2. 中国地质大学(北京), 北京 100083;
3. 中国科学院地球化学研究所, 贵阳 550081
2. China University of Geosciences(Beijing), Beijing 100083, China;
3. Institute of Geochemistry, Chinese Academy of Sciences, Guiyang 550081, China
薄储层是我国储层预测、描述的一个重要难点问题,如薄碳酸盐岩或致密砂岩储层(Juhlin and Young,1993; Liu and Schmitt,2003)以及煤田勘探的薄原生煤、薄构造煤(Koefoed and de Voogd,1980;Gochioco,1991,1992)的勘探与开发.在油气勘探领域,东部地区广泛存在陆相碎屑岩储层、煤系地层,研究目标均是薄层.考虑到地震波穿透薄层时为复合波,采用单界面方法分析薄层介质并不能完全反映薄储层特性.因此,针对薄层反射问题,需要探索衰减及其各向异性引起的地震运动学或动力学异常.
Samec和Blangy(1992) 研究表明,实际介质表现出速度各向异性,且具有黏弹性,因而,基于各向同性和完全弹性假设的AVO解释方法并不能完全反映地下岩性界面的反射和传播效应.上下岩层各向异性特征会直接影响界面反射系数,同时,实际介质对地震波的衰减作用使得界面入射波和反射波能量发生改变并影响其相位.所以,在AVO模拟和解释时,要综合考虑介质的黏滞性和速度各向异性.
Tsvankin(1995) 分析了VTI各向异性介质的AVO性质,指出各向异性不但影响反射系数,而且各向异性介质的AVO截距也会发生变化,并在此基础上,分析了各向异性Thomsen参数对振幅曲线走势的影响.对于裂缝诱导的HTI型各向异性介质,Bakulin等(2000) 建立了Thomsen参数和裂缝参数之间的关系式,并在纵波AVO梯度的基础上,解释了裂缝方向,为估算纵横波速度比提供了帮助.Al-Marzoug等(2006) 将各向异性AVO技术应用到含气储层裂缝检测,发现两个区块的AVO分析结果与裂缝方向一致,预测精度较基于速度的分析方法高,分析结果对油井分布有指导意义.在非常规天然气方面,储层的天然裂缝和地层压力作用都可引起地层各向异性,Goodway等(2006) 综合分析各向异性AVO效应,在三维工区计算得到的裂缝密度和断层分布吻合.邓小娟等(2010) 推导了速度各向异性薄层的反射、透射系数,采用反射系数法正演纵波的AVO响应.
Ursin和Stovas(2002) 推导了衰减介质纵波和横波反射系数的一阶近似,该近似式包括了地震波的相移和衰减作用.Chapman和Liu(2005) 研究发现油气层存在较强的衰减作用且不能忽略,这种衰减现象与频率相关,且通过Rutehrford-Williams理论解释了衰减和频率的相关性,认为和频率相关的衰减作用是地层解释的一种方法.Chapman等(2006) 采用多尺度裂缝岩石物理模型分析了衰减的频变作用,发现储层衰减会引起第一类AVO向高频方向移动,而第三类AVO具有低频放大作用,合成记录和实际数据验证了频变特征在叠前道集上的可检测性.当储层裂缝填充流体时,地震波能量被吸收衰减,Chichinina等(2006) 分析了纵波衰减各向异性,提出了品质因子梯度和截距概念,品质因子梯度指示了裂缝方位和衰减各向异性,Liu等(2007) 阐明了裂缝储层的衰减各向异性强于速度各向异性.
含流体薄层的各向异性衰减特性是不可忽略的.考虑到介质速度各向异性和衰减对储层预测的影响,本文由数值模拟方法出发,首先给出衰减各向异性波动方程,计算薄层地震波场,然后分析衰减作用和各向异性衰减对地震波幅值的影响,通过与各向同性弹性薄层波场的复合波对比,阐明了衰减及其各向异性对薄层反射的影响.
2 模拟方法和半空间模型各向异性衰减介质波动方程是描述各向异性和衰减的基本方程(Carcione,1990,2007),波动方程中的速度各向异性由Thomsen参数表示,衰减强弱由纵横波品质因子决定,波动方程中的记忆变量描述波场的衰减性质.以下将介绍各向异性衰减介质波动方程和模拟方法.
2.1 模拟方法二维各向异性衰减介质波动方程为
|
(1) |
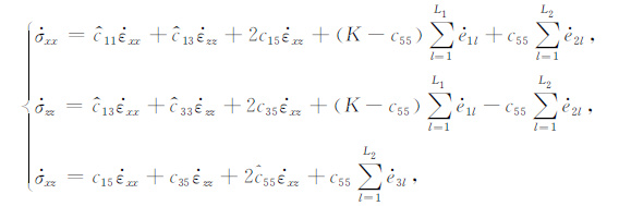
其中,vx、vz表示质点在x和z方向的速度,上标“·”表示变量的时间导数,σxx、σzz、σxz是法向应力和切应力分量,ρ是介质密度,fx、fz是x和z方向外力.各向异性衰减介质本构关系为:
|
(2) |
其中,
|
(3) |
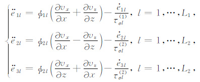
其中,L1表示纵波的黏弹性模型并联个数,L2表示横波的黏弹性模型并联个数,本文假设L1=L2=1,$\hat{c}$ij是高频情况的弹性系数,cij是介质弹性条件下弹性系数,$\dot{\varepsilon }$xx、$\dot{\varepsilon }$zz、$\dot{\varepsilon }$xx为应变的时间导数,K为常量,数值为(c11+c33)/2,Mui是t=0时刻的松弛函数,当i=1时表示纵波松弛,i=2表示横波松弛,其一般表达形式为
|
(4) |
其中,τεl(v)和τσl(v)是介质的松弛时间,e1l、e2l、e3l是记忆变量,记忆变量二阶导数为
|
(5) |
式中φvl表达式为
|
(6) |
本文采用傅里叶伪谱法计算波动方程的空间导数,时间微分采用四阶龙格库塔法离散(Carcione,1992),并实现二维介质波场模拟.
2.2 半空间各向异性衰减地震波为了检验上述伪谱法正演各向异性衰减介质波场的正确性,首先给出一衰减介质的半空间模型.模型参数为:纵波速度vp=2400 m·s-1,横波速度vs=1000 m·s-1,密度1.6 g·cm-3,纵波品质因子Qp=6.5,横波品质因Qs=3.0.模型空间网格为441×441,网格间距为5 m,使用点震源,并置于模型中心(1100 m,1100 m),检波点坐标是(1600 m,1600 m),震源子波为50 Hz的Ricker子波,子波延时时间为0.07 s,数值模拟采用1 ms时间采样率,记录1 s内地震波场.250 ms时刻波场快照如图 1所示,可见,纵、横波波场无数值频散,图 2是检波点接收的地震记录与衰减介质解析解(Carcione,2007)对比图,其中,纵波传播时间是350 ms,横波传播时间是750 ms,质点水平、垂向速度和解析解匹配效果很好,说明模拟算法准确,采用该算法可实现衰减介质波场模拟.
|
图 1 250 ms时刻地震波场快照 (a)水平分量;(b)垂向分量. Fig. 1 Snapshots at 250 ms (a)Horizontal component;(b)Vertical component. |
|
图 2 数值模拟结果与解析解对比 (a)水平分量;(b)垂向分量. Fig. 2 Comparison of modeling result and analytical solution (a)Horizontal component;(b)Vertical component. |
Widess(1973) 采用均匀各向同性弹性假设条件下的薄层反射复合波振幅预测薄层厚度,而实际接收到的薄层反射可以是速度各向异性和衰减的综合作用,速度各向异性和衰减均会改变薄层反射系数、振幅属性,忽略这种地层效应,会影响薄层预测精度,进行薄层复合波研究将利于各向异性衰减薄层分析,提高薄层反演精度.数值模拟是开展薄层介质复合波研究的一种较直观方法,因此,根据许小凯等(2014) 定义了包含水平薄层的速度模型,如图 3所示.模型共三层,薄层厚度为5 m,薄层上、下层均为各向同性弹性介质,薄层的弹性速度低于上下层速度,薄层分为四类情况:各向同性弹性、各向同性黏弹性、速度各向异性弹性、各向异性衰减模型,参数如表 1所示.通过设置衰减、速度各向异性系数可分析模型的波场响应.模型网格为1000×1000,网格步长是5 m,检波点距是20 m,采用50 Hz雷克子波,爆炸震源激发,震源放在模型左端,右侧检波器接收,震源深度0 m,坐标是(0 m,0 m).时间采样率1 ms,记录长度1 s.
|
图 3 薄层模型 Fig. 3 Schematic diagram of thin-layer reservoir |
|
|
表 1 模型物理参数 Table 1 Physical parameters of the model |
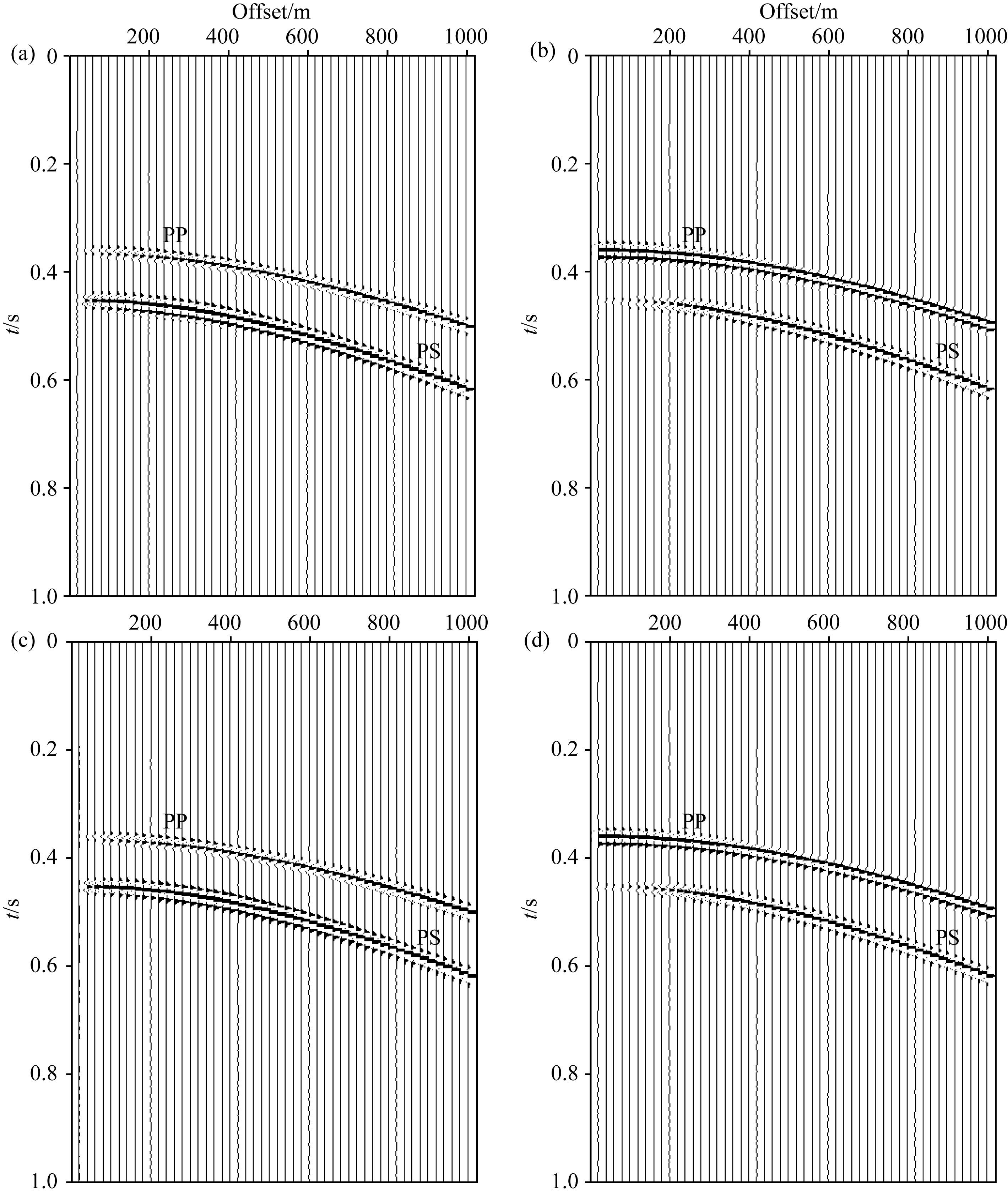
模型参数分别为各向同性弹性(模型2a)和各向异性衰减(模型2d)情况下的合成记录如图 4所示,图中PP表示纵波反射,PS表示转换波.偏移距500 m处地震波形(图 5)显示,均匀弹性介质的纵横波振幅明显强于各向异性衰减介质.
|
图 4 模型合成记录 各向同性弹性介质:(a)水平分量;(b)垂向分量; 各向异性衰减介质:(c)水平分量;(d)垂向分量. Fig. 4 Synthetic records Isotropic elastic model:(a)Horizonal component;(b)Vertical component; anisotropic-viscoelastic model: (c)Horizonal component;(d)Vertical component. |
|
图 5 偏移距500 m时均匀弹性介质和各向异性弹性介质波形对比 Fig. 5 Comparison of waveforms in isotropic-elastic and anisotropic-viscoelastic media at offset 500 m |
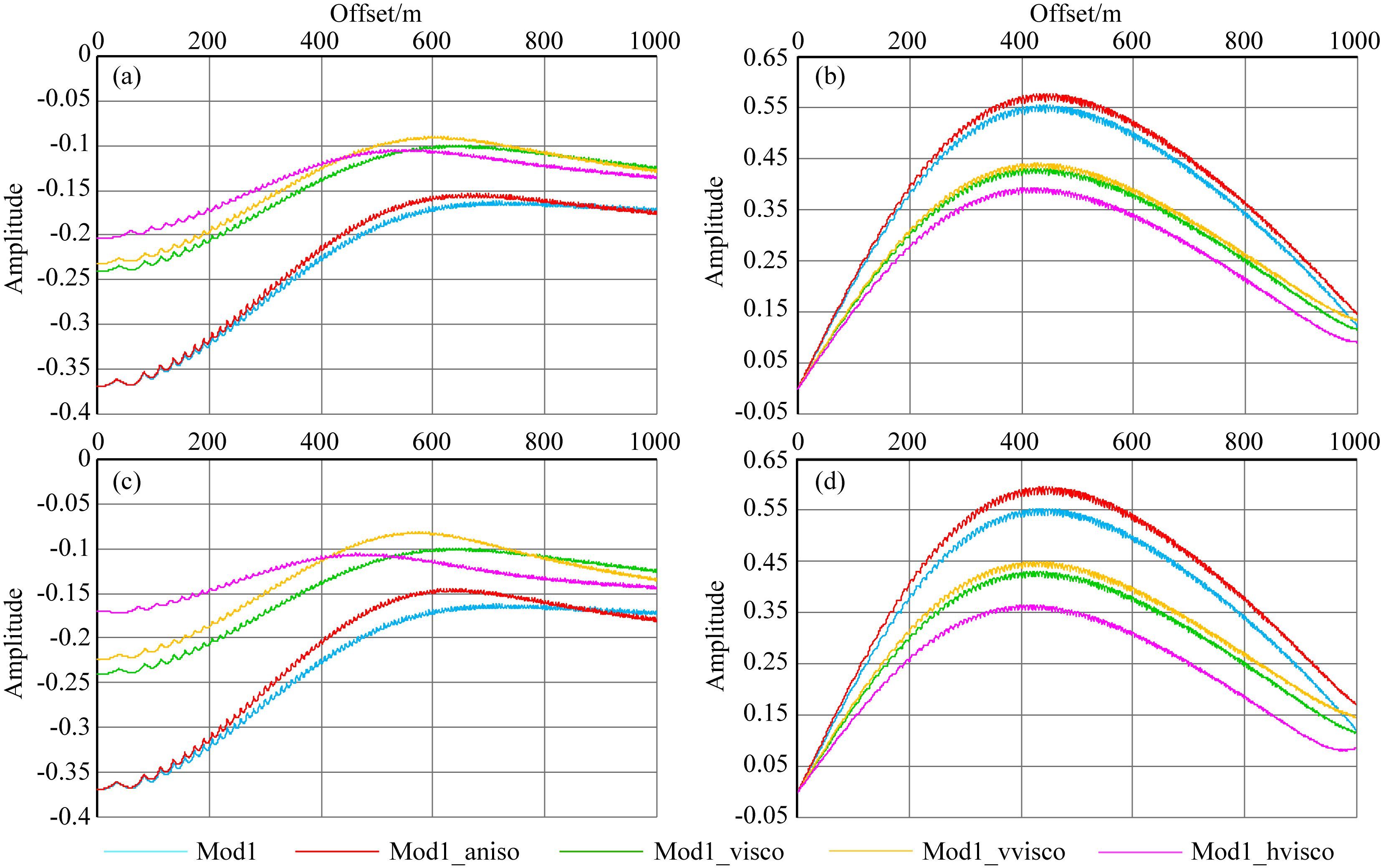
我们计算了模型在弹性、衰减、速度各向异性、各向异性衰减介质的合成记录,然后提取振幅属性,获得振幅随偏移距变化的曲线,讨论四种情况提取的PP和PS波结果,分析各类参数对振幅的影响.
对于该模型,考虑以上四种介质,衰减介质P波和S波品质因子分别为6.5、3.0,VTI各向异性参数如表 1,此外,我们对VTI薄层旋转90°,模拟其对应的HTI各向异性衰减介质波场,并提取振幅曲线.
对比PP波反射振幅曲线(图 6a)可见,PP波振幅在0~600 m偏移距内均近似为一直线,蓝色曲线表示弹性介质,取VTI各向异性系数,获得各向异性弹性振幅曲线(红色),由于速度各向异性,在400~800 m偏移距范围内,曲线形态较弹性曲线发生改变,速度各向异性振幅略小于弹性曲线,但总体来讲,其振幅与弹性介质接近.各向同性衰减曲线(绿色)幅值明显小于弹性曲线,零偏移距时,衰减介质振幅较弹性情况降低了35%,但曲线走势和弹性介质一致,均为随偏移距逐渐减小,且在600 m处达到最小值后,振幅随偏移距增加而增大,各向同性弹性曲线增加约9%,衰减曲线增加24%.VTI型各向异性衰减振幅曲线(黄色)和各向同性衰减曲线处于同样数值水平,变化趋势和VTI弹性介质振幅曲线一致.当我们获得HTI型衰减介质振幅曲线后发现,虽然其振幅和各向同性衰减介质的振幅水平相当,但在小于450 m范围内,振幅小于VTI型衰减振幅,而大于450 m偏移距后,幅值高于VTI型衰减曲线.
|
图 6 AVO振幅曲线对比 (a)PP波;(b)PS波;(c)更新各向异性参数后PP波;(d)更新各向异性参数后PS波.每个子图中曲线分别表示为:mod1-各向同性弹性介质,mod1_aniso-VTI弹性介质,mod1_visco-各向同性衰减介质,mod1_vvsico-VTI衰减介质,mod1_hvisco-HTI衰减介质. Fig. 6 Comparison of AVO responses (a)PP waves;(b)PS waves;(c)PP waves after updating anisotropic parameters;(d)PS waves after updating anisotropic parameters. Symbol meaning:mod1: isotropic-elastic media. mod1_aniso: elastic VTI media. mod1_visco: isotropic-viscoelastic VTImedia.mod1_vvsico: viscoelastic VTI media. mod1_hvisco: viscoelastic HTI media. |
采用同样方法,提取PS波振幅(图 6b),各向同性弹性、各向异性弹性振幅水平大致相同,因为衰减作用的引入,各向同性衰减、VTI和HTI衰减介质振幅曲线则处于相同水平,5条曲线变化趋势一致:0~400 m偏移距内振幅曲线随着偏移距增加而增大;衰减条件下的振幅小于弹性介质,弹性VTI介质振幅最强,各向同性弹性次之,HTI各向异性衰减介质的振幅最弱.当偏移距大于560 m后,PS波在薄层内传播的射线距离约为7 m,超过λPS/4,所以振幅达到极大值后又逐渐减小.
上述讨论表明,各向异性衰减介质的振幅和弹性、各向同性衰减介质的振幅曲线在振幅值、变化趋势方面均有差异,我们重新设置模型各向异性参数为ε=0.21,δ=0.19,纵横波品质因子均保持不变,重新提取振幅,PP波振幅曲线如图 6c,由图可见,当模型各向异性增强后,VTI各向异性弹性和各向同性弹性曲线、VTI各向异性衰减和各向同性衰减振幅曲线之间的差异变大,但各向同性和各向同性衰减、VTI各向异性和VTI各向异性衰减的变化趋势仍然保持一致.此外,由于介质各向异性增强,HTI各向异性衰减和各向同性衰减、VTI各向异性衰减的振幅差异也相应增大.
各向异性参数更新后的PS波振幅曲线(图 6d)变化幅值随着各向异性增强而变大,但变化趋势和各向异性参数ε=0.11、δ=0.09时各曲线的趋势相似.各向异性弹性PS振幅在0~1000 m范围幅值均大于各向同性介质PS振幅,VTI各向异性衰减PS波振幅和各向同性衰减PS波振幅也具有相同趋势,HTI各向性衰减PS波振幅最小.
5 各向异性衰减薄层振幅单频响应 5.1 薄层PP波振幅单频响应地震波在地层中传播,衰减作用会引起不同频率和振幅的改变,衰减薄层也存在这种效应.于是,我们分别对各向同性衰减、VTI各向异性衰减的PP振幅分频,在10~60 Hz范围内,每隔10 Hz提取一个振幅曲线,共提取6组曲线,获得不同单频振幅随偏移距变化的曲线,讨论各向异性衰减薄层的单频振幅特性.
模型的各向同性衰减单频振幅曲线如图 7a所示,我们分频后发现,尽管合成记录上直接提取的振幅曲线因各向异性的存在而发生振幅变化(图 7a、7c),但ε=0.11、δ=0.09(图 7b)和ε=0.21、δ=0.19(图 7c)VTI各向异性衰减条件下,单频曲线变化相似.在200 m偏移距内,某一偏移距处的振幅随着频率增加而增大;随着偏移距增大,在200 m处单频振幅曲线相交,振幅值约为-0.1;单频曲线相交后,随着偏移距继续增大,10、20 Hz的振幅先增大后降低并趋于常数;与此同时,30~60 Hz的单频振幅迅速降低,并逐渐接近一常数;最终,曲线近似平行,6条曲线平行时,低频振幅高于高频振幅.在整个偏移距范围内,单频振幅曲线没有显现线性走势.提取三种介质振幅曲线在零偏移距的振幅(图 7d),三条曲线几乎重合,很难区分.
|
图 7 (a)各向同性衰减单频曲线;(b)VTI各向异性衰减ε=0.11、δ=0.09曲线;(c)VTI各向异性衰减ε=0.21、δ=0.19曲线;(d)单频振幅曲线在零偏移距的振幅 其中:visco-iso:各向同性衰减;visco-aniso-1:ε=0.11、δ=0.09时各向异性衰减;visco-aniso-2:ε=0.21、δ=0.19时各向异性衰减. Fig. 7 (a)Single-frequency attenuation curve in isotropic-viscoelastic media;(b)Viscoelastic VTI media with ε=0.11 and δ=0.09;(c)Viscoelastic VTI media with ε=0.21 and δ=0.19;(d)Magnitude curve at zero offset Symbol meaning: visco-iso: isotropic-viscoelastic media. visco-aniso-1: viscoelastic VTI media with ε=0.11 and δ=0.09. visco-aniso-2: viscoelastic VTI media with ε=0.21 and δ=0.19. |
薄层可表现出VTI各向异性衰减,而当薄层内存在垂向裂缝并有流体填充时,薄层则表现为HTI型各向异性衰减,我们将上述VTI各向异性参数进行Bond变换,计算HTI各向异性衰减的单频振幅(图 8).
|
图 8 (a)各向同性衰减单频曲线;(b)HTI各向异性衰减ε=0.11、δ=0.09曲线;(c)HTI各向异性衰减ε=0.21、δ=0.19曲线;(d)单频振幅曲线在零偏移距的振幅 其中:visco-iso:各向同性衰减;visco-aniso-1:ε=0.11、δ=0.09时各向异性衰减;visco-aniso-2:ε=0.21、δ=0.19时各向异性衰减. Fig. 8 (a) Single-frequency attenuation curves of isotropic-viscoelastic media;(b)Viscoelastic HTI media with ε=0.11 and δ=0.09;(c)Viscoelastic HTI media with ε=0.21 and δ=0.19;(d)Magnitude curve at zero offset Symbol meaning: visco-iso: isotropic-viscoelastic media. visco-aniso-1: viscoelastic HTI media with ε=0.11 and δ=0.09. Visco-aniso-2: viscoelastic HTI media with ε=0.21 and δ=0.19. |
图 8a、图 8b、图 8c依次为各向同性衰减模型的单频曲线和ε=0.11、δ=0.09和ε=0.21、δ=0.19时HTI各向异性衰减单频振幅曲线.对比可见,给定偏移距处,振幅随着频率增加而增大,随着偏移距增大,单频曲线交于一点,且交点随着各向异性的增强向近偏移距方向移动;单频曲线相交后,随着偏移距增加,各曲线接近平行,三种介质单频曲线变化趋势相似.在零偏移距和曲线交点间的范围内,各单频振幅随着各向异性的增强而逐渐减低,提取零偏移距振幅值(图 8d)可见,各向异性增强,单频振幅降低,且频率越高三种介质的振幅差异越大,即三种介质的零偏振幅随着频率的增加其差异性增强.
5.2 薄层PS波振幅单频响应PS波穿过地下裂缝发生横波分裂,在裂缝预测方面更有优势,在讨论薄层PP波振幅传播特性基础上,我们给出了薄层PS波单频振幅曲线,下面将从PS转换波角度分析各向异性衰减薄层振幅属性.
我们从合成记录的水平分量上提取转换波振幅,图 9a是衰减介质PS单频曲线对比图,频率范围和PP波单频分析范围相同:10~60 Hz,由图 9a可见,10 Hz单频振幅(红色)达到最大值前,相同偏移距处,单频振幅值随着频率的增加而降低,60 Hz时振幅最小,10 Hz时振幅最大.单频振幅曲线的极值点位置随着频率的增加向远偏移距方向移动,且极值点随着频率增加而增大.在单频振幅达到极值点前,振幅曲线都近似为一条直线,直线梯度随着频率增加而降低.
|
图 9 (a)各向同性衰减单频曲线;(b)VTI各向异性衰减ε=0.11、δ=0.09曲线;(c)VTI各向异性衰减ε=0.21、δ=0.19曲线 Fig. 9 (a) Single-frequency attenuation curves of isotropic-viscoelastic media;(b)Curves of viscoelastic VTI media with ε=0.11 and δ=0.09;(b)Curves of viscoelastic VTI media with ε=0.21 and δ=0.19 |
ε=0.11、δ=0.09(图 9b)和ε=0.21、δ=0.19(图 9c)时VTI各向异性衰减PS单频振幅变化趋势和图 9a相似,10 Hz时,三种介质单频曲线的幅值、极值点相同(红色曲线),随着频率的增加,振幅和极值点均发生变化,但有一定规律,我们提取三种介质的极值点和极值点对应的偏移距(图 10),提取结果显示随着介质各向异性增强,单频振幅曲线的极值点位置几乎重合在一起,但三类介质的极值点幅值在不同单频时显示为不同数值,10、20 Hz处,三类介质极值相同,而30、40、50、60 Hz处,极值差异越来越大.
|
图 10 (a) VTI各向异性衰减介质单频振幅的极值点位置和(b)极值点振幅随频率的变化 其中:visco-iso:各向同性衰减;visco-aniso-1:ε=0.11、δ=0.09时各向异性VTI衰减;visco-aniso-2:ε=0.21、δ=0.19时各向异性VTI衰减. Fig. 10 (a) Position of extreme point in viscoelastic VTI media;(b)Magnitude of the extreme point changing with frequency Symbol meaning: visco-iso: isotropic-viscoelastic media. visco-aniso-1: viscoelastic VTI media with ε=0.11 and δ=0.09. visco-aniso-2: viscoelastic VTI media with ε=0.21 and δ=0.19. |
如5.1节所述,各向异性衰减PP波单频振幅在HTI型介质中表现较强的振幅差异,而PS转换波在HTI介质中横波分裂,检波点接收的地震记录将包含较PP波更丰富的地下构造信息,以下内容将讨论HTI各向异性衰减单频曲线.
图 11表明,随着HTI各向异性增加,10 Hz振幅曲线幅值达到极值后迅速降低,各向同性衰减介质时振幅为0.31,ε=0.11、δ=0.09时振幅降为0.22,而在ε=0.21、δ=0.19时振幅则为0.18.尽管低频振幅值在降低,但高频60Hz处的振幅曲线幅值随着各向异性的增加降低幅度不显著,幅值在0.35~0.38之间.单频曲线达到极值点前振幅变化近似为直线,梯度随着各向异性增强而增大.和VTI各向异性类似,各向异性增强,单频曲线的极值点位置、幅值均发生变化,提取结果如图 12.极值点位置随着各向异性增加向近偏移距方向移动,振幅极值随着各向异性增加而降低,且这种现象在低频时较高频明显.
|
图 11 (a) 各向同性衰减单频曲线;(b)HTI各向异性衰减ε=0.11、δ=0.09曲线;(c)HTI各向异性衰减ε=0.21、δ=0.19曲线 Fig. 11 (a) Single-frequency attenuation curves of isotropic-viscoelastic media;(b)Curves of viscoelastic HTI media with ε=0.11 and δ=0.09;(c)Curves of viscoelastic HTI media with ε=0.21 and δ=0.19. |
|
图 12 HTI各向异性衰减介质单频振幅的极值点位置(a)和极值点振幅(b)随频率的变化 其中:visco-iso:各向同性衰减;visco-aniso-1:ε=0.11、δ=0.09时各向异性HTI衰减;visco-aniso-2:ε=0.21、δ=0.19时各向异性HTI衰减. Fig. 12 (a) Position of extreme point in viscoelastic HTI media;(b)Magnitude of the extreme point. visco-iso: isotropic-viscoelastic media Visco-aniso-1: viscoelastic HTI media with ε=0.11 and δ=0.09. visco-aniso-2: viscoelastic HTI media with ε=0.21 and δ=0.19. |
(1) 通过对各向异性衰减薄层地震响应的振幅特性分析发现,当介质存在衰减时,薄层的振幅曲线幅值较弹性介质幅度明显降低,衰减介质的整个偏移距范围内,最大和最小振幅差小于弹性介质.各向异性的引入将造成各向异性衰减,VTI和HTI衰减的振幅曲线不同,对于VTI或HTI各向异性衰减,增大或减小各向异性参数,振幅曲线将发生变化,即,幅曲线的变化可反映地下介质的各向异性衰减的差异性.
(2) VTI各向异性衰减薄层的PP波单频曲线,无论振幅、单频曲线都表现出较小的差异,即PP波单频曲线不可分辨VTI各向异性衰减层.而PS波单频曲线的极值点表现出强差异性,可将该特性视为VTI各向异性衰减薄层的识别属性.
(3) HTI各向异性衰减薄层,PP波单频曲线振幅、PS波单频曲线的极值点位置、极值振幅体现出较强差异性.上述三种属性可作为HTI各向异性衰减薄层的预测指标,将增加薄层预测的准确性.
| Al-Marzoug A M, Neves F A, Kim J J, et al. 2006. P-wave anisotropy from azimuthal AVO and velocity estimates using 3D seismic data from Saudi Arabia. Geophysics, 71(2): E7-E11. DOI:10.1190/1.2187724 | |
| Bakulin A, Grechka V, Tsvankin I. 2000. Estimation of fracture parameters from reflection seismic data-Part I:HTI model due to a single fracture set. Geophysics, 65(6): 1788-1802. DOI:10.1190/1.1444863 | |
| Carcione J M. 1990. Wave propagation in anisotropic linear viscoelastic media:theory and simulated wavefields. Geophysical Journal International, 101(3): 739-750. DOI:10.1111/gji.1990.101.issue-3 | |
| Carcione J M. 1992. Modeling anelastic singular surface waves in the earth. Geophysics, 57(6): 781-792. DOI:10.1190/1.1443292 | |
| Carcione J M. Wave Fields in Real Media:Wave Propagation in Anisotropic, Anelastic, Porous and Electromagnetic Media.(2nd ed). Amsterdam: Elsevier, 2007. | |
| Chapman M, Liu E R. 2005. The effect of abnormally high reservoir attenuation on AVO analysis.//75th Annual International Meeting, Society of Exploration Geophysicists, 277-280. | |
| Chapman M, Liu E R, Li X Y. 2006. The influence of fluid sensitive dispersion and attenuation on AVO analysis. Geophysical Journal International, 167(1): 89-105. DOI:10.1111/gji.2006.167.issue-1 | |
| Chichinina T, Sabinin V, Ronquillo-Jarillo G. 2006. QVOA analysis:P-wave attenuation anisotropy for fracture characterization. Geophysics, 71(3): C37-C48. DOI:10.1190/1.2194531 | |
| Deng X J, Peng S P, Lin Q X, et al. 2010. AVO forward method of anisotropic thin coal bed. Journal of China Coal Society (in Chinese), 35(12): 2053-2058. | |
| Gochioco L M. 1991. Tuning effect and interference reflections from thin beds and coal seams. Geophysics, 56(8): 1288-1295. DOI:10.1190/1.1443151 | |
| Gochioco L M. 1992. Modeling studies of interference reflections in thin-layered media bounded by coal seams. Geophysics, 57(9): 1209-1216. DOI:10.1190/1.1443336 | |
| Goodway B, Varsek J, Abaco C. 2006. Practical applications of P-wave AVO for unconventional gas Resource Plays.//Chinese SEG Technical Program Expanded Abstracts 2006, 52-65. | |
| Juhlin C, Young R. 1993. Implications of thin layers for amplitude variation with offset (AVO) studies. Geophysics, 58(8): 1200-1204. DOI:10.1190/1.1443504 | |
| Koefoed O, de Voogd N. 1980. The linear properties of thin layers, with an application to synthetic seismograms over coal seams. Geophysics, 45(8): 1254-1268. DOI:10.1190/1.1441122 | |
| Liu E R, Chapman M, Varela I, et al. 2007. Velocity and attenuation anisotropy:Implication of seismic fracture characterizations. The Leading Edge, 26(9): 1170-1174. DOI:10.1190/1.2780788 | |
| Liu Y B, Schmitt D R. 2003. Amplitude and AVO responses of a single thin bed. Geophysics, 68(4): 1161-1168. DOI:10.1190/1.1598108 | |
| Samec P, Blangy J P. 1992. Viscoelastic attenuation, anisotropy, and AVO. Geophysics, 57(3): 441-450. DOI:10.1190/1.1443258 | |
| Tsvankin I. 1995. Body-wave radiation patterns and AVO in transversely isotropic media. Geophysics, 60(5): 1409-1425. DOI:10.1190/1.1443876 | |
| Ursin B, Stovas A. 2002. Reflection and transmission responses of a layered isotropic viscoelastic medium. Geophysics, 67(1): 307-323. DOI:10.1190/1.1451803 | |
| Widess M B. 1973. How thin is a thin bed?. Geophysics, 38(6): 1176-1180. DOI:10.1190/1.1440403 | |
| Xu X K, Wang Y, Meng Z P. 2014. Quality factor characteristics of six metamorphic kinds of coals. Chinese J. Geophys. (in Chinese), 57(2): 644-650. DOI:10.6038/cjg20140227 | |
| 邓小娟, 彭苏萍, 林庆西, 等. 2010. 基于各向异性的薄煤层AVO正演方法. 煤炭学报, 35(12): 2053–2058. | |
| 许小凯, 王赟, 孟召平. 2014. 六种不同煤阶煤的品质因子特征. 地球物理学报, 57(2): 644–650. DOI:10.6038/cjg20140227 | |
2017, Vol. 60
