2. 中国地震局地球物理研究所, 北京 100081;
3. 美国肯塔基地质调查局, 列克星敦 40506
2. Institute of Geophysics, China Earthquake Administration, Beijing 100081, China;
3. Kentucky Geological Survey, Lexington 40506, USA
场地条件是影响震害分布的重要因素.评估场地条件对地震动影响的方法主要有经验法和理论法两类.理论法是建立力学模型计算分析场地效应,主要可分为解析法和数值法两种.经验法则直接从实际地震记录或者利用仪器测量获得的数据进行统计分析.由于经验法可以使人们从实际地震记录中获得场地响应,不需要场地土介质甚至地形的具体参数,因此,随着强震观测资料的积累,直接利用强震记录的经验方法研究越来越多地受到国内外地震工程学者的重视.常用的经验方法有传统谱比法(Borcherdt,1970)、线性反演法(Andrews,1986)、参考事件法(Moya et al.,2003)以及水平/垂直谱比法(HVSR)(Nakamura,1989)等.在这些方法中HVSR方法不受参考场地、参考事件的约束,利用单台地震记录即可获得场地动力特性,因而备受研究者关注.HVSR方法最早应用于地脉动等微震领域,通过20多年的发展已扩展至强震领域,国内外许多学者将该方法应用于场地效应研究(Field and Jacob,1995;Field,1996;Lermo and Chávez-García,1993;Dimitriu et al.,1998;Satoh et al.,2001;Bonilla et al.,2002;Chen et al.,2009;王伟君等,2009;Xu et al.,2013;Nagashima et al.,2014),但该方法用于场地效应研究时的条件和适用范围仍没有明确的结论.本文利用GVDA台阵的强震观测记录研究了HVSR与传递函数的差异,探讨了可将HVSR作为传递函数研究地震作用下场地效应的适用范围.
2 HVSR方法和传统谱比法 2.1 HVSR方法HVSR方法最早是由Nakamura(1989)提出并应用于场地地脉动研究以获取场地本身的特性.这 一方法的理论出发点是认为地脉动中面波占相当大的成分,而场地放大效应主要由覆盖于弹性半空间上的软弱土层引起的.根据Nakamura的推导,地震工程中感兴趣的场地放大效应可以用如下比值来描述:
|
(1) |
其中,HS为地表地震动水平分量的傅氏谱,HB为土层底部基岩处地震动水平分量的傅氏谱.假定覆盖土层对地震动中的竖向分量不放大,则相对于基岩处的竖向分量,地表竖向分量的放大主要是面波引起的,为了估计面波成分在场地放大效应中的影响,定义参数AS为:
|
(2) |
其中,VS为地表地震动垂直分量的傅氏谱,VB为土层底部基岩处地震动垂直分量的傅氏谱.AS代表了引起场地放大效应的“源”的影响,AS>1时表示有面波影响,数值越大,其影响越显著.AS接近1时表示几乎无面波影响.因此,可利用AS对SE进行调整,得到新的场地放大函数SM:
|
(3) |
该式可变为:
|
(4) |
若假定基岩处水平和竖向分量相等,则场地效应可用(5)式表示:
|
(5) |
SM 即为水平与竖向谱比(HVSR).
2.2 传统谱比方法传统谱比法是最早提出的参考场地法,某个场地的地震动记录主要包含震源特性、地震波传播路径以及局部场地效应这三方面的信息.如果事先为所研究的场地选择一个参考场地,假定两个场地的距离相对震源距较小,则可以认为这两个场地地面运动观测谱的比值能较好地去除震源与传播路径的影响,若选择的参考场地为理想的均匀弹性半空间场地,则该比值能较准确地给出场地效应.传统谱比法有清晰的物理基础,能够很好地识别场地的卓越周期,但已有研究(Steidl et al.,1996)表明,通常情况下参考场地由于地表风化或介质的破裂等因素,仍具有其本身的场地反应,即使参考场地为完整的晶质岩体也难以避免其自身的高频放大,若能较好去除下行波和破坏性界面的影响,位于钻孔基岩层位的台站可用作很好的参考场地研究场地效应.因此,对于竖向台阵,本文直接使用式(1)作为传统谱比,将其谱比结果定义为传递函数(TF).
2.3 两种方法的应用现状HVSR方法已广泛应用于工程领域,如用地脉动测量场地卓越周期,但近些年来该方法的应用已经不限于地脉动而延伸至强震领域,并被许多专家学者用于研究弱震和强震作用下的场地效应(Lermo and Chávez-García,1993;Wen et al.,1994,2006;Nagashima et al.,2014).如Lermo和Chávez-García(1993)利用强震记录对墨西哥三个场地分别进行了HVSR与经验传递函数的比较研究,结果表明二者吻合较好,因此推断强震记录中的S波部分的HVSR可以被用于估计场地的经验传递函数.Wen等(2006)用HVSR方法对台湾的强震记录开展了研究,并认为HVSR可以揭示强震作用下的场地非线性效应.Nagashima等(2014)对日本KiK-Net台网记录的HVSR研究也得到了与Wen等(2006)相似的结论.此外,还有学者将HVSR方法与提取场地效应信息的传统方法,如传统谱比方法、广义反演法等进行了比较(Field and Jacob,1995;Field,1996;Dimitriu et al.,1998;Satoh et al.,2001;Bonilla et al.,2002),他们的研究结果证实HVSR方法能有效提取场地卓越周期信息,且其结果与传统谱比法、广义反演法等基本保持一致,但HVSR方法与其他谱比方法的幅值存在较大差异.在理论研究方面,Kawase等(2011)利用扩散场理论推导了一维情形下平面体波入射时地表水平与竖向谱比的表达式,进一步证实在三维均分扩散场的理论假设下,HVSR可用一维情况下的S波传递函数和P波传递函数的比值来表示.笔者通过对汶川、芦山地震及其余震序列的观测记录的HVSR分析表明,场地非线性程度的变化可以用卓越频率的变化来表征,在非线性情况下的HVSR与等效线性化方法获得的S波传递函数具有很好的对应性(Rong et al.,2016).本文也将利用HVSR和传统谱比方法开展对强震观测的对比分析.
3 研究对象与观测数据竖向台阵的强震观测记录为土层地震反应分析的理论、方法和模型合理性的研究提供了全面的验证依据.目前国内外已经建立了许多井下竖向台阵,并得到了大量不同深度处的地震记录.本文选用美国GVDA(Garner Valley Downhole Array)竖向台阵作为研究对象.
GVDA场地是美国研究机构NEES(Geoge E. Brown,Jr. Network for Earthquake Engineering Simulation)在地震较为活跃的南加州地区布设的场地地面运动研究台阵,其地理位置如图 1所示.它座落在南加州赫米特(Hemet)以东23 km,棕榈泉(Palm Springs)西南20 km的一个狭窄山谷中,距离San Jacinto断层仅7 km,距离著名的圣安德烈斯(San Andreas)断层35 km.该场地于1989年开始进行仪器观测,至今已经积累了长达25年的观测数据.GVDA场地强震观测台阵主要由沿山谷线性排列、跨度约250 m的5个地表加速度计以及从地表以下6 m至500 m布设的6个井下加速度计组成,此外,该场地还在不同深度布设了孔压传感器、深井水压传感器等,图 2给出了该场地加速度、孔压传感器的立面布置图.
|
图 1 GVDA台阵仪器布设示意图 Fig. 1 Plane view of the arrangement of the instruments at GVDA |
|
图 2 GVDA加速度和孔压传感器立面布设示意图 Fig. 2 Vertical view of the arrangement of the instruments and pore water pressure sensors |
GVDA场地近地表土层主要是由18~25 m厚的湖床沉积层组成,土类依次为粉砂、砂、含黏土砂、粉质土砾.在18~25 m之间由冲积层逐渐向风化花岗岩过渡.在25~88 m之间主要为砾砂组成的风化花岗岩.在88 m处及以下为南加州半岛花岗闪长岩岩基.该场地地下水位接近地表且随着季节和降雨量波动.在多雨年份,冬季和春季地下水位达到或刚好接近地表.夏季、秋季和少雨年份,地下水位下降到地表以下1~3 m.为了较准确地给出该场地的速度剖面,美国地质调查局(USGS)在该场地 开展了大量现场测试工作,也有学者开展了该场地速度结果的研究工作.如Theodulidis等(1996)在现场波速测量(Gibbs,1989)与场地19 m深度内钻孔取样波速测定(Pecker and Mohammadioun,1993)的基础上给出了GVDA场地的一维速度模型(表 1),并将该速度模型的理论传递函数与28次地震事件的经验传递函数均值曲线进行了比较,二者吻合良好.Bonilla等(2002)根据美国地质调查局在该场地开展的标准贯入(SPT)和静力触探(CPT)测量资料以及现场波速测试结果,通过合成理论地震图与实际观测的对比,对速度结构进行了调整,给出的速度剖面(如表 2所示)能达到合成理论地震图与实际观测结果的最佳拟合. 图 3给出了150 m范围内不同研究者给出的GVDA速度结构.
|
|
表 1 Theodulidis等(1996)给出的GVDA场地速度剖面 Table 1 Shear-wave velocity profile at GVDA proposed |
|
|
表 2 Bonilla等(2002)给出的GVDA场地速度剖面 Table 2 Shear-wave velocity profile at GVDA proposed by Bonilla et al.(2002) |
|
图 3 GVDA场地速度剖面 Fig. 3 Shear-wave and P-wave velocity profiles at GVDA |
由于本文主要考虑较为强烈的地震作用,当震中距较大时,地震能量的几何衰减和介质的阻尼效应将使得场地地表地震动变得较为微弱,难以造成工程破坏,因此本文选取了以GVDA场地为中心,半径300 km范围内所有使得场地地表峰值加速度(PGA)大于5 Gal的地震事件,选取地震的时间跨度为2004年1月1日至2015年10月31日.在该时段内符合条件的地震事件共计20次,表 3给出了 这些地震事件的详细信息(来源于美国工程强震数据中心 http://www.strongmotioncenter.org/).由 表 3可知,所考虑的地震事件震级变化范围为ML4.1~ML7.2,震中距变化范围为18.11~206.41 km,地表峰值加速度为5.23~168.22 Gal.
|
|
表 3 本文使用的地震事件的震源参数信息及相应的GVDA场地地表PGA Table 3 Earthquake parameters of the accelerograms used and corresponding PGAs of GVDA site |
对每一次地震事件,利用位于不同深度的加速度计获取的三分量加速度时程能给出不同深度处的HVSR曲线.图 4所示为2010年7月7日5.4级地震地表和井下加速度计记录到的三分量加速度时程,从该图可清晰地看到地震动从较深处向上传播时明显的逐层放大.
|
图 4 2010年7月7日ML5.4地震(事件ID: 10736069)中GVDA场地不同深度传感器记录到的加速度时程 Fig. 4 Time histories recorded by accelerometers at different depths of GVDA site during the ML5.4 earthquake on 7 July 2010(event ID:10736069) |
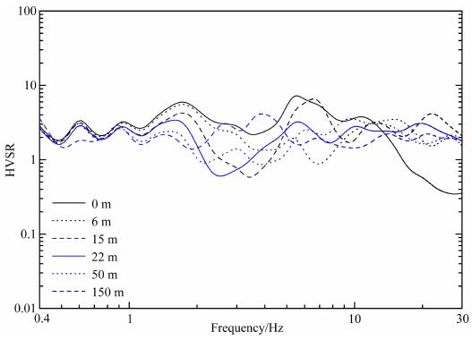
图 5为该次地震不同深度处的HVSR曲线.需要说明的是:在求取HVSR曲线时,本文采用了四个数据处理步骤:
|
图 5 利用EW/UD得到的GVDA场地不同深度的HVSR曲线 Fig. 5 HVSRs from EW/UD at different depths of GVDA site |
(1) 强震观测记录的基线校正与带通滤波.基线校正的目的是为了尽量减小或消除背景噪声、仪器噪声、仪器倾斜等引起的基线漂移(荣棉水等,2014),由于本文所有考虑的地震事件中场地记录到的最大地表PGA为168.22 Gal,振动过程中引起仪器倾斜的可能性很小,所以基线校正主要采用去除加速度记录均值、去除速度记录中线性倾斜趋势对应的加速度偏移两个步骤.带通滤波的目的是为了滤除仪器记录能力以外的频率成分,并进一步缩小研究感兴趣的频段范围.本文采用切比雪夫带通滤波器,通带范围为0.1~30 Hz;
(2) 截取强震观测记录的S波窗(如图 4所示).根据前述HVSR方法的理论分析,本文仅对地震动中的S波成分求得HVSR;
(3) 求取水平和竖向地震动时程的傅里叶谱谱比;
(4) 采用频率对数轴等间距的谱平滑方法(Konno and Ohmachi,1998)对谱比曲线进行谱平滑.图 5的结果表明不同深度处HVSR曲线的幅值和频谱存在较大差异.另外,对于HVSR中的水平分量,可以采用观测的EW分量或NS分量,也可以采用两个水平分量的均方根,图 6给出了不同方式得到的HVSR曲线,从图 6可知三者谱形较为一致,但幅值仍有明显差别,说明场地具有明显的各向异性.
|
图 6 采用不同形式的水平向地震动得到的GVDA场地地表HVSR曲线 Fig. 6 HVSRs curves of the surface of GVDA site from horizontal seismic motions in varied forms |
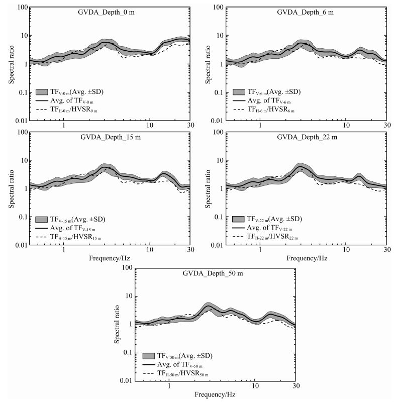
考虑到分别利用EW向与NS向作为水平分量得到HVSR曲线的差异,本文对表 3所列的20次地震事件均计算了GVDA场地不同层位的HVSR曲线.虽然20次地震震级、震中距、方位角等差异较大,但各次地震得到的同一层位HVSR无论幅值还是谱形均相似,这很可能与HVSR方法能较大程度消除震源和传播路径的影响而体现场地本身的特征有关.图 7中灰色阴影给出了20次地震事件平均HVSR曲线及其加减一倍方差构成的区域,斜线阴影给出了不同层位水平向地震动与150 m处水平向地震动的S波傅氏谱谱比均值及其加减一倍方差构成的区域,该谱比即为本文定义的传递函数(TF).由图 7可获得以下几点认识:
|
图 7 GVDA场地观测传递函数(TF)与观测HVSRs Fig. 7 HVSRs(shaded area without oblique lines)and transfer functions (shaded area with oblique lines)of seismic events recorded by GVDA |
(1) 分别采用观测的EW或NS分量作为水平分量得到的HVSR阴影区域在考虑的0.4~30 Hz频段几乎一致,仅在局部由于均值或方差不同会引起阴影形状和胖瘦的细小差别,表明总体上场地在EW和NS向呈现出的放大特征是几乎一致的;
(2) 斜线阴影与灰色阴影的谱形基本一致而幅值存在明显差别,表明传递函数与HVSR具有相似的分频段放大的特征,HVSR类似于传递函数但不能等同于传递函数,二者的差别主要体现在幅值上,传递函数的幅值基本上在所考虑的整个频段范围内大于HVSR曲线幅值;
(3) 随着深度的增大,传递函数与HVSR的幅值差异不断减小;
(4) 鉴于传递函数是研究场地放大效应公认的合理手段,其峰值频率即为场地卓越频率,本文的结果进一步证实了HVSR方法能准确地揭示场地的卓越频率,这一结果也与前人(Field and Jacob,1995;Field,1996;Dimitriu et al.,1998;Satoh et al.,2001)的研究结果一致.GVDA场地卓越频率约为1.8 Hz,该结果与Archuleta等(1992)的研究结果一致;
(5) 在150 m处HVSR近似为1,而GVDA场 地在150 m处剪切波速已达1632 m·s-1,可视为基岩,因此HVSR方法的基本假设之一,即基岩处水平和竖向分量相等对于该场地仍是成立的.
5 对观测结果的解释为了揭示HVSR与传递函数的幅值差异产生的原因,我们首先利用HVSR和传递函数基本公式做一推论,根据式(1)与式(5),传递函数与HVSR的比值可写为:
|
(6) |
第4节已经证实HB=VB,因此(6)式可变为:
|
(7) |
由此可知,TF与HVSR的比值能用竖向场地反应来表征.本文利用不同层位竖向地震动的S波 传递函数来表示竖向场地反应,参考场点选为150 m 处,20次地震事件的竖向地震反应均值用图 8中粗实线表示,均值加减一倍方差(Avg.±SD)所示的范围用阴影区域表示,虚线为TF与HVSR均值曲线的比值.图 8中图例TFH-0 m中下标“H”表示水平分量,“0 m”表示计算传递函数时分子对应的地震动时程的位置,分母均对应参考场地即深度150 m处的基岩地震动傅里叶谱,TFV-0 m中下标“V”表示垂直分量,“0 m”含义与TFH-0 m中的一致.由图 8可知,TF与HVSR均值曲线的比值与阴影区域无论谱形还是幅值均基本一致,表明HVSR与传递函数的幅值差异即为场地的竖向放大.
|
图 8 竖向地震动S波传递函数(参考场地为150 m)(阴影区域)与图中传递函数与HVSR曲线的比值(虚线) Fig. 8 Transfer functions from S-wave in vertical components(shaded area)(taking the depth of 150m as reference site) |
前文已述,Kawase等(2011)在利用扩散场理 论推导一维情形下HVSR表达式时已经证实在三维均分扩散场的理论假设下,HVSR可用S波传递函数和P波传递函数的比值来表示,Nakamura(1989)在提出HVSR方法时也曾认为地震动中的竖向成分主要由向上传播的P波引起.此外在假定地震波垂直向上入射水平层状场地的理想情况下,由于不存在SV-P转换,竖向地震动仅由垂直向上 传播的P波引起.虽然在现实情况中土层界面起伏不平、介质不均匀等因素会引起SV-P波转换和波在土层介质中的反复反射、折射,使得波动传播路径变得极为复杂,但总体而言利用P波输入获得的场地竖向地震反应仍能体现场地竖向放大的主要特征.
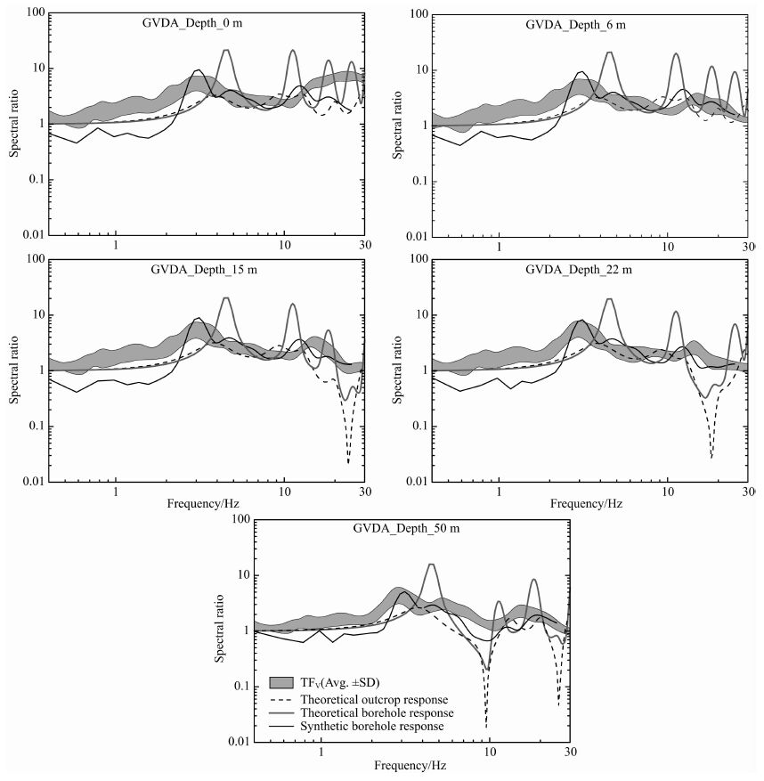
为进一步解释图 8中观测揭示的竖向场地放大效应,本文采用传递矩阵方法(廖振鹏,2002)给出了场地在线弹性情况下的竖向地震反应.场地速度结构采用表 2的GVDA速度模型(Bonilla et al.,2002).为揭示上行波、下行波效应引起的土层地震反应的差异,在吸纳已有学者研究(Bonilla et al.,2002)的基础上,定义钻孔响应(Borehole Response)和露头响应(Outcrop Response)如下:
|
(8) |
|
(9) |
其中O(ω)z=h为h深度处的场地运动观测谱,一般h取为0,表示地表观测谱.OT(ω)z=H表示在H深度处上行波和下行波叠加后的总的场地运动观测谱,OI(ω)z=H则表示在H深度处上行波傅氏谱,一般情况下H取为基岩面所在深度.钻孔响应Br(ω)是考虑了下行波影响后的场地响应指标,Or(ω)则为去除了基岩处下行波影响后的场地响应指标.
图 9中,观测得到的竖向地震反应峰值频率约为3 Hz,各层位竖向反应幅值均在1~10之间,且竖向反应的谱形较为类似,仅地表在10~30 Hz的较高频段内竖向反应谱比值高于其他层位.观测的总体趋势表明GVDA场地在0 m、6 m、15 m、22 m、50 m深度处竖向地震动差异并不大.图 9中给出了GVDA场地在不同层位处钻孔响应与观测结果的比较.场地钻孔响应的峰值频率约为4.5 Hz,与观测竖向反应峰值频率较为接近,表明竖向P波场地效应能较大程度揭示场地实际的竖向放大.为给出更多的波动传播特征并作为场地钻孔响应的参考和比较,图 9还给出了GVDA场地的露头响应,露头响应峰值频率约为4 Hz,更接近观测峰值.随着观测深度的增加,露头响应无论幅值还是谱形均逐渐接近钻孔响应,表明随着深度的增加,下行波效应逐渐减弱.本文给出的钻孔响应和露头响应均为场地在线弹性情况下P波垂直入射时的理论解,并未考虑介质阻尼和入射波角度的影响.为进一步考虑实际地震发生时不同类型波非垂直入射引起的界面波形转换以及介质的阻尼效应,本文基于表 2给出的地层模型并根据美国哈佛大学快速震源机制解提供的震源参数(http://www.globalcmt.org/),采用合成理论地震图的波数积分法(Herrmann,1996)合成了2010年7月7日ML5.4地震的理论地震图.表 4给出了合成该次地震理论地震图时的震源参数.合成GVDA不同层位的三分向理论地震图后,截取不同层位竖向地震动中的P波成分,计算不同层位相对于150 m深度处的钻孔响应,将结果绘制于图 9中.由图 9可知,单次地震的P波竖向场地放大与观测结果(阴影区域)的幅值和频谱均吻合较好,很好地印证了竖向场地放大效应主要由竖向地震动中P波成分引起的这一结论.
|
图 9 P波垂直入射时不同层位的钻孔响应、露头响应与观测得到的竖向场地放大的比较理论解为线弹性情况下传递矩阵法计算结果,合成解为合成理论地震图后的计算结果. Fig. 9 Borehole response,outcrop response and vertical site response at different depths under the excitation of vertical P-waves “Theoretical” means results from transfer matrix method under the condition of linear-elastic. “Synthetic” means results from synthetic seismogram. |
|
|
表 4 2010年7月7日ML5.4地震震源参数 Table 4 Focal parameters of the ML5.4 earthquake on 7 July 2010 |
第3节中对于多个强震观测事件开展的HVSR与TF的比较研究已经表明了HVSR具有类传递函数效应,HVSR曲线能准确确定场地的卓越频率,但其幅值仍与TF曲线有一定差异,差异即为竖向场地效应.这一研究结论已经明确证实了HVSR方法的两条基本假定之一,即“假定覆盖土层对地震动中的竖向分量不放大”是不适用于GVDA场地的,而已有研究者(Rong et al.,2016)对中国西部多个强震台站的HVSR与传递函数的比较研究却表明,利用基于小震(场地近似处于弹性状态)的HVSR反演得到场地速度结构后,无论在线性还是较大非线性的情形下,基于观测的HVSR在幅值和谱形上均与TF曲线吻合较好.如图 10中给出的中国西部51SFB台站场地与51WCW台站场地HVSR与一维等效线性化方法得到的TF曲线较为吻合,其中两个台站场地等效线性化计算依据的土层模型为根据实测钻孔模型、波速延拓经验关系等(喻畑和李小军,2015)得到的等效反演模型(Rong et al.,2016).这一研究结论似乎表明对这两个场地,竖向场地效应虽造成HVSR与TF之间频谱的差异,但对幅值的影响不大.本文研究与已有研究(Rong et al.,2016)结论的差异表明,不同场地的竖向放大效应可能存在较大差异,才导致有的场地(如中国西部51SFB、51WCW台站场地)HVSR较为接近传递函数,有的场地(如本文GVDA场地)HVSR与传递函数则有较大差异.为揭示不同场地竖向放大效应的差异,本文依据GVDA场地P波速度结构(表 2)和反演得到的51SFB、51WCW两个台站场地P波速度结构(表 5)分别得到了垂直入射 P波情况下的地表钻孔响应,如图 11所示.由图 11可知在小于1 Hz的低频段,三个场地几乎无竖向放大,51SFB、51WCW两个台站场地的竖向放大在<10 Hz 范围均可忽略,在>10 Hz的高频段则影响 显著,这也从侧面说明在接近线弹性情况下,在<10 Hz 的频率范围内,51SFB、51WCW 场地的传递函数与HVSR结果较为一致,图 10中观测地表PGA较小情况下的结果恰好印证了这一点.而对于GVDA场地,在>1 Hz的频率范围内,场地均表现出明显的竖向放大,HVSR曲线与TF曲线产生明显的幅值差别,这与图 7的观测结果也完全一致.因此将HVSR方法应用于场地效应研究时总体上具有与传递函数类似的效果,如它能准确揭示场地的卓越频率,但HVSR曲线幅值与TF曲线幅值可能存在较大的差异,差异取决于场地竖向放大效应的大小,而场地的竖向放大是频率相关的,在场地竖向放大可以忽略的频段范围内,HVSR方法与传递函数几乎一致.
|
图 10 中国西部51SFB台站场地(a)与51WCW台站场地(b)的HVSR(灰色线)与一维等效线性化方法得到的传递函数曲线(黑色线)的比较(Rong et al.,2016) Fig. 10 Comparison of the HVSRs(grey lines)of S-wave motions and transfer functions(black lines)of S-waves from 1-D equivalent-linear models at several PGA levels for stations 51SFB(a)and 51WCW(b)(Rong et al.,2016) |
|
|
表 5 51SFB与51WCW两个示例场地基于HVSR反演的P波速度结构(Rong et al.,2016) Table 5 P-wave velocity profiles of 51SFB and 51WCW derived from HVSR inversion(Rong et al.,2016) |
|
图 11 51SFB场地与51WCW场地垂直入射P波的钻孔响应 Fig. 11 Borehole responses of 51SFB and 51WCW to vertical incident P-waves |
本文利用美国GVDA竖向台阵记录到的20次地震事件的强震观测记录研究了场地不同层位HVSR曲线与TF曲线的差异和产生差异的原因,在此基础上给出了将HVSR方法应用于场地效应研究的适用范围.获得的结论如下:
(1) 对于GVDA场地,HVSR方法能准确给出场地的卓越频率,但其HVSR曲线幅值与TF曲线存在明显差异,这种差异源于场地的竖向放大效应.
(2) HVSR方法具有与传递函数类似的效果,但其与传递函数的一致性取决于场地的竖向放大,由于场地的竖向放大本身是频率相关的,因此在场地竖向放大可以忽略的频段范围内,HVSR方法可以作为传递函数研究场地效应.
HVSR方法应用于地震作用下场地效应的研究是当前地震工程领域的热点问题,由于该方法只需单台记录即可获得场地卓越频率、分频段的场地放大特征等重要信息,适用于缺乏竖向台阵的广大地区,因此在强震观测和场地效应研究领域具有广阔的应用前景.本文给出的研究结论有利于初步确定该方法的适用范围,应该指出,对非线性和较复杂场地情形下方法的应用仍需大量的理论研究.
致谢本文台站及强震数据资料均来源于美国工程强震数据中心(http://www.strongmotioncenter.org/),美国肯塔基地质调查局Carpenter Seth博士、加州理工大学石健博士、甘肃省地震局陈继峰副研究员与作者就研究结果进行了许多有益的讨论并提出了宝贵的建议,在此表示感谢!
| Andr ews D J. 1986. Objective determination of source parameters and similarity of earthquakes of different size.//Das S, Boatwright J, Scholz C H eds. Earthquake Source Mechanics. Washington, D. C., AGU:259-267. | |
| Archuleta R J, Seale S H, Sangas P V, et al. 1992. Garner Valley downhole array of accelerometers:instrumentation and preliminary data analysis. Bulletin of the Seismological Society of America , 82(4): 1592–1621. | |
| Bonilla L F, Steidl J H, Gariel J C, et al. 2002. Borehole response studies at the Garner Valley Downhole Array, Southern California. Bulletin of the Seismological Society of America , 92(8): 3165–3179. | |
| Borcherdt R D. 1970. Effects of local geology on ground motion near San Francisco Bay. Bulletin of the Seismological Society of America , 60(1): 29–61. | |
| Chen Q F, Liu L B, Wang W J, et al. 2009. Site effects on earthquake ground motion based on microtremor measurements for metropolitan Beijing. Chinese Science Bulletin , 54(2): 280–287. | |
| Dimitriu P P, Papaioannou C A, Theodulidis N P. 1998. EURO-SEISTEST strong-motion array near Thessaloniki, northern Greece:a study of site effects. Bulletin of the Seismological Society of America , 88(3): 862–873. | |
| Field E H, Jacob K H. 1995. A comparison and test of various site-response estimation techniques, including three that are not reference-site dependent. Bulletin of the Seismological Society of America , 85(4): 1127–1143. | |
| Field E H. 1996. Spectral amplification in a sediment-filled valley exhibiting clear basin-edge-induced waves. Bulletin of the Seismological Society of America , 86(4): 991–1005. | |
| Gibbs J F. 1989. Near-surface P-and S-wave velocities from borehole measurements near Lake Hemet, California. Open-File Report 89-630. | |
| Herrmann R B. 1996. Computer programs in seismology:an overview of synthetic seismogram computation (version 3). Department of Earth and Atmospheric Science, St. Louis University, St. Louis, Missouri. 33-47. | |
| Kawase H, Sánchez-Sesma F J, Matsushima S. 2011. The optimal use of Horizontal-to-Vertical spectral ratios of earthquake motions for velocity inversions based on diffuse field theory for plane waves. Bulletin of the Seismological Society of America , 101(5): 2001–2004. | |
| Konno K, Ohmachi T. 1998. Ground-motion characteristics estimated from spectral ratio between horizontal and vertical components of microtremor. Bulletin of the Seismological Society of America , 88(1): 228–241. | |
| Lermo J, Chávez-García F. 1993. Site effect evaluation using spectral ratios with only one station. Bulletin of the Seismological Society of America , 83(5): 1574–1594. | |
| Liao Z P. Introduction to Wave Motion Theories in Engineering. (in Chinese) Beijing: Science Press, 2002 : 51 -60. | |
| Moya A, Irikura K, Loh C H, et al. 2003. Estimation of site-effects and Q factor using a reference event. Bulletin of the Seismological Society of America , 93(4): 1730–1745. | |
| Nagashima F, Matsushima S, Kawase H, et al. 2014. Application of horizontal-to-vertical spectral ratios of earthquake ground motions to identify subsurface structures at and around the K-NET site in Tohoku, Japan. Bulletin of the Seismological Society of America , 104(5): 2288–2302. | |
| Nakamura Y. 1989. A method for dynamic characteristics estimation of subsurface using microtremor on the ground surface. QR Railway Tech., Res. Inst. , 30(1): 25–33. | |
| Pecker A, Mohammadioum B. 1993. Garner Valley:analyse statistique de 218 enregistrements sismiques.//Proceedings of the 3eme Colloque National AFPS, Saint-Remy-les-Chevreuse. France. | |
| Rong M S, Peng Y J, Yu T, et al. 2014. Optimized baseline correction method for the near-fault observation strong motion records. China Civil Engineering Journal (in Chinese) , 47(Suppl.2): 300–306. | |
| Rong M S, Wang Z M, Woolery E W, et al. 2016. Nonlinear site response from the strong ground-motion recordings in western China. Soil Dynamics and Earthquake Engineering , 82: 99–110. | |
| Satoh T, Kawase H, Matsushima S. 2001. Differences between site characteristics obtained from microtremors, S-waves, P-waves, and codas. Bulletin of the Seismological Society of America , 91(2): 313–334. | |
| Steidl J H, Tumarkin A G, Archuleta R J. 1996. What is a reference site?. Bulletin of the Seismological Society of America , 86(6): 1733–1748. | |
| Theodulidis N, Bard P Y, Archuleta R, et al. 1996. Horizontal-to-vertical spectral ratio and geological conditions:the case of Garner Valley Downhole Array in Southern California. Bulletin of the Seismological Society of America , 86(2): 306–319. | |
| Wang W J, Liu L B, Chen Q F, et al. 2009. Applications of microtremor H/V spectral ratio and array techniques in assessing the site effect and near surface velocity structure. Chinese Journal of Geophysics , 52(6): 1515–1525. doi: 10.3969/j.issn.0001-5733.2009.06.013. | |
| Wen K L, Beresnev I A, Yeh Y Y. 1994. Nonlinear soil amplification inferred from downhole strong seismic motion data. Geophysical Research Letters , 21(24): 2625–2628. | |
| Wen K L, Chang T M, Lin C M, et al. 2006. Identification of nonlinear site response using the H/V spectral ratio method. Terr. Atmos. Ocean. Sci. , 17(3): 533–546. | |
| Xu P F, Ling S Q, Ran W Y, et al. 2013. Estimating cenozoic thickness in the Beijing plain area using array microtremor data. Seismological Research Letters , 84(6): 1039–1047. | |
| Yu T, Li X J. 2015. Empirical estimation of Vs30 in the Sichuan and Gansu provinces. China Earthquake Engineering Journal (in Chinese) , 37(2): 525–533. | |
| 廖振鹏. 工程波动理论导论. 北京: 科学出版社, 2002 : 51 -60. | |
| 荣棉水, 彭艳菊, 喻畑, 等. 2014. 近断层强震观测记录基线校正的优化方法. 土木工程学报 , 47(Suppl.2): 300–306. | |
| 王伟君, 刘澜波, 陈棋福, 等. 2009. 应用微动H/V谱比法和台阵技术探测场地响应和浅层速度结构. 地球物理学报 , 52(6): 1515–1525. | |
| 喻畑, 李小军. 2015. 四川、甘肃地区Vs30经验估计研究. 地震工程学报 , 37(2): 525–533. | |
2016, Vol. 59

