地球表面所见到的一系列地球物理场异常、地质构造格局、地球化学组分变异, 无一不受到地球内部物质与能量交换的制约, 而这些现象和地球深层动力学过程密不可分 (滕吉文, 2003).越来越多的研究表明, 在研究大陆动力学乃至全球动力学中, 对岩石圈、软流圈和地幔结构以及它们之间相互作用和耦合关系的认识是非常必要的 (赵国泽等, 2001;魏文博等, 2003;朱日祥,2007).地下岩石电阻率, 由于其对地球内部温度、流体、熔融和挥发物的存在以及它们的体积、含量等比较敏感, 成为揭示地球内部状态的重要物理参数 (Karato, 1990;Bai and Kohlstedt, 1992;赵国泽等, 2001).而地磁测深正是通过研究地表天然地磁场的变化来获得地球内部的电阻率结构 (Banks, 1969), 进而发现其中的异常并分析其起因, 为地球内部构造分析提供独立的信息 (Yoshino et al., 2008;Kelbert et al., 2009;Semenov and Kuvshinov, 2012;王桥和黄清华, 2016).
地磁测深反演作为联系地表磁场和地球内部电阻率的桥梁, 一直是国内外学者研究的热点.Olsen (1998, 1999) 对欧洲地磁台站数据进行反演, 得到了欧洲地区的一维电导率剖面; Kuvshinov和Olsen (2006)、Püthe和Kuvshinov (2013)以及Püthe等 (2015)先后对近地轨道卫星观测的磁场数据进行反演, 获得了较一致的全球平均一维电导率剖面, 并结合实验数据对地幔含水量和温度进行了估计.
国内学者从20世纪80年代开始, 针对不同地区的地磁数据开展一维反演研究, 获得了中国地区的一维电阻率模型, 在一定程度上揭示了我国地下深部的电性分布和变化特征 (陈伯舫, 1986, 1987, 1989;杜兴信等, 1994; 杜兴信和鲁秀玲, 1995;范国华等, 1997;赵国泽等, 2001).最近, 徐光晶等 (2015)利用地磁数据转化的等效MT标量阻抗反演得到了我国东部地区地下1500 km以上的一维地幔电性结构, 为地球动力学研究提供了重要依据.
但地磁测深研究的是超低频磁场, 周期范围为105~107s, 主要对地球内部800~1200 km深度范围内的电性变化最为敏感 (Püthe et al., 2015), 对浅部电性反映则不灵敏.最近, 徐光晶等 (2015)的研究指出利用地磁台站资料进行研究时, 对浅部的约束不够, 需要利用长周期MT资料补充岩石圈的数据.同时, 在正演研究过程中, 我们也发现0~200 km内电阻率变化对C-响应的影响不能忽略.因此, 有必要对浅部进行约束, 以提高深部反演的可靠性.为此,本文在有限内存拟牛顿反演的基础上提出浅部电阻率约束反演方法, 并处理了合成数据和实测数据, 通过与无约束反演的结果对比论证了约束反演方法能有效提高反演结果的准确性.
2 正演理论假设地球是一个半径a0=6371 km的导电球体, 将其剖分为N个不同厚度的薄球层, 每一层具有对应的电阻率ρl和径向距离rl.以地心为原点定义球坐标系, 如图 1所示, Z轴为地理轴, XY平面为赤道面, X轴通过格林尼治子午线, φ为经度, θ为余纬度, r是到地心的距离.任意点的磁场H可以分解为垂直指向地心、水平北和水平东方向的三个分量Hr, Hθ和Hφ.
|
图 1 地球的薄层球状模型及球坐标系下的磁场三分量 (a) 一维球状地球模型; (b) 球坐标系下的磁场三分量. Fig. 1 Spherical thin-shell Earth model and three components of magnetic field decomposed in spherical coordinates (a) Model of 1D spherical Earth; (b) Three components of magnetic field. |
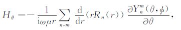
地球磁层中复杂的电流体系可以由位于地球赤道上方数个地球半径远的等效电流环代替, 并可以用单个或几个奇数阶球谐函数的形式表示 (Banks, 1969;Sun and Egbert, 2012;徐光晶等, 2015).由于地球天然电磁场的变化非常缓慢, 位移电流与传导电流相比可以忽略.取时谐因子eiωt, 由球坐标系中的分离变量法得到磁场三分量 (Srivastava, 1966):
|
(1) |
|
(2) |
|
(3) |
其中
|
(4) |
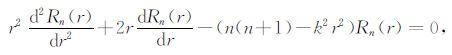
其中k2=


|
(5) |
(5) 式的通解为
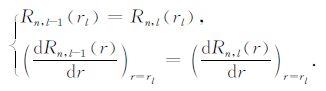
在层界面上, 磁场的法向分量 (Hr) 和切向分量 (Hθ, Hφ) 都是连续的, 因此在相邻的l-1和l层的边界r=rl处, 由 (1)-(3) 式可得到边界条件
|
(6) |
在地核处 (第N层), 由于其深度数倍于地磁测深最低频率的趋肤深度, 并且电导率远高于地幔电导率, 可以将其视作超导的, 因此有Rn, N(rcore)=0及
|
(7) |
|
(8) |
式中
当用球谐函数表示磁层场源时, P10为主要项 (周期范围约105~107s), 次强项P30比P10项小得多, 因此可以忽略其他高阶项, 用P10来近似表示场源 (Banks, 1969;Kelbert et al., 2009).在此假设下, 地磁测深C-响应定义为
|
(9) |
式中tanθ可以看作源空间结构的补偿项.
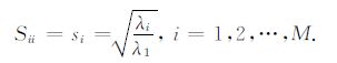
本文以Olsen (1998)反演得到的模型为基础, 设计正演模拟理论模型 (表 1), 计算的C-响应如图 2所示.为讨论浅部电阻率影响, 在图中还绘制了顶层200 km内取不同电阻率值 (P1i) 的C-响应.从图 2可以看到, C-响应的实部和虚部都明显受浅层200 km范围内电阻率变化的影响, 虚部尤为明显;受浅部电阻率的影响主要集中在小周期范围内, 且偏低电阻率的影响明显强于偏高电阻率的影响.
|
|
表 1 用于C-响应数值模拟的理论模型 Table 1 Model used to calculate C-response |
|
图 2 浅部 (0~200 km) 电阻率不同时的C-响应 (a) C-响应的实部; (b) C-响应的虚部, P1i表示第一层电阻率的不同取值, i=0, 1…, 4. Fig. 2 The C-response of models with different resistivity in shallow layers (0~200 km) (a) The real component of C-response; (b) The imaginary component of C-response and P1i represents the first layer resistivity in different models. |
本文通过最小化目标函数
|
(10) |
来实现地磁测深C-响应的正则化反演.式中m为模型向量, λ为正则化因子.数据误差的定义为
|
(11) |
其中Nω为频率个数;Cobs(ω) 为观测数据;Cmod(ω) 为模型理论C-响应.fm为模型约束目标函数, 刻画模型粗糙度.
本文采用有限内存拟牛顿法 (L-BFGS) 求解 (10) 式的最优解.L-BFGS法是对BFGS方法的改进, 其只保存并利用最近m次迭代的梯度信息来构造Hessian矩阵的近似矩阵, 避免了BFGS的计算过程中Hessian矩阵逐渐变得稠密、计算量逐渐增大的问题.典型的反演流程如表 2所示 (翁爱华等, 2012;刘云鹤和殷长春, 2013).
|
|
表 2 有限内存拟牛顿反演法的基本流程 Table 2 Inversion diagram of L-BFGS method |
迭代过程中, 导数采用差分的方法计算, 正则化因子采用给定初始经验值并逐次递减的方法求取 (吴小平和徐果明, 1998).
3.2 浅部约束反演C-响应缺乏反映浅部电阻率的信息, 不能很好地反映浅层电性结构.但图 2的讨论已经指出, C-响应明显受浅层电阻率变化的影响;换言之, 如果不能得到浅部的电性信息, 会影响C-响应反演结果的准确性 (Kuvshinov, 2012;Semenov and Kuvshinov, 2012).虽然地磁数据缺少浅部信息, 但实际工作中, 可以通过长周期大地电磁测深方法得到地下0~200 km内的电性结构 (肖鹏飞等, 2010;Kelbert et al., 2012;王绪本等, 2013), 若将其电阻率模型作为先验信息对地磁测深数据反演进行约束, 可以弥补C-响应缺少小周期信号、对浅部电性反映较差的缺点, 得到更准确的地球深部电性结构.
在L-BFGS反演中, 为了实现浅部电阻率约束, 给定先验浅部的电阻率信息, 并在反演过程中将该深度范围内目标函数对模型参数的梯度初始化为零, 强制约束浅部电阻率修正量为零, 从而在迭代过程中保持浅部电阻率不变, 而只反演约束深度以下的模型电阻率.
4 理论数据反演我们首先由不同初始模型的合成数据反演验证本文反演算法的稳定性和可靠性, 然后通过对浅部电阻率是否进行约束的反演结果对比说明浅部电阻率约束的必要性.反演中, 定义拟合差为
|
(12) |
理论数据来自对表 3模型的模拟结果.我们选择1.5天~150天之间的27个周期, 并依据李墩柱等 (2009)的讨论, 在数据中添加5%的随机高斯噪声.反演中地核的电阻率设为10-4Ωm, 只反演核幔边界之上的电阻率分布.初始模型为均匀半空间, 分别采用1 Ωm、50 Ωm、100 Ωm的初始电阻率进行反演, 结果见图 3.可以看出, 虽然反演需要的迭代次数较多, 但在结束时, 不同初始模型反演的拟合差都接近5%;此外, 不同初始模型的反演结果都较为一致, 特别是在深度400~1600 km深度范围内, 电阻率极为相近, 这与C-响应分辨率在该深度区间分辨率较好相对应 (Semenov and Kuvshinov, 2012);但在浅部, 反演结果与真实模型相对偏差较大, 这可能是受C-响应本身周期范围的限制, 缺乏对浅部电阻率的约束.因此, 仅仅通过反演C-响应难以获得浅部电性参数.再结合前面正演讨论得到的“浅部电阻率对C-响应产生影响”的认识, 可见, 有效的浅部电阻率约束对地磁数据反演非常重要.
|
|
表 3 用于合成反演数据的模型 Table 3 Model for inversion test |
|
图 3 不同初始模型的1-D反演结果 (a) 反演模型; (b) 拟合差变化情况. Fig. 3 The inversion results of different starting models (a) Inversed model; (b) RMS curves. |
为了模拟更真实的地球模型, 我们对Püthe等 (2015)的1-D模型做正演模拟, 选择与前文相同的27个周期产生理论数据, 添加5%的随机高斯噪声后作为反演数据.初始模型设置为核幔边界之上为100 Ωm的均匀半空间;若考虑浅部约束, 则0~200 km的电阻率同正演模型;约束和无约束反演中的其他参数设置均相同.为了评价约束对模型参数估计的稳定作用, 利用附录中置信区间计算方法, 分别计算了约束反演和未约束反演情况下反演结果电阻率的95%置信限.图 4给出了具体的反演结果.从图可以发现, 虽然迭代结束时两种反演结果的拟合差都在5%左右, 但是反演结果有明显不同.当深度较大时 (>600 km), 两种方法的反演结果较为接近, 而浅部 (0~600 km) 电阻率的反演结果相差较大.比较可以看出, 约束反演结果与真实模型极为接近, 并且图 4a约束反演在浅部的电阻率置信区间窄于图 4b的无约束反演的置信区间, 表明约束反演具有更高可信度.从图 4c的数据拟合情况看, 约束反演的模型正演响应与反演数据的拟合更好, 而由于缺少反映浅部信息的短周期数据, 无约束反演的结果在浅部与真实模型的偏差较大, 导致小周期的数据拟合较差.
|
图 4 理论模型有无浅部约束的反演结果 (a) 约束反演; (b) 无约束反演; (c) C-响应拟合曲线; (d) 拟合误差变化曲线. Fig. 4 Inversion results with and without shallow resistivity constraint (a) Model from constraint inversion; (b) Model inversed without constraint; (c) C-responses; (d) RMS curves. |
反演的实际数据来自Püthe等 (2015)的工作.该数据是由十多年间数个近地球轨道卫星观测的磁场小时平均数据, 经过地表海洋-大陆不均匀分布影响校正后的地面C-响应, 周期范围为1.5~150天, 共27个频率.初始模型为核幔边界以上的均匀半空间, 模型层厚度与Püthe等 (2015)的一致, 电阻率为50 Ωm.分别进行浅部 (0~210 km) 约束和无约束的反演, 当进行浅部约束时, 浅部电阻率分布采用Püthe等 (2015)的反演模型.图 5为具体的反演结果.图 5a为不同方法反演的电阻率结构, 对应的拟合情况如图 5b所示.从图可见, 虽然有无约束反演都能较好地拟合实际数据, 但图 5a显示, 采用浅部约束的反演结果与Püthe等 (2015)反演结果更加接近.从图 5a还可以发现, 对于该周期范围的实测地磁数据, 浅部电阻率约束对600 km以深的结果影响不大, 但对600 km以上地层电阻率影响尤为明显.
|
图 5 近地轨道卫星观测数据的反演结果 (a) 约束和无约束的反演模型, 其中灰色虚线为Püthe等 (2015)通过海森矩阵分析得到的反演结果不确定范围; (b) 实测C-响应及不同反演模型的C-响应; (c) 约束反演的置信区间; (d) 无约束反演的置信区间. Fig. 5 The 1-D inversion results of low Earth orbit satellite′s data (a) Inversed models with gray dash-line indicating the uncertainties after Püthe et al.(2015); (b) Actual C-responses fitted by that of inversion models; (c) Confidence interval with constraint; (d) Confidence interval without constraint. |
图 5c和5d给出了模型电阻率的置信区间具体评价结果.对比发现, 不论浅部还是深部, 约束反演结果的置信区间明显小于未约束反演结果的置信区间, 这说明由于采用了约束, 反演的结果更加可靠, 导致对应的置信区间更窄, 反演结果可靠性更高.同时, 在800~1200 km左右, 约束和无约束都具有最小的置信区间, 这从另外一个方面证明地磁测深C-响应对该深度的电阻率变化最为敏感 (Püthe et al., 2015).
6 结论和展望本文将有限内存拟牛顿算法应用于地磁测深C-响应数据的一维反演.在反演过程中, 通过零化浅部梯度函数, 实现浅部电阻率约束.通过模型正演和数据反演, 可得到如下结论.
(1) 一维模型的正演模拟结果表明, 浅部 (0~200 km) 电阻率变化对地磁测深C-响应有明显的影响;
(2) 在C-响应灵敏的地幔中深部,有限内存拟牛顿反演对不同的初始模型, 都能得到较一致的反演结果, 说明该反演方法具有较好的稳定性;
(3) 约束反演能得到200~600 km范围内更精确的电性结构;
(4) 反演结果置信区间分析发现, 相对无约束反演, 由于约束条件的加入, 约束反演得到的模型电阻率置信区间更窄, 说明反演结果具有更大的可信度;
(5) 利用本文提出的反演技术, 能由地磁测深数据获得更加准确的电性结构, 对研究上地幔及过渡带 (约410~670 km) 的电性变化, 进而研究地幔的物质组成、熔融状态、温度等有重要意义.
我国有观测时间长、分布广泛的各级地磁台站, 拥有宝贵的地磁数据.希望能基于本文的研究工作, 开展系统性的全国地磁测深数据反演, 并结合大地电磁、地震、高温高压实验等资料探索我国地幔的物理化学性质、物质组成和结构转变及相关地球动力学过程.
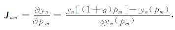
附录A 反演结果定量评价假设反演是用一个具有M个参数 (p1, p2, …, pM) 的模型拟合N个数据值 (d1, d2, …, dN), 可以采用模型参数置信区间上下限 (pm±) 来对实测数据的反演结果可靠性进行定量评价 (Nabighian, 1987), 具体如下.
(1) 计算数据的模型参数灵敏度矩阵.对正演响应 (yn) 和参数 (pm) 对数比例化后, 雅可比矩阵 (Jnm) 的数值计算公式为
|
(A1) |
式中, α为10-3量级.
(2) J的奇异值分解.
|
(A2) |
式中, U是N×M阶矩阵, Λ是M×M阶对角矩阵 (包含J的有序特征值:λ1≥λ2≥…≥λM), V是M×M阶矩阵.同时, 定义一个M×M阶对角矩阵S, 使
|
(A3) |
(3) 置信区间pm±的计算.这里用克拉默-劳乘子βm和标准误差
|
(A4) |
式中, βm=

非常感谢审稿人对本文提出的宝贵修改意见, 使本文的研究得以充实、完整.
| Bai Q, Kohlstedt D L. 1992. Substantial hydrogen solubility in olivine and implications for water storage in the mantle. Nature, 357(6380): 672-674. DOI:10.1038/357672a0 | |
| Banks R J. 1969. Geomagnetic variations and the electrical conductivity of the upper mantle. Geophysical Journal International, 17(5): 457-487. DOI:10.1111/j.1365-246X.1969.tb00252.x | |
| Chen B F. 1986. Buried depth of the high conductivity layer beneath the region of south-east China. Acta Seismologica Sinica (in Chinese), 8(2): 172-178. | |
| Chen B F. 1987. Investigations of the deep electrical conductivity beneath northern China using the spatial gradient method. Acta Seismologica Sinica (in Chinese), 9(2): 193-200. | |
| Chen B F. 1989. Further study of the electrical conductivity beneath the region of south-east China. Journal of Seismological Research (in Chinese), 12(4): 348-352. | |
| Du X X, Lu X L, Ji J Z. 1994. Investigation on deep electroconductibility of Shaanxi region by means of Z/H method with single station. Inland Earthquake (in Chinese), 8(4): 333-338. | |
| Du X X, Lu X L. 1995. Research on the geomagnetic deep sounding in Shaanxi region by single station Z/H method. Seismological and Geomagnetic Observation and Research (in Chinese), 16(1): 27-34. | |
| Fan G H, Yao T Q, Gu Z W, et al. 1997. Research on mantle conductivity of China with gradient method. Acta Seismologica Sinica (in Chinese), 19(2): 164-173. | |
| Karato S I. 1990. The role of hydrogen in the electrical conductivity of the upper mantle. Nature, 347(6290): 272-273. DOI:10.1038/347272a0 | |
| Kelbert A, Schultz A, Egbert G. 2009. Global electromagnetic induction constraints on transition-zone water content variations. Nature, 460(7258): 1003-1006. DOI:10.1038/nature08257 | |
| Kelbert A, Egbert G D, Degroothedlin C. 2012. Crust and upper mantle electrical conductivity beneath the Yellowstone Hotspot Track. Geology, 40(5): 447-450. DOI:10.1130/G32655.1 | |
| Kuvshinov A, Olsen N. 2006. A global model of mantle conductivity derived from 5 years of CHAMP, φrsted, and SAC-C magnetic data. Geophysical Research Letters, 33(18): L18301. DOI:10.1029/2006GL027083 | |
| Kuvshinov A V. 2012. Deep Electromagnetic Studies from Land, Sea, and Space:Progress Status in the Past 10 Years. Surveys in Geophysics, 33(1): 169-209. DOI:10.1007/s10712-011-9118-2 | |
| Li D Z, Huang Q H, Chen X B. 2009. Error effects on magnetotelluric inversion. Chinese J. Geophys. (in Chinese), 52(1): 268-274. | |
| Liu Y H, Yin C C. 2013. 3D inversion for frequency-domain HEM data. Chinese J. Geophys. (in Chinese), 56(12): 4278-4287. | |
| Nabighian M N. 1987. Electromagnetic Methods in Applied Geophysics (Volume 1, Theory). Tulsa:Society of Exploration Geophysicists. DOI:10.1190/1.9781560802631 | |
| Olsen N. 1998. The electrical conductivity of the mantle beneath Europe derived from C-responses from 3 to 720 hr. Geophysical Journal International, 133(2): 298-308. DOI:10.1046/j.1365-246X.1998.00503.x | |
| Olsen N. 1999. Long-period (30 days-1 year) electromagnetic sounding and the electrical conductivity of the lower mantle beneath Europe. Geophysical Journal International, 138(1): 179-187. DOI:10.1046/j.1365-246x.1999.00854.x | |
| Püthe C, Kuvshinov A. 2013. Determination of the 1-D distribution of electrical conductivity in Earth's mantle from Swarm satellite data. Earth, Planets & Space, 65(11): 1233-1237. DOI:10.5047/eps.2013.07.007 | |
| Püthe C, Kuvshinov A, Khan A, et al. 2015. A new model of Earth's radial conductivity structure derived from over 10 yr of satellite and observatory magnetic data. Geophysical Journal International, 203(3): 1864-1872. DOI:10.1093/gji/ggv407 | |
| Semenov A, Kuvshinov A. 2012. Global 3-D imaging of mantle conductivity based on inversion of observatory C-responses-II:Data analysis and results. Geophysical Journal International, 191(3): 965-992. DOI:10.1111/j.1365-246X.2012.05665.x | |
| Srivastava S P. 1966. Theory of the magnetotelluric method for a spherical conductor. Geophysical Journal International, 11(4): 373-387. DOI:10.1111/j.1365-246X.1966.tb03090.x | |
| Sun J, Egbert G D. 2012. A thin-sheet model for global electromagnetic induction. Geophysical Journal International, 189(1): 343-356. DOI:10.1111/j.1365-246X.2012.05383.x | |
| Teng J W. 2003. Dynamic process of substance and energy exchanges in depths of the Earth and formation of mineral resources. Geotectonica et Metallogenia (in Chinese), 27(1): 3-21. | |
| Wang Q, Huang Q H. 2016. The spatio-temporal characteristics of geomagnetic induction vectors in North China. Chinese J. Geophys. (in Chinese), 59(1): 215-228. DOI:10.6038/cjg20160118 | |
| Wang X B, Luo W, Zhang G, et al. 2013. Electrical resistivity structure of Longmenshan crust-mantle under sector boundary. Chinese J. Geophys. (in Chinese), 56(8): 2718-2727. DOI:10.6038/cjg20130820 | |
| Wei W B, Jin S, Ye G F, et al. 2003. Methods to study electrical conductivity of continental lithosphere. Earth Science Frontiers (in Chinese), 10(1): 15-23. | |
| Weng A H, Liu Y H, Jia D Y, et al. 2012. Three-dimensional controlled source electromagnetic inversion using non-linear conjugate gradients. Chinese J. Geophys. (in Chinese), 55(10): 3506-3515. DOI:10.6038/j.issn.0001-5733.2012.10.034 | |
| Wu X P, Xu G M. 1998. Improvement of Occam's inversion for MT data. Acta Geophysica Sinica (in Chinese), 41(4): 547-554. | |
| Xiao P F, Bai D H, Varentsov I M, et al. 2010. Study on long-period magnetotelluric sounding-the LMT transfer function in eastern Tibetan plateau. Seismology and Geology (in Chinese), 32(1): 38-50. | |
| Xu G J, Tang J, Huang Q H, et al. 2015. Study on the conductivity structure of the upper mantle and transition zone beneath North China. Chinese J. Geophys. (in Chinese), 58(2): 566-575. DOI:10.6038/cjg20150219 | |
| Yoshino T, Manthilake G, Matsuzaki T, et al. 2008. Dry mantle transition zone inferred from the conductivity of wadsleyite and ringwoodite. Nature, 451(7176): 326-329. DOI:10.1038/nature06427 | |
| Zhao G Z, Tang J, Liang J G, et al. 2001. Measuement of network-MT in two areas of NE China for study of upper mantle conductivity structure of the back-arc region. Seismology and Geology (in Chinese), 23(2): 143-152. | |
| Zhu R X. 2007. Deep Earth exploration-a case study from the North China Craton. Progress in Geophysics (in Chinese), 22(4): 1090-1100. | |
| 陈伯舫. 1986. 中国东南部地幔高导层的埋藏深度. 地震学报, 8(2): 172–178. | |
| 陈伯舫. 1987. 华北地区地幔高导层埋藏深度的研究. 地震学报, 9(2): 193–200. | |
| 陈伯舫. 1989. 中国东南地区深部电导率分布的进一步研究. 地震研究, 12(4): 348–352. | |
| 杜兴信, 鲁秀玲, 姬建中. 1994. 用单台Z/H法研究陕西地区深部电导率. 内陆地震, 8(4): 333–338. | |
| 杜兴信, 鲁秀玲. 1995. 陕西地区单台Z/H地磁测深研究. 地震地磁观测与研究, 16(1): 27–34. | |
| 范国华, 姚同起, 顾左文, 等. 1997. 利用磁梯度法研究我国地幔导电率. 地震学报, 19(2): 164–173. | |
| 李墩柱, 黄清华, 陈小斌. 2009. 误差对大地电磁测深反演的影响. 地球物理学报, 52(1): 268–274. | |
| 刘云鹤, 殷长春. 2013. 三维频率域航空电磁反演研究. 地球物理学报, 56(12): 4278–4287. | |
| 滕吉文. 2003. 地球深部物质和能量交换的动力过程与矿产资源的形成. 大地构造与成矿学, 27(1): 3–21. | |
| 王桥, 黄清华. 2016. 华北地磁感应矢量时空特征分析. 地球物理学报, 59(1): 215–228. DOI:10.6038/cjg20160118 | |
| 王绪本, 罗威, 张刚, 等. 2013. 扇形边界条件下的龙门山壳幔电性结构特征. 地球物理学报, 56(8): 2718–2727. DOI:10.6038/cjg20130820 | |
| 魏文博, 金胜, 叶高峰, 等. 2003. 大陆岩石圈导电性的研究方法. 地学前缘, 10(1): 15–23. | |
| 翁爱华, 刘云鹤, 贾定宇, 等. 2012. 地面可控源频率测深三维非线性共轭梯度反演. 地球物理学报, 55(10): 3506–3515. DOI:10.6038/j.issn.0001-5733.2012.10.034 | |
| 吴小平, 徐果明. 1998. 大地电磁数据的Occam反演改进. 地球物理学报, 41(4): 547–554. | |
| 肖鹏飞, 白登海, VarentsovI M, 等. 2010. 长周期大地电磁测深研究--青藏高原东部LMT响应函数及应用. 地震地质, 32(1): 38–50. | |
| 徐光晶, 汤吉, 黄清华, 等. 2015. 华北地区上地幔及过渡带电性结构研究. 地球物理学报, 58(2): 566–575. DOI:10.6038/cjg20150219 | |
| 赵国泽, 汤吉, 梁竞阁, 等. 2001. 用大地电磁网法在长春等地探测上地幔电导率结构. 地震地质, 23(2): 143–152. | |
| 朱日祥. 2007. 地球内部结构探测研究-以华北克拉通为例. 地球物理学进展, 22(4): 1090–1100. | |
2017, Vol. 60

