2. 中国科学院武汉物理与数学研究所波谱与原子分子物理国家重点实验室, 武汉 430071;
3. 中国科学院大学地球科学学院, 北京 100049
2. Wuhan Institute of Physics and Mathematics, Chinese Academy of Sciences, Wuhan 430071, China;
3. College of Earth Science, University of Chinese Academy of Sciences, Beijing 100049, China
在距离地球表面80~105 km的中层顶区域,存在一个由大量金属原子和离子形成的金属层,含有钠、钾、铁、钙、锂等多种原子和离子.自1929年Slipher首次发现中高层大气中的钠原子层,Gardner等(1989)、Clemesha等(1998)、She等(2015)团队不断改进探测手段,报道了不同时间、不同地点出现自80~105 km的钠原子层.Kane等(1993)指出,流星的注入高度分布在80~110 km;Plane(1991)通过化学反应模型表明,含钠成分与O2、O、H等大气成分不断反应,钠元素在钠原子、钠离子、含钠化合物之间转化,其中较高高度容易电离,多以钠离子、离子化合物的形式存在,而在较低高度,多以中性化合物、水合物的形式存在,在90 km附近,通常以钠原子的形式存在.
近年来,研究人员利用激光雷达多次探测到出现在105 km以上低热层区域的金属层.在高纬度区域,Collins等(1996)第一次报道了在Poker Flat,Alaska持续了15 min的“109 km附近的钠层”;Höffner和Friedman(2005)报道了在德国Kühlungsborn(54°N)观测到的“中间层上部的金属层”,包括铁、钾、钙、钠等金属层都出现在112 km附近;Chu等(2011)在南极McMurdo(77.8°S, 166.7°E)观测到“向上拓展到155 km左右的铁层”,并受到重力波调制展现出周期为1.5~2 h的波动结构;Tsuda等(2015)在南极Syowa(69.0°S, 39.6°E)台站观测到了延伸至140 km的“热层钠层”,以~5.6 m·s-1速率下行,并且整晚伴随着Es层.在中纬度区域,Gong等(2003)在中国武汉(31°N)观测到一例持续了大约2 h的“双钠层”事件,峰值高度接近112 km;Ma和Yi(2010)对“高高度钠层”做了统计分析,发现出现在105 km以上12%的高高度钠层有相对大的宽度;Wang等(2012)报道了中国北京(40°N)从2009年到2011年319个观测夜晚中所发生的17件“双钠层”事件,并表示所有的事件都发生在春季和夏季;Yuan等(2014)报道了美国Utah State University(41.7°N, 111.8°W)观测到的“高高度突发钠层”季节变化及其与Es层的联系.在低纬度地区,Raizada等(2004)在Arecibo台站观测到“高高度钙层”出现在109 km并呈下行趋势;Friedman等(2013)在Arecibo台站观测到“热层钾层”延伸至155 km,以2.56 m·s-1的速率下行,与GSWM09计算的半日潮相速度相似;Xue等(2013)报道了2012年3—4月发生在中国丽江(26.7°N)的两例“低热层钠层”事件,表明>4 MHz的Es事件与低热层钠层有很好的相关性.
诸多观测结果表明,在高于105 km的区域,金属原子通过某种机制积累,低热层金属层就会出现.本文中,我们把出现在105 km及以上高度的钠层简称为TeSL,它被认为是中性钠原子层在高高度区域的延伸.相对于突发钠层(SSL)事件,其特点是高度高、宽度宽、密度小(Dou et al., 2013).Yuan等(2014)表示,观测到的TeSL事例非常稀少,但是对于理解金属层的中性大气和电离层的耦合机制有很大的贡献.本文主要针对2011年5月26日在北京延庆台站观测到的TeSL事件,详细分析其发生时间、高度、峰值密度等参数,并且对测高仪数据、流星雷达数据进行分析,从事件出现的高度、时间、强度、下行速率等方面比较TeSL事件与Es层、大气风场的相关性.针对Xue等(2013)在低纬度地区得出“潮汐风场汇聚区,离子向下传播且密度不断增强”的结论,我们在中纬度地区得到证实.结合离子动量方程和离子的辐射复合反应推测出TeSL的形成机制.
2 实验设备和数据来源钠层探测原始数据来源于国家重大科技基础设施子午工程科学数据(http://data.meridianproject.ac.cn/).子午工程北京钠荧光激光雷达系统位于延庆区,地理坐标为116.0°E,40.5°N.由Nd:YAG固体激光器(Continuum PL9030)和染料激光器(ND6000)组成激光发射系统,1064 nm的激光通过倍频、泵浦得到589 nm激光并通过稳频长时间稳定地锁定在钠原子D2线,脉冲重复频率为30 Hz,激光脉冲宽度为~10 ns,正常工作能量~60 mJ;由大口径卡塞格林式望远镜(~100 cm)、滤光片、光电倍增管和数据采集卡组成光学信号接收和采集系统,将钠层的共振荧光散射信号经过滤光片抑制背景杂散噪声之后,以数字信号的方式储存在计算机里.根据其探测到的钠原子后向散射光子数,可以反演得到相应高度的钠原子密度,时间分辨率为1.5 s,空间分辨率为96 m.为提高信噪比,计算过程中将200个文件合并为1个文件,即后向散射的钠光子数时间分辨率为5 min,空间分辨率为96 m.
Es数据和大气风场数据均来源于国家科技基础条件平台—国家地球系统数据共享平台-地球物理科学数据中心(http://geospace.geodata.cn/),北京十三陵空间环境野外观测站地理坐标:40.3°N,116.2°E,海拔高度:183 m.距离北京延庆激光雷达观测台站28 km.Es数据的采集仪器为Lowell研发的数字电离层测高仪DPS-4D(由便携式电离层数字测高仪PDI作为补充).Es层特征参数临界频率和虚高是利用SAO-Explorer自动度量电离图,时间分辨率为1 h,为了更好地与同时间的TeSL事件进行比较,又将10:00—21:00UT的原始数据进行了人工标定,时间分辨率为15 min.大气风场数据是根据流星雷达观测数据进行计算整理的结果.时间分辨率为1 h,空间分辨率为2 km.
3 观测结果图 1为根据2011年5月26日北京延庆台站的钠荧光激光雷达探测结果反演得到的钠层密度随时间、高度演化图,可以清晰地看到当日明显的独立于主钠层的TeSL事件.由于只能在夜间观测,所以12:38UT开始采集数据,20:08UT观测结束.在整个观测过程中,主钠层分布在80~100 km,峰值密度约1350 cm-3.TeSL在数据采集初期出现在106~117 km的高度,并与主钠层完全分离,峰值密度达到250 cm-3,接近主层峰值密度的18%,持续了90 min后,该层逐渐减弱.15:03UT,在105~112 km,TeSL再次加强,峰值密度从250 cm-3增加到500 cm-3,并且从19:33UT到观测结束,峰值密度达到了1500 cm-3,与主层峰值密度相当.在整个过程中,低热层钠层呈现下行运动,直至20:08UT观测结束时,大量钠原子已集中到了100~103 km,在7.5 h内,峰值高度从111 km下行至100 km,平均下行速率为1.47 km/h.另外,在观测的最后25 min,在95 km附近出现了突发钠层(SSL),其密度高达2500 cm-3,超过主层峰值密度的1.5倍.
|
图 1 钠层密度随时间、高度分布图 Fig. 1 Distribution of the density of sodium layer over time and height |
Es层是出现在电离层低E区的一些主要由金属离子组成的薄层,Chu等(2011)假设在低E区金属离子和电子直接结合中性化成为热层中性金属层可能的源.因此,我们对TeSL和Es层在同一时间的演化过程做了比较.
2011年5月26日整天观测到的Es层高度及强度随时间的变化如图 2、图 3所示,图 2为当日00:00—23:00UT自动度量电离图,图 3为10:30—20:08UT从钠荧光激光雷达探测前两小时至探测结束,人工标定的Es层与钠层密度演变.中心位置表示电离层的虚高,从中心位置到末端的长度表示临界频率的大小(1 km代表 1 MHz).从图中可以看出,整个观测期间,均有Es层出现,在11:30—20:30UT,foEs平均强度达4.5 MHz,且整体呈下降趋势.图 2中可以看到Es从08:00UT开始呈现下行趋势至13:00UT,14:00UT在略低高度开始下行至21:00UT.分别与观测到的两个时间段的TeSL在时间、高度上有极好的对应.由于激光雷达从12:38UT观测一开始,TeSL就已经出现了,可以推测,第一段TeSL在观测前数小时就已经形成.第二段TeSL在观测结束不久后结束.图 3中可以看出Es层和TeSL随时间的演化过程,Es层在TeSL出现之前就已经出现,从12:30—20:00UT,Es层从117 km下降到106 km,下降速率为1.47 km/h,与TeSL同样为1.47 km/h的下行速率契合.当日观测到的Es平均强度为4.5 MHz,与Xue等(2013)报道的“与TeSL相关的Es需达到4 MHz”相吻合.可以推测,Es层在TeSL的形成过程中扮演着重要的角色.
|
图 2 2011年5月26日Es强度随时间、高度分布图 Fig. 2 Distribution of the intensity of Es layer over time and height on May 26, 2011 |
|
图 3 同一时间TeSL密度和Es强度随时间、高度分布图 Fig. 3 Distribution of the intensity of Es layer and density of sodium layer over time and height |
风剪切理论认为:由于洛伦兹力,向东吹的风使离子有向东和向上的运动,但很难移动电子,当某个高度存在东向风而略高一点的高度存在西向风,就造成了一个风剪切,上面的离子向下运动,下面的离子向上运动,电离成分得到有效压缩.离子的压缩造成正电荷的积累,电子受到吸引,沿着磁力线运动,中和正电荷(Zhou et al., 1997;Mathews,1998;熊年禄等,1999;Earle et al., 2000a, 2000b;左小敏等,2006).按照风剪切理论,纬向风的垂直剪切可以有效地汇聚离子,吸引电子,中性化形成金属原子,对TeSL的形成至关重要(Tsuda et al., 2015).因此,我们对2011年5月26日当天的大气风场观测结果展开分析.
图 4为2011年5月26日流星雷达观测到的纬向风,由于高于100 km的区域不再有风场测量数据,无法辨认其是否与Es层、TeSL的观测结果有相关性,而潮汐是风剪切理论中金属离子汇聚形成Es的主要驱动力(Reddy and Rao, 1968),因此,我们对数据做了进一步处理.将以2011年5月26日为中心的25—27日三天的风速利用最小二乘法分解为平均风、周日潮、半日潮、三分之一日潮和四分之一日潮(Beldon et al., 2006;姜国英等,2010):y=y0+a1cos(2πt/24+φ1) +a2cos(2πt/12+φ2)+a3cos(2πt/8+φ3)+a4cos(2πt/6+φ4),得到y0、a1、φ1、a2、φ2、a3、φ3、a4、φ4的拟合值.认为100 km之上,平均风不变,周日潮、半日潮、三分之一日潮、四分之一日潮的相位按线型延伸,并按照75~100 km的观测数据对振幅进行延伸,从而得到100~125 km范围内的大气风场数据,各个潮汐成分振幅和相位的拟合及延伸结果如图 5所示,纬向风的拟合结果如图 6所示.
|
图 4 纬向风观测结果 Fig. 4 The observational result of zonal wind |
|
图 5 纬向风振幅与相位的拟合延伸结果 Fig. 5 The fitted zonal wind amplitudes or phases from the meteor radar observations |
|
图 6 纬向风拟合结果 Fig. 6 The fitting result of zonal wind |
图 6中,用伪彩图表示风速,正值表示东向风,负值表示西向风,黑色虚线之间为有TeSL现象出现的时间段.从图中可以看出,从10:00UT到20:00UT,110 km附近,均存在满足风剪切理论“某个高度存在东向风而略高一点的高度存在西向风”的现象,且“这个高度”逐渐下移,从122 km下降至108 km,下降速率为1.4 km/h.图 3中的实五角星表示纬向风剪切节点(从上往下西风过渡到东风的位置)出现的高度,可以明显地看出其与TeSL的下降速率几乎一致.纬向风的垂直剪切与Es层、TeSL在同一时间同一高度有着相同的演变趋势,可以推断,纬向风的垂直剪切与Es层、TeSL的形成有密切的联系.
5 讨论我们推断,TeSL与Es层、水平风场的垂直剪切有密切联系,但是,到底是什么原因导致TeSL的形成,仍然悬而未决.Chu等(2011)对南极地区观测到的热层铁层展开调研,提出中性铁层是由汇聚的铁离子层转化的;Tsuda等(2015)将Chu等(2011)的理论应用到在南极观测到的热层钠层的形成,也证实了钠离子层汇聚、辐射复合中性化后形成热层钠原子层;在低纬度地区,这个理论也在Xue等(2013)针对丽江观测到两例热层钠层的事例分析中得到证实.但是,他们观测到的热层钠密度只达到主层钠密度的百分之几甚至更小.而本文中报道的位于中纬度的北京地区观测到的TeSL事例,峰值密度为主层密度的20%甚至更高.因此,我们对金属离子层的形成和离子层中性化的过程做了进一步探讨.
5.1 钠离子的汇聚Xue等(2013)将观测到的纬向风和经向风分别分解为平均风、周日潮和半日潮,通过拟合得到无法观测到的100 km以上的风场.并根据离子动量方程计算离子垂直速度的散度,得出“在低纬度区域,潮汐风场汇聚区,离子向下传播且密度不断增强”的结论.我们采用同样的方法对2011年5月26日观测到的数据进行如下计算:
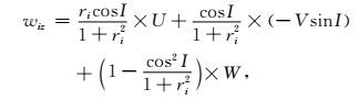
根据离子动量方程,忽略压力梯度力和电场力,得到离子的垂直速度为:
|
(1) |
其中,Ι表示磁倾角,ri代表原子离子碰撞频率与离子回旋频率的比值,离子碰撞频率
,Nn和mn分别表示大气密度和分子质量(Xue et al., 2013),离子回旋频率
,(其中Ze表示离子电荷,B表示磁场强度,mi表示离子质量)(郑春开,2009), 根据IGRF12 Model(http://www.ngdc.noaa.gov/geomag-web),2011年5月26日北京上空110 km处的磁倾角为64.995°,磁场强度为48900.4 nT,得到钠离子的回旋频率ωci=205 Hz,U、V、W分别为纬向风、经向风和垂直风的风速,由于垂直风的风速通常比纬向风和经向风小一个量级,且没有观测结果,忽略不计.则
,离子汇聚,
, 离子发散.
图 7为根据大气风场数据计算得到的2011年5月26日整日离子汇聚发散图,红色表示离子发散,蓝色表示离子汇聚,颜色的深浅表示汇聚程度的强弱,直线表示从120 km到105 km离子汇聚区域,从图中可以清晰地看出这一区域不断下移.从08:00UT到10:00UT,离子在112~116 km汇聚,从11:00UT到18:00UT,离子在106~112 km汇聚,这与Es出现的时间、高度相符.可以推断,水平风场是汇聚离子的有效途径,当然,也有其他因素影响离子的汇聚,例如:电离层电场附带的电荷可能会引起离子水平方向的水平分布(Matuura et al., 2013);由于电离层电流引起的焦耳加热引发的向上的风改变了离子运动轨迹,导致了离子的向上传输和水平集中(Tsuda et al., 2015).
|
图 7 离子垂直速度的散度随时间、高度分布图 Fig. 7 Distribution of thedivergence of vertical velocity of ions over time and height |
当日,观测到的Es平均强度为4.5 MHz,根据电离层频率与电子密度的关系N=1.24×1010f2,可以推测出电子密度为2.511×105 cm-3,钠离子密度为2.511×104 cm-3(比电子密度小一个量级(Kopp, 1997)).根据NRLMSISE-00 Model(http://ccmc.gsfc.nasa.gov/modelweb/models/nrlmsise00.php),2011年5月26日100~120 km处的温度为206.8~344.2 K.辐射复合Na++e-→Na+hv的反应速率是(3.9×10-12)(T/200)-0.74 cm3·s-1(Plane et al., 2015),当温度为206.8~344.2 K时,可计算出反应速率(2.6097~3.8047)×10-12 cm3·s-1,生成率是(16.31~23.78)× 10-3cm-3·s-1,那么,120 min可以生成的钠原子密度达到120 cm-3,与激光雷达观测到的热层钠密度相当.也就是说,离子的辐射复合反应可能是离子层中性化形成TeSL的原因.
当钠离子下行至100 km附近,可能与X形成配体Na+·X,再与其他大气成分Y形成更稳定的化合物,从而通过离解复合反应生成钠原子(Daire et al., 2002).具体反应如下:
|
其中,X=O2、N2、CO2、H2O;Y= O2、N2、CO2、H2O、O;M主要为O2或者N2.由于涉及到的化学反应非常复杂,根据NRLMSISE-00 Model,在2011年5月26日100 km的高空,N2的密度为8.751×1012 cm-3;O2的密度为1.861×1012 cm-3;O的密度为3.65×1011 cm-3;根据WACCM Model,CO2的密度比N2少3个量级,H2O的密度比N2少12个量级,所以以X= O2;Y=O;M=N2为例,则三个反应的反应速率分别为k1=(2.1×10-30)(T/200)-2.64cm3·s-1(Cox and Plane, 1997);k2=(3×10-11)cm3·s-1(Daire et al., 2002);k3=(1×10-6)(T/200)-1/2cm3·s-1(Plane, 1991);当温度为206.8~344.2 K时,生成率为49.06~242.94 cm-3·s-1,因此,在1 min内,钠原子密度可达到1000 cm-3.
6 结论近年来,TeSL事例在低纬度、中纬度、高纬度台站都有一些报道.本文中,我们报道了2011年5月26日发生在北京延庆的一例TeSL事例,从12:38UT开始采集数据,到20:08UT观测结束持续出现,峰值密度从250 cm-3增加至1500 cm-3,峰值高度却从111 km逐渐下降到100 km,其出现时间、高度、演化趋势都与Es层,大气风场极其相关.
我们根据离子动量方程推算出水平风的垂直剪切是汇聚离子的有效途径,通过离子辐射复合反应推算出:钠离子与电子结合中性化生成钠原子是TeSL形成的可能原因.但是,仍然有一些问题无法解释,例如:Es层的出现频率比TeSL频繁得多;大气中的离子发生辐射复合是否还需要其他条件.这些问题还需要更多的观测手段及数值模拟得到进一步评估.由于我们获取到的110 km以上的中性大气信息非常有限,而热层中的钠层可以成为110 km以上大气有效的示踪物,因此,热层钠层可以为我们研究110 km以上的高层大气打开一个全新的视角.
致谢本文得到了国家重大科技基础设施子午工程科学数据和国家科技基础条件平台—国家地球系统数据共享平台-地球物理科学数据中心的支持,在此表示衷心的感谢.
Beldon C L, Muller H G, Mitchell N J.
2006. The 8-hour tide in the mesosphere and lower thermosphere over the UK, 1988—2004. Journal of Atmospheric and Solar-Terrestrial Physics, 68(6): 655-668.
DOI:10.1016/j.jastp.2005.10.004 |
|
Chu X Z, Yu C S, Gardner C S, et al.
2011. Lidar observations of neutral Fe layers and fast gravity waves in the thermosphere (110~155 km) at McMurdo (77.8°S, 166.7°E), Antarctica. Geophysical Research Letters, 38: L23807.
DOI:10.1029/2011GL050016 |
|
Clemesha B R, Batista P P, Simonich D M.
1998. Vertical structure in the topside sodium layer. Geophysical Research Letters, 25(17): 3305-3308.
DOI:10.1029/98gl02563 |
|
Collins R L, Hallinan T J, Smith R W, et al.
1996. Lidar observations of a large high-altitude sporadic Na layer during active aurora. Geophysical Research Letters, 23(24): 3655-3658.
DOI:10.1029/96GL03337 |
|
Cox R M, Plane J M C.
1997. An experimental and theoretical study of the clustering reactions between Na+ ions and N2, O2 and CO2. Journal of the Chemical Society, Faraday Transactions, 93(16): 2619-2629.
DOI:10.1039/a701928i |
|
Daire S E, Plane J M C, Gamblin S D, et al.
2002. A theoretical study of the ligand-exchange reactions of Na+·X complexes (X=O, O2, N2, CO2 and H2O): implications for the upper atmosphere. Journal of Atmospheric and Solar-Terrestrial Physics, 64(7): 863-870.
DOI:10.1016/S1364-6826(02)00130-X |
|
Dou X K, Qiu S C, Xue X H, et al.
2013. Sporadic and thermospheric enhanced sodium layers observed by a lidar chain over China. Journal of Geophysical Research: Space Physics, 118(10): 6627-6643.
DOI:10.1002/jgra.50579 |
|
Earle G D, Kane T J, Pfaff R F, et al.
2000a. Ion layer separation and equilibrium zonal winds in midlatitude sporadic E. Geophysical Research Letters, 27(4): 461-464.
DOI:10.1029/1999gl900572 |
|
Earle G D, Bishop R L, Collins S C, et al.
2000b. Descending layer variability over Arecibo. Journal of Geophysical Research: Space Physics, 105(A11): 24951-24961.
DOI:10.1029/2000ja000029 |
|
Friedman J S, Chu X Z, Brum C G M, et al.
2013. Observation of a thermospheric descending layer of neutral K over Arecibo. Journal of Atmospheric and Solar-Terrestrial Physics, 104: 253-259.
DOI:10.1016/j.jastp.2013.03.002 |
|
Gardner C S.
1989. Sodium resonance fluorescence lidar applications in atmospheric science and astronomy. Proc. IEEE, 77(3): 408-418.
DOI:10.1109/5.24127 |
|
Gong S S, Yang G T, Wang J M, et al.
2003. A double sodium layer event observed over Wuhan, China by lidar. Geophysical Research Letters, 30(5).
DOI:10.1029/2002gl016135 |
|
Höffner J, Friedman J S.
2005. The mesospheric metal layer topside: Examples of simultaneous metal observations. Journal of Atmospheric and Solar-Terrestrial Physics, 67(13): 1226-1237.
DOI:10.1016/j.jastp.2005.06.010 |
|
Jiang G Y, Xu J Y, Shi J K, et al.
2010. The first observation of the atmospheric tides in the mesosphere and lower thermosphere over Hainan. Chinese Sci. Bull., 55: 1059-1066.
DOI:10.1007/s11434-010-0084-8 |
|
Kane T J, Gardner C S, Znou Q, et al.
1993. Lidar, radar and airglow observations of a prominent sporadic Na/sporadic E layer event at Arecibo during AIDA-89. J. Atmos. Terr. Phys., 55(3): 499-511.
DOI:10.1016/0021-9169(93)90084-C |
|
Kopp E.
1997. On the abundance of metal ions in the lower ionosphere. Journal of Geophysical Research, 102(A5): 9667-9674.
DOI:10.1029/97JA00384 |
|
Ma Z, Yi F.
2010. High-altitude sporadic metal atom layers observed with Na and Fe lidars at 30°N. Journal of Atmospheric and Solar-Terrestrial Physics, 72(5-6): 482-491.
DOI:10.1016/j.jastp.2010.01.005 |
|
Mathews J D.
1998. Sporadic E: current views and recent progress. Journal of Atmospheric and Solar-Terrestrial Physics, 60(4): 413-435.
DOI:10.1016/S1364-6826(97)00043-6 |
|
Matuura N, Tsuda T, Nozawa S.
2013. Field-aligned current loop model on formation of sporadic metal layers. Journal of Geophysical Research:Space Physics, 118(7): 4628-4639.
DOI:10.1002/jgra.50414 |
|
Plane J M C.
1991. The chemistry of meteoric metals in the earth's upper atmosphere. Int. Rev. Phys. Chem., 10(1): 55-106.
DOI:10.1080/01442359109353254 |
|
Plane J M C, Feng W H, Dawkins E C M.
2015. The mesosphere and metals: chemistry and changes. Chem. Rev., 115(10): 4497-541.
DOI:10.1021/cr500501m |
|
Raizada S, Tepley C A, Janches D, et al.
2004. Lidar observations of Ca and K metallic layers from Arecibo and comparison with micrometeor sporadic activity. Journal of Atmospheric and Solar-Terrestrial Physics, 66(6-9): 595-606.
DOI:10.1016/j.jastp.2004.01.030 |
|
Reddy C A, Rao M M.
1968. On the physical significance of the Es parameters of fbEs, fEs, and foEs. Journal of Geophysical Research, 73(1): 215-224.
DOI:10.1029/JA073i001p00215 |
|
She C Y, Chen H L, Krueger D A.
2015. Optical processes for middle atmospheric Doppler lidars: Cabannes scattering and laser-induced resonance fluorescence. Journal of the Optical Society of America B, 32(8): 1575-1592.
DOI:10.1364/JOSAB.32.001575 |
|
Tsuda T T, Chu X, Nakamura T, et al.
2015. A thermospheric Na layer event observed up to 140-km over Syowa Station (69.0°S, 39.6°E) in Antarctica. Geophysical Research Letters, 42(10): 3647-3653.
DOI:10.1002/2015gl064101 |
|
Wang J H, Yang Y, Cheng X W, et al.
2012. Double sodium layers observation over Beijing, China. Geophysical Research Letters, 39(15).
DOI:10.1029/2012gl052134 |
|
Xue X H, Dou X K, Lei J, et al.
2013. Lower thermospheric-enhanced sodium layers observed at low latitude and possible formation: Case studies. Journal of Geophysical Research: Space Physics, 118(5): 2409-2418.
DOI:10.1002/jgra.50200 |
|
Yuan T, Wang J H, Cai X G, et al.
2014. Investigation of the seasonal and local time variations of the high-altitude sporadic Na layer (Nas) formation and the associated midlatitude descending E layer (Es) in lower E region. Journal of Geophysical Research: Space Physics, 119(7): 5985-5999.
DOI:10.1002/2014ja019942 |
|
Zhou Q H, Sulzer M P, Tepley C A.
1997. An analysis of tidal and planetary waves in the neutral winds and temperature observed at low-latitude E region heights. Journal of Geophysical Research: Space Physics, 102(A6): 11491-11505.
DOI:10.1029/97ja00440 |
|
Zuo X M, Wan W X, Tan H.
2006. Observational evidences and simulation of tide wind induced mid-latitude sporadic E-layers. Chinese Journal of Space Science (in Chinese), 26(5): 346-351.
|
|
姜国英, 徐寄遥, 史建魁, 等.
2010. 海南上空中高层大气潮汐风场的首次观测分析. 科学通报, 55(10): 923–930.
|
|
熊年禄, 唐存琛, 李行健. 1999.
电离层物理概论. 武汉: 武汉大学出版社.
|
|
郑春开. 2009.
等离子体物理. 北京: 北京大学出版社.
|
|
左小敏, 万卫星, 谭辉.
2006. 大气潮汐风场诱导中纬突发E层的观测证据及理论模拟分析. 空间科学学报, 26(5): 346–351.
DOI:10.11728/cjss2006.05.346 |
|
2017, Vol. 60

