2. 中国科学院大学地球科学学院, 北京 100049
2. College of Earth Science, University of Chinese Academy of Sciences, Beijing 100049, China
天山造山带西北部紧邻哈萨克地盾,东北缘紧靠中国的准噶尔盆地,南邻塔里木盆地(图 1),西起哈萨克斯坦的咸海,经过乌兹别克斯坦、塔吉克斯坦、吉尔吉斯斯坦,直至中国新疆,总长2400 km.天山造山带形成于古生代,后经历了板块俯冲和古亚洲洋闭合等构造活动.新生代以来印度板块和欧亚板块碰撞的远端效应活化并造就了现今天山造山带的地貌形态(Sobel and Dumitru,1997; Molnar and Ghose,2000; Xiao et al.,2013).地震层析成像结果显示,中天山下方200 km至地幔转换区深度上存在着局部高速异常(如 Lei and Zhao,2007);在塔里木盆地和哈萨克地盾下方410 km间断面(以下简称为410)附近存在低速异常(Vinnik and Saipbekova,1984; Makeyava et al.,1992; Xu et al.,2002,2006,2007; Friederich,2003; Huang and Zhao,2006; Lei and Zhao,2007).天山造山带及周边地体复杂的上地幔结构很可能与天山造山带的形成及再活化过程中板块俯冲和岩石圈物质拆沉(Vinnik and Saipbekova,1984; Lei and Zhao,2007; Xu et al.,2007),下地幔热物质上涌(Tian et al.,2010)以及地幔橄榄岩脱水熔融等地球动力学过程有关.因此对410附近速度结构尤其是低速异常的范围和强度以及410的起伏形态进行有效的地震学探测,有助于进一步理解新生代以来天山造山带及周边地体的地球动力学过程以及亚欧板块与印度板块碰撞对地球内部物性构成及对水等挥发性物质的化学和物理效应的影响(Tian et al.,2010; Lessing et al.,2014).
|
图 1 地震震中位置和台站分布图 图中沙滩球表示地震震源机制解. 震源参数信息详见表 1,其中Ev.1主要用于P波三重震相研究; 插图中Ev.2和Ev.3用于中天山东北部下方局部低速异常体远震测试; 三角形标出了台站的位置,其中红色三角形表示P波走时出现明显延迟的台站; I,II和III表示三个研究子区域; 黑色叉号为P波射线在375 km深度上的穿透点在地表的投影. Fig. 1 The locations of earthquakes(beach balls)and seismic stations used in the study The beach balls represent focal mechanisms with detailed source information given in Table 1. Ev.1 is used in P-wave triplication; Ev.2 and Ev.3(in the lower inset)provide the teleseismic waveforms to constrain the local anomaly beneath northeastern part of central Tian Shan; The triangles indicate the locations of seismic stations,of which the red ones represent the seismic stations with P-wave arrival distinctly delayed; I,II and III label three profiles in the whole area. Black crosses indicate the ground projections of the piercing points at 375 km depth. |
地幔转换区顶部的410 km间断面一般被认为是(Mg,Fe)2SiO4从橄榄石向瓦兹利石(Wadsleyite)结构相变面(Helffrich,2000; Karato et al.,2000),其起伏形态与附近地幔温度变化有关:由于正的克拉伯龙斜率,地幔低温异常可能会造成该间断面的抬升;相反,地幔高温异常可能会造成该断面变深(Collier et al.,2001; Song et al.,2004; Deuss,2007).自Revenaugh和Sipkin(1994)发现在日本海和黄海地区下方410之上存在低速层以来,很多学者陆续在全球或者区域范围内对该低速结构的存在状态和性质特点展开研究,发现该低速层的厚度和低速异常值区域性变化很大(Chu et al.,2014; Song et al.,2004; 李国辉等,2014).目前有学者认为该低速层是地球深部的水导致地幔橄榄岩部分熔融而形成的(Hirth and Kohlstedt,1996),而深部水的来源主要有俯冲到地幔转换区的板块物质脱水、地幔柱上行过程中含水硅酸盐脱水、地幔转换带水滤过程中产生的水(Bercovici and Karato,2003; 周晓亚等,2015; 郑永飞等,2016).
基于高密度地震台网的三重震相方法是探测地球内部速度变化的有效方法之一(Wang et al.,2006; Wang and Niu,2011; Zhang et al.,2012; Chu et al.,2012b; Li et al.,2013; 李国辉等,2014; 崔辉辉等,2016).天山造山带西南的兴都库什—帕米尔地区是世界上少有的陆陆碰撞中深源地震区(宁杰远和臧绍先,1990),而中深源地震一般具有较浅震更简单的震源时间函数,非常有利于三重震相的识别.本文基于中国数字地震台网(CDSN:China Digital Seismograph Network)(郑秀芬等,2009)的地震波形资料,利用P波三重震相的方法对中天山造山带及塔里木盆地410 km的形态及其附近P波速度结构进行精确探测,并以此探讨与之相关的地球动力学过程.
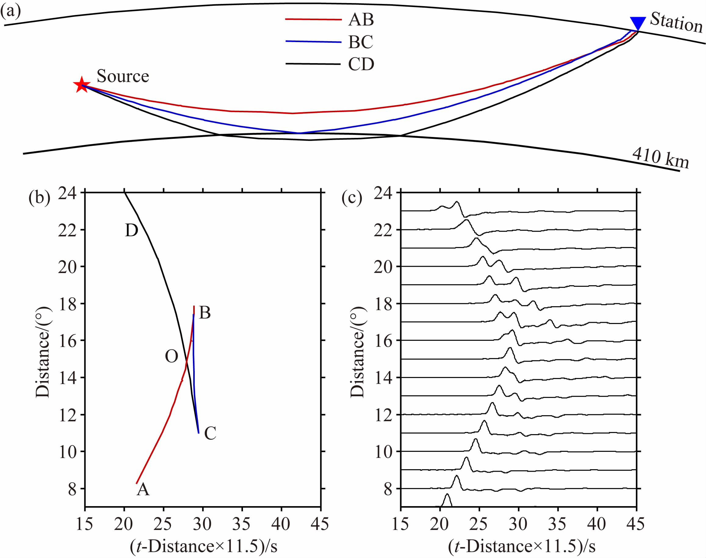
2 数据和方法 2.1 三重震相方法当地球内部存在速度间断面时,走时曲线会发生回折并产生三重震相.如图 2a所示,三重震相包括来自间断面之上的回折波震相AB,间断面上的反射波震相BC以及间断面之下的回折波震相CD.单个台站所记录到的三重震相的射线路径在地表浅层和岩石圈内大致相同,主要差别在间断面附近(Tajima et al.,2009; Wang and Niu,2011; Zhang et al.,2012; 崔辉辉等,2016).利用密集台网记录到的三重震相的相对走时、振幅信息可以对间断面起伏形态及附近的速度结构进行有效约束(叶玲玲和李娟,2012; 李国辉等,2014).
|
图 2 410附近P波三重震相的射线路径(a)、 理论走时(b)和合成波形图(c) 图中走时曲线,射线路径和合成波形计算所用的理论模型为IASP91(Kennett and Engdahl,1991),震源深度为241 km; 410 km间断面上方的回折波(AB),410之上的反射波(BC)及410下方的回折波(CD)分别用红色,蓝色和黑色实线表示. 图b中,字母A,B,C,D和O表示对各震相分支的标记. Fig. 2 Seismic ray paths(a),theoretical travel times(b)and synthetic seismograms(c)of the P-wave triplication across the 410 IASP91(Kennett and Engdahl,1991)is the model used for ray path,travel-time and synthetic waveforms and the focal depth is 241 km. The direct wave propagating above the discontinuity(AB),the wide-angle reflection off the discontinuity(BC),and the waves diving below the discontinuity(CD)are shown in red,blue and black lines,respectively. In(b)the phases are marked with the symbols A,B,C,D and O. |
本文使用TauP(Buland and Chapman,1983)计算了一维模型射线路径和理论走时,并利用反射率法(Wang,1999)和有限差分方法FD(Song and Helmberger,2007; Sun and Helmberger,2011; Chu et al.,2012a; Li et al.,2014; Chu and Helmberger,2014)进行相应的一维和二维理论波形计算.
2.2 数据收集和处理我们选取了中国数字地震台网(郑秀芬等,2009)记录到的2016年1月12日发生在兴都库什—帕米尔地区(图 1)的一个MW5.7中源地震Ev.1(表 1),震源参数引自美国国家地震信息中心目录(NEIC: National Earthquake Information Center),震源机制解引自Global CMT(Centroid-Moment-Tensor)质心矩张量解(Dziewonski et al.,1981).Ev.1震源时间函数比较简单,P波持续时长在1 s左右,同时波形记录信噪比较高,有助于三重震相的识别(图 4);S波波形资料信噪比较差,因而本文没有使用S波三重震相.
|
|
表 1 地震震源参数表 Table 1 Source parameters of the earthquakes |
|
图 4 Ⅰ,Ⅱ和Ⅲ三个子区域观测P波三重震相 蓝色实线为基于IASP91模型的P波三重震相走时曲线; 字母A,B,C,D和O表示对各震相分支的标记; 图(b)中红色波形表示走时出现明显延迟的局部台站波形记录. Fig. 4 Observed P-wave triplications for the profiles Ⅰ,Ⅱ and Ⅲ The travel times of P-wave triplication based on the IASP91 are shown in blue lines. In(b),the waveforms in red mark the seismograms with the travel times obviously delayed in several local stations. |
震源深度的误差会影响到三重震相的形态(Wang and Niu,2011; 崔辉辉等,2016),因此Ev.1的震源深度需要重新定位.我们从美国地震学研究联合会网站(http://www.iris.edu/[2016-06-25])收集了全球地震台网(GSN: Global Seismographic Network)30°~95°震中距范围内的波形资料(图 3a),选用了其中信噪比较好,方位角分布均匀的台站波形记录,手动读取震相pP和P到时,计算相应的走时差;基于IASP91(Kennett and Engdahl,1991)模型,对震源深度进行扰动,使pP-P的理论走时差与观测走时差的残差均方根最小(图 3b),从而获得重定位后的震源深度为241 km.
|
图 3 Ev.1震源深度重定位 图(a)中沙滩球标出了Ev.1震中位置; 黑色三角形是深度重定位所用的台站; 黑色实线为P波射线路径在地表的投影; 图(b)中横轴表示震源扰动深度,纵轴表示IASP91模型下pP-P走时相对时差的残差均方根. Fig. 3 The focal depth relocation of the Ev.1 In(a),the beach ball notes the epicenter location of Ev.1 and the black triangles represent the stations used in the focal depth relocation. The black lines are the ground projections of P-wave ray paths. In(b),the horizontal axis is the perturbation of the focal depth; the vertical axis is the RMS of the pP-P differential travel time with respect to the IASP91 model. |
我们利用SAC(Seismic Analysis Code)(Helffrich et al.,2013)对中国数字地震台网记录的原始波形资料进行了去均值、去线性趋势、去除仪器响应等处理,并将速度记录转化为位移记录后进行了0.05~1.0 Hz的带通滤波,以提升信噪比.为了对研究区域下方410 km的形态和附近速度结构横向变化进行研究,我们将研究区域分为I、II和III三个子区域(图 1),各子区域观测波形见图 4.图 4b中波形到时明显延后的波形记录以红色标出以便区分,并对应图 1中的红色台站标志.
2.3 正演模拟测试通过对观测波形的观察和分析(图 4),我们在IASP91模型基础上构建了三个改进模型进行模拟测试(图 5):410 km下降至440 km(MDF1),410 km上方存在一个厚度为30 km,速度降为3%的低速层(MDF2)和410 km下方地幔转换带P波速度降低1%(MDF3).通过对比不同模型的P波走时及波形,我们可以得出不同模型下P波三重震相的变化特征,进而在观测波形中检验和测试是否存在这些特征.
|
图 5 不同P波速度模型下的走时与合成波形图 基于IASP91模型的三个改进模型MDF1,MDF2和MDF3. MDF1(a): 410下降至440 km; MDF2(b): 410上方存在一个30 km厚低速层,速度异常为-3%; MDF3(c): 410下方地幔转换带速度降低1%. 正演模拟所用的震源深度为241 km. Fig. 5 Travel times and synthetic seismograms for different P-wave velocity models MDF1,MDF2 and MDF3 are three modified models from IASP91. In(a),410 has depressed to 440 km; in(b),a low velocity layer atop 410 with the thickness of 30 km and the P-wave velocity decreased by 3%; in(c),the P-wave velocity of MTZ decrease by 1% below 410. The focal depth in these models is 241 km. |
对于IASP91模型(图 5中黑色实线),AB震相终止震中距(端点B)约为18.1°,CD震相起始震中距(端点C)约为11.5°,AB和CD震相大致在15°相交(交点O).
当间断面出现30 km下降(模型MDF1),AB震相并无明显变化,但CD震相明显延迟,且CD震相的起始震中距(端点C)明显大于标准模型,约为12.5°;另外一个典型特征是随震中距增加,CD震相到时延迟逐渐减小:端点C走时延迟约2 s,而端点D走时延迟约0.8 s.
当间断面上方存在一个厚度为30 km的低速层且P波速度降低3%(模型MDF2)时,AB震相斜率在震中距15°~20°范围内明显小于标准模型;BC震相明显变长,端点B延伸至20°,且BC震相明显延迟;同时CD震相起始震中距(端点C)相对较小,约为11°,CD震相到时出现整体延迟,延迟量大致相同(0.8 s).
当间断面下方地幔转换带P波速度降低1%(模型MDF3)时,CD震相走时延迟量随震中距增加而增加.
3 观测波形分析与波形模拟由I子区域P波三重震相形态(图 4a)可以得出,AB震相的斜率在16°~20°震中距范围内略小于IASP91模型理论AB震相;KUC、LTA、KOL和KMS台波形记录中的BC震相出现了明显的延迟,且BC震相的终止震中距(尖端B,大于20°)明显大于IASP91模型的理论预测值(18°);CD震相在MUL、BKO、YMS和YWU台(图 4a)波形记录中也都出现了明显的延迟,说明I区域410 km上方存在低速异常.随震中距增加,CD震相到时延迟逐渐减小:端点C走时延迟约1.2 s,而端点D走时延迟约0.8 s,说明410很可能下降,同时410下方速度结构可能保持不变.通过波形拟合试错,我们最终得到能够很好拟合P波三重震相的一维速度模型TSTB-A(图 6b).
|
图 6 I子区域观测波形与合成波形(a)及速度模型(b) 图(a)中黑色实线和蓝色实线分别是基于IASP91和最适模型TSTB-A的理论走时; 黑色和红色波形分别表示观测波形和基于TSTB-A模型的合成波形; 图(b)中黑色实线表示IASP91速度模型; 蓝色实线表示TSTB-A模型. Fig. 6 Observed and synthetic waveforms(a)and velocity models(b)for the profile I In(a),the black and blue lines represent the travel times of the IASP91 and the best-fitting model TSTB-A,respectively. The black and red waveforms represent the observed and synthetic seismograms based on TSTB-A,respectively. In(b),the black and blue lines indicate the IASP91 and TSTB-A models,respectively. |
在II子区域中,12°~15°震中距范围内观测波形三重震相出现明显整体延迟(图 4b),包括WSU、SCH、SHZ、STZ、HTB、WSC和TCH台,从图 1中可以发现,上述到时延迟的台站分布相对集中,位于中天山东北部,靠近准噶尔盆地.我们结合地震层析成像的结果(Xu et al.,2002; Huang and Zhao,2006)推测,这个延迟很可能是上地幔顶部局部低速异常造成的.为了消除上地幔浅部不均匀性的影响,重点研究410起伏形态及附近速度结构,我们对上述台站波形记录AB分支与IASP91标准模型给出的AB分支进行对齐,对齐处理后AB,BC和CD震相走时畸变消失.我们可以确定异常体是位于AB,BC和CD分支射线路径相对一致的位置,而只有在地壳和上地幔浅部,地震波射线AB,BC和CD分支射线路径最为接近.我们在下文中将进一步对这一浅部低速结构进行探测和约束.经过对齐处理,我们在TSTB-A模型基础上调整低速层的厚度及异常值大小,410的深度和410下方100 km内的速度结构(CD分支所能达到的最大深度450 km),通过波形拟合试错(图 7b),得到II子区域模型TSTB-B,如图 7c所示.
|
图 7 Ⅱ子区域观测波形(a)与合成波形(b)及速度模型(c) 图(a)中黑色实线为IASP91模型理论走时,黑色波形为对齐处理前实际观测波形; 图(b)中蓝色实线为最适一维模型TSTB-B的理论走时; 黑色波形为经过对齐处理后的实际观测波形,红色波形是基于TSTB-B的合成波形; 图(c)中黑色,红色和蓝色实线分别表示IASP91,TSTB-A和TSTB-B模型. Fig. 7 Observed(a)and synthetic waveforms(b)and velocity models(c)for the profile Ⅱ In(a),the black lines represent the travel times for the IASP91 and the black waveforms represent the observed seismograms before alignment to AB branch. In(b),the blue line represents the travel times of the best-fitting 1-D model TSTB-B; the black and red waveforms represent the observed waveforms after alignment to AB branch and synthetic seismograms based on TSTB-B,respectively. In(c),the black,red and blue lines indicate the IASP91,TSTB-A and TSTB-B models,respectively. |
对于II区域可能存在的二维速度结构,我们采用二维有限差分方法(Chu et al.,2012a; Li et al.,2014)进行波形模拟.首先我们基于一维模型TSTB-B对经过走时对齐处理后的观测波形进行一维有限差分模拟.如图 8a所示,合成波形和观测波形拟合比较好,保证了方法和一维模型的可靠性.基于TSTB-B模型,我们根据走时出现延迟的台站的分布位置(图 1),利用TauP(Buland and Chapman,1983)计算了一维射线路径并投影在图 9垂直剖面上(图 1中DD).在12°~15°震中距范围内(WSU~TCH),对于单一台站AB、BC和CD震相在地幔浅部的路径大致相同(图 9).因此,只有在台站下方地壳和地幔浅部存在低速才可能造成局部台站三重震相走时整体延迟.我们根据局部台站AB和BC震相出现延迟的震中距范围及AB和BC地震波射线路径确定了异常体的震中距范围(12°~14.5°)和深度范围(10~100 km).由于台阵分布相对稀疏,异常体的范围只能给出估计值.由于地表及上地壳深度范围内结构较复杂,我们只将异常体的上界面约束到10 km左右.通过调整低速异常体速度值并利用二维有限差分方法计算合成波形并与实际观测波形(图 8b)进行拟合,我们最终得到如图 9D所示的最适异常体位置和低速异常值.
|
图 8 II子区域观测波形和理论波形 图(a)和(b)中蓝色实线为最适一维模型TSTB-B对应的理论走时;(a)中黑色和红色波形分别为经过对齐处理后的观测波形和基于TSTB-B模型的一维有限差分方法合成波形;(b)中黑色和红色波形分别为未经对齐处理的观测波形和加入局部低速异常体后的二维有限差分方法合成波形;(c)中黑色,红色和蓝色实线分别表示IASP91,TSTB-A和TSTB-B模型. Fig. 8 Synthetic and observed waveforms for the profile II In(a)and(b),the blue lines represent the travel times for the best-fitting 1-D model TSTB-B. In(a),the black and red waveforms represent the observed seismograms after alignment and 1D-FD synthetic waveforms based on TSTB-B,respectively. In(b),the black and red waveforms represent the observed waveforms without alignment and 2D-FD synthetic waveforms with the best-fitting low-velocity anomaly. In(c),the black,red and blue lines indicate the IASP91,TSTB-A and TSTB-B models,respectively. |
|
图 9 低速异常体模拟测试 图中橘色块体表示II研究区域低速异常体位置; 红色,蓝色和黑色实线分别代表AB,BC和CD震相射线路径在DD(图 1)方向垂直剖面上的投影; 异常体位置(A): 异常体深度为110~200 km,震中距范围为11°~12.5°; 异常体位置(B): 异常体深度为110~200 km,震中距范围为10°~12.5°; 异常体位置(C): 异常体深度为110~200 km,震中距范围为10.6°~13.5°; 最佳异常体位置(D): 异常体深度为10~100 km,震中距范围为12°~14.5°; 为了和最佳模型对比,图(A)(B)和(C)中红色线框表示最佳异常体位置. Fig. 9 Comparison of the test and best-fitting low-velocity anomaly models The orange block indicates the low velocity anomaly in profile II. The red,blue and black lines indicate the ray paths projection of the AB,BC and CD branches in the cross-section along DD in Fig. 1. In(A): low-velocity anomaly located in the depth of 110~200 km and the range of epicentral distance is 11°~12.5°. In(B): low-velocity anomaly located in the depth of 110~200 km and the range of epicentral distance is 10°~12.5°. In(C): low-velocity anomaly located in the depth of 110~200 km and the range of epicentral distance is 10.6°~13.5°. In best-fitting model(D): low-velocity anomaly located in the depth of 10~100 km and the range of epicentral distance is 12°~14.5°. For comparison,the red frame indicates the best-fitting location of low-velocity anomaly in A,B and C. |
我们对低速异常体的深度和震中距范围进行了模拟测试(图 9),并与最佳模型及合成波形进行了对比,模拟测试结果如图 10所示.
|
图 10 II子区域观测波形和低速异常体模拟测试合成波形 图中黑色波形为Ev.1 观测波形;图A,B,C和D 中红色波形为不同异常体位置(图 9A,B,C和D)合成波形. Fig. 10 Comparison of observed and test synthetic waveforms for the profile II The black waveforms represent the observed seismograms and the red seismograms are 2D-FD synthetic waveforms based on the test models A,B,C and the best-fitting model D(in Fig. 9),respectively. |
为进一步检验该低速异常的分布范围和速度异常值,我们选用2011年5月10日发生在中国东北和俄罗斯交界地区、2012年10月23日发生于日本本州南部海域的两个深源地震Ev.2和Ev.3的P波远震记录进行模拟测试.由于远震地震波射线在台站下方近垂直入射,在震源处地震波射线束较窄,地震波的到时及波形对台站下方速度结构更敏感,可以更好地约束低速异常体的震中距范围.
从原始波形记录(图 12)中我们可以看到,仍然是红色标示的台站(图 11插图)的波形记录(图 12蓝色波形记录)出现了走时延迟,我们可以进一步确定该低速异常的存在.同时我们以IASP91模型为初始模型,保持局部低速异常体的形态以及速度降不变(图 9),对Ev.2和Ev.3进行二维有限差分方法(Li et al.,2014; Chu et al.,2012a)波形模拟.合成波形和实际观测波形拟合较好,进一步验证了模型的准确性.
|
图 11 Ev.2和Ev.3远震射线路径示意图 橘色块体表示中天山东北部下方地幔顶部的低速异常体; 根据IASP91模型计算得到理论射线路径,其中蓝色和红色实线分别为插图中蓝色和红色台站所对应的射线路径; 插图中沙滩球表示地震震源机制解和震中位置,震源参数信息详见表 1; 三角形为远震测试所选用的台站的位置分布,其中红色三角形表示P波走时出现明显延迟的台站. Fig. 11 Teleseismic ray paths of the Ev.2 and Ev.3 The orange block indicates the low velocity anomaly beneath the northeastern part of central Tian Shan. The blue and red lines indicate the ray paths corresponding to the blue and red stations shown in the inset. The beach balls represent focal mechanisms and epicenter locations with detailed source information given in Table 1. The triangles indicate the location of stations for teleseismic test and the red ones note the stations with P-wave arrival distinctly delayed. |
|
图 12 Ev.2和Ev.3观测波形及合成波形对比 图(a)和(b)中红色波形分别为Ev.2和Ev.3二维有限差分合成波形. 红色虚线为标准 IASP91 模型对应的理论走时; 黑色和蓝色为实际观测波形,其中蓝色波形为走时出现延迟的波形记录. Fig. 12 Observed and synthetic waveforms for the Ev.2 and Ev.3 In(a)and(b),red waveforms represent the 2D-FD synthetic seismograms of Ev.2 and Ev.3,respectively. The red dashed lines represent the travel times with respect to IASP91 model; The black and blue seismograms are observed records,of which the blue waveforms indicate the observed records with obvious delay. |
对于III子区域,我们在I子区域模型TSTB-A的基础上调整410附近速度结构及410的深度,经过波形拟合试错,我们得到了III子区域下方一维P波速度模型TSTB-C(图 13b).
|
图 13 III子区域观测波形与合成波形(a)和速度模型(b) 图(a)中黑色实线和蓝色实线分别是IASP91和最适模型TSTB-C对应的理论走时,黑色和红色波形分别表示实际观测波形和基于TSTB-C模型的合成波形. 图(b)中黑色,红色和蓝色实线分别表示IASP91,TSTB-A和TSTB-C模型. Fig. 13 Observed and synthetic waveforms(a)and velocity models(b)for the profile III In(a),the black and blue lines represent the travel times of the IASP91 and the best-fitting model TSTB-C,respectively; the black and red seismograms represent the observed and synthetic waveforms based on TSTB-C,respectively. in(b),the black,red and blue lines indicate the IASP91,TSTB-A and TSTB-C models,respectively. |
通过波形拟合,我们发现研究区域410 km间断面上方低速层厚度为70 km,而在塔里木盆地北部该低速层P波速度异常为-3%,中天山和塔里木盆地交界处,低速层速度异常为-1.6%,而中天山下方速度异常减小为-1%.这与Huang和Zhao(2006)及Xu等(2002)的地震层析成像结果所给出的从塔里木盆地北部到中天山该深度上的低速异常逐渐减小的趋势一致;与此同时,我们发现在塔里木盆地北部和中天山下方410存在约10 km下沉.
利用410附近的地幔转换带热膨胀系数
另外,区域地震层析成像(Xu et al.,2002; Lei and Zhao,2007)结果表明,中天山下方上地幔深部存在明显的局部高速异常,很可能是古海洋岩石圈板块俯冲或陆陆板块碰撞岩石圈拆沉的结果.俯冲残留体或岩石圈拆沉体进入地幔深部,甚至到达410附近(Vinnik and Saipbekova,1984; Xu et al.,2002; Lei and Zhao,2007).另外根据Kumar等(2005)的S波接收函数研究结果显示,在中天山南北的塔里木盆地和哈萨克地盾岩石圈厚度分别为160 km和120 km,而在中天山下方岩石圈厚度减薄至90 km,因此地震层析成像结果所示的中天山下方上地幔深部高速异常更可能是岩石圈拆沉残留体(Vinnik and Saipbekova,1984; Xu et al.,2002; Lei and Zhao,2007).410上方70 km低速层可能会受到下地幔物质上涌带来热异常影响(Lei and Zhao,2007; Tian et al.,2010),但岩石圈拆沉体扰动富水的MTZ物质上涌并发生脱水熔融的贡献可能更大.而中天山下方410之上的低速层很可能是塔里木盆地北部下方410之上低速层向北的延续,并逐渐减弱.这一低速层分布形态可能与小尺度的地幔柱或地幔对流自地幔转换区上升至地幔顶部有关(Vinnik and Saipbekova,1984; Xu et al.,2002; Lei and Zhao,2007).
另外,根据二维有限差分方法(Li et al.,2014; Chu et al.,2012a)对局部台站走时出现异常延迟的波形记录的模拟,我们发现在中天山东北部岩石圈及上地幔10~100 km深度上存在约-6% P波低速异常,这与前人关于本区域地震层析成像结果相一致(Xu et al.,2002; 郭飚等,2006).另外根据接收函数与面波频散联合反演(刘文学等,2014)结果显示,在中天山东北缘和准噶尔盆地的盆山结合部,5~100 km深度范围存在明显S波低速异常,这与我们得到的结果比较吻合.该低速异常可能是由于中天山东北部拆沉的岩石圈物质沉入地幔深处、空缺位置被软流圈物质取代(Vinnik et al.,2004; Xu et al.,2002)而造成局部浅部低速异常.
致谢中国地震局地球物理研究所国家数字测震台网数据备份中心(doi:10.7914/SN/CB)和美国地震学研究联合会数据管理中心(IRIS DMC)为本研究提供的地震波形资料.另外,储日升研究员和周晓亚博士在本文撰写中给与了宝贵的指导和建议,在此一并表示感谢.
| Bercovici D, Karato S-I. 2003. Whole-mantle convection and the transition-zone water filter. Nature, 425(6953): 39-44. DOI:10.1038/nature01918 | |
| Bina C R, Helffrich G. 1994. Phase transition Clapeyron slopes and transition zone seismic discontinuity topography. Journal of Geophysical Research, 99(B8): 15853-15860. DOI:10.1029/94JB00462 | |
| Buland R, Chapman C H. 1983. The computation of seismic travel times. Bulletin of the Seismology Society of America, 73(5): 1271-1302. | |
| Cammarano F, Goes S, Vacher P, et al. 2003. Inferring upper-mantle temperatures from seismic velocities. Physics of the Earth and Planetary Interiors, 138(3-4): 197-222. DOI:10.1016/s0031-9201(03)00156-0 | |
| Chu R S, Schmandt B, Helmberger D V. 2012a. Juan de Fuca subduction zone from a mixture of tomography and waveform modeling. Journal of Geophysical Research, 117: B03304. DOI:10.1029/2012jb009146 | |
| Chu R S, Schmandt B, Helmberger D V. 2012b. Upper mantle P velocity structure beneath the Midwestern United States derived from triplicated waveforms. Geochemistry, Geophysics, Geosystems, 13: Q0AK04. DOI:10.1029/2011GC003818 | |
| Chu R S, Helmberger D. 2014. Lithospheric waveguide beneath the Midwestern United States; massive low-velocity zone in the lower crust. Geochemistry, Geophysics, Geosystems, 15(4): 1348-1362. DOI:10.1002/ggge.v15.4 | |
| Chu R S, Helmberger D, Gurnis M. 2014. Upper mantle surprises derived from the recent Virginia earthquake waveform data. Earth and Planetary Science Letters, 402: 167-175. DOI:10.1016/j.epsl.2012.10.023 | |
| Collier J D, Helffrich G R, Wood B J. 2001. Seismic discontinuities and subduction zones. Physics of the Earth and Planetary Interiors, 127(1-4): 35-49. DOI:10.1016/S0031-9201(01)00220-5 | |
| Cui H H, Zhou Y Z, Shi Y L, et al. 2016. Seismic detection of a low-velocity anomaly under stagnant slab beneath the eastern North China Craton with P-wave triplication. Chinese Journal of Geophysics (in Chinese), 59(4): 1309-1320. DOI:10.6038/cjg20160413 | |
| Deuss A. 2007. Seismic observations of transition-zone discontinuities beneath hotspot locations. Geological Society of America Special Papers, 430: 121-136. DOI:10.1130/2007.2430(07) | |
| Dziewonski A M, Chou T A, Woodhouse J H. 1981. Determination of earthquake source parameters from waveform data for studies of global and regional seismicity. Journal of Geophysical Research, 86(B4): 2825-2852. DOI:10.1029/JB086iB04p02825 | |
| Friederich W. 2003. The S-velocity structure of the East Asian mantle from inversion of shear and surface waveforms. Geophysical Journal International, 153(1): 88-102. DOI:10.1046/j.1365-246X.2003.01869.x | |
| Guo B, Liu Q Y, Chen J H, et al. 2006. Seismic tomography of the crust and upper mantle structure underneath the Chinese Tianshan. Chinese Journal of Geophysics (in Chinese), 49(6): 1693-1700. DOI:10.1002/cjg2.v49.6 | |
| Helffrich G. 2000. Topography of the transition zone seismic discontinuities. Reviews of Geophysics, 38(1): 141-158. DOI:10.1029/1999RG000060 | |
| Helffrich G, Wookey J, Bastow I. The Seismic Analysis Code:A Primer and User's Guide.Cambridge: Cambridge University Press, 2013. | |
| Hirth G, Kohlstedt D L. 1996. Water in the oceanic upper mantle:implications for rheology, melt extraction and the evolution of the lithosphere. Earth and Planetary Science Letters, 144(1-2): 93-108. DOI:10.1016/0012-821X(96)00154-9 | |
| Huang J L, Zhao D P. 2006. High-resolution mantle tomography of China and surrounding regions. Journal of Geophysical Research, 111: B09305. DOI:10.1029/2005jb004066 | |
| Karato S I, Forte A, Liebermann R, et al. 2000. Earth's Deep Interior:Mineral Physics and Tomography from the Atomic to the Global Scale. Washington DC:American Geophysical Union. | |
| Kennett B L N, Engdahl E R. 1991. Traveltimes for global earthquake location and phase identification. Geophysical Journal International, 105(2): 429-465. DOI:10.1111/j.1365-246X.1991.tb06724.x | |
| Kumar P, Yuan X, Kind R, et al. 2005. The lithosphere-asthenosphere boundary in the Tien Shan-Karakoram region from S receiver functions:Evidence for continental subduction. Geophysical Research Letters, 32: L07305. DOI:10.1029/2004GL022291 | |
| Lei J S, Zhao D P. 2007. Teleseismic P-wave tomography and the upper mantle structure of the central Tien Shan orogenic belt. Physics of the Earth and Planetary Interiors, 162(3-4): 165-185. DOI:10.1016/j.pepi.2007.04.010 | |
| Lessing S, Thomas C, Rost S, et al. 2014. Mantle transition zone structure beneath India and Western China from migration of PP and SS precursors. Geophysical Journal International, 197(1): 396-413. DOI:10.1093/gji/ggt511 | |
| Li D Z, Helmberger D, Clayton R W, et al. 2014. Global synthetic seismograms using a 2-D finite-difference method. Geophysical Journal International, 197(2): 1166-1183. DOI:10.1093/gji/ggu050 | |
| Li G H, Sui Y, Zhou Y Z. 2014. Low-velocity layer atop the mantle transition zone in the lower Yangtze Craton from P waveform triplication. Chinese Journal of Geophysics (in Chinese), 57(7): 2362-2371. DOI:10.6038/cig20140730 | |
| Li J, Wang X, Wang X J, et al. 2013. P and SH velocity structure in the upper mantle beneath Northeast China:Evidence for a stagnant slab in hydrous mantle transition zone. Earth and Planetary Science Letters, 367: 71-81. DOI:10.1016/j.epsl.2013.02.026 | |
| Liu W Z, Liu G Z, Zhou G, et al. 2014. Joint inversion of receiver function and surface wave dispersion for crust and upper mantle S-wave velocity structure beneath Tianshan and its adjacent regions. Acta Seismologica Sinica (in Chinese), 36(1): 20-31. DOI:10.3969/j.issn.0253-3782.2014.01.002 | |
| Makeyava L I, Vinnik L P, Roecker S W. 1992. Shear-wave splitting and small-scale convection in the continental upper mantle. Nature, 358(6382): 144-147. DOI:10.1038/358144a0 | |
| Molnar P, Ghose S. 2000. Seismic moments of major earthquakes and the rate of shortening across the Tien Shan. Geophysical Research Letters, 27(16): 2377-2380. DOI:10.1029/2000GL011637 | |
| Ning J Y, Zang S X. 1990. The distribution of earthquakes and stress state in Pamir-Hindukush regions. Acta Geophysica Sinica (in Chinese), 33(6): 657-669. | |
| Revenaugh J, Sipkin S A. 1994. Seismic evidence for silicate melt atop the 410 km mantle discontinuity. Nature, 369(6480): 474-476. DOI:10.1038/369474a0 | |
| Sobel E R, Dumitru T A. 1997. Thrusting and exhumation around the margins of the western Tarim basin during the India-Asia collision. Journal of Geophysical Research, 102(B3): 5043-5063. DOI:10.1029/96JB03267 | |
| Song T R A, Helmberger D V, Grand S P. 2004. Low-velocity zone atop the 410 km seismic discontinuity in the northwestern United States. Nature, 427(6974): 530-533. DOI:10.1038/nature02231 | |
| Song T R A, Helmberger D V. 2007. Validating tomographic model with broad-band waveform modelling:an example from the LA RISTRA transect in the southwestern United States. Geophysical Journal International, 171(1): 244-258. DOI:10.1111/gji.2007.171.issue-1 | |
| Sun D Y, Helmberger D. 2011. Upper-mantle structures beneath USArray derived from waveform complexity. Geophysical Journal International, 184(1): 416-438. DOI:10.1111/gji.2010.184.issue-1 | |
| Tajima F, Katayama I, Nakagawa T, et al. 2009. Variable seismic structure near the 660 km discontinuity associated with stagnant slabs and geochemical implications. Physics of the Earth and Planetary Interiors, 172(3-4): 183-198. DOI:10.1016/j.pepi.2008.09.013 | |
| Tian X B, Zhao D P, Zhang H S, et al. 2010. Mantle transition zone topography and structure beneath the central Tien Shan orogenic belt. Journal of Geophysical Research, 115: B10308. DOI:10.1029/2008JB006229 | |
| Vinnik L P, Saipbekova A M. 1984. Structure of the lithosphere and asthenosphere of the Tien-Shan. Annales Geophysicae, 2: 621-626. | |
| Vinnik L P, Reigber C, Aleshin I M, et al. 2004. Receiver function tomography of the central Tien Shan. Earth and Planetary Science Letters, 225(1-2): 131-146. DOI:10.1016/j.epsl.2004.05.039 | |
| Wang B S, Niu F L. 2011. Spatial variations of the 660 km discontinuity in the western Pacific subduction zones observed from CEArray triplication data. Earthquake Science, 24(1): 77-85. DOI:10.1007/s11589-011-0771-9 | |
| Wang R J. 1999. A simple orthonormalization method for stable and efficient computation of Green's functions. Bulletin of the Seismological Society of America, 89(3): 733-741. | |
| Wang Y, Wen L X, Weidner D, et al. 2006. SH velocity and compositional models near the 660 km discontinuity beneath South America and northeast Asia. Journal of Geophysical Research, 111: B07305. DOI:10.1029/2005JB003849 | |
| Xiao W J, Windley B F, Allen M B, et al. 2013. Paleozoic multiple accretionary and collisional tectonics of the Chinese Tianshan orogenic collage. Gondwana Research, 23(4): 1316-1341. DOI:10.1016/j.gr.2012.01.012 | |
| Xu Y, Liu F T, Liu J H, et al. 2002. Crust and upper mantle structure beneath western China from P wave travel time tomography. Journal of Geophysical Research, 107(B10): ESE 4-1-ESE 4-15. DOI:10.1029/2001JB000402 | |
| Xu Y, Roecker S W, Wei R P, et al. 2006. Analysis of seismic activity in the crust from earthquake relocation in the central Tien Shan. Bulletin of the Seismological Society of America, 96(2): 737-744. DOI:10.1785/0120030220 | |
| Xu Y, Li Z W, Roecker S W. 2007. Uppermost mantle structure and its relation with seismic activity in the central Tien Shan. Geophysical Research Letters, 34: L10304. DOI:10.1029/2007gl029708 | |
| Ye L L, Li J. 2012. Detecting velocity structure around 660 km discontinuity beneath Northeastern China. Acta Seismologica Sinica (in Chinese), 34(2): 137-146. | |
| Zhang R Q, Wu Q J, Li Y H, et al. 2012. Lateral variations in SH velocity structure of the transition zone beneath Korea and adjacent regions. Journal of Geophysical Research, 117: B09315. DOI:10.1029/2011jb008900 | |
| Zheng X F, Ouyang B, Zhang D N, et al. 2009. Technical system construction of Data Backup Centre for China Seismograph Network and the data support to researches on the Wenchuan earthquake. Chinese Journal of Geophysics (in Chinese), 52(5): 1412-1417. DOI:10.3969/j.issn.0001-5733.2009.05.031 | |
| Zheng Y F, Chen R X, Xu Z, et al. 2016. The transport of water in subduction zones. Science China Earth Sciences, 59(4): 651-682. DOI:10.1007/s11430-015-5258-4 | |
| Zhou X Y, Ma M N, Xu Z S, et al. 2015. Estimation of the melt fraction within the low velocity layer atop the mantle transition zone beneath the eastern South China. Chinese Journal of Geophysics (in Chinese), 58(9): 3264-3271. DOI:10.6038/cjg20150921 | |
| 崔辉辉, 周元泽, 石耀霖, 等. 2016. 华北克拉通东部滞留板块下方低速异常的地震三重震相探测. 地球物理学报, 59(4): 1309–1320. DOI:10.6038/cjg20160413 | |
| 郭飚, 刘启元, 陈九辉, 等. 2006. 中国境内天山地壳上地幔结构的地震层析成像. 地球物理学报, 49(6): 1693–1700. | |
| 李国辉, 眭怡, 周元泽. 2014. 基于P波三重震相的下扬子克拉通地幔转换带顶部低速层初探. 地球物理学报, 57(7): 2362–2371. DOI:10.6038/cig20140730 | |
| 刘文学, 刘贵忠, 周刚, 等. 2014. 天山及其邻区地壳上地幔S波速度结构的接收函数与面波频散联合反演. 地震学报, 36(1): 20–31. DOI:10.3969/j.issn.0253-3782.2014.01.002 | |
| 宁杰远, 臧绍先. 1990. 帕米尔-兴都库什地区地震空间分布特征及应力场特征. 地球物理学报, 33(6): 657–669. | |
| 叶玲玲, 李娟. 2012. 东北地区660km间断面附近波速结构研究. 地震学报, 34(2): 137–146. | |
| 郑秀芬, 欧阳飚, 张东宁, 等. 2009. "国家数字测震台网数据备份中心"技术系统建设及其对汶川大地震研究的数据支撑. 地球物理学报, 52(5): 1412–1417. DOI:10.3969/j.issn.0001-5733.2009.05.031 | |
| 郑永飞, 陈仁旭, 徐峥, 等. 2016. 俯冲带中的水迁移. 中国科学:地球科学, 46(3): 253–286. | |
| 周晓亚, 马麦宁, 徐志双, 等. 2015. 华南东部地幔过渡带顶部低速层中的熔体含量估算. 地球物理学报, 58(9): 3264–3271. DOI:10.6038/cjg20150921 | |
2017, Vol. 60

