2. 兰州大学土木工程与力学学院, 兰州 730000;
3. 中国地震局地球物理研究所, 北京 100081
2. Lanzhou Institute of Seismology, China Earthquake Administration, Lanzhou 730000, China;
3. Institute of Geophysics, CEA, Beijing 100081, China
地壳岩石中地震波速度、各向异性等特性随应力的变化研究发现剪切波的时间延迟随地震活动性及应力积累有关(Carmpin et al., 1990;Gao et al., 1998; 高原, 2000;Peng and Ben-Zion, 2006;Gao and Crampin, 2008;Niu et al., 2008).应用气枪主动源重复探测可以了解区域深部应力状态的时空演化(陈颙和朱日祥, 2005; 陈颙等, 2006, 2007).祁连山主动源探测的主要区域是祁连山和河西走廊地区,祁连山是青藏块体与阿拉善块体的挤压缝合地带,该地区构造活动强烈、断裂发育、强震活动频繁(楚全芝等,1995;朱子政等,1997).在祁连山地震高发区开展地下应力状态的时空演化研究,对认识青藏高原的演化和地震发生机理都具有重要的科学意义.
祁连山主动源激发场地地处祁连山腹地,距张掖市中心53 km,位于黑河二级电站蓄水库(西流水水库),水库库容达9000多万方,接近大型水库,大坝附近年平均水深近90 m,激发点距离大坝约1 km,年平均水深约55 m.激发源由4杆2000立方英寸(1 in=2.54 cm)的大容量气枪阵构成,总容量达8000立方英寸,每次激发时每杆气枪气压约为2100~2200psi (约为15 MPa).观测台网由40个短周期和14个宽频带固定台站组成,分布于以激发场地为中心的300 km半径范围内,主要分布于祁连山北部地区、河西走廊以及走廊北部山区,大部分台站沿断裂分布.每周进行一整夜的连续激发,每个台站能够至少获得50次的波形记录,应用波形叠加原理能够得到1次信噪比较高的波形记录,每周能够对监测区地下结构观测1次(王宝善等,2016;张元生等,2016).
祁连山主动源重复探测系统于2015年7月9日正式投入使用,每周进行1夜的连续激发,2015年9月30日至11月5日期间进行了35个昼夜的连续激发实验,截止2016年10月获得约7000次激发,每次激发除了被54个台站记录到之外,同时喜马拉雅二期架设的部分流动宽频带台站也获得了记录,其记录时段为2015年7月至2016年4月(之后流动台站撤回).在这期间,观测台网内发生了2次强震,其分别是2015年11月23日祁连5.3级地震和2016年1月21日门源6.4级地震.本文的目的是使用这些观测资料分析研究这2次强震发生前后观测数据是否存在变化或存在怎样的变化.
2 资料处理过程 2.1 数据收集整理对40个短周期台(100 Hz~2 s)、14个宽频带固定台和8个宽频带流动台(50 Hz~60 s)的记录资料进行了收集(图 1),对2015年7月9日—2016年10月31日气枪激发时段的数据进行了整理.由于流动台于2016年5月全部被撤回,其流动台各台的观测时间长短有所区别.进一步选择激发场地以东距离震中约100 km范围的台站,共选出台站22个,其中短周期台站12个、固定台站2个和流动台站8个(长周期台或宽频带流动台).
|
图 1 主动源激发场地、所有记录台站及2次地震震中分布 Fig. 1 Map showing sites of active source excitation, all record stations and epicenters of two major earthquakes |
以激发源最近的一台站(ZDY22,距离气枪激发源约80 m)为参考台,截取某次激发记录波形信号为原始信号模板,利用互相关处理技术对参考台的每次激发记录波形进行互相关处理,获得相对的气枪激发时刻.在获得激发时刻的基础上,以激发时刻为准,对每个台站进行时长为200 s的记录波形数据截取.对以上22个台站的波形截取数据,进行去倾处理、去直流量处理和畸变记录波形人工删除,对地震记录波形或振幅较大的干扰记录波形进行阈值处理.在此基础上,对每一个台站的所有记录进行线性叠加,其叠加波形作为各自台站的参考波形模板, 同时对每个台站同一夜的激发波形数据进行叠加.如果其叠加结果波形信噪比差,可以进行相邻2夜的激发波形数据叠加,达到提高信噪比的目的.对2015年10月至11月期间的不间断激发数据,数据叠加时长为3天.对波形数据通过以上叠加处理后,再进行3~7 Hz带通滤波处理,可以获得时间间隔为3天、7天或14天各台站的叠加记录波形.对叠加记录波形作进一步挑选,在22个台站中共挑选出信噪比高的台站16个(图 2),其中短周期台站11个、固定台站2个和流动台站3个.倒三角为低信噪比台站,不参与数据分析,其中台站ZDY35和63002主要存在台基问题,同时背景噪声也较大;流动台63009、63010、63013和63019等4个台站位于板块边界带以南,可能是边界带对地震波影响较大,难以叠加出清晰的激发地震波信号.
|
图 2 主动源激发场地、所选台站及2次地震震中分布 Fig. 2 Map showing sites of active source excitation, selected record stations and epicenters of two major earthquakes |
应用各台站的震相波形参考模板,分别对其台站的短时段叠加波形进行滑动窗互相关处理,相关函数计算公式为(Snieder et al., 2002):
|
其中,u(t)为整个时段的叠加波形,定义为参考模板波形(图 3a),


|
图 3
ZDY38台站计算震相走时
(a)波形参考模板u(t);(b)短时段叠加波形 ;(c)相关系数.
Fig. 3
Sketch of travel-time calculation of seismic phase at ZDY38 station
(a) Reference waveform model (u(t)); (b) Interval stacked waveform ( ); (c) Correlation coefficient.
|
2015年11月23日祁连5.3级地震和2016年1月21日门源6.4级地震震中相距117 km,位于青藏地块与阿拉善地块的边界带的南边界带上,祁连5.3级地震的发震断裂为托来山断裂(F1),其断裂为左旋走滑断裂,门源6.4级地震的发震断裂可能是冷龙岭断裂(F2) 以北的次级逆冲断裂.地震台站主要分布震中以北区域,5.3级地震最近的地震台站为63001号台,距离为14 km,6.4级地震最近的地震台站为ZDY38号台,距离为25 km.对16个台站的Pg和Sg震相走时变化量进行时序分析,在2次地震震中附近地区台站观测到了地震发生前后的走时变化,变化特征具有一致性.其他远离震中的台站的记录这种变化特征不明显(图 4).位于河西走廊中部的台站信噪比低于山里的台站信噪比(如ZDY33、ZDY36和ZDY40等台站的信噪比低),其计算震相走时变化量的误差相对较大.另外ZDY28号台在2016年5月20日至6月5日期间有几天记录波形干扰较大(信噪比低).
|
图 4 远离震中的台站Pg和Sg震相走时变化Δt时序 Fig. 4 Δt sequence of travel-time changes of Pg and Sg seismic phases at stations far away from epicenters |
祁连5.3级地震发生于主动源激发场地以南约87 km处(图 2),在地震发生前后,震中附近有3个台站记录到了Pg和Sg震相的走时变化(图 5),记录台站分别是流动台站63001、63005和固定台祁连(QIL),其震中距分别为14、58 km和26 km.走时变化特征为:2015年8月初走时开始下降至9月初达到低值,之后开始回升至10月初达到高值持续至11月初再次下降,在持续下降过程中发生了地震.根据QIL固定台资料(流动台撤回)地震发生前1周恢复正常.震相走时变化呈“V”字型或“双V”字型变化结构,地震发生在第2个“V”字型末端.第1个“V”字形成时长为2个月左右,第2个“V”字形成时长约为20天,震源区长轴长约为60 km,与发震断层(F2) 基本平行.
|
图 5 5.3级地震震中附近台站记录的Pg和Sg震相走时变化Δt时序 Fig. 5 Travel-time change Δt sequence of Pg and Sg seismic phases at stations nearby epicenter of MS5.3 earthquake |
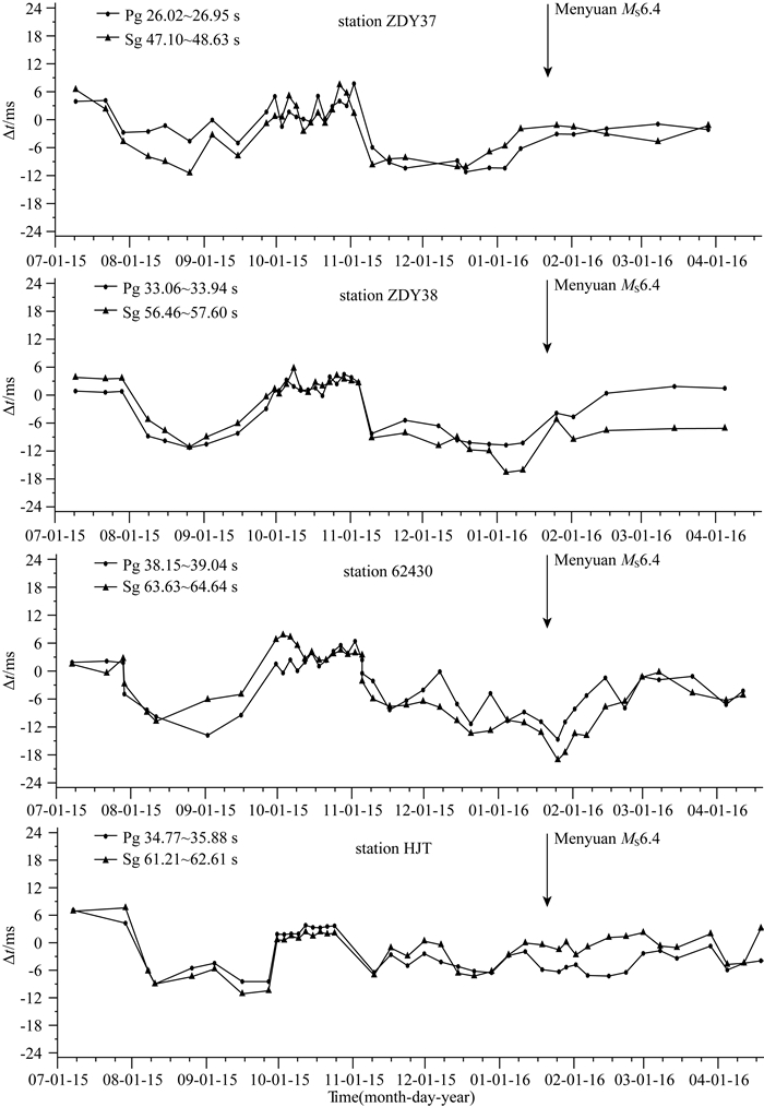
门源6.4级地震发生于主动源激发场地东南,距离激发场地178 km(图 2),在震中附近有4个台站记录到了Pg和Sg震相的走时变化(图 6),台站分别是2个短周期台(ZDY38和ZDY37)、1个固定台(HJT)和1个流动台(62430),其震中距分别为25、41、38 km和54 km.走时下降变化开始于2015年8月初,9月15日左右达到低值,之后开始回升至10初达到高值持续至11月15日左右再次下降至12月底达到低值,之后回升至2016年3月初基本恢复正常.震相走时变化呈“V”字型或“双V”字型.第1个“V”字形成时长为2个月左右,第2个“V”字形成时长约为3个半月,地震发生在第2个“V”字型的形成过程中的回升阶段.震相到时变化特征与5.3及地震特征相似,同样为“V”字型或“双V”字型.
|
图 6 6.4级地震震中附近台站记录的Pg和Sg震相走时变化Δt时序 Fig. 6 Travel-time change Δt sequence of Pg and Sg seismic phases at stations nearby epicenter of MS6.4 earthquake |
Pg和Sg震相走时变化存在一定的差异(小于2 ms),但差异特征并不明显,可能受计算系统的精度所致.影响震相走时计算精度的主要因素有波形的相似度、信噪比、信号频带宽度和主频大小等,我们通过均方差的形式可以给出每个台站的震相走时计算误差.在7个异常台站中误差最大的是62430台站,其均方差约为±2 ms,误差最小的是zdy38台站,其均方差约为±0.6 ms,在一般情况下,固定台站的信噪比高,计算得到的走时变化量精度高,其次是短周期台站,流动台站的精度相对低.总体上7个异常台站的走时变化量计算误差位于±(0.6~2) ms之间,异常幅度一般大于4倍误差,震源区速度变化而引起的走时变化是可信的.
在2次地震走时变化记录的台站中,各台站记录变化特征基本一致,都呈现为“V字型”变化过程.但同一地震的不同台站之间也存在细微的差异,主要表现为异常幅度大小差异和异常出现时间前后的细小差异,这些差异可能是台站观测环境和地下介质不同所致.两次地震的异常同样存在差异,但基本特征大致相同.
4 结论与讨论通过系列台站主动源激发地震波数据处理和对两次强震分析研究,其主要结论为:利用主动源重复激发地震波可以对地下速度结构变化进行实时监测,至少可以获得地震波射线路径上的速度随时间的变化关系;两次强震发生前后在各自震源区的台站存在明显的Pg和Sg震相走时变化,其震相走时变化具有一致性;两次强震发生前后Pg和Sg震相走时变化形态特征为“V”字型或“双V”字型,地震发生在第2个“V”字的形成过程或结束时段.
“震源硬化模型”说明岩石在受力过程中在其失稳源区存在“硬化”现象,硬化过程中其介质的刚度会增加(陈立德和付虹,2003).刚度增加可能导致速度增加,从而使走时缩短.由于地震波走时的变化特征可能与地震大小、震源区大小、源区硬化程度以及台站的观测环境等因素有关,地震之前是否一定存在上述地震变化特征?还需要继续观测和检验.随着主动源资料的不断丰富和震例的增多,对地震孕育过程的认识会越来越清楚.主动源方法可能成为地震预测的一种新方法和新途径.
致谢感谢中国地震局地球物理研究所王宝善研究小组和中国科学技术大学姚华健研究小组共同提供的资料处理程序,感谢匿名审稿专家提出的十分宝贵的修改意见和建议!
Carmpin S, Booth D C, Evans R, et al.
1990. Changes in shear wave splitting at Anza near the time of the North palm springs earthquake. J. Geophys. Res., 95(B7): 11197-11212.
DOI:10.1029/JB095iB07p11197 |
|
Chen L D, Fu H. 2003.
Basis and Practice of Earthquake Forecast (in Chinese). Beijing: Seismological Press: 186-187.
|
|
Chen Y, Wang B S, Ge H K, et al.
2007. Proposed of transmitted seismic stations. Advances in Earth Science (in Chinese), 22(5): 441-446.
|
|
Chen Y, Zhou H W, Ge H K.
2006. Seismic array in North China. Journal of Geodesy and Geodynamics (in Chinese), 25(4): 1-5.
|
|
Chen Y, Zhu R X.
2006. Proposed project of "underground bright lump". Advances in Earth Science (in Chinese), 20(5): 485-489.
|
|
Chu Q Z, Wang L M, Guo S M.
1995. Segmentation and risk estimation and risk earthquakes on Qilianshan active faul zone. Seismology and Geology (in Chinese), 17(2): 116-122.
|
|
Gao Y.
2000. Shear-wave splitting patterns of marbles in critical state of rupture. Earthquake Research in China (in Chinese), 16(3): 197-202.
|
|
Gao Y, Crampin S.
2008. Shear-wave splitting and Earthquake forecasting. Terra Nova, 20(6): 440-448.
DOI:10.1111/ter.2008.20.issue-6 |
|
Gao Y, Wang P D, Zheng S H, et al.
1998. Temporal changes in shear-wave splitting at an isolated swarm of small earthquakes in 1992 near Dongfang, Hainan Island, southern China. Geophys. J. Int., 135(1): 102-112.
DOI:10.1046/j.1365-246X.1998.00606.x |
|
Niu F L, Silver P G, Daley T M, et al.
2008. Preseismic velocity changes observed from active source monitoring at the Parkfield SAFOD drill site. Nature, 454(7201): 204-208.
DOI:10.1038/nature07111 |
|
Peng Z G, Ben-Zion Y.
2006. Temporal changes of shallow seismic velocity around the Karadere-Düzce branch of the north Anatolian fault and strong ground motion. Pure Appl. Geophys., 163(2-3): 567-600.
DOI:10.1007/s00024-005-0034-6 |
|
Snieder R, Grêt A, Douma H, et al.
2002. Coda wave interferometry for estimating nonlinear behavior in seismic velocity. Science, 295(5563): 2253-2255.
DOI:10.1126/science.1070015 |
|
Wang B S, Ge H K, Wang B, et al.
2016. Practices and advances in exploring the subsurface structure and its temporal evolution with repeatable artificial sources. Earthquake Research in China (in Chinese), 32(2): 168-179.
|
|
Zhang Y S, Guo X, Qin M Z, et al.
2016. The construction of active source repeated monitoring in the Qilian Mountains of Gansu Province. Earthquake Research in China (in Chinese), 32(2): 209-215.
|
|
Zhu Z Z, Yao J L, Yang J H.
1997. Study on the seismicity features of MT.Qilian seismic zone. Northwestern Seismological Journal (in Chinese), 19(4): 25-29.
|
|
陈立德, 付虹. 2003.
地震预报基础与实践. 北京: 地震出报社: 186-187.
|
|
陈颙, 王宝善, 葛洪魁, 等.
2007. 建立地震发射台的建议. 地球科学进展, 22(5): 441–446.
|
|
陈颙, 周华伟, 葛洪魁.
2006. 华北地震台阵探测计划. 大地测量与地球动力学, 25(4): 1–5.
|
|
陈颙, 朱日祥.
2005. 设立"地下明灯研究计划"的建议. 地球科学进展, 20(5): 485–489.
|
|
楚全芝, 汪良谋, 虢顺民.
1995. 祁连山强震构造带分段及其地震危险性评估. 地震地质, 17(2): 116–122.
|
|
高原.
2000. 破裂临界状态下大理岩的剪切波分裂特征. 中国地震, 16(3): 197–202.
|
|
王宝善, 葛洪魁, 王彬, 等.
2016. 利用人工重复震源进行地下介质结构及其变化研究的探索和进展. 中国地震, 32(2): 168–179.
|
|
张元生, 郭晓, 秦满忠, 等.
2016. 甘肃祁连山主动源重复探测项目建设及震源重复性分析. 中国地震, 32(2): 209–215.
|
|
朱子政, 姚吉禄, 杨建辉.
1997. 祁连山地震带地震活动特征研究. 西北地震学报, 19(4): 25–29.
|
|
2017, Vol. 60

