起源于电离层的氧离子O+是暴时环电流的重要组成部分,对磁暴环电流动力学过程起着重要作用(Lotko et al., 2007).磁层环电流中的高能离子,主要包括H+和O+等,与稀薄的中性冷地冕氢会发生共振电荷交换反应(Lindsay and Stebbings, 2005; Fahr et al., 2007)而生成高能中性原子(ENA, Energetic Neutral Atoms),它们不再受电场和磁场的约束而从磁层逃逸;ENA携带着遥远等离子体的成分与速度(包括方向与大小)以及位置的信息;卫星ENA遥测成像已经成为获取磁层高能离子全球分布的重要探测手段(Roelof, 1987; Roelof and Skinner, 2000; Perez et al., 2000, 2012; Brandt et al., 2002; Pollock et al., 2003; DeMajistre et al., 2004; Lu et al., 2010; Ma et al., 2015).通常卫星中性原子成像数据未区分其成分,一般假定所观测到的ENA通量均来自氢原子的贡献.如何将卫星观测ENA中的H原子和O原子识别开来,以便进一步得到作为其离子源的环电流O+离子的全球分布,具有重要意义.
就目前国际上使用的地球内磁层ENA成像技术(Barabash et al., 1997; Mitchell et al., 2000; Pollock et al., 2000; Burch et al., 2000, 2003; McComas et al., 2009; Goldstein and McComas, 2013),人们利用入射粒子撞击传感探测器而激发的电荷脉冲特征来识别H和O (Mitchell et al., 2003; Valek et al., 2013);对于不同的能量段,所利用的脉冲种类与分离技术有所不同.美国TWINS卫星对大约1~80 keV中等能量段ENA进行双星广角立体成像测量,近年发展了基于ENA次生电子起始脉冲高度分布,统计拟合分离中能段ENA两种主要成分氢和氧的方法(Valek et al., 2013).本文借鉴该方法,开发了实现氢与氧分离的卫星零级原始数据处理软件;参照Valek给出的脉高分布理论公式,利用能量范围与能量点有限的脉高分布实测标定数据,拟合确定模型待定参数,进而计算得到作为能质比函数的ENA-H与ENA-O各自的脉高分布理论模型,该模型与Valek等(2013)给出的模型比较,图像基本一致.
本文将详细地介绍该方法,包括原理、脉冲高度分布理论模型的建立、以及统计拟合分离公式;然后,将此方法用于TWINS卫星磁暴主相期间的数据,给出由TWINS卫星实测原始数据对H和O进行分离的流程,介绍分离得到的ENA-H和ENA-O通量随观测视线角度的分布,分析其特征和二者的差异,以及随暴相的变化.
2 中能段ENA氢和氧分离的方法 2.1 基本原理目前的ENA成像测量技术,分离H和O的方法都基于入射ENA粒子或其撞击碳箔激发的次生电子在微通道板探测器上所引起的电荷脉冲高度对于初始粒子质量与速度的依赖.在较高能量段(约100~500 keV)的中性原子卫星成像探测中,所测量的终止脉冲高度(SPPH,StoP Pulse Height),即ENA穿过超薄碳膜到达微通道板(MCP, MicroChannel Plate)探测器所引起的电荷脉冲高度,其分布对于氢原子H和氧原子O有明显的差异(Mitchell et al., 2003),由此可以直接逐个分辨ENA粒子的种类.对于能量较低的中能段(约1~80 keV)ENA成像仪,比如IMAGE/MENA(Imaging from the Magnetopause to the Aurora for Global Exploration/Medium Energy Neutral Atom,1~30 keV)和TWINS(1~100 keV),ENA粒子穿过碳箔后在探测器上产生的终止脉冲不够强,且ENA-H和ENA-O的分布重叠在一起,无法由此分辨两者的种类(Pollock et al., 2000),需要采取不同的途径.
当ENA粒子进入成像仪穿过超薄碳箔时,会释放出次生电子,其数目与入射ENA粒子的质量和能量有关,这些次生电子在高电压作用下将在大致垂直于碳箔的方向,以远大于入射ENA粒子的速度首先到达微通道板(MCP)探测器,由此而产生的脉冲称为起始脉冲(STP,StarT Pulse),实验室标定数据表明起始脉冲高度(STPH,StarT Pulse Height)的概率分布对于H和O存在比较明显差异,O的STPH最大发生概率对应较大的脉冲高度,而H在较小的脉冲高度处有最大发生率,参见Valek等(2013)的图A2.这为由次生电子激发的起始脉冲高度分布来分离ENA中的H和O提供了可能.但是二者的分布有重叠,不能逐个将ENA粒子的种类区分开,可以采用统计学拟合的方法.利用标定获得的起始脉冲高度分布,以及理论模型,对沿各视线方向在适当时间间隔内的实测事件起始脉冲高度分布进行统计学拟合(Valek et al., 2013),可实现H-O ENAs的分离,继而分别得到实测的ENA-H和ENA-O通量分布图像.
2.2 起始脉冲高度分布模型利用高能离/原子源发生装置,实验室标定可以测量得到对于具有不同能质比的H或O原子束入射到ENA成像仪所产生的起始脉冲高度的分布.对于本文所关心的TWINS卫星ENA成像,标定所用粒子能量限于1~50 keV之间较少的离散能量点, 由于原子质量相差16倍,H和O具有相同能质比的起始脉冲高度分布曲线很少;为了在较大的能量范围和较多的能量段上进行H-O的分离,需要建立起始脉高分布模型.
起始脉冲高度分布从理论上可以近似表示为一系列高斯分布的累加(Valek et al., 2013),这些高斯分布的数学期望和方差只与次生电子数有关,与入射ENA粒子的能量和质量无关;其幅度被ENA粒子激发次生电子个数的概率分布(服从泊松分布)所加权,该泊松分布的数学期望即为次生电子的有效生成量(Effective Yield,EY),它依赖于ENA粒子的能质比.
利用已知能量的氢和氧实测标定的脉冲高度分布与上述理论模型进行拟合,可以确定次生电子数n取值为1,2,3,…时高斯分布的参数,以及依赖于能质比的次生电子有效生成量EY.图 1给出我们用起始脉冲高度分布标定曲线与理论模型拟合的结果示例,其中图 1a是能量为9 keV的氢,能质比为9 keV/amu,图 1b为31 keV的氧,能质比1.9375 keV/amu.图 1与Valek等(2013)的结果比较,所使用的能量或探头不同,拟合的效果类似.
|
图 1 起始脉冲高度分布标定曲线与理论模型的拟合结果示例 入射粒子为:(a)能量9 keV的H;(b)能量31 keV的O.图中黑色实线为实测标定值,绿线为该实测值的平滑,红色虚线为拟合得到的起始脉高分布理论模型分布.黑色点线为不同的次生电子数目n所对应的正态分布,蓝色竖线表示次生电子个数为1时,发生概率最大的脉冲高度. Fig. 1 Examples of fitting the calibration data to the theoretic model of STPH The incident particles are: (a) H with energy of 9 keV; (b) O with energy of 31 keV. Black solid line indicates the measured pulse height distribution, and green line is its smoothed shape. Individual n-electron distributions are shown in the black dotted line. Red dashed line indicates the fitted theoretic model of STPH distribution. Blue vertical line indicates the pulse height at which the most occurrence rate appears by 1 secondary electron. |
对于不同能质比的粒子进行拟合,便可得到次生电子有效生成量EY与入射粒子能质比之间的关系.对于氢和氧两种成分和4个探头(S1-A/T, S2-A/T),次生电子有效生成量随能质比的变化按如下方式拟合:
|
(1) |
拟合所得系数b和k如表 1所示.
|
|
表 1 次生电子有效生成量随能质比变化的模型系数 Table 1 Model coefficients of secondary electron′s effective yields varying with energy to mass ratio |
式(1)中能质比的范围为0.3~100 keV/amu.但是,考虑到标定数据的能质比范围(1~50 keV/amu),以及对数有效电子产生量(即log(EY))随对数能质比的变化较好地遵循线性规律的范围,限定模型有效使用范围为能质比约1~32 keV/amu.
由以上拟合得到的模型诸参数,就可以分别对于不同探头,计算得到作为能质比函数的H和O的起始脉高模型分布,结果如图 2所示,8个子图分别对应H/O两种粒子和TWINS卫星ENA成像仪的4个探测器.该图给出对数起始脉冲高度出现概率(用不同的颜色表示)随对数能质比和脉冲高度的分布.图 3显示模型计算的ENA-H和ENA-O起始脉冲高度分布与标定实测结果(此标定数据未用于模型参数的确定)的比较,可以看到模型能比较合理地重现后者.
|
图 2 模型给出的随能质比变化的脉冲高度分布 图中白色虚线内的区域表示有效适用范围. Fig. 2 Modeled start pulse height distributions varying with ratio of energy to mass The white dashed lines bound the region where the model is valid. |
|
图 3 模型计算的起始脉冲高度分布与标定实测分布的比较示例 (a) S2-T探头,能量为2.72 keV的ENA-H;(b) S1-T探头,能量为31 keV的ENA-O. Fig. 3 Comparison of modeled and calibrated STPH distribution (a) 2.72 keV ENA-H for S2-T sensor; (b) 31 keV ENA-O for S1-T sensor. |
利用2.2节模型计算得到的起始脉冲高度分布,对沿各视线方向在适当时间间隔内的实测事件起始脉冲高度分布进行统计学拟合,便可实现H-O ENAs的分离,具体介绍如下.
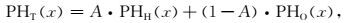
因在所考虑的能质比范围,氦离子与地冕氢的电荷交换截面比H和O要小一个多数量级,且氦离子本身的通量也较小,因此可以忽略氦等成分而假定实测ENA只含H和O.H和O混合的起始脉冲高度分布可以表示为H和O二者各自脉高分布的线性叠加,如(2)式所示(Valek et al., 2013):
|
(2) |
式中PHT是归一化脉高分布,A是ENA-H事件所占的比例,(1-A)是ENA-O事件所占的比例;PHH(x)和PHO(x)分别是ENA-H和ENA-O起始脉冲高度分布,x是脉冲高度的值.利用最小二乘拟合可以由实测混合起始脉高分布和氢氧各自的模型分布确定A,参数A满足条件0≤A≤1,如果拟合的结果得到A < 0或A>1,那么将A设置为0或1.
3 由卫星实测数据分离ENA-H与ENA-O 3.1 数据与流程本文使用美国TWINS卫星ENA数据.TWINS是世界上首个对地球内磁层进行立体成像的星座(McComas et al., 2009;Goldstein and McComas, 2013),它利用相互交叉的两个莫尔尼亚轨道(该轨道具有远地点纬度保持不变的独特性)上的两颗卫星,同时从不同角度对磁层ENA进行全球扫描成像,远地点的地心距离约8.2RE,近地点的高度约1000 km,轨道周期为半个恒星日.卫星姿态为三轴稳定,每个ENA成像仪含有两个探头,安装在一个旋转台上,每72秒完成一次完整锥束扫描,其中12秒为转向时间,锥束轴指向地心,偏离约10°.扫描观测视线的角度分辨率4°×4°,测量的ENA能质比范围1~100 keV/amu.两颗卫星从2008年6月开始协同观测,目前仍在轨运行.本文研究所用实测事件起始脉冲高度分布数据由卫星零级原始数据中提取,该数据可从美国NASA网站ftp://cdaweb.gsfc.nasa. gov/pub/data/twins/获取.进行统计学分离要求适当时间累积的数据,使沿各视线方向有足够的事件数目(比如大于200)进行有意义的统计(Valek et al., 2014),根据测量数据具体情况和研究的目的,累计时间可在十几分钟至几十分钟不等,一般情况采用30 min(约25个扫描).本文具体选用2012年7月15日磁暴主相期间,能质比为1,2,3,4,16,32 keV/amu的TWINS卫星ENA数据进行分析处理,包括主相快速增长期的5个时间段,每时段长约30 min,在这些时间段只有S1一颗卫星有ENA测量数据;以及主相极大附近的1个时间段(长约15 min),在此时间段S1和S2两颗卫星都有数据,沿各视线进行统计分离的事件数目均大于200,而且处在有利的位置(Ma et al., 2015),便于后续对环电流氢和氧离子的分布进行反演.上述6个时间段在磁暴发展过程中所处的相位参见图 4.
|
图 4 2012年7月15日磁暴事件Dst指数随时间的变化 图中6条灰色竖线示意6个时间段:06:30—07:00,07:00—07:30,07:30—08:00,08:00—08:30,09:30—10:00,以及16:45—17:00 UT. Fig. 4 Dst index variation with UT during the magnetic storm of July 15, 2012 The six vertical grey lines illustrate selected six time periods of 06:30—07:00, 07:00—07:30, 07:30—08:00, 08:00—08:30, 09:30—10:00, as well as 16:45—17:00 UT. |
分别对TWINS S1和/或S2卫星,对于选定的能质比,沿所有各个视线方向,由零级原始数据中提取出实测事件起始脉冲高度数据,利用相应能质比的脉高分布模型分布曲线,计算H所占的比例A;再利用总的ENA微分通量(编有专门程序计算此量,这里不详述),得到ENA-H和ENA-O各自的通量分布图像.图 5给出ENA-H和ENA-O分离的流程图.
|
图 5 对于给定能质比分离ENA-H与ENA-O的流程 Fig. 5 Process diagram to separate ENA-H and ENA-O for given ratio of energy to mass |
在这一节,我们介绍对16:45—17:00UT磁暴主相极大附近TWINS两颗卫星ENA观测进行氢-氧分离得到的H所占比例随观测视线的分布,并对拟合分离误差作大致估计.
图 6给出由能质比分别为1,2,3,4,16,32 keV/amu的ENA原始观测数据,分离得到的参数A(即氢占比例)随观测视线方向的分布.视线方向由仰角和方位角所确定,在图中径向距离表示仰角(30°~90°),圆周角表示方位角(-90°~270°);圆心的仰角为90°,下方指向0°方位角,左方指向90°方位角;颜色表示比例值A的大小.
|
图 6 TWINS卫星观测得到的1~32 keV/amu能质比ENA-H所占比例A随观测视线方向的分布 上面一行为卫星S1的数据,下面一行为卫星S2的数据. Fig. 6 Distributions of A versus line-of-sights for ENAs measured by TWINS at E/M between 1 and 32 keV/amu The top line is for S1, the bottom for S2. |
由图 6可以看到,总体趋势ENA-H所占的比例随能质比(记作E/M)的增大而上升.在E/M=1 keV/amu,ENA-H所占的比例最大不超过70%,平均约39.5%(S1: 41.15%, S2: 37.76%),也就是说1 keV能量的H与16 keV能量的O的计数比平均约为2:3,ENA-O占主导;在E/M=16 keV/amu,ENA-H所占的比例绝大部分在95%以上,16 keV能量的H与256 keV能量的O的计数相比,H占绝对优势.
为了考察求解参数A时实测起始脉高分布与模型脉高分布拟合的程度,图 7显示在任意选取的3个视线方向,对于能质比为1 keV/amu的ENA,H和O的模型脉高分布、实测的H-O混合脉高分布,以及拟合的H-O混合脉高分布,并给出拟合得到的A值.计算拟合的相对标准差δ(限于概率分布中脉高发生概率大于百分之一的数据),对于上述3个视线方向能质比为1时,此相对标准差平均在33.6%.图 8给出了对于不同能质比,拟合相对标准差随S2卫星观测视线方向的分布;S1和S2卫星在各能质比上沿所有观测视线拟合相对标准差的平均值在表 2中给出.
|
图 7 最小二乘拟合参数A示例 能质比为1 keV/amu,视线方向分别为:(a)仰角50°,方位角50°;(b)仰角75°,方位角80°;(c)仰角60°,方位角150°. Fig. 7 Examples of determining the parameter of A by the least square method Directions of the LOSs are: (a) elevation=50°, azimuth=50°; (b) elevation=75°, azimuth=80°; (c) elevation=60°, azimuth=150°. |
|
图 8 拟合相对标准差随观测视线方向的分布.能质比分别为1,2,4,16 keV/amu Fig. 8 The relative standard deviation distribution with line of sight for E/M ratio of 1, 2, 4, 16 keV/amu, respectively |
|
|
表 2 平均拟合相对标准差 Table 2 Mean Relative Standard Error of fitting |
可以看到,在分离方法适用能质比范围的上界(32 keV/amu),S2卫星拟合分离的全视线平均误差较大为0.55,其余情况在0.39至0.45之间,分离的结果是有意义的.这里我们给出的是对于16:45—17:00UT累积时间约15 min的统计拟合分离的误差,使用更长的累积时间会减小这一误差.
3.3 ENA氢和氧的通量分布由ENA-H所占比例A和总的ENA微分通量可计算得到ENA-H和ENA-O的微分通量分布.作为一个示例,图 9给出主相极大附近16:45—17:00UT在不同能量上ENA-H和ENA-O的微分通量随观测视线的分布.因为本文使用的方法适用能质比范围为1~32 keV/amu,所以H的能量范围为1~32 keV,而O的能量范围为16~512 keV.
|
图 9 多个能段上氢和氧ENA的微分通量分布 Fig. 9 Differential flux distributions of hydrogen and oxygen ENA at various energies |
如前所述,该文方法适用的能质比范围为1~32 keV/amu,所以对于我们所考虑的能质比,H和O共有的能量段只有16 keV和32 keV,以下的分析主要针对16 keV能量的情况.
4.1 磁暴主相极大附近氢氧通量分布特征差异图 10a显示16:45—17:00UT期间ENA-H随观测视线的分布,能量段分别为16 keV和32 keV,包括TWINS1和TWINS2两颗卫星的观测结果.图中给出了不同磁地方时(正午、黄昏、午夜和黎明)L=4, 8的磁力线在二维视线坐标中的投影,以便于考察感兴趣的视线方向所处的磁地方时,另外还给出了地球边界投影.图 10b与图 10a相同,但显示的是ENA-O微分通量随观测视线的分布.
|
图 10 TWINS两颗卫星S1和S2观测到的16 keV和32 keV ENA-H (a)和ENA-O (b)微分通量随观测视线的分布 图中给出了不同磁地方时L=4, 8的磁力线在二维视线坐标中的投影,红色为正午,黄色为黄昏,与红线正对的黑线为午夜,与黄线正对的黑线为黎明. Fig. 10 Differential flux distributions versus LOSs of ENA-H (a) and ENA-O (b) at 16 keV and 32 keV energies observed by TWINS satellites of S1 and S2 The projection of magnetic force lines (L=4, 8) in 4 typical MLT sectors are also shown in the figure. Red lines indicate noon, and yellow lines indicate dusk. |
比较ENA-H与ENA-O分布可以看到,两者存在较明显的差异.以S1卫星(位于地心距离5.48RE, 54.2°MLat,17:02MLT)16 keV的ENA观测为例,氢和氧通量分布主要差异表现为:(1)最强通量所在的视线方向不同,考察通量最大的前6条视线,ENA-H视线位于仰角64°~68°,方位角144°~152°,而ENA-O视线位于仰角56°~60°,方位角140°~148°,二者方位角有重叠,但仰角差别明显;(2)ENA-H的最强通量比平均水平高出约6倍,但ENA-O高出不到3倍,即O的空间分布比H分散;(3)ENA-O在仰角76°~84°,方位角-30°~0°的观测视线上有较强通量次峰,而氢在此方向附近没有出现峰,通量值较低.ENA是高能离子的远程信息携带者,上述差异从某种角度反映了ENA视线穿过区域的H+与O+离子性态的差异.
为了进一步分析ENA-H与ENA-O分布反映的离子源性态差异,我们将卫星观测ENA的主要离子源区按L、MLAT、MLT进行三维网格划分(考虑2<L < 7.5,-55°<MLat < 55°, Alt.>600 km的区域,以及9000 km高度以下,55°<MLat < 78°的北半球极光/亚极光区,详见Ma等(2015)),然后考察所关注的视线穿过区域的纬度和地方时等特点.仍以S1卫星观测(此卫星观测视线对环电流区的覆盖优于S2卫星)的16 keV能段为例,在表 3和表 4中分别给出了ENA-H和ENA-O强通量(最大的前6个通量)视线穿过网格的情况,表中所示网格参数的含义参见Ma等(2015).可以发现,ENA-H强通量视线穿过的区域集中在高磁纬,磁地方时多在从黄昏至午夜前,少数达到午夜稍后;而且,这些视线都穿入到600 km高度以下的大气层,结合视线穿入大气层时的投掷角(与磁力线的夹角)等因素,它们都属于低高度发射LAE视线,强通量由沉降至低层大气的ENA-H与背景冷氧原子之间多种类型的多重电荷交换过程所致(Bazell et al., 2010).另一方面,ENA-O强通量视线都不是穿入到较低大气层的LAE视线,它们穿过区域的磁纬和L壳的覆盖范围很广,包含了南北两个半球的广大环电流区,与H相比ENA-O强通量视线穿过区域的磁地方时主要分布在午夜后至黎明,以及在黄昏前后.前面所述ENA-O在仰角76°~84°,方位角-30°~0°观测方向的较强通量次峰区,其最强通量视线仰角80°,方位角-20°,穿过18—20 h MLT黄昏后的南北两半球环电流区.
|
|
表 3 16 keV的ENA-H强通量视线穿过环电流离子源区网格的特征 Table 3 Features of RC ion source region grids that are passed through by LOSs with intensive fluxes for 16 keV ENA-H |
|
|
表 4 16 keV的ENA-O强通量视线穿过环电流离子源区网格的特征 Table 4 Features of RC ion source region grids that are passed through by LOSs with intensive fluxes for 16 keV ENA-O |
基于上述分析,可以推测午夜前发生了强的来自等离子体片和环电流的质子沉降,它们进入极光和亚极光区较低大气层,与背景大气冷氧原子发生多重电荷交换,引起强的ENA-H低高度发射(LAE),在本文所分析的磁暴主相极大附近,没有看到与氧离子沉降至较低大气层相联系的强LAE.另外,从ENA-H和ENA-O随观测视线分布的差异,可以推断环电流氢离子和氧离子通量随磁地方时以及L的分布会有明显差别.因为所观测到的ENA通量是视线积分效应,要获取离子的分布还有待下一步进行定量的反演.
4.2 磁暴主相增长期间ENA氢和氧通量强度的演化对图 4中显示的磁暴主相快速增长期间5个时段06:30—07:00,07:00—07:30,07:30—08:00,08:00—08:30, 09:30—10:00 UT的TWINS-S1卫星ENA原始数据(S2卫星无数据)进行氢氧分离,并计算ENA-H和ENA-O微分通量随观测视线的分布,图 11给出5个时段16 keV氢和氧通量分布图.
|
图 11 磁暴主相快速增长期间5个时段16 keV ENA-H(上)和ENA-O(下)微分通量随卫星观测视线的分布 Fig. 11 16 keV ENA-H (top) and ENA-O (bottom) differential flux distribution with satellite LOS for 5 time periods during the rapid growth of the storm main phase |
从图中可以看到,总体上ENA-H的通量随主相的增长而减弱,而ENA-O则明显增强.我们计算ENA氢与氧沿所有视线总通量的平均.图 12a给出ENA-H和ENA-O总平均通量随时间的变化;图 12b显示氢和氧平均通量之比随时间的变化,作为比较同时画出Dst指数,这里该指数由整点值线性内插得到.由图看出,随着Dst指数的减小,ENA-H总平均通量同步地减小,而ENA-O总平均通量则持续地增强,16 keV O与H平均总通量之比由4.2%(相应Dst约-25 nT)升至29.3%(Dst约-110 nT).图 12所示的结果与卫星当地测量到的大磁暴期间环电流O+和H+的能量密度随Dst变化的趋势是相似的(Daglis,1999).如前所述,TWINS卫星观测到的ENA,含有高高度发射(High Altitude Emision,HAE)和低高度发射LAE两种成分.HAE主要源于磁层环电流离子(主要是O+和H+)与地冕氢冷中性原子H的共振电荷交换;LAE由极光/亚极光区沉降离子进入较低大气层与背景中性氧原子O多重多种电荷交换生成,它集中出现在有限的观测视线上;绝大部分观测视线上测量到的是HAE.HAE通量强度是能量离子通量强度的视线积分,被地冕氢数密度和电荷交换截面所加权.对于16 keV能量的O+和H+离子,它们与冷中性原子H的电荷交换截面大致相等,这样沿视线的ENA-O通量与ENA-H通量将正比于其各自的离子源O+和H+的通量,这可以部分地粗略解释16 keV ENA-H和ENA-O平均通量随Dst指数的变化趋势与卫星当地测量到的大磁暴期间环电流O+和H+的能量密度随Dst变化趋势相似这一现象.
|
图 12 (a) ENA-H(蓝色)和ENA-O(红色)平均总通量随时间的变化;(b) ENA-O与ENA-H平均总通量之比率(红色)以及Dst指数(蓝色)随时间的演化 图中所示时间段处在磁暴主相快速增长期间;ENA-H和ENA-O的能量为16 keV. Fig. 12 (a) Variation of averaged total fluxes with time for ENA-H (blue) and ENA-O (red); (b) Time evolution of the averaged total flux ratio (red) of ENA-O to ENA-H and Dst index (blue) The time is during the rapid growth of the storm main phase; The energy of ENA-H and ENA-O is 16 keV. |
从图 12可以看出,能量为16 keV的ENA-O和ENA-H的平均总通量之比在时段3(07:30—08:00UT)至时段4(08:00—08:30UT)期间增长速率最大.我们尝试分别对于氢和氧,对这两个时段的ENA强通量视线穿过的离子源区(Ma et al., 2015)的磁地方时MLT进行统计,以探索离子源通量快速增长所在区域的MLT特征.这里,ENA强通量视线限定为:排除可能的LAE视线外,ENA通量值大于最强通量的0.6倍的视线;下面简称其为强通量视线.把强通量视线总数记为N,考虑00—03 h,03—06 h,…,21—00 h八个MLT扇区,将穿过某MLT扇区的强通量视线数目M与总数N之比定义为强通量视线在该MLT扇区的出现率.之所以仅选择分析ENA强通量视线地方时分布,是因为卫星位于极区上方约7RE处,以大致指向地心的方向为中心轴对内磁层进行立体锥束扫描,绝大部分视线穿过的离子源区在各自比较固定的且范围有限的地方时扇区;而一条视线穿过的纬度和L壳的范围通常比较大,往往会穿过几乎所有纬度和L壳;所观测到的ENA通量是离子源通量沿视线的积分效应,难以由其直接分辨离子源通量的纬度与L分布特征.图 13给出分别对于氢和氧,上述两个时段的ENA强通量视线在各MLT扇区上的出现率;为了考察后一时段相对前一时段的变化,图中还给出了各MLT扇区上出现率的增长值.
|
图 13 ENA强通量视线穿过离子源区域的MLT分布 上面一行是ENA-H,下面一行是ENA-O,左边一列是07:30—08:00UT时段,中间一列是08:00—08:30UT时段,右边一列是两时段之差. Fig. 13 MLT distribution of ion source areas that are transmitted through by ENAs′ strong flux LOSs Top row is for ENA-H, bottom for ENA-O. Left column is for 07:30—08:00UT, middle for 08:00—08:30UT, right column is the differences between the two time segments. |
从图 13左边两列可以看到,不论在时段3(07:30—08:00UT)还是时段4(08:00—08:30UT),不论是ENA-H还是ENA-O,强通量视线穿过离子源区的磁地方时均集中在18:00—00:00—06:00MLT的夜晚,除了08:00—08:30UT时段在06:00—09:00MLT黎明后扇区有较弱的出现率,白天没有强通量视线出现.这表明ENA强通量视线的磁地方时分布呈明显的昼夜不对称性,这一特征与磁暴主相期间环电流为昼夜不对称的部分环电流(Roelof,1987;Fok et al., 2003)相一致.两个时段ENA-H和ENA-O强通量视线最高的出现率都在21:00—00:00MLT午夜前扇区,这与传统理论预测的磁暴主相期间环电流离子强通量主要出现在黄昏至午夜前扇区(Fok et al., 2003)也是大体一致的.进一步考察前后两个时段强通量视线MLT分布的变化,从图 13右边一列可以看到,ENA-O与ENA-H存在明显差异.对于氧,在21:00—00:00—09:00的广大扇区,强通量视线出现率都有不同程度的上升,上升最大的磁地方时发生在午夜后00:00—03:00MLT扇区;而在18:00—21:00MLT出现率显著降低.另一方面,氢的强通量视线出现率在午夜前18:00—00:00MLT扇区增强,在午夜后00:00—06:00MLT扇区降低.这在一定程度上可以推测,前面分析得到的在08:00—08:30UT时段,ENA-O与ENA-H平均总通量之比相对于07:30—08:00UT时段的快速增长,可能主要由午夜后至黎明扇区ENA-O通量的增强而ENA-H通量减弱所引起.这一午夜后ENA-O通量增强的离子源位于什么纬度和L壳,仅由沿视线积分的ENA通量难以做出推断,有待进一步反演环电流H+和O+离子的三维分布,以及与其他卫星的电/磁场与能量离子当地测量数据的协同分析.
5 总结本文采用基于入射ENA粒子穿过碳膜发出的次生电子在微通道板探测器上激发的起始脉冲高度分布,对其进行统计拟合的方法(Valek et al., 2013),研发了将ENA两种主要成分氢与氧分离的TWINS卫星原始数据处理软件;其中所需要的起始脉冲高度(STPH)分布模型,参照Valek等给出的理论公式,利用TWINS卫星标定数据拟合确定未知参数,再加以计算得到.该模型适用于能质比1~32 keV情况,将模型与未参与建模的实测标定数据比较,模型可以基本上重现后者.将上述方法用于2012年7月15日大磁暴主相期间TWINS卫星测量的中能段ENA原始数据,统计拟合得到能质比为1,2,3,4,16,32 keV/amu的ENA-H事件计数占ENA(假定只含氢和氧)总计数的比例,并进一步计算得到ENA-H和ENA-O各自的微分通量随观测视线的分布;统计拟合分离的相对标准差在合理可信的范围.
对主相期间6个不同时间段,包括Dst指数快速下降期相继的5个时段,以及主相极大附近1个时段,16 keV的ENA-H和ENA-O微分通量分布的特征与差异及其随主相增长的演化进行了分析.结果发现,ENA-H与ENA-O微分通量的强度和随观测视线的分布特征都有明显差别,以主相极大附近16 keV观测为例,ENA-H有很强的低高度发射LAE,出现在磁地方时午夜前极光和亚极光纬度区,意味着较强的来自等离子片和环电流的质子沉降,进入到外层基底(exobase)以下较低高度大气层,与背景大气氧原子发生多重电荷交换;而ENA-O则未见有明显低高度发射LAE产生;ENA-O强通量主要来自穿过广大环电流区的观测视线,磁地方时主要在午夜之后以及黄昏前和黎明前后.磁暴主相快速增长期间,随着Dst指数的减小,ENA-H总平均通量同步地减小,而ENA-O总平均通量则持续地增强;当Dst指数由-25 nT下降至-110 nT时,16 keV能段的O与H平均总通量之比率由4.2%上升至29.3%,大致随环电流指数Dst绝对值的增大而成正比地增长.在ENA-O与ENA-H平均通量之比增长速率最大的时段,午夜后至黎明扇区ENA-O通量显著增强而ENA-H通量减弱.本文得到的磁暴主相期间ENA-H和ENA-O平均总通量随Dst指数的变化趋势与以往卫星当地测量得到的大磁暴期间H+和O+能量密度随Dst指数变化的趋势一致.
致谢感谢美国TWINS卫星计划团队通过互联网提供TWINS-ENA数据,感谢J.Goldstein博士和P.W.Valek对本文工作的支持与帮助.
Barabash S, Brandt P C, Norberg O, et al.
1997. Energetic neutral atom imaging by the Astrid microsatellite. Advances in Space Research, 20(4-5): 1055-1060.
DOI:10.1016/S0273-1177(97)00560-7 |
|
Bazell D, Roelof E C, Sotirelis T, et al.
2010. Comparison of TWINS images of low-altitude emission of energetic neutral atoms with DMSP precipitating ion fluxes. Journal of Geophysical Research, 115(A10): A10204.
DOI:10.1029/2010JA015644 |
|
Brandt P C, DeMajistre R, Roelof E C, et al.
2002. IMAGE/high-energy energetic neutral atom: Global energetic neutral atom imaging of the plasma sheet and ring current during substorms. Journal of Geophysical Research, 107(A11): SMP 21-1-SMP 21-13.
DOI:10.1029/2002JA009307 |
|
Burch J L.
2000. IMAGE mission overview. Space Science Reviews, 91(1-2): 1-14.
|
|
Burch J L.
2003. The first two years of image. Space Science Reviews, 109(1-4): 1-24.
DOI:10.1023/B:SPAC.0000007510.32068.68 |
|
Daglis I A, Thorne R M, Baumjohann W, et al.
1999. The terrestrial ring current: origin, formation, and decay. Reviews of Geophysics, 37(4): 407-438.
DOI:10.1029/1999RG900009 |
|
DeMajistre R, Roelof E C, Brandt P C, et al.
2004. Retrieval of global magnetospheric ion distributions from high-energy neutral atom measurements made by the IMAGE/HENA instrument. Journal of Geophysical Research, 109(A4): A04214.
DOI:10.1029/2003JA010322 |
|
Fahr H J, Fichtner H, Scherer K.
2007. Theoretical aspects of energetic neutral atoms as messengers from distant plasma sites with emphasis on the heliosphere. Reviews of Geophysics, 45(4): RG4003.
DOI:10.1029/2006RG000214 |
|
Fok M C, Moore T E, Wilson G R, et al.
2003. Global ENA image simulations. Space Science Reviews, 109(1-4): 77-103.
DOI:10.1023/B:SPAC.0000007514.56380.fd |
|
Goldstein J, McComas D J.
2013. Five years of stereo magnetospheric image by TWINS. Space Science Reviews, 180(1-4): 39-70.
DOI:10.1007/s11214-013-0012-8 |
|
Lindsay B G, Stebbings R F.
2005. Charge transfer cross sections for energetic neutral atom data analysis. Journal of Geophysical Research: Space Physics, 110(A12): A12213.
DOI:10.1029/2005JA011298 |
|
Lotko W.
2007. The magnetosphere-ionosphere system from the perspective of plasma circulation: A tutorial. Journal of Atmospheric and Solar-Terrestrial Physics, 69(3): 191-211.
DOI:10.1016/j.jastp.2006.08.011 |
|
Lu L, Mckenna-Lawlor S, Barabash S, et al.
2010. Comparisons between ion distributions retrieved from ENA images of the ring current and contemporaneous, multipoint ion measurements recorded in situ during the major magnetic storm of 15 May 2005. Journal of Geophysical Research: Space Physics, 115(A12): A12218.
DOI:10.1029/2010JA015770 |
|
Ma S Y, Yan W N, Xu L.
2015. Tomographic reconstruction of storm time RC ion distribution from ENA images on board multiple spacecraft. Journal of Geophysical Research, 120(11): 9934-9354.
DOI:10.1002/2015JA021601 |
|
McComas D J, Allegrini F, Baldonado F, et al.
2009. The two wide-angle imaging neutral-atom spectrometers (TWINS) NASA mission-of-opportunity. Space Science Reviews, 142(1-4): 157-231.
DOI:10.1007/s11214-008-9467-4 |
|
Mitchell D G, Jaskulek S E, Schlemm C E, et al.
2000. High energy neutral atom(HENA) imager for the IMAGE mission. Space Science Reviews, 91(1-2): 67-112.
|
|
Mitchell D G, Brandt P C, Roelof E C, et al.
2003. Global imaging of O+ from IMAGE/HENA. Space Science Reviews, 109(1-4): 63-75.
DOI:10.1023/B:SPAC.0000007513.55076.00 |
|
Perez J D, Fok M C, Moore T E.
2000. Deconvolution of energetic neutral atom images of the Earth's magnetosphere. Space Science Reviews, 91(1-2): 421-436.
|
|
Perez J D, Grimes E W, Goldstein J, et al.
2012. Evolution of CIR storm on 22 July 2009. Journal of Geophysical Research, 117(A9): A09221.
DOI:10.1029/2012JA017572 |
|
Pollock C J, Asamura K, Baldonado J, et al.
2000. Medium energy neutral atom (MENA) imager for the IMAGE Mission. Space Science Reviews, 91(1-2): 113-154.
|
|
Pollock C J, Son-Brandt P C, Burch J L, et al.
2003. The role and contributions of energetic neutral atom (ENA) imaging in magnetospheric substorm research. Space Science Reviews, 109(1-4): 155-182.
DOI:10.1023/B:SPAC.0000007518.93331.d5 |
|
Roelof E C.
1987. Energetic neutral atom image of a storm-time ring current. Geophysical Research Letters, 14(6): 652-655.
DOI:10.1029/GL014i006p00652 |
|
Roelof E C, Skinner A J.
2000. Extraction of ion distributions from magnetospheric ENA and EUV images. Space Science Reviews, 91(1-2): 437-459.
|
|
Valek P W, Goldstein J, McComas D J, et al.
2013. Oxygen-hydrogen differentiated observations from TWINS: The 22 July 2009 storm. Journal of Geophysical Research, 118(6): 3377-3393.
DOI:10.1002/jgra.50204 |
|
Valek P W, Goldstein J, McComas D J, et al.
2014. Large magnetic storms as viewed by TWINS: A study of the differences in the medium energy ENA composition. Journal of Geophysical Research, 119(4): 2819-2835.
DOI:10.1002/2014JA019782 |
|
2017, Vol. 60

