2016年1月6日,朝鲜在其丰溪里核试验场再次进行了地下核试验,利用潘常周等(2014)的相对定位方法,得到此次试验与上次2013试验的震中位置不超过1 km.但是,两次试验不同震相的幅值比却表现出了明显差异:2016试验的短周期P波幅值要略低于在相同台站上2013试验的短周期P波幅值,其中在1 Hz左右,此次试验与上次试验的幅值比平均值约为0.8.与此同时,此次试验的20 s周期的Rayleigh面波幅值与上次试验的幅值比平均值约为1.3,Love面波幅值比平均值约为0.7.即相比于上次试验,本次试验短周期P波幅值减小,长周期Rayleigh面波幅值增强,Love面波幅值减小.从震级的角度,由P波幅值测定的mb减小,由Rayleigh面波幅值测定的MS增大.那么其当量究竟是增大了,还是减小了?这给判断两次试验当量的相对大小带来了困难.由于两次试验震中位置非常接近,对于同一台站来说,记录到的相同震相地震波信号在地球内部的传播路径是相同的,因此,其幅值比差异反映了震源机制的差异.
地下核爆炸的震源机制一般包含三种成分:球对称爆炸源、构造应力源和CLVD源,图 1给出了这三种震源成分作用的几何示意图.球对称爆炸源为地下核爆炸的主要震源机制,反映了最主要的能量释放过程,构造应力源、CLVD源为伴随的二次源机制(何永锋等,2012).物理现象上,构造应力源对应地下核爆炸诱发的源区应变能释放(Lambert et al., 1972; Rygg, 1979; Walter and Patton, 1990; Given and Mellman, 1986; Ekström and Richards, 1994; Pedersen et al., 1998),CLVD源对应地下核爆炸激发的应力波经自由表面反射后拉伸作用造成的源区上方岩石的倾滑错动及张性裂隙,一般在纵向上表现出对岩石的拉伸作用,在横向上则表现出对岩石的压缩作用(Johnson, 1998; Patton and Taylor, 2008, 2011).研究人员一般通过全矩张量反演来得到地下核爆炸的各种震源成分(Patton, 1988; Bukchin et al., 2001; Ichinose et al., 2003; Dreger and Woods, 2002; Dreger et al., 2012).
|
图 1 地下核爆炸三种震源成分作用的几何示意图 Fig. 1 Geometric sketch of three source components of UNEs |
地震信号观测上,P波主要受球对称爆炸源影响,而受CLVD源与构造应力源影响较小,这主要是由于三种震源成分的时间函数不同;Love面波只受构造应力源影响;Rayleigh面波则受到球对称爆炸源、构造应力源、CLVD源三种震源成分的影响.数值模拟结果也证实了这一点(Stevens and Thompson, 2015).通常情况下CLVD源与球对称爆炸源激发的Rayleigh面波极性相反,表现出抑制作用;构造应力源如果为逆断层面解,与球对称爆炸源激发的Rayleigh面波极性相反,表现出抑制作用,如果为正断层面解,则与球对称爆炸源激发的Rayleigh面波极性相同,表现出放大作用,如果为走滑断层面解,有的方向表现出放大,有的方向表现出抑制,整体上既不放大也不抑制.一般认为,前苏联塞米巴拉金斯克核试验场的构造应力以逆断层面解释放,美国内华达核试验场的构造应力以走滑或正断层的形式释放,其依据是场地附近天然地震的震源机制表现出的特征,朝鲜核试验场的构造应力释放机制目前并不清楚.由于P波主要受球对称爆炸源影响,Rayleigh面波受到多种震源成分的影响,因此P波幅值最能够直接地反映当量的大小,利用面波幅值估算当量会存在较大的不确定度.塞米巴拉金斯克与内华达的核试验测量结果都证实了这一点(Given and Mellman, 1986).
朝鲜核试验的震源机制问题早已引起了地震学家的关注和研究(Dreger et al., 2009; Ford et al., 2009a, 2009b, 2010, 2012; Shin et al., 2010;Chun et al., 2011;Vavryčuk and Kim, 2014; Barth, 2014).mb/MS这一稳定的识别判据在历次朝鲜核试验应用中的失效引发了地震学家深入的思考:究竟是朝鲜核试验的MS异常偏大,还是以前核试验的MS本身相比于纯爆炸源情况就偏小,只是朝鲜核试验偏小的较少而已(Bonner et al., 2008; Koper et al., 2008; Murphy et al., 1997; 范娜等,2013)?Murphy与Patton最近还在为这一问题争论(Murphy et al., 2013;Patton and Pabian, 2014; Murphy, 2014).Murphy认为,朝鲜核试验MS偏大的原因是核爆炸引起的源区储存的预应变能的释放,应变能的释放如果表现出水平向拉伸作用则会增大Rayleigh面波幅值.Patton则认为朝鲜核试验MS偏大的原因为相比于之前的核爆炸,缺失CLVD源,缺乏对Rayleigh面波的抑制作用,使得朝鲜核试验更接近纯爆炸源情况.Murphy对Patton的观点进行了驳斥,一个论据为数值模拟结果表明,源区介质缺乏预应变能的情况下,尽管会产生由CLVD源表征的介质破坏现象,但这种破坏对Rayleigh面波的影响很小,相反如果源区介质存在预应变能,则会对Rayleigh面波产生可观的影响,以此说明预应变能的释放对Rayleigh波有更重要的影响.虽然,理论上可以通过全矩张量反演来得到地下核爆炸震源过程中包含的各种成分,但这种方法存在一种固有的不足:地下核爆炸的浅源效应使得长周期面波无法有效地分辨矩张量的对角线元素.尽管都能够很好地拟合观测资料,Ford等(2009a, 2009b)、Murphy等(2013)、Barth(2014)、Vavryčuk和Kim(2014)给出的朝鲜核试验震源机制反演结果差异很大.其中Barth给出了Mrr为负的结果,存在着明显的不合理,因为Mrr为负将导致远震P波初动为负,显然不符合观测事实.
在朝鲜核试验的mb/MS识别判据失效问题理论上依然存在争议的情况下,又出现了此次核试验与2013核试验不同震相幅值比不一致的问题,依靠目前国际上对于朝鲜核试验震源机制的认识显然无法回答这一问题.本文首先对两次试验不同震相幅值比存在差异这一“异常”的观测现象进行阐述,然后利用区域台站上的长周期面波资料对其震源机制进行反演,再结合两次试验短周期P波幅值比的约束,对其震源机制进行分析,得到了构造应力源释放形式,对观测现象做出了合理的解释.
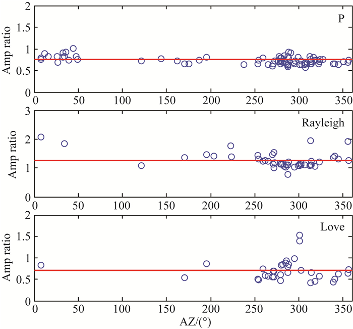
2 观测现象图 2为两次试验在CBT台(震中距约80 km)上的垂向P波、Rayleigh波与切向Love波速度波形对比.可以清楚看到,2016试验相比于2013试验,P波与Love面波幅值减小,Rayleigh面波幅值增大.我们利用搜集到的数据计算了两次试验的短周期P波(0.5~1.5 Hz滤波)、20 s周期Rayleigh面波、Love面波幅值比.所用数据台站分布如图 3所示,其中用于计算P波幅值比的有80个台站,用于计算Rayleigh面波幅值比的有48个台站,用于计算Love面波幅值比的有34个台站.需要说明,长周期面波往往由于初至不清晰而难以测量其幅值,因而其数据量要比短周期P波少些,此外,Love面波幅值的测量还涉及到水平分量的旋转,要求台站必须为三分量台站.考虑到部分台站水平分量的指向可能存在错误,我们选择数据时首先对P波做三分量偏振分析,对于计算得到的事件后方位角和理论值有明显偏差的台站数据给予剔除,因此Love面波幅值比的数据量最少.图 4给出了幅值比计算结果,P波幅值比平均值为0.75,均方差为0.10;Rayleigh面波幅值比平均值为1.27,均方差为0.27;Love面波幅值比平均值为0.71,均方差为0.24.我们注意到,P波幅值比离散度较小,而Rayleigh面波与Love面波幅值比离散度较大,这说明对于P波,两次试验的震源机制是“重复”的,而对于面波,两次试验的震源机制是存在较大差异的.
|
图 2 CBT台记录到的2016、2013朝鲜核试验波形对比 红色线为2016核试验波形,蓝色线为2013核试验波形,P波为垂向分量,Rayleigh面波为垂向分量,Love面波为切向分量. Fig. 2 Comparison of waveforms of 2016 and 2013 North Korean nuclear tests recorded by CBT station Red lines are waveforms of the 2016 test and blue lines are waveforms of the 2013 test. P waves and Rayleigh waves are vertical component and the Love waves are tangential component. |
|
图 3 测量不同震相幅值比所用数据台站分布 青色三角形代表台站,红色圆点代表震中. (a)测量P波幅值比所用数据台站;(b)测量Rayleigh面波幅值比所用数据台站;(c)测量Love面波幅值比所用数据台站. Fig. 3 Distribution of stations used for the different seismic phases′ amplitude-ratio measurements Green triangles represent stations and the red circle represents the epicenter. (a) Stations used for P waves′ amplitude-ratio measurement; (b) Stations used for Rayleigh waves′ amplitude-ratio measurement; (c) Stations used for Love waves′ amplitude-ratio measurement. |
|
图 4 2016、2013朝鲜试验P波、Rayleigh面波、Love面波幅值比 红色线给出了平均值的位置. Fig. 4 Amplitude-ratio measurements of P waves, Rayleigh waves and Love waves Red line is the location of the mean value. |
首先,我们尝试用长周期面波资料对单次试验的震源机制进行反演.Patton(1988)很早就在理论上指出,由于地下核爆炸的浅源效应,长周期面波无法区分地震矩张量的Mxx+Myy与Mzz元素,即无法区分纯爆炸源与CLVD源,而且一般认为朝鲜核试验CLVD源是缺失的,这里将纯爆炸源与CLVD源统一作为视球对称爆炸源,于是震源机制可以表示为视球对称爆炸源与构造应力源的线性组合.构造应力源的矩张量形式由三个错动角计算得到.我们网格搜索构造应力源含量比重与三个错动角,使得理论地震图与观测波形的相关系数最大,得到震源机制解.源强度的确定方法为利用Love面波幅值首先确定构造应力源的强度,视球对称爆炸源的源强度则由构造应力源强度以及其所占比重系数得到.搜索过程考虑到P波初动为正这一约束.计算相关系数时对各台站的观测波形和理论地震图幅值不做归一化处理,使得不同台站记录到的震相幅值比对震源机制起到约束作用.理论地震图计算程序为CPS程序包里的波数积分法(Herrmann, 2006).图 5给出了我们反演两次朝鲜核试验震源机制所用数据台站,这些台站主要位于我国东北和朝鲜邻近地区,位于震中南部的只有一个IMS (International Monitor System,国际核查监测系统)台网的KS31台.计算理论地震图所用的介质模型为Ford等(2009a)反演2009年朝鲜核试验震源机制时给出的震中到MDJ台路径介质模型.考虑到该模型与不同路径的实际模型可能存在一定偏差,我们在做相关系数计算时允许观测波形有时移,以增强模型的容错能力.长周期滤波情况下,震源深度的略微改变对波形的相似性影响不大,本文限定震源深度为1 km.
|
图 5 反演两次朝鲜核试验震源机制所用数据台站 Fig. 5 Distribution of the stations used for source mechanism inversion of two North Korean tests Triangles represent stations and the circle represents the epicenter. |
我们约束两次试验的构造应力源机制相同,这么做一是因为两次试验的震中很接近,理论上构造应力源机制相同,二是从观测数据来看,仅与构造应力源有关的两次试验Love面波幅值比与方位角基本无关.对于构造应力源我们按走滑断层(倾角90°,滑动角0°)、正倾滑断层(倾角45°,滑动角-90°)和逆倾滑断层(倾角45°,滑动角90°)三种典型断层结构情况分开搜索.之所以限定构造应力源为特定的断层类型,而不是像天然地震那样,对三个错动角进行网格搜索,一是因为典型断层类型足以代表构造应力源的基本特征,二是因为在核爆炸震源机制反演中,构造应力源只是震源成分中的一种,还需要引入其在整个震源中所占比重的变量,四个未知数情况下给出的错动角结果分辨率很差,意义不大.
表 1、2给出了两次试验最优解结果.图 6为波形残差随构造应力源强度变化曲线.可以看到,构造应力源无论为走滑断层、正断层还是逆断层,都有2016试验的构造应力源成分比小于2013试验,且有2016试验的构造应力源强度小于2013试验,约为其0.7倍,和Love波幅值比相符.逆断层与正断层解相比,走向相差了90°.正断层与逆断层给出的构造应力源强度相当,约是走滑断层给出的构造应力源强度的2倍,这和理论是相符的,倾滑断层激发Love面波的能力要弱于走滑断层.此外,注意到走滑断层、正断层情况下2013试验视球对称爆炸源强度显著小于2016试验,逆断层情况下,2013试验视球对称爆炸源强度略大于2016试验.
|
|
表 1 2013朝鲜核试验震源机制反演结果 Table 1 Source mechanism inversion results of the 2013 North Korean nuclear test |
|
|
表 2 2016朝鲜核试验震源机制反演结果 Table 2 Source mechanism inversion results of the 2016 North Korean nuclear test |
|
图 6 波形残差随构造应力源强度的变化曲线(Mdc表示DC源地震矩) Fig. 6 Variation curves of waveform residuals with intensity of tectonic stress source |
图 7、8分别给出了2013、2016朝鲜核试验波形拟合结果,可以看出,无论构造应力源为走滑断层、正断层还是逆断层都可以很好地拟合观测波形.图 9、10分别给出了2013、2016朝鲜核试验构造应力源为不同断层类型时各种震源成分激发的20 s周期面波理论辐射花样,虽然构造应力源为不同断层类型时,激发的20 s周期面波辐射花样差异很大,表现为走滑断层对视球对称爆炸源激发的Rayleigh面波整体上既不放大也不缩小,正断层起放大作用,逆断层起抑制作用,但与视球对称爆炸源叠加后的结果很相似.图 11为构造应力源为不同断层面解情况与视球对称爆炸源叠加后得到的20 s周期面波辐射花样的直接对比,总的辐射花样很接近,略微的差异难以利用观测数据分辨开来.
|
图 7 2013朝鲜核试验最优断层解对波形的拟合,10~50 s滤波 黑色线为观测波形,蓝色线为构造应力源为走滑断层情况,青色线为构造应力源为正断层情况,红色线为构造应力源为逆断层情况. Fig. 7 Waveform modeling of the optimal fault solution plane for the 2013 North Korean nuclear test filtered at 10~50 s Black lines are observation waves. Blue lines are modeled waves when the tectonic stress source is a strike slip fault. Green lines are modeling waves when the tectonic stress source is a normal fault. Red lines are modeling waves when the tectonic stress source is a thrust fault. |
|
图 8 2016朝鲜核试验最优断层解对波形的拟合,10~50 s滤波 黑色线为观测波形,蓝色线为构造应力源为走滑断层情况,青色线为构造应力源为正断层情况,红色线为构造应力源为逆断层情况. Fig. 8 Waveform modeling of the optimal fault solution plane for the 2016 North Korean nuclear test filtered at 10~50 s Black lines are observation waves. Blue lines are modeling waves when the tectonic stress source is a strike slip fault. Green lines are modeling waves when the tectonic stress source is a normal fault. Red lines are modeling waves when the tectonic stress source is a thrust fault. |
|
图 9 2013朝鲜核试验反演得到的各种震源成分激发的20 s周期面波辐射花样 蓝色线为视球对称爆炸源Rayleigh面波理论辐射花样,视球对称爆炸源不激发Love面波;青色线为构造应力源Rayleigh面波辐射花样和Love面波辐射花样;红色线为视球对称爆炸源叠加上构造应力源Rayleigh面波辐射花样,其激发的Love面波和构造应力源相同,因此没有画出.(a)构造应力源为走滑断层;(b)构造应力源为正断层;(c)构造应力源为逆断层. Fig. 9 Radiation pattern of surface waves at 20 s excited by the different kinds of inversion source components for the 2013 North Korean nuclear test Blue lines are the Rayleigh waves′ radiation pattern excited by the apparent isotropic component, and Love waves could not be excited by the apparent isotropic component. Green lines are Rayleigh and Love waves′ radiation pattern excited by tectonic stress component. Red lines are Rayleigh waves′ radiation pattern excited by the sum of the apparent isotropic component and the tectonic stress component. Since the Love waves′ radiation pattern excited by the composite source is the same as that by the tectonic stress component, it is not plotted. (a) Tectonic stress source is a strike slip fault; (b) Tectonic stress source is a normal fault; (c) Tectonic stress source is a thrust fault. |
|
图 10 2016朝鲜核试验反演得到的各种震源成分激发的20 s周期面波辐射花样 说明同图 9. Fig. 10 Radiation pattern of surface waves at 20 s excited by the different kinds of inversion source components for the 2016 North Korean nuclear test Same explanation as Fig.9. |
|
图 11 构造应力源为不同断层面解情况与视球对称爆炸源叠加后得到的震源机制激发的20 s周期面波辐射花样对比 蓝色线为构造应力源为走滑断层,青色线为构造应力源为正断层,红色线为构造应力源为逆断层. (a) 2013朝鲜核试验;(b) 2016朝鲜核试验. Fig. 11 Comparison of the radiation patterns of surface waves at 20 s excited by composite source mechanisms with different kinds of the tectonic stress source components Blue lines are the radiation pattern when the tectonic stress source is a strike slip fault. Green lines are the radiation pattern when the tectonic stress source is a normal fault. Red lines are the radiation pattern when the tectonic stress source is a thrust fault. (a) 2013 North Korean nuclear test; (b) 2016 North Korean nuclear test. |
如前所述,构造应力源为三种断层面机制情况下都可以很好地拟合长周期面波观测资料,下面我们从两次试验不同震相的幅值比对这三种机制的合理性进行定性分析.P波受构造应力源影响较小,其幅值比能直接地反映当量与震源中的各向同性分量的大小,因此由P波幅值比可以得到2016试验的各向同性分量小于2013试验.Love面波只受到构造应力源的影响,因此由Love面波幅值比可以得到2016试验的构造应力源含量小于2013试验.如果构造应力源为走滑断层,对Rayleigh面波既不放大也不缩小,那么Rayleigh面波应该表现出与P波一样的幅值比,与观测不符;如果构造应力源为正断层,对Rayleigh面波表现出放大作用,由于2016试验的构造应力源与各向同性分量均小于2013试验,综合的结果应该有2016试验Rayleigh面波幅值小于2013试验,与观测不符;如果构造应力源为逆断层,对Rayleigh面波起抑制作用,较小的各向同性分量与较小的构造应力源含量相减的结果则有可能使得2016试验的Rayleigh面波幅值大于2013试验.图 12为构造应力源为逆断层解得到的理论辐射花样对两次试验面波幅值观测的拟合,可以看到,二者吻合得较好.由此说明,朝鲜核试验的构造应力源只有为逆断层形式,不同震相之间的幅值比差异现象才能够得到合理解释.
|
图 12 构造应力源为逆断层情况震源机制解得到的20 s周期面波理论辐射花样对观测数据的拟合 蓝色点为2013朝鲜核试验面波幅值,蓝色线为其理论辐射花样.红色点为2016朝鲜核试验面波幅值,红色线为其理论辐射花样.为了图形的显示清楚,Love面波辐射图案和幅值作了放大. Fig. 12 Modeling of 20 s surface wave radiation pattern from focal mechanism solutions with the tectonic stress source as a thrust fault Blue dots and lines are for the 2013 North Korean nuclear test. Red dots and lines are for the 2016 North Korean nuclear test. In order to show clearly, Love waves′ radiation pattern and observation amplitude values are amplified. |
本文对2016、2013两次朝鲜核试验不同震相幅值比存在差异这一“异常”的观测现象进行了阐述,给出了我们利用大量观测数据得到的幅值比测量结果.然后,利用不同震源机制模型对区域震台站上的长周期面波数据进行拟合,结果表明,构造应力源无论是走滑断层、正断层还是逆断层,都可以很好地拟合观测波形,这说明利用长周期面波无法确定单次试验的震源机制.但是,只有逆断层形式释放的构造应力源可以解释两次试验数据不同震相幅值比差异的现象.P波由于受构造应力源与CLVD源影响较小,其幅值比说明2016试验的当量和震源中的各向同性分量要小于2013试验.Love波幅值比说明此次试验的构造应力源含量小于2013试验.根据Rayleigh面波的幅值比可以判定朝鲜核试验构造应力以逆断层形式释放.逆断层对视球对称爆炸源激发的Rayleigh面波整体上起抑制作用,只是由于此次试验构造应力释放较少,抵消的结果使得各向同性分量较小的情况下激发出了更强的Rayleigh面波.可见,构造应力源是朝鲜核试验的一种重要的次生源机制,对于MS有重要的影响,这与Patton等人的观点不同,而构造应力以逆断层的释放形式与Murphy等人的认识也不相同.虽然朝鲜核试验的构造应力源对Rayleigh面波起抑制作用,但由于CLVD源的缺失,使得其相比于其他场地的核试验,整体上对Rayleigh面波的抑制偏小,结果造成MS偏大,mb/MS识别判据失效.本文在研究过程中对纯爆炸源与CLVD源不加以区分,至于CLVD源是否存在,如果存在其比重因子K值的确定需要进一步研究.此外,朝鲜核试验构造应力源以逆断层形式释放的内在机理、本文确定的断层走向与附近地质构造的关联性需要深入探讨.本文的研究方法说明,对于同一场地的多次地下核爆炸试验,孤立的单一利用长周期面波数据无法可靠地确定单次试验的震源机制,对比分析多次试验的不同震相数据却可以对震源机制做出很好的约束,这对于地下核爆炸的震源机制研究具有重要的启示意义.
| Barth A. 2014. Significant release of shear energy of the North Korean nuclear test on February 12, 2013. J. Seismol., 18(3): 605-615. DOI:10.1007/s10950-014-9431-6 | |
| Bonner J, Herrmann R B, Harkrider D, et al. 2008. The surface wave magnitude for the 9 October 2006 North Korean nuclear explosion. Bulletin of the Seismological Society of America, 98(5): 2498-2505. DOI:10.1785/0120080929 | |
| Bukchin B G, Mostinsky A Z, Egorkin A A, et al. 2001. Isotropic and nonisotropic components of earthquakes and nuclear explosions on the Lop Nor Test Site, China. Pure and Applied Geophysics, 158(8): 1497-1515. DOI:10.1007/PL00001231 | |
| Chun K Y, Wu Y, Henderson G A. 2011. Magnitude estimation and source discrimination:A close look at the 2006 and 2009 North Korean underground nuclear explosions. Bulletin of the Seismological Society of America, 101(3): 1315-1329. DOI:10.1785/0120100202 | |
| Dreger D, Woods B. 2002. Regional distance seismic moment tensors of nuclear explosions. Tectonophysics, 356(1-3): 139-156. DOI:10.1016/S0040-1951(02)00381-5 | |
| Dreger D S, Ford S R, Walter W R. 2009. Identifying isotropic events using a regional moment tensor inversion.//Proceedings of 2009 Monitoring Research Review. Tucson, AZ, United States:Lawrence Livermore National Laboratory, 455-464. | |
| Dreger D S, Chiang A, Ford S R, et al. 2012. Refinement of regional distance seismic moment tensor and uncertainty analysis for source-type identification.//Proceedings of the 2012 Monitoring Research Review. National Nuclear Security Administration, 446-455. | |
| Ekström G, Richards P G. 1994. Empirical measurements of tectonic moment release in nuclear explosions from teleseismic surface waves and body waves. Geophys. J. Int., 117(1): 120-140. DOI:10.1111/gji.1994.117.issue-1 | |
| Fan N, Zhao L F, Xie X B, et al. 2013. Measurement of Rayleigh-wave magnitudes for North Korean nuclear tests. Chinese J. Geophys., 56(3): 906-915. DOI:10.6038/cjg20130319 | |
| Ford S R, Dreger D S, Walter W R. 2009a. Source analysis of the Memorial Day explosion, Kimchaek, North Korea. Geophysical Research Letters, 36(21). DOI:10.1029/2009GL040003 | |
| Ford S R, Dreger D S, Walter W R. 2009b. Identifying isotropic events using a regional moment tensor inversion. Journal of Geophysical Research, 114(B1). DOI:10.1029/2008JB005743 | |
| Ford S R, Dreger D S, Walter W R. 2010. Network sensitivity solutions for regional moment-tensor inversions. Bulletin of the Seismological Society of America, 100(5A): 1962-1970. DOI:10.1785/0120090140 | |
| Ford S R, Walter W R, Dreger D S. 2012. Event discrimination using regional moment tensors with teleseismic-P constraints. Bulletin of the Seismological Society of America, 102(2): 867-872. DOI:10.1785/0120110227 | |
| Given J W, Mellman G R. 1986. Estimating explosion and tectonic release source parameters of underground nuclear explosions from Rayleigh-and Love-wave observations, sierra geophysics final report to air force geophysics laboratory, part 1. AFGL-TR-86-0171. | |
| He Y F, Zhao K C, Zhang X B, et al. 2012. The characteristic of the waveform from the second source induced by underground explosion. Chinese J. Geophys., 55(5): 1742-1748. DOI:10.6038/j.issn.0001-5733.2012.05.031 | |
| Herrmann R B. 2006. Computer Programs in Seismology, Version 3.30. St. Louis:St. Louis University. | |
| Ichinose G A, Anderson J G, Smith K D, et al. 2003. Source parameters of eastern California and western Nevada earthquakes from regional moment tensor inversion. Bulletin of the Seismological Society of America, 93(1): 61-84. DOI:10.1785/0120020063 | |
| Johnson L R. 1998. Source characteristics of two underground nuclear explosions. Geophys. J. Int., 95(1): 15-30. | |
| Koper K D, Herrmann R B, Benz H M. 2008. Overview of open seismic data from the North Korean event of 9 October 2006. Seismol. Res. Lett., 79(2): 178-185. DOI:10.1785/gssrl.79.2.178 | |
| Lambert D G, Flinn E A, Archambeau C B. 1972. A comparative study of the elastic wave radiation from earthquakes and underground explosions. Geophys. J. Int., 29(4): 403-432. DOI:10.1111/j.1365-246X.1972.tb06168.x | |
| Murphy J R, Barker B W, Marshall M E. 1997. Event screening at the IDC using the MS/mb discriminant. Maxwell Technologies Final Report, 23. | |
| Murphy J R, Stevens J L, Kohl B C, et al. 2013. Advanced seismic analyses of the source characteristics of the 2006 and 2009 North Korean nuclear tests. Bulletin of the Seismological Society of America, 103(3): 1640-1661. DOI:10.1785/0120120194 | |
| Murphy J R, Stevens J L, Kohl B C, et al. 2014. Reply to "comment on 'advanced seismic analyses of the source characteristics of the 2006 and 2009 North Korean nuclear tests' by J. R. Murphy, J. L. Stevens, B. C. Kohl, and T. J. Bennett" by H. J. Patton and F. V. Pabian. Bulletin of the Seismological Society of America, 104(4):2111-2115. | |
| Pan C Z, Jin P, Xu X, et al. 2014. Relative locations among the 2006, 2009 and 2013 North Korean underground nuclear tests. Acta Seismologica Sinica, 36(5): 910-918. | |
| Patton H J. 1988. Source models of the Harzer explosion from regional observations of fundamental-mode and higher mode surface waves. Bulletin of the Seismological Society of America, 78(3): 1133-1157. | |
| Patton H J, Taylor S R. 2008. Effects of shock-induced tensile failure on mb-Ms discrimination:Contrasts between historic nuclear explosions and the North Korean test of 9 October 2006. Geophysical Research Letters, 35(14): L14301. DOI:10.1029/2008GL034211 | |
| Patton H J, Taylor S R. 2011. The apparent explosion moment:Inferences of volumetric moment due to source medium damage by underground nuclear explosions. Journal of Geophysical Research, 116: B03310. DOI:10.1029/2010JB007937 | |
| Patton H J, Pabian F V. 2014. Comment on "advanced seismic analyses of the source characteristics of the 2006 and 2009 North Korean nuclear tests" by J. R. Murphy, J. L. Stevens, B. C. Kohl, and T. J. Bennett. Bulletin of the Seismological Society of America, 104(4):2104-2110. | |
| Pedersen H A, Avouac J P, Campillo M. 1998. Anomalous surface waves from Lop Nor nuclear explosions:Observations and numerical modeling. Journal of Geophysical Research, 103(B7): 15051-15068. DOI:10.1029/98JB00027 | |
| Rygg E. 1979. Anomalous surface waves from underground explosions. Bulletin of the Seismological Society of America, 69(6): 1995-2002. | |
| Shin J S, Sheen D H, Kim G. 2010. Regional observations of the second North Korean nuclear test on 2009 May 25. Geophys. J. Int., 180(1): 243-250. DOI:10.1111/gji.2010.180.issue-1 | |
| Stevens J L, Thompson T W. 2015. 3D numerical modeling of tectonic strain release from explosions. Bulletin of the Seismological Society of America, 105(2A): 612-621. DOI:10.1785/0120140125 | |
| Vavryčuk V, Kim S G. 2014. Nonisotropic radiation of the 2013 North Korean nuclear explosion. Geophysical Research Letters, 41(20): 7048-7056. DOI:10.1002/2014GL061265 | |
| Walter W R, Patton H J. 1990. Tectonic release from the Soviet joint verification experiment. Geophysical Research Letters, 17(10): 1517-1520. DOI:10.1029/GL017i010p01517 | |
| 范娜, 赵连锋, 谢小碧, 等. 2013. 朝鲜核爆的Rayleigh波震级测量. 地球物理学报, 56(3): 906–915. DOI:10.6038/cjg20130319 | |
| 何永锋, 赵克常, 张献兵, 等. 2012. 地下核爆炸地震波二次源特征. 地球物理学报, 55(5): 1742–1748. DOI:10.6038/j.issn.0001-5733.2012.05.031 | |
| 潘常周, 靳平, 徐雄, 等. 2014. 对朝鲜2006年、2009年和2013年3次地下核试验的相对定位. 地震学报, 36(5): 910–918. | |
2017, Vol. 60



