2. 海底科学与探测技术教育部重点实验室, 青岛 266100
2. Key Lab of Submarine Geosciences and Prospecting Techniques of Ministry of Education, Ocean University of China, Qingdao 266100, China
海洋可控源电磁法(Controlled-Source ElectroMagnetic method, CSEM)是探测海底油气资源和矿产资源的一种海洋地球物理勘探方法(Chave and Cox, 1982; Kong et al., 2002).众所周知,海底岩性裂隙地层和海底层状沉积序列可能形成宏观电阻率各向异性(Li and Dai, 2011),在解释海洋CSEM资料时,电阻率各向异性的影响不应该被忽略,否则可能会得到错误的海底地电模型(Li et al., 2013; Tompkins, 2005).除此之外,在模拟和解释海洋可控源资料时,通常假设海水静止不动,发射源为一个理想的水平电偶极源按预设路径拖曳,接收站布放于平稳的海底面.然而,在实际的海洋CSEM作业中,由于洋流等因素的影响,发射源在海水中会发生旋转、倾斜,其位置也会偏离预设的拖曳路径.自由沉放的接收站也可能沉降于倾斜的海底面上,其在海底的姿态也可能是任意取向的.忽略发射源和接收站姿态和位置的变化都将增大观测数据误差,最终对海洋CSEM资料的解释也将造成不同程度的影响.因此,在进行海洋电磁数据数值模拟和资料解释时,须考虑发射源和接收站姿态和位置变化因素,否则可能导致解释错误.目前,讨论发射源及接收站姿态和位置对海洋CSEM响应的影响的文献并不多.Myer等(2012)分析了在Scarborough油气田同一条测线来回两次测量得到的海洋CSEM数据特征(Myer et al., 2012).刘云鹤等(2012)讨论了在各向同性介质中发射源姿态对海洋CSEM电磁响应的影响(刘云鹤等, 2012).Xu等(2016)分析了各向同性介质中发射源和接收站姿态及位置变化对CSEM电磁场响应的影响(Xu et al., 2016).Weitemeyer和Constable(2014)讨论了在均匀半空间中发射源姿态和位置变化对海洋CSEM数据的影响(Weitemeyer and Constable, 2014).以上论著讨论的假设前提均认为地下介质为电阻率各向同性,然而,该假设并不能满足地下介质呈现电阻率各向异性的情况.
本文计算了三个等效地电模型中不同姿态和位置的发射源和接收站情况下的海洋CSEM响应,针对电阻率各向同性模型、围岩电阻率各向异性模型和高阻储层电阻率各向异性模型,讨论了发射源的方位角、倾斜角和其位置相对于测线变化以及接收站的姿态和位置变化对海洋CSEM响应的影响.
2 正演模拟和分析方法自20世纪50年代开始,就有一维电阻率各向异性介质电磁场算法的研究(Chlamtac and Abramovici, 1981; Sinha and Bhattacharya, 1967; O′Brien and Morrison, 1967; Yu and Edwards, 1992; Kong, 1972; Maillet, 1947; Yin and Weidelt, 1999; 刘颖和李予国, 2015; 罗鸣和李予国, 2015).Løseth和Ursin(2007)提出了层状电阻率垂直各向异性介质(VTI)单一方向发射的可控源波数域电磁场计算方法(Løseth and Ursin, 2007).本文在该算法的基础上,根据场源的合成和分解原理,利用坐标旋转方法,实现了模拟VTI介质中,发射源任意姿态任意位置激发、接收站任意姿态任意位置接收的空间域海洋CSEM电磁响应.
为了探讨在VTI介质中发射源和接收站姿态和位置变化对海洋CSEM响应的影响,参考徐震寰等的分析方法(Xu et al., 2016),分析发射源及接收站的方位角、倾斜角和位置变化对电阻率各向同性模型(图 1a)、围岩电阻率各向异性模型(图 1b)和高阻储层电阻率各向异性模型(图 1c)海洋CSEM响应的影响.假设海水层深度为3000 m,且为电阻率各向同性,其电阻率为0.3 Ωm,覆盖层及高阻储层厚度分别为2000 m和100 m.建立三个等效模型:当地下介质都呈现电阻率各向同性时,围岩及高阻储层电阻率分别为2 Ωm和20 Ωm(图 1a);当围岩呈现电阻率各向异性时,围岩横向电阻率ρh和垂向电阻率ρv分别为1 Ωm和4 Ωm 

|
图 1 海洋一维地电模型 Fig. 1 1D canonical conductivity model |
从电磁场振幅、相位和能量分布的角度分析发射源及接收站的方位角、倾斜角和位置变化对海洋CSEM响应的影响,本文引入以下参量:
(1) 水平轴向电场(Ey)的振幅相对误差ε和相位的绝对误差Δφ:
|
(1) |
|
(2) |
其中,Ey和φy分别为y取向水平电偶极源产生的水平轴向电场和相位;Ey′和φy′分别为存在发射源或接收站姿态变化或(和)位置偏移时的水平轴向电场和相位.
(2) 能量流(S,时间平均坡印廷矢量,也简称“能流”)的振幅和其相对误差(Weidelt, 2007)
|
(3) |
其中,Sa分别为xoy平面或yoz平面y取向水平电偶极源的能流分布,Sa′为存在发射源或接收站姿态变化或(和)位置偏移时能流分布,能量流S表达式如下
|
(4) |
式中,μ0为真空中磁导率,E和B分别为电场和磁通量密度,上标*表示共轭复数.
当取向为y方向的发射源在海底上方激发时,其在yoz截面产生的时间平均坡印廷矢量可简化为(罗鸣和李予国, 2015)
|
(5) |
在测量参考坐标系(x, y, z)中,假设有一个在深海中拖曳的海洋CSEM发射天线(图 2a),其水平电偶极源沿着测线方向(y轴)拖曳,由于洋流等因素的影响,发射源出现了水平旋转(方位角变化α)和倾斜(倾斜角变化β).借助坐标旋转,可实现测量参考坐标系(x, y, z)到发射源旋转后的坐标系(x′, y′, z′)(简称“发射源坐标系”)的转换(图 2):首先,绕坐标系(x, y, z)的z轴顺时针旋转方位变化角α,得到新坐标系(x′, v, z)(图 2b);再将坐标系(x′, v, z)绕x′轴顺时针旋转倾斜角变化角β,得到新的坐标系(x′, y′, z′)(图 2c).倾斜角为0°的发射源为水平电偶极源(HED),设定取向与y轴平行的电偶极源(y-HED)的方位角为0°,则当发射源方位角为90°时,电偶极源(x-HED)与x轴平行,当发射源倾斜角为90°时,发射源为垂直电偶极源(VED).
|
图 2 发射源旋转 Fig. 2 Transmitter rotation |
假设D和D′分别为测量参考坐标系(x, y, z)和发射源坐标系(x′, y′, z′)中电偶源的偶极矩向量,则具有如下关系
|
(6) |
其中,Rα和Rβ为旋转矩阵,并有如下形式
|
(7) |
|
(8) |
从式(6)可见,任意取向的电偶极距向量都能够通过两次连续的旋转转换成测量参考坐标系(x, y, z)中对应的等效电偶极距向量.那么,任意取向的电偶极源产生的电磁场则为三个等效电偶源所产生的电磁场的叠加:
|
(9) |
其中,F为六个电磁场分量(F=[ExEyEzHxHyHz]T),下标分别代表不同电偶极源.
3.1 发射源方位角假设一个y取向的水平电偶极源绕y轴旋转一个角度α(发射源方位角),式(6)有如下形式
|
(10) |
由式(10)可以看出,当发射源坐标系(x′, y′, z′)中方位角为α的电偶极源转换到测量参考坐标系(x, y, z)中,其可以分解为一个偶极矩为cosα的y-HED和一个偶极矩为-sinα的x-HED.众所周知,x-HED在y取向的测线上不产生y方向的电场,在轴向装置观测到的水平电场Ey(也称为“水平轴向电场”)仅由偶极矩为cosα的y-HED产生,那么,Ey振幅的相对误差则有如下形式
|
(11) |
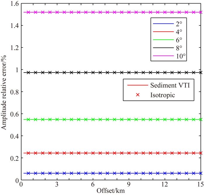
由式(11)可知,当电偶极源发生水平旋转时,Ey振幅变化量为与方位旋转角α有关的常数,且Ey的实虚部变化的比率相同,所以其相位没有变化.图 3为不同方位角时Ey振幅相对误差,其中×线为Ey在电阻率各向同性介质中的变化情况,可见,方位旋转角在2°~10°变化时,Ey振幅相对误差0.06%~1.52%,且该影响与介质性质无关.
|
图 3 不同发射源方位角(α=2°, 4°, 6°, 8°, 10°)的水平轴向电场振幅相对误差 Fig. 3 The in-line electric field amplitude error versus offsets for different transmitter azimuth angles (α=2°, 4°, 6°, 8°, 10°) |
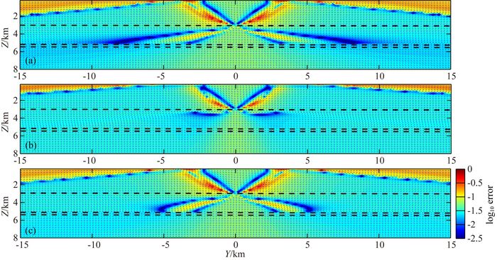
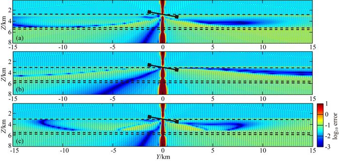
利用垂直剖面能量流分布来分析垂向方向发射源方位角变化对电磁场影响.图 4为地下介质电阻率各向同性(a)、围岩电阻率各向异性(b)、高阻储层电阻率各向异性(c)三种模型下,发射源方位角α=10°与方位角α=0在垂直剖面(yoz平面)的能流相对误差分布,箭头方向为能量流动方向.由图 4可见:
|
图 4 电阻率各向同性(a)、围岩电阻率各向异性(b)和高阻储层电阻率各向异性(c)情况下,发射源方位角α=10°与方位角α=0°在yoz平面能流相对误差分布 Fig. 4 The energy relative error distribution in the yoz-plane between horizontal dipoles oriented α=10° and α=0° |
(1) 在电阻率各向同性介质中,能量在yoz平面关于y=0 m对称分布,发射源方位角变化对能量的影响主要分布于海水层和覆盖层.
(2) 当围岩呈现垂直各向异性时,较于各向同性模型其影响范围更小且主要影响海水层中能流的分布,而对电阻率各向异性覆盖层及以下地层中能流分布的影响非常小.
(3) 当高阻储层呈现垂直各向异性时,其影响趋势与电阻率各向同性介质类似,由于高阻储层电阻率各向异性的出现,发射源方位角变化对高阻储层及以下地层中能流分布影响微弱.
在海洋电磁勘探中,观测系统往往不局限于激发和接收在同一方向上的轴向装置或激发和接收相互垂直的赤道装置,常在多条旁侧线上同时观测以提高勘探效率.为讨论发射源方位角变化对海洋CSEM响应的影响,模拟并分析了发射源方位角α=10°时在各向同性和各向异性模型在xoy平面的电磁响应.图 5为电阻率各向同性模型(a)、围岩垂直各向异性模型(b)、高阻储层垂直各向异性模型(c)中,发射源方位角α=10°时海底面(xoy平面,测区范围为x:-15~15 km; y:-15~15 km)水平电场(第一列Ex和第三列Ey)和其与方位角α=0°时的水平电场相对误差(第二列和第四列)分布.其中,水平电场图(第一列Ex和第三列Ey)中两条白线实线分别为10-15V·Am-2(更接近发射源)和10-16V·Am-2(更远离发射源)的等值线;相对误差图(第二列和第四列)中白线实线和红线分别是10%和100%的等值线.由图 5可见:
|
图 5 电阻率各向同性(a)、围岩电阻率各向异性(b)、高阻储层电阻率各向异性(c)情况下,发射源方位角α=10°在海底面(xoy平面)水平电场及其与方位角α=0°时的水平电场相对误差分布 Fig. 5 The horizontal electric field amplitudes and relative error distribution between horizontal dipoles oriented α=10° and α=0° for the isotropic model(a), anisotropic sediment model (b) and anisotropic reservoir model (c) |
(1) 由于方位角的变化,水平电场在xoy平面的分布以发射源为中心旋转了α(α=10°),水平电场Ey在y轴方向较于水平电场Ex影响范围更大.
(2) 发射源方位角变化对水平电场(Ex和Ey)的影响范围在各向异性模型中较于各向同性模型更大,在各向异性介质情况下,发射源方位角变化的影响范围在围岩电阻率各向异性模型中较于高阻储层各向异性模型更大.
(3) 从水平电场相对误差图可见,当发射源方位角变化时,垂直于发射源方向的水平电场(Ex)在经过发射源位置且分别平行于x轴和y轴的测线上相对误差较大(超过100%);平行于发射源方向的水平电场(Ey)受其影响更小,其变化规律与Ex相反.
3.2 发射源倾斜角假设一个单位长度y方向的电偶极源倾斜β角(发射源倾斜角),即其绕x轴旋转β角度,则式(6)有如下形式
|
(12) |
由式(12)可以看出,当发射源坐标系(x′, y′, z′)中倾斜角为β的电偶极源转换到测量参考坐标系中,其可以分解为一个偶极矩为cosβ的y-HED和一个偶极矩为sinβ的VED.Ey为偶极矩为cosβ的y-HED和偶极矩为sinβ的VED产生的水平轴向电场的总和.
图 6为在围岩呈现垂直各向异性(a, b)和高阻储层呈现垂直各向异性(c, d)时,不同发射源倾斜角(β=2°, 4°, 6°, 8°, 10°)Ey振幅的相对误差和相位的绝对误差.由图 6可见:
|
图 6 围岩呈现电阻率各向异性和高阻储层呈现电阻率各向异性时不同发射源倾斜角(β=2°, 4°, 6°, 8°, 10°)Ey振幅相对误差(a, c)和相位绝对误差(b, d) Fig. 6 Amplitude error(a, c) and phase difference(b, d) of the in-line electric field excited by different transmitters with dip angles (β=2°, 4°, 6°, 8°, 10°) versus offsets for anisotropic sediment model and anisotropic reservoir model |
(1) 围岩和高阻储层呈现各向异性时,发射源倾斜角变化对海洋CSEM响应的影响,较之在电阻率各向同性介质中影响小.
(2) 围岩呈现垂直各向异性时,在小收发距时( < 1 km),振幅相对误差明显(>5%),而相位绝对误差相对较小,电阻率各向异性情况与电阻率各向同性情况差异也相对较小;收发距在1~3 km时,振幅相对误差和相位绝对误差都与倾斜角密切相关,并且都随着倾斜角的增大而增大,倾斜角为2°时的最大振幅相对误差和相位绝对误差分别为1.8%和-0.7°,当倾斜角为10°时的最大振幅相对误差和相位绝对误差分别跳跃到9.8%和-3.8°;在大收发距(>3 km)时,不同发射源倾斜角的振幅相对误差可近似为一个常数,其曲线都趋于平行,在发射源相同方位角的情况下,电阻率各向异性情况的振幅相对误差比电阻率各向同性情况小约2%.
(3) 高阻储层呈现垂直各向异性时,发射源倾斜角变化的影响与在围岩呈现垂直各向异性时趋势相同,但影响程度略大.
综合图 3和图 6可见,发射源倾斜角对Ey的影响比发射源方位角的影响要大;发射源倾斜角对Ey振幅的影响与介质有关,发射源方位角对其影响与介质无关;发射源倾斜角对Ey相位有影响,然而发射源方位角对其无影响.
图 7为电阻率各向同性模型(a)、围岩电阻率各向异性模型(b)和高阻储层电阻率各向异性模型(c)中,发射源倾斜角β=10°与倾斜角β=0°情况下在垂直剖面(yoz平面)能流相对误差分布,由图 7可见:
|
图 7 电阻率各向同性(a)、围岩电阻率各向异性(b)和高阻储层电阻率各向异性(c)模型,发射源倾斜角β=10°与倾斜角不β=0°在yoz平面能量相对误差分布 Fig. 7 The energy relative error distribution in the yoz-plane between horizontal dipoles oriented β=10° and β=0° |
(1) 发射源倾斜导致能量在yoz平面关于垂直轴(y=0 m)非对称分布;由于倾斜电偶极源分解后存在一个偶极矩分量为sinβ的VED,所以在y=0 m的垂直剖面上的能量较于无倾斜发射源的能量要强许多,在其它区域发射源倾斜角变化对能流在yoz平面的分布影响较小.
(2) 在围岩电阻率各向异性介质中,发射源倾斜角变化对能流分布影响范围较于在各向同性介质中更大,而高阻储层电阻率各向异性介质中影响范围较于各向同性介质中更小.
图 8为电阻率各向同性模型(a)、围岩垂直各向异性模型(b)、高阻储层垂直各向异性模型(c)中,发射源倾斜(倾斜角β=10°)在海底面(xoy平面,测区范围为x:-15~15 km; y:-15~15 km)水平电场(第一列Ex和第三列Ey)和其与倾斜角β=0°情况的水平电场相对误差(第二列和第四列)分布.由图 8可见:
|
图 8 电阻率各向同性(a)、围岩电阻率各向异性(b)、高阻储层电阻率各向异性(c)情况下,发射源倾斜(倾斜角β=10°)在海底面(xoy平面,测区范围为x:-15~15 km; y:-15~15 km)水平电场(第一列Ex和第三列Ey)和其与倾斜角β=0°情况的水平电场相对误差(第二列和第四列)分布 Fig. 8 The horizontal electric field amplitudes and relative error distribution between horizontal dipoles oriented β=10° and β=0° for the isotropic model(a), anisotropic sediment model (b) and anisotropic reservoir model (c) |
(1) 由于发射源倾斜,水平电场在xoy平面的分布不关于水平轴x=0 m对称.
(2) 发射源倾斜角变化对水平电场的影响范围在围岩各向异性模型中较于各向同性模型更大.
3.3 发射源位置当一个发射天线拖曳于距离海底面一定高度的海水中,其姿态会因海中洋流及其他等因素的影响发生变化,其位置也会出现偏移.发射源位置的变化有三种:①水平赤道方向位置的变化(平行于x轴且垂直于测线);②水平轴向方向上位置的变化(平行于y轴且沿测线方向);③垂直方向位置的变化(即z轴方向的离底高度).本文依次对以上三种位置的变化对海洋CSEM响应的影响进行讨论.
3.3.1 发射源水平赤道方向位置图 9为围岩呈现垂直各向异性(a, b)和高阻储层呈现垂直各向异性(c, d)时,发射源水平赤道方向位置变化时水平轴向电场的振幅相对误差和相位绝对误差,可见:
|
图 9 围岩呈现电阻率各向异性(a, b)和高阻储层呈现垂直各向异性(c, d)时发射源赤道方向偏移(10 m, 20 m, 30 m, 40 m, 50 m)的水平轴向电场振幅相对误差和相位绝对误差 Fig. 9 Amplitude error and phase difference of the in-line electric field excited by different transmitters with cross-line horizontal distance deviation (10 m, 20 m, 30 m, 40 m, 50 m) versus offsets for anisotropic sediment model (a, b) and anisotropic reservoir model (c, d) |
(1) 围岩呈现垂直各向异性条件下,小收发距范围内,发射源水平赤道方向位置偏移对电场振幅的影响明显;发射源在水平轴向方向上10 m的偏移时,在小收发距的范围内能引起0.8%的振幅误差,在大收发距能引起大约0.01%的振幅误差;当发射源在水平轴向方向上偏移50 m时,在小收发距和大收发距的振幅误差能增大至10.8%和0.1%;发射源水平赤道方向位置变化对水平轴向电场的影响较于在电阻率各向同性介质中略小,差异小于1%.
(2) 高阻储层呈现垂直各向异性条件下,发射源水平赤道方向位置变化的影响与其在电阻率各向同性介质的情况几乎重合.
(3) 发射源水平赤道方向位置的影响在电阻率各向同性介质和电阻率各向异性介质中差异不大(小于1%),且在小收发距位置影响明显.
3.3.2 发射源水平轴向方向位置变化图 10为围岩呈现垂直各向异性(a, b)和高阻储层呈现垂直各向异性(c, d)时,发射源水平轴向方向位置变化时水平轴向电场的振幅相对误差和相位绝对误差,可见:
|
图 10 围岩呈现电阻率各向异性(a, b)和高阻储层呈现电阻率各向异性(c, d)时发射源在轴向方向偏移(10 m, 20 m, 30 m, 40 m, 50 m)的水平轴向电场振幅相对误差和相位绝对误差 Fig. 10 Amplitude error and phase difference of the in-line electric field excited by different transmitters with inline horizontal distance deviation (10 m, 20 m, 30 m, 40 m, 50 m) versus offsets for anisotropic sediment model (a, b) and anisotropic reservoir model (c, d) |
(1) 围岩呈现垂直各向异性时,发射源水平轴向方向位置偏移对向电场振幅和相位在小收发距位置影响明显,在大收发距位置影响趋于平缓;发射源在水平轴向方向上10 m偏移时,在小收发距的范围内能引起10.5%的振幅误差,在大收发距处能引起大约0.8%的振幅误差;当发射源在水平轴向方向上偏移50 m时,在小收发距和大收发距的振幅误差分别为100%和4%;垂直各向异性围岩模型中发射源水平轴向方向位置变化对水平轴向电场的影响较于在电阻率各向同性介质中略小,其差异小于1%.
(2) 高阻储层呈现垂直各向异性时,发射源水平轴向方向位置的影响与其在电阻率各向同性介质中的情况相类似,其影响程度较于围岩呈现垂直各向异性时略大.
(1) 发射源在水平轴向方向位置变化比在水平赤道方向位置变化对水平轴向电场的振幅影响更大;
(2) 在电阻率各向异性介质中,发射源水平轴向方向位置的偏移对电场振幅的影响与其在电阻率各向同性介质中的影响存在差异,但差异不大(小于1%).
3.3.3 发射源离底高度假设发射源天线的离底高度在预计位置(50 m)的上下15 m范围内浮动,定义坐标向下为正,向上为负,在不同介质中,发射源垂直方向位置变化的振幅相对误差和相位绝对误差如图 11(a, b)(垂直各向异性围岩)和图 11(c, d)(垂直各向异性高阻储层)所示,可见:
|
图 11 围岩呈现电阻率各向异性(a, b)和高阻储层呈现电阻率各向异性(c, d)时发射源离底高度偏移(-15 m, -10 m, -5 m, 5 m, 10 m, 15 m)的水平轴向电场振幅相对误差和相位绝对误差 Fig. 11 Amplitude error and phase difference of the in-line electric field excited by different transmitters with height deviation (-15 m, -10 m, -5 m, 5 m, 10 m, 15 m) versus offsets for anisotropic sediment model (a, b) and anisotropic reservoir model (c, d) |
(1) 在发射源附近水平轴向电场的振幅误差明显,小收发距时,水平轴向电场振幅的误差随着收发距的增大而迅速减小,相位变化的绝对值也随之增大;收发距在1~3 km范围内,水平轴向电场振幅的误差和相位误差都随着发射源垂直方向位置偏移的增大而增大;大收发距时,水平轴向电场误差曲线和相位误差曲线均趋于常数.
(2) 在围岩呈现垂直各向异性、高阻储层呈现垂直各向异性及电阻率各向同性介质三种情况下,发射源离底高度变化引起的影响非常接近.
4 接收站姿态对海洋CSEM响应的影响在海洋CSEM实际作业时,接收站是由搭载平台释放后自由沉降至海底面的,在沉降过程中,接收站受海流等因素影响其姿态会发生旋转,以至于接收站坐落于海底面时可能是任意水平取向的,海底的复杂性可能导致接收站沉降至海底后处于倾斜的姿态.为考虑参考坐标轴方向的电磁场分量,需进行坐标轴的旋转,即任意取向的接收站的坐标系(x″, y″, z″)能从原始坐标系(x, y, z)通过三次连续的旋转得到(图 12):首先,坐标系(x, y, z)的(x, y)轴绕x轴顺时针旋转方位角ξ,得到新坐标系(x′, y′, z)(图 12a);然后,再将坐标轴(x′, y′, z)绕x′轴旋转倾斜角η,得到坐标系(x′, y″, z′)(图 12b);最后将坐标系(x′, y″, z′)绕坐标轴y′旋转翻滚角ζ,最终得到旋转后的接收站坐标系(x″, y″, z″)(简称“接收站坐标系”)(图 12c).
|
图 12 接收站坐标旋转 Fig. 12 Receiver rotation |
假设F″为接收站在接收站坐标系(x″, y″, z″)中记录的电磁场信号,F表示接收站在测量参考坐标系(x, y, z)记录的电磁场信号,F″与F有如下关系
|
(13) |
其中,Rξ, Rη, Rζ为旋转矩阵,并有如下形式
|
(14) |
|
(15) |
|
(16) |
由式(13)能够得到接收站坐标系(x″, y″, z″)中电磁场F″=(Ex″, Ey″, Ez″)有如下表达式
|
(17) |
接收站的姿态可以通过安装在其框架上的方位仪直接测量得到,然而,方位仪得到的姿态参数往往与接收站在海底面的实际姿态有一定差异,Myer等(2012)在处理Scarborough地区油气藏的海洋CSEM数据时,估算运用OPRA方法推导得到的接收站姿态数据与测量的方位数据误差高达6.6°(Myer et al., 2012).为此,本节探讨了接收站姿态和位置变化对海洋CSEM响应的影响.
4.1 接收站方位角假设接收站的方位角测量为ξ,式(13)可表达为
|
(18) |
设定电磁场(Ex″, Ey″, Ez″)来自于y-HED在一维地电模型(图 1)的电磁响应,所以在测线方向上无水平赤道方向的电场Ex分量,则E″y=Eycosξ,可见,水平轴向电场为方位角ξ的函数(图 13),且其实虚部变化的比率相同,所以其相位没有变化.由此可知,接收站方位角变化对水平轴向电场的影响是与介质无关的.
|
图 13 不同接收站方位角(ξ=2°, 4°, 6°, 8°, 10°)的水平轴向电场振幅相对误差 Fig. 13 The in-line electric field amplitude error versus offsets for different receiver azimuth angles (ξ=2°, 4°, 6°, 8°, 10°) |
假设接收站倾斜角为η,方程(13)可简写为
|
(19) |
发射源为y-HED时,Ey″=Eycosη+Ezsinη.图 14为围岩呈现垂直各向异性(a, b)和高阻储层呈现垂直各向异性(c, d)时,水平轴向电场在5个不同接收站倾斜角情况下的振幅相对误差和相位绝对误差.由图 14可知,
|
图 14 围岩呈现电阻率各向异性(a, b)和高阻储层呈现电阻率各向异性(c, d)时不同接收站倾斜角(η=2°, 4°, 6°, 8°, 10°)的水平轴向电场振幅相对误差和相位绝对误差 Fig. 14 Amplitude error and phase difference of the in-line electric field recored by receiver with dip angles (η=2°, 4°, 6°, 8°, 10°) versus offsets for anisotropic sediment model(a, b) and anisotropic reservoir model(c, d) |
(1) 在小收发距范围内,振幅相对误差很大,然而相位绝对误差很小;在1~3 km范围内,振幅误差和相位误差都取决于倾斜角,均随着倾斜角的增大而增大;在大收发距时,各个倾斜角的振幅误差和相位误差均趋于常数.
(2) 电阻率各向异性介质中接收站倾斜角的影响较于在电阻率各向同性介质中的情况都要小.
(3) 由图 13和图 14对比可见:接收站倾斜角较于方位角对水平轴向电场影响更大,且接收站倾斜角会影响水平轴向电场的相位.
4.3 接收站翻滚角假设接收站绕y轴翻滚角度ζ(接收站翻滚角),式(13)可简化为
|
(20) |
从上式中能看出,水平轴向电场Ey并不受翻滚角ζ的影响但是水平赤道电场Ex和垂向电场Ez都受翻滚角ζ影响.
4.4 接收站位置变化在海洋CSEM的观测系统中,发射源和接收站的位置是相对的,接收站位置沿x轴正方向偏移相当于发射源位置在原坐标系中沿x负方向偏移,由此接收站位置变化对海洋CSEM响应的影响可参照发射源位置的影响规律进行推广,在此不再赘述.
5 发射源和接收站姿态变化的综合影响在实际海洋CSEM调查中,发射源和接收站姿态和位置的变化时常是同时出现的.因此,探讨发射源和接收站同时存在姿态和位置变化对CSEM响应的影响是非常有必要的.
假设一个y取向的单位长度电偶极源方位角旋转量为α,倾斜角为β,于是式(6)有如下形式
|
(21) |
由式(21)可看出,当一个y取向的发射源存在方位角α和倾斜角β时,其可以分解为偶极矩为-cosαsinβ的x-HED、偶极矩为cosαcosβ的y-HED和偶极矩为sinβ的VED三部分,水平轴向电场Ey为这三个正交的发射源产生的响应的总和.需注意:一个具有方位角α和倾斜角β的电偶极源产生的电磁响应不等于两个独立发射源(一个方位角为α的电偶极源和另一个倾斜角为β的电偶极源)产生电磁响应的算数加法的总和.
假设勘探的实际情况为:发射源处于海底面上方50 m处的海水中发射电磁信号,由于海流等综合因素的影响,电偶极源出现了旋转和倾斜,其位置也偏离了预期坐标,接收站坐落于倾斜海底时,其位置也发生变化.发射源和接收站的姿态和位置参数如表 1所示.
|
|
表 1 发射源和接收站姿态和位置参数 Table 1 The orientation and position parameters of the transmitter and receivers |
图 15为围岩呈现垂直各向异性(实线)和高阻储层呈现垂直各向异性(×线)时,发射源和接收站的姿态和位置共同变化引起的水平轴向电场的振幅相对误差和相位绝对误差.由发射源和接收站各参数变化对引起接收的振幅和相位变化见图 15a,b,电阻率各向同性介质中发射源和接收站姿态及位置变化对水平轴向电场的综合影响见图 15c,d(○线),可见:
|
图 15 综合发射源和接收站姿态和位置变化时水平轴向电场的振幅相对误差(a, c)和相位绝对误差(b, d) Fig. 15 The in-line electric field component amplitude error(a, c) and phase difference (b, d) versus offset due to the combined position and orientation deviation of both the transmitter and receivers |
(1) 小收发距范围内,振幅误差非常大,其主要来源于发射源天线测线方向位置和离底高度的变化;收发距大约1.5 km的位置,振幅误差较小,相位误差达到了其最小值-3.5°;在收发距大于3 km的范围,振幅误差和相位误差都趋于常数.
(2) 小收发距时,在电阻率各向异性介质中发射源及接收站姿态及位置对水平轴向电场的综合影响较于电阻率各向同性介质差异较小;大收发距时,在电阻率各向同性介质中发射源及接收站姿态及位置对水平轴向电场振幅的影响最大,可达到7%,而在围岩呈现垂直各向异性和高阻储层呈现垂直各向异性时分别为5%和6%.
(3) 振幅误差主要来源于发射源和接收站的倾斜角,而相位的变化为发射源离底高度、测线位移和接收站倾斜角共同影响的结果.
6 结论本文计算了电阻率层状垂直各向异性介质中发射源与接收站在不同姿态、位置的电磁响应,分析了引起海洋CSEM探测系统数据误差的机制及其电磁响应特征.计算结果表明:
(1) 旋转的发射源会影响电磁场以及能流的分布.发射源倾斜角对水平轴向电场的影响较于发射源方位角对水平轴向电场的影响更显著,发射源倾斜角对水平轴向电场的相位有影响,而发射源方位角对水平轴向电场的相位无影响;电阻率各向同性介质和电阻率各向异性介质中发射源水平轴向方向位置偏移对轴向电场振幅的影响在小收发距位置影响明显,但总体差异不大;发射源倾斜角在高阻储层电阻率各向异性模型中对水平轴向电场影响较于围岩电阻率各向异性模型的影响更大,但均不及在电阻率各向同性模型中的影响.
(2) 接收站倾斜角较于方位角对水平轴向电场的影响更大,接收站倾斜角对水平轴向电场的相位有影响,而接收站方位角则对其无影响;电阻率各向异性介质中接收站倾斜角变化对水平轴向电场的影响比在电阻率各向同性介质中的情况都要小,且在围岩电阻率各向异性介质中接收站倾斜角的影响小于在高阻储层电阻率各向异性介质的情况.
(3) 综合发射源和接收站的姿态和位置变化对水平电场的影响,振幅误差主要来源于发射源和接收站的倾斜角,而相位的变化则为发射源位置和接收站倾斜角、位置的共同影响的结果.
Chave A D, Cox C S.
1982. Controlled electromagnetic sources for measuring electrical conductivity beneath the oceans:1. Forward problem and model study. Journal of Geophysical Research, 87(B7): 5327-5338.
|
|
Chlamtac M, Abramovici F.
1981. The electromagnetic fields of a horizontal dipole over a vertically inhomogeneous and anisotropic earth. Geophysics, 46(6): 904-915.
DOI:10.1190/1.1441229 |
|
Key K, Lockwood A.
2010. Determining the orientation of marine csem receivers using orthogonal procrustes rotation analysis. Geophysics, 75(3): F63-F70.
DOI:10.1190/1.3378765 |
|
Kong F N, Ellingsrud S, Eidesmo T, et al.
2002. 'Seabed logging':A possible direct hydrocarbon indicator for deepsea prospects using EM energy. Oil Gas J., 100(19): 30-38.
|
|
Kong J A.
1972. Electromagnetic fields due to dipole antennas over stratified anisotropic media. Geophysics, 37(6): 985-996.
DOI:10.1190/1.1440321 |
|
Li Y G, Dai S K.
2011. Finite element modelling of marine controlled-source electromagnetic responses in two-dimensional dipping anisotropic conductivity structures. Geophysical Journal International, 185(2): 622-636.
DOI:10.1111/gji.2011.185.issue-2 |
|
Li Y G, Luo M, Pei J X.
2013. Adaptive finite element modeling of marine controlled-source electromagnetic fields in two-dimensional general anisotropic media. Journal of Ocean University of China, 12(1): 1-5.
DOI:10.1007/s11802-013-2110-3 |
|
Liu Y, Li Y G.
2015. Marine controlled-source electromagnetic fields of an arbitrary electric dipole over a layered anisotropic medium. Oil Geophysical Prospecting, 50(4): 755-765.
|
|
Liu Y H, Yin C C, Weng A H, et al.
2012. Attitude effect for marine CSEM system. Chinese Journal of Geophysics, 55(8): 2757-2768.
DOI:10.6038/j.issn.0001-5733.2012.08.027 |
|
Løseth L O, Ursin B.
2007. Electromagnetic fields in planarly layered anisotropic media. Geophysical Journal International, 170(1): 44-80.
DOI:10.1111/gji.2007.170.issue-1 |
|
Luo M, Li Y G.
2015. Effects of the electric anisotropy on marine controlled-source electromagnetic responses. Chinese J. Geophys., 58(8): 2851-2861.
DOI:10.6038/cjg20150819 |
|
Maillet R.
1947. The fundamental equations of electrical prospecting. Geophysics, 12(4): 529-556.
DOI:10.1190/1.1437342 |
|
Myer D, Constable S, Key K, et al.
2012. Marine CSEM of the Scarborough gas field, Part 1:Experimental design and data uncertainty. Geophysics, 77(4): E281-E299.
DOI:10.1190/geo2011-0380.1 |
|
O'Brien D P, Morrison H F.
1967. Electromagnetic fields in an n-layer anisotropic half-space. Geophysics, 32(4): 668-677.
DOI:10.1190/1.1439882 |
|
Sinha A K, Bhattacharya P K.
1967. Electric dipole over an anisotropic and inhomogeneous earth. Geophysics, 32(4): 652-667.
DOI:10.1190/1.1439881 |
|
Tompkins M J. 2005. The role of vertical anisotropy in interpreting marine controlled-source electromagnetic data.//SEG Technical Program Expanded Abstracts 2005. Society of Exploration Geophysicists, 514-517.
|
|
Weidelt P.
2007. Guided waves in marine CSEM. Geophysical Journal International, 171(1): 153-176.
DOI:10.1111/gji.2007.171.issue-1 |
|
Weitemeyer K, Constable S.
2014. Navigating marine electromagnetic transmitters using dipole field geometry. Geophysical Prospecting, 62(3): 573-596.
DOI:10.1111/gpr.2014.62.issue-3 |
|
Xu Z H, Liu Y, Li Y G.
2016. Effects of uncertainties in the position and orientation of both the transmitter and receivers on marine controlled-source electromagnetic data. Journal of Ocean University of China, 15(1): 83-92.
DOI:10.1007/s11802-016-2675-8 |
|
Yin C C, Weidelt P.
1999. Geoelectrical fields in a layered earth with arbitrary anisotropy. Geophysics, 64(2): 426-434.
DOI:10.1190/1.1444547 |
|
Yu L M, Edwards R N.
1992. The detection of lateral anisotropy of the ocean floor by electromagnetic methods. Geophysical Journal International, 108(2): 433-441.
DOI:10.1111/gji.1992.108.issue-2 |
|
刘颖, 李予国.
2015. 层状各向异性介质中任意取向电偶源的海洋电磁响应. 石油地球物理勘探, 50(4): 755–765.
|
|
刘云鹤, 殷长春, 翁爱华, 等.
2012. 海洋可控源电磁法发射源姿态影响研究. 地球物理学报, 55(8): 2757–2768.
DOI:10.6038/j.issn.0001-5733.2012.08.027 |
|
罗鸣, 李予国.
2015. 一维电阻率各向异性对海洋可控源电磁响应的影响研究. 地球物理学报, 58(8): 2851–2861.
DOI:10.6038/cjg20150819 |
|
2017, Vol. 60

