2. 中原油田分公司物探研究院, 河南濮阳 457001
2. Geophysical Exploration Research Institute, Zhongyuan Oilfield Company, Henan Puyang 457001, China
随着油气勘探开发的深入,勘探精度要求逐渐提高,地震波成像也逐步从构造成像向岩性成像发展.但是常规偏移方法的偏移算子是正演算子的共轭转置,而不是它的逆(Claerbout,1992).当地震数据采集不足或不规则,地下构造情况复杂或波场宽带有限时,常规偏移方法只能对地下构造模糊成像.最小二乘偏移(Least-Squares Migration)将成像看作是最小二乘意义下的线性反演问题,通过迭代不断拟合观测数据和反偏移数据,可以较好地解决上述问题,在一定程度上满足了人们对岩性成像的需求.
Tarantola(1984)首先给出了最小二乘反演问题的理论框架.随后,Nemeth等(1999)在实现最小二乘Kirchhoff偏移的基础上,证实了最小二乘偏移在成像缺失道和不规则数据方面的优势.Dai等(2011)将正则化项引入最小二乘偏移中,加快了收敛速度、提高了计算效率.黄建平等(2013)研究了最小二乘Kirchhoff偏移在碳酸盐岩储层中的应用.刘玉金等(2013)研究了局部倾角约束最小二乘偏移方法.Kühl和Sacchi(2003)、Clapp等(2005)、杨其强和张叔伦(2008)、Tang(2009)、沈雄君和刘能超(2012)、周华敏等(2014)、陈云峰等(2014)分别在最小二乘单程波方面做了深入的探讨.近年来基于双程波动方程的最小二乘逆时偏移(Least-Square Reverse Time Migration,LSRTM)算法逐渐成为研究热点(Dai et al.,2012;郭振波和李振春,2014;黄建平等,2014;李振春等,2014).
虽然LSRTM有诸多的优势,但目前仍未在实际生产中取得较好的应用,究其原因不仅仅是计算量过大的问题,更在于其振幅匹配策略难以满足.首先,实际地下介质是黏滞性的,声波方程不足以描述真实波场传播过程,因而简单的振幅匹配是不合适的;其次,常规LSRTM算法基于常密度假设,而实际介质是变密度的,也会对反射振幅能量产生影响;第三,实际震源子波的特征(能量、振幅及时延等)难以估计,且炸药震源的可重复性差,不同炮点位置的震源特征也不尽相同,更加限制了振幅匹配策略的应用(Zhang et al.,2013).最后,野外记录中常包含大量的非零均值干扰噪声,而常规LSRTM对噪声的容忍度低,从而带来了新的挑战.
为此,本文在前人研究的基础上,通过修改目标泛函,提出了去均值归一化的互相关LSRTM算法(Mean-residual Normalized Cross-Correlation LSRTM,MNCC-LSRTM). 首先,为了缓解震源子波能量的影响,引入振幅归一化策略.其次,考虑到互相关算法主要强调相位匹配,将其引入到LSRTM算法中,进一步弱化了子波的影响,提升了算法的稳定性和可靠性.最后,在上述基础上引入去均值思想,可在一定程度上提升算法的抗噪性,从而使本算法更加适用于实际资料的处理.理论模型试算和陆上实际资料处理都取得了较好的效果,验证了MNCC-LSRTM算法的有效性和实用性.
2 方法原理 2.1 线性化波动方程二维常密度声波方程可表示为如下形式:
|
(1) |
其中,s为慢度场,即速度的倒数; f 为震源项; p 是声压场.
将慢度场的平方s2分解为背景慢度场平方s02与扰动慢度场平方Δs2的叠加,即
|
(2) |
由场的叠加原理可知,总波场 p 可理解为由背景介质产生的背景波场 p 0和由扰动介质产生的扰动波场 p s叠加而成,即
|
(3) |
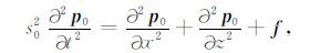
背景波场与总波场都满足波动方程,分别将其代入公式(1),可得如下两个公式:
|
(4) |
|
(5) |
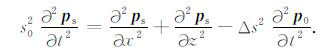
将公式(4)与(5)相减,并应用Born近似,用背景波场 p 0替代总波场 p 0+ p s,可得到扰动波场 p s的控制方程:
|
(6) |
公式(6)即为线性化Born正演(反偏移)方程,从中可以看出,扰动波场是背景波场与慢度扰动的相互作用作为二次震源在背景介质中传播产生的场,与慢度扰动呈线性关系,具有明确的物理含义.求解扰动波场 p s需要已知对应时刻的背景波场 p 0,即实际编程实现时,线性化正演(反偏移)过程需要求解两次正演方程:通过公式(4)得到当前时刻的背景波场,然后再利用公式(6)求得当前时刻的扰动波场.
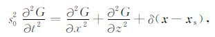
定义背景介质中的格林函数G满足:
|
(7) |
式中 x 为空间位置,x s为震源位置,δ为单位脉冲函数.
由公式(4)与(7),背景波场可表示为
|
(8) |
其中Ω为空间范围.同理,可将公式(6)中的扰动波场表示为
|
(9) |
式中 m =-Δs2为慢度平方的扰动,将其定义为模型参数.为方便后续的推导,公式(9)可写成算子的形式:
|
(10) |
其中,
基于反演的成像方法寻求最优的地下介质模型,以使得正演波场与观测波场残差的模最小,是一个最小范数问题,定义目标泛函为
|
(11) |
其中 p obs为观测记录,‖‖ 2代表向量的L2范数.
由公式(11)可得到真实反射模型的最小二乘解:
|
(12) |
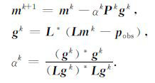
其中 L *为 L 的伴随算子.由于算子 L * L 比 L 更为不适定,(L * L)-1对数据误差和噪声高度敏感,且求逆运算的计算量巨大,因而直接求解公式(12)是不可取的,一般采用间接迭代类方法,如最速下降法、共轭梯度法等.
采用梯度导引类算法求解公式(11),通过计算目标泛函关于模型参数的梯度,不断迭代修改成像结果.以最速下降法为例,给出其更新过程.
|
(13) |
其中,αk为第k次迭代的更新步长, g k为第k次迭代的梯度. P k为预处理算子,最优的预处理算子应为Hessian矩阵的逆,但计算量巨大,直接求取并不现实.本文用背景波场的能量来近似Hessian矩阵的对角元素,在减少计算量的同时加速了收敛速度.
2.3 去均值归一化的互相关LSRTM本文提出了一种更加实用的LSRTM算法,用以克服常规LSRTM遇到的难题,使其能够较好地应用于实际资料处理中.首先是归一化算法,即分别对模拟记录和观测记录做归一化处理,使二者振幅基本匹配,从而减弱了震源子波能量的影响.其次,考虑到互相关算法主要强调相位匹配,将其引入到上述归一化LSRTM算法中,可进一步弱化振幅匹配的影响,增加算法在处理实际资料方面的稳健性.最后,将图像匹配领域常用的去均值思想引入到归一化互相关LSRTM算法中,可有效增加算法对低信噪比数据的适应性.
首先给出常规互相关准则LSRTM的目标泛函和梯度计算公式.其目标泛函为:
|
(14) |
其中

下面给出目标泛函关于模型参数的梯度求取过程:
|
(15) |
通过(15)式可以看出,与常规LSRTM的梯度相比,互相关准则LSRTM的梯度公式没有本质区别,主要不同在于互相关准则LSRTM的数据残差包含加权项,其权系数为归一化的模拟记录与观测记录的点积.
在常规互相关LSRTM的基础上,进一步给出MNCC-LSRTM的目标泛函:
|
(16) |
其中

LSRTM算法的关键在于梯度的求取,本文给出了MNCC-LSRTM的梯度详细推导过程:
|
(17) |
同样可以看出,MNCC-LSRTM的梯度与互相关LSRTM的梯度很相似,不同之处在于:本算法为了适用于含有非零均值的低信噪比数据,加入了去均值项.因MNCC-LSRTM的计算流程与常规LSRTM基本相同,编程实现时只需少量改变目标泛函和梯度计算即可,算法简单易实现.
3 模型试算 3.1 盐丘模型本文首先以SEG/EAGE盐丘模型为例,来验证算法的正确性及有效性.盐丘速度场如图 1a所示,对应的扰动模型如图 1b所示.从图 1可以看出,盐丘模型中存在高速异常体,通过对盐下弱照明区域的成像分析,可用于检验成像算法的优劣.模型参数如下:横向网格点数为645,纵向网格点数为150,网格间距20 m.计算参数为:在地表以200 m间隔均匀分布64炮,每炮都是645个检波点全接收,震源为主频16 Hz的雷克子波,时间采样间隔1 ms,最大记录时间4 s,图 2a为截取前2.4 s的某一单炮记录.
|
图 1 盐丘模型 (a)速度场;(b)扰动模型. Fig. 1 Salt model (a)Velocity model;(b)Perturbation model. |
|
图 2 单炮记录 (a)不含噪声;(b)含噪数据. Fig. 2 Single shot record (a)Without noise;(b)With noise. |
图 3a为常规逆时偏移剖面,其成像结果被严重的低频噪声覆盖,特别是在盐丘顶部.对图 3a采用Laplace滤波处理,可在一定程度上消除低频噪声,呈现出地下基本构造,滤波结果如图 3b所示.然而这种滤波处理方法是不保幅的,会破坏原有的振幅相对关系,且在表层附近引入了大量的高频噪声.LSRTM算法却可以很好地解决此类问题,理论上LSRTM算法可以做到真振幅成像,完全恢复地下 反射率剖面.图 3c和3d分别为采用常规振幅匹配 LSRTM计算得到的第10次和第30次的迭代结果.对比图 3可以看出,通过不断的迭代反演,LSRTM显著压制了成像结果中的低频和高频噪声,基本消除了震源效应,使整个剖面的振幅更加均衡,且成像分辨率也得到了极大的提高,盐下成像质量得到很大的提升.
|
图 3 盐丘模型成像结果对比 (a)常规逆时偏移剖面;(b)图(a)进行Laplace滤波结果;(c)LSRTM迭代10次结果;(d)LSRTM迭代30次结果. Fig. 3 Comparison of image results of salt model (a)RTM result;(b)Laplace filtering to(a);(c)Image result after 10 times of iteration of LSRTM;(d)Image result. after 30 times of iteration of LSRTM. |
图 4为图 3中的各个偏移剖面对应的总波数谱图,即各道波数谱的叠加,其中参考曲线为真实反射率模型(图 1b)的波数谱.从中可以看出,RTM结果中低频噪声占绝对优势,Laplace滤波后低频得到有效压制,但改变了真实波数谱分布,和参考波数谱有较大区别.LSRTM能够较好地保持各波数谱成分,且随着迭代次数的增大,高频分量逐渐得到恢复,更加靠近真实情况,从而验证了LSRTM可以获取地下高波数成分,进一步体现了LSRTM在提高分辨率方面的优势.
|
图 4 波数谱对比图 Fig. 4 Comparsion of wavenumber sepctra |
从上文可以看出LSRTM在理想情况下效果非常好,然而实际生产中震源子波是难以准确估计的.常用的炸药震源可重复性差,不同炮之间的震源能量不同.此外,实际表层结构异常复杂,横向变化剧烈,疏松介质处激发的震源能量可能比致密介质处激发的能量差数倍,这更加剧了常规LSRTM在处理实际资料上的困难.为了研究震源能量的影响,同样以上述盐丘模型为例,对最后十炮数据能量乘以5.然后分别采用常规LSRTM和本文MNCC-LSRTM算法对修改后的数据做成像试算,第30次的迭代结果如图 5所示.从图 5可以清楚地看出,由于常规LSRTM基于简单的振幅匹配,因而最后十炮在偏移剖面上的贡献巨大,基本压制了前54炮的能量,成像振幅极不均衡,而MNCC-LSRTM却仍可以较好地均衡地下振幅,降低偏移结果对子波能量的依赖,有一定的实用价值.
|
图 5 第30次迭代成像结果 (a)常规LSRTM;(b)MNCC-LSRTM. Fig. 5 Image result after 30 times iteration of LSRTM (a)Conventional LSRTM;(b)MNCC-LSRTM. |
上述讨论计算所用数据都是理想的不含噪声记录,而实际野外数据中常包含大量的干扰噪声,如图 2b所示为截取前2.4 s的某一含非零均值噪声的单炮记录.分别采用常规LSRTM和本文MNCC-LSRTM算法对该含噪数据做成像试算,第30次迭代结果显示如图 6所示.对比图 6可知,在信噪比较高的情况下,常规LSRTM(图 6a)和本文MNCC-LSRTM算法(图 6b)都可以得到较好的结果,常规LSRTM仅在模型左右两侧有少量干扰,基本不影响整个剖面的质量.且由于观测数据基本都是有效信息,能够较好地满足常规LSRTM的数据拟合要求,因而在部分区域,常规LSRTM得到的效果比本文算法要好.也就是说,本算法更善于处理含噪的模型数据和实际资料,在处理高信噪比数据时,优势不明显.
|
图 6 低含噪数据第30次迭代成像结果 (a)常规LSRTM;(b)MNCC-LSRTM. Fig. 6 Image result after 30 iterations of LSRTM (a)Conventional LSRTM;(b)MNCC-LSRTM. |
为了研究算法的抗噪性,进一步降低数据的信噪比,分别采用常规LSRTM、常规互相关LSRTM和本文MNCC-LSRTM算法对含噪数据进行成像试算,第30次迭代结果显示如图 7所示.对比图 7可以看出,当信噪比较低时,常规LSRTM(图 7a)和互相关LSRTM(图 7b)剖面中干扰非常多,严重损 坏了真实构造,且互相关LSRTM结果受噪声的影响更大,结果更差.而MNCC-LSRTM算法得到的成像结果(图 7c)仍然能较好地刻画地下构造,受噪声的影响较小,体现了本文算法在抗噪性方面的优势,使其应用于实际资料成为可能.
|
图 7 高含噪数据第30次迭代成像结果 (a)常规LSRTM;(b)互相关LSRTM;(c)MNCC-LSRTM. Fig. 7 Image result after 30 iterations of LSRTM (a)Conventional LSRTM;(b)Cross-correlation LSRTM;(c)MNCC-LSRTM. |
一种成像方法的好坏最终都需要经过实际资料处理的检验,然而由于地震数据信噪比、偏移速度场精度及LSRTM算法本身的各种问题,目前将LSRTM用于实际资料处理中的实例还较少,且国外已存的也基本都是用于海上资料.本文尝试将MNCC-LSRTM算法应用到陆上实际资料处理中,以期取得一定的效果.某陆上探区的偏移速度场如图 8所示,横向15 km,最大深度2.5 km.共100炮,且炮点分布极不规则,炮记录长度为4 s,采样点数为2001,采样间隔2 ms,道间距50 m.对应的某一单炮记录如图 9所示,可以看到虽然地震数据中存在大量的噪声,但几个主要同相轴仍清晰可见,因而数据整体质量还算可以,LSRTM算法有望得到好的效果.
|
图 8 速度场 Fig. 8 Velocity field |
|
图 9 实际资料炮记录 Fig. 9 Real shot record |
采用简单的子波估计算法估计出的震源子波为主频20 Hz的雷克子波,时间延迟40 ms.分别采用RTM和本文MNCC-LSRTM算法进行成像试算,对应的偏移剖面如图 10所示,其中图 10a为逆时偏移成像结果,图 10b为本文算法迭代30次成像结果.对比图 10可以清晰发现RTM能基本反映出地下构造,但振幅均衡性较差,而MNCC-LSRTM成像质量相比于RTM有了明显改善,深部和浅部的振幅更加均衡,且分辨率得到明显提高,弱信号得到一定的加强,对小尺度的刻画更加清晰.为了对比的更加清晰,选取一处进行局部放大显示,如图 11所示.椭圆位置处,RTM剖面中同相轴缺失、分辨率低,而本文结果明显压制了低频噪声,得到的同相轴连续性更好、分辨率较高,基本将RTM中间断的同相轴补全恢复了.此外,箭头所指位置处的两个同相轴,同样在RTM中较弱,不易分辨出,而通过MNCC-LSRTM的不断迭代,振幅能量得到有效补偿,同相轴清晰可见.
|
图 10 (a) 常规RTM剖面,(b)MNCC-LSRTM迭代30次剖面 Fig. 10 (a) Conventional RTM section.(b)MNCC-LSRTM section after 30 iterations |
|
图 11 局部放大图 (a)常规RTM剖面;(b)MNCC-LSRTM迭代30次剖面. Fig. 11 Partially enlarged diagram (a)Conventional RTM;(b)MNCC-LSRTM after 30 iterations. |
为了进一步检验本文算法的正确性,利用MNCC-LSRTM第30次迭代的结果做线性正演模拟(反偏移),得到的炮记录如图 12a所示,该炮对应的真实记录如图 12b所示.对比图 12可以看出,本文算法反偏移得到的炮记录与野外记录到的炮记录 吻合得非常好,主要同相轴的走时相位都基本相 同,从而可在一定程度上说明本算法的正确性.
|
图 12 (a) 反偏移记录,(b)真实炮记录 Fig. 12 (a) Shot record of demigration,(b)Real shot record |
针对常规最小二乘逆时偏移在处理实际资料时面临的困难,本文通过修改目标泛函,提出了去均值归一化的互相关最小二乘逆时偏移算法,并将其推广应用到陆上实际资料处理中.通过理论分析和模型试算,得到了如下几点结论与认识:
(1) 相比逆时偏移,LSRTM可明显改善成像 质量,压制成像噪声、均衡振幅和提高成像分辨率,从而实现复杂介质下的真振幅成像.
(2) 归一化互相关思想强调相位匹配,弱化振幅的影响,因而可以很好地解决常规LSRTM在震源子波估计方面的难题,显著提升算法的稳定性和可靠性.
(3) 常规LSRTM在低信噪比情况下难以取得令人满意的结果,而去均值策略在处理含噪数据方面有较大优势,可大大提高算法的抗噪性,进一步提升了算法的实用性.
最后,理论模型和陆上实际资料处理都验证了本算法的有效性和实用性,不过计算量过大也是不可回避的问题,因此应用GPU(Graphics Processing Unit,图形处理器)等快速计算设备(刘红伟等,2010)也将是本文今后的研究方向,此外研究合适的 正则化方法也可进一步加快收敛速度,提高计算效率.
致谢感谢Madagascar软件(http://www.reproducibility.org)提供的绘图支持,特别感谢两位评审专家为本文完善提出的宝贵意见,感谢编辑对本文修改给予的帮助.
| Chen Y F, Wang H Z, Ren H R, et al. 2014. Matrix representation of least square prestack migration based on linearization. Oil Geophysical Prospecting (in Chinese) , 49(6): 1091–1096. | |
| Claerbout J F. 1992. Earth Soundings Analysis:Processing Versus Inversion. Boston:Blackwell Scientific Publications. | |
| Clapp M L, Clapp R G, Biondi B L. 2005. Regularized least-squares inversion for 3-D subsalt imaging.//75th Annual International Meeting, SEG, Expanded Abstracts, 1814-1817. | |
| Dai W, Wang X, Schuster G T. 2011. Least-squares migration of multisource data with a deblurring filter. Geophysics , 76(5): R135–R146. | |
| Dai W, Fowler P, Schuster G T. 2012. Multi-source least-squares reverse time migration. Geophysical Prospecting , 60(4): 681–695. | |
| Guo Z B, Li Z C. 2014. True-amplitude imaging based on least-squares reverse time migration. Oil Geophysical Prospecting (in Chinese) , 49(1): 113–120. | |
| Huang J P, Li Z C, Kong X, et al. 2013. A study of least-squares migration imaging method for fractured-type carbonate reservoir. Chinese Journal of Geophysics , 56(5): 1716–1725. doi: 10.6038/cjg20130529. | |
| Huang J P, Cao X L, Li Z C, et al. 2014. Least square reverse time migration in high resolution imaging of near surface. Oil Geophysical Prospecting (in Chinese) , 49(1): 107–112. | |
| Kühl H, Sacchi M D. 2003. Least-squares wave-equation migration for AVP/AVA inversion. Geophysics , 68(1): 262–273. | |
| Li Z C, Guo Z B, Tian K. 2014. Least-squares reverse time migration in visco-acoustic medium. Chinese Journal of Geophysics , 57(1): 214–228. doi: 10.6038/cjg20140118. | |
| Liu H W, Li B, Liu H, et al. 2010. The algorithm of high order finite difference pre-stack reverse time migration and GPU implementation. Chinese Journal of Geophysics , 53(7): 1725–1733. doi: 10.3969/j.issn.0001-5733.2010.07.024. | |
| Liu Y J, Li Z C, Wu D, et al. 2013. The research on local slope constrained least-squares migration. Chinese Journal of Geophysics , 56(3): 1003–1011. doi: 10.6038/cjg20130328. | |
| Nemeth T, Wu C J, Schuster G T. 1999. Least-squares migration of incomplete reflection data. Geophysics , 64(1): 208–221. | |
| Shen X J, Liu N C. 2012. Split-step least-squares migration. Progress in Geophysics , 27(2): 761–770. doi: 10.6038/j.issn.1004-2903.2012.02.044. | |
| Tang Y X. 2009. Target-oriented wave-equation least-squares migration/inversion with phase-encoded Hessian. Geophysics , 74(6): WCA95–WCA107. | |
| Tarantola A. 1984. Linearized inversion of seismic reflection data. Geophysical Prospecting , 32(6): 998–1015. | |
| Yang Q Q, Zhang S L. 2008. Least-squares Fourier finite-difference migration. Progress in Geophysics (in Chinese) , 23(2): 433–437. | |
| Zhang Y, Duan L, Xie Y. 2013. A stable and practical implementation of least-squares reverse time migration.//83rd Annual International Meeting, SEG, Expanded Abstracts, 3716-3720. | |
| Zhou H M, Chen S C, Ren H R, et al. 2014. One-way wave equation least-squares migration based on illumination compensation. Chinese Journal of Geophysics , 57(8): 2644–2655. doi: 10.6038/cjg20140823. | |
| 陈云峰, 王华忠, 任浩然, 等. 2014. 线性反演最小二乘叠前偏移的矩阵形式解析. 石油地球物理勘探 , 49(6): 1091–1096. | |
| 郭振波, 李振春. 2014. 最小平方逆时偏移真振幅成像. 石油地球物理勘探 , 49(1): 113–120. | |
| 黄建平, 李振春, 孔雪, 等. 2013. 碳酸盐岩裂缝型储层最小二乘偏移成像方法研究. 地球物理学报 , 56(5): 1716–1725. | |
| 黄建平, 曹晓莉, 李振春, 等. 2014. 最小二乘逆时偏移在近地表高精度成像中的应用. 石油地球物理勘探 , 49(1): 107–112. | |
| 李振春, 郭振波, 田坤. 2014. 黏声介质最小平方逆时偏移. 地球物理学报 , 57(1): 214–228. | |
| 刘红伟, 李博, 刘洪, 等. 2010. 地震叠前逆时偏移高阶有限差分算 法及GPU实现. 地球物理学报 , 53(7): 1725–1733. | |
| 刘玉金, 李振春, 吴丹, 等. 2013. 局部倾角约束最小二乘偏移方法研究. 地球物理学报 , 56(3): 1003–1011. | |
| 沈雄君, 刘能超. 2012. 裂步法最小二乘偏移. 地球物理学进展 , 27(2): 761–770. | |
| 杨其强, 张叔伦. 2008. 最小二乘傅立叶有限差分偏移. 地球物理学进展 , 23(2): 433–437. | |
| 周华敏, 陈生昌, 任浩然, 等. 2014. 基于照明补偿的单程波最小二乘偏移. 地球物理学报 , 57(8): 2644–2655. | |
2016, Vol. 59
