wang W M, Hao J L, He J K, et al. 2015. Rupture Process of the MW7.9 Nepal earthquake April 25, 2015. Science China Earth Sciences, 58(10): 1895-1900. DOI:10.1007/s11430-015-5170-y | |
| Yabuki T, Matsu'ura M. 1992. Geodetic data inversion using a Bayesian information criterion for spatial distribution of fault slip. Geophysical Journal International, 109(2): 363-375. DOI:10.1111/gji.1992.109.issue-2 | |
| Yagi Y, Okuwaki R. 2015. Integrated seismic source model of the 2015 Gorkha, Nepal, earthquake. Geophysical Research Letters, 42(15): 6229-6235. DOI:10.1002/2015GL064995 | |
| Yin A, Harrison T. 2000. Geologic evolution of the Himalayan-Tibetan Orogen. Annual Review of Earth and Planetary Sciences, 28(1): 211-280. DOI:10.1146/annurev.earth.28.1.211 | |
| Yokota Y, Koketsu K, Hikima K, et al. 2009. Ability of 1 Hz GPS data to infer the source process of a medium-sized earthquake:The case of the 2008 Iwate-Miyagi Nairku, Japan, earthquake. Geophysical Research Letters, 36(12): L12301. DOI:10.1029/2009GL037799 | |
| Yoshida S, Koketsu K. 1990. Simultaneous inversion of waveform and geodetic data for the rupture process of the 1984 Naganoken-Seibu, Japan, earthquake. Geophysical Journal International, 103(2): 355-362. DOI:10.1111/gji.1990.103.issue-2 | |
| Yoshida S, Koketsu K, Shibazaki B, et al. 1996. Joint inversion of near-and far-field waveforms and geodetic data for the rupture process of the 1995 Kobe Earthquake. Journal of Physics of the Earth, 44(5): 437-454. DOI:10.4294/jpe1952.44.437 | |
| Yue H, Lay T. 2011. Inversion of high-rate (1 sps) GPS data for rupture process of the 11 March 2011 Tohoku earthquake (MW9.1). Geophysical Research Letters, 38(7): L00G09. DOI:10.1029/2011GL048700 | |
| Yue H, Lay T. 2013. Source Rupture Models for the MW9.0 2011 Tohoku earthquake from joint inversions of high-rate geodetic and seismic data. Bulletin of the Seismological Society of America, 103(28): 1242-1255. DOI:10.1785/0120120119 | |
| Zhang G H, Hetland E, Shan X J, et al. 2015. Slip in the 2015 MW7.9 Gorkha and MW7.3 Kodari, Nepal, earthquakes revealed by seismic and geodetic data:delayed slip in the Gorkha and slip deficit between the two earthquakes. Seismological Research Letters, 86(6): 1578-1586. DOI:10.1785/0220150139 | |
| Zhang L F, Fatchurochman I, Liao W L, et al. 2013. Source rupture process inversion of the 2013 Lushan earthquake, China. Geodesy and Geodynamics, 4(2): 16-21. DOI:10.3724/SP.J.1246.2013.02016 | |
| Zhang L F, Li J G, Liao W L, et al. 2016. Source rupture process of the 2015 Gorkha, Nepal MW7.9 earthquake and its tectonic implications. Geodesy and Geodynamics, 7(2): 124-131. DOI:10.1016/j.geog.2016.03.001 | |
| Zhang Y, Xu L, Chen Y T. 2015. Rupture process of the 2015 Nepal MW7.9 earthquake:Fast inversion and preliminary joint inversion. Chinese J. Geophys, 58(5): 1804-1811. DOI:10.6038/cjg20150530 | |
| Zhao J M, Yuan X H, Liu H B, et al. 2010. The boundary between the Indian and Asian tectonic plates below Tibet. Proceedings of the National Academy of Sciences of the United States of America, 107(25): 11229-11233. DOI:10.1073/pnas.1001921107 | |
| Zhou Z G, Lei J S. 2016. Pn anisotropic tomography and mantle dynamics beneath China. Physics of the Earth and Planetary Interiors, 257: 193-204. DOI:10.1016/j.pepi.2016.06.005 | |
| Zhu L P, Rivera L. 2002. A note on the dynamic and static displacements from a point source in multilayered media. Geophysical Research Letters, 148(3): 619-627. | |
| 单新建, 张国宏, 汪驰升, 等. 2015. 基于InSAR和GPS观测数据的尼泊尔地震发震断层特征参数联合反演研究. 地球物理学报, 58(11): 4266–4276. DOI:10.6038/cjg20151131 | |
| 刘刚, 聂兆生, 方荣新, 等. 2014. 高频GNSS形变波的震相识别:模拟实验与实例分析. 地球物理学报, 57(9): 2813–2825. DOI:10.6038/cjg20140908 | |
| 刘刚, 王琪, 乔学军, 等. 2015. 用连续GPS与远震体波联合反演2015年尼泊尔中部MS8.1地震震源破裂过程. 地球物理学报, 58(11): 4287–4297. DOI:10.6038/cjg20151133 | |
| 刘静, 纪晨, 张金玉, 等. 2015. 2015年4月25日尼泊尔MW7.8级地震的孕震构造背景和特征. 科学通报, 60(27): 2640–2655. DOI:10.1360/N972015-00559 | |
| 谭凯, 赵斌, 张彩红, 等. 2016. GPS和InSAR同震形变约束的尼泊尔MW7.9和MW7.3地震破裂滑动分布. 地球物理学报, 59(6): 2080–2093. DOI:10.6038/cjg20160614 | |
| 王卫民, 郝金来, 何建坤, 等. 2015. 2015年4月25日尼泊尔MW7. 9级地震震源过程. 中国科学:地球科学, 45(9): 1421–1426. | |
| 张勇, 许力生, 陈运泰. 2015. 2015年尼泊尔MW7.9地震破裂过程:快速反演与初步联合反演. 地球物理学报, 58(5): 1804–1811. DOI:10.6038/cjg20150530 | |
| 滕吉文, 阮小敏, 张永谦, 等. 2012. 青藏高原地壳与上地幔成层速度结构与深部层间物质的运移轨迹. 岩石学报, 28(12): 4077–4100. | |
2017, Vol. 60



