2. 中国科学院大学, 北京 100049
2. University of Chinese Academy of Sciences, Beijing 100049, China
地表重力固体潮的观测和研究目的之一是为了获得地球在日月等引潮力作用下的形变特征,从而获得地球深部构造特征等.目前,普遍使用的重力固体潮模型DDW99(Dehant et al.,1999)和M2001(Mathews,2001)已顾及到地球的自转、椭率、非弹性、非流体静力平衡和横向不均匀性等诸多复杂因素的影响,因此,DDW99和M2001能非常好地刻画固体地球对引潮力的响应特征.随着观测技术的不断提高,应用于固体潮研究的重力仪类型主要有弹簧型和GWR超导型两种,Baker和Bos(2003)与孙和平等(2005)基于全球超导及弹簧重力仪的观测资料和最新海潮模型获得的潮汐参数与DDW99理论模型间的差异小于0.3%,说明高精度潮汐重力观测可以用来检验固体潮模型的适定性.
南极台站处于特殊的地理位置和自然环境,受局部环境影响较大,实施长期连续重力观测,对该地区进行的大地测量和地球物理研究具有重要作用,因此及时了解台站背景噪声水平和海洋潮汐对重力观测影响显得尤为重要.Aoyama等(2015)开展了日本昭和站的固体潮研究.徐建桥等(2002b)也曾利用南极中山站观测资料(1998年12月26日到2000年1月9日)初步研究了重力潮汐的海潮负荷效应.
近年来,随着卫星测高技术的发展、验潮站观测资料的积累以及有限元方法的完善,国际同行已成功构制多个高精度全球海潮模型,其分辨率最高可达0.125°×0.125°.此外,利用最新观测资料获得台站及仪器在地震(2 min~1 h)和亚地震(1~6 h)频段的噪声水平对于台站选取、仪器校正、Slichter模探测、地球参数确定及区域研究具有重要参考价值,然而,我们对南极台站的背景噪声研究甚少.因此,本文基于南极中山与昭和站2010年1月1日至2012年12月31日重力潮汐观测数据及最新的全球海潮模型,研究该地区的海潮负荷改正特征及仪器在地震、亚地震和潮汐频段的背景噪声,从而为南极区域及全球地球动力学等研究提供参考.
2 重力潮汐观测及资料分析处理中国科学院测量与地球物理研究所自1991年3月起,采用LaCoste-Romberg(LCR)ET20高精度弹簧重力仪在南极中山站(南纬39.371°,东经76.365°)开展了连续重力观测.自1994年开始,重力观测改用了LCR ET21弹簧重力仪.LCR型弹簧重力仪是一种高精度相对重力仪,多年的连续观测和高质量资料获得说明仪器工作稳定.仪器记录格值由测量螺杆位移法得到,每月标定一次,从格值标定结果看,标定因子精度在1%量级,观测仪器均在武汉国际重力潮汐基准站上作过格值标定和长期定点观测,从而保证了在南极的重力潮汐观测统一在国际基准上(许厚泽等,2000).日本自1992年起,在昭和站(南纬69.007°,东经39.586°)安装了型号为TT-70#016的超导重力仪,并实施连续重力观测,2003年4月重新安装了型号为CT#043的超导重力仪.在2009年12月至2010年1月又更新安装了SG#058型超导重力仪.尽管仪器生产厂商提供了初步格值(-750 nm·s-2·V-1),即输出电压与重力变化之间的转换因子,但由于运输、安装和时间推移使得格值因子变化.因此,通过FG5#203绝对重力仪与OSG#058超导重力仪在2010年1—2月同址对比观测,重新获得的格值因子为-738.226±0.53 nm·s-2·V-1,比厂家提供的格值小1.6%,标定精度达到0.07%(Aoyama et al.,2015),满足了该地区高精度重力连续观测要求.表 1列出了本文所用数据时间段、台站和仪器等基本信息.
|
|
表 1 台站经纬度、仪器型号及观测区间 Table 1 The latitude and longitude,the instrument type and observation intervals of the stations |
中山与昭和站重力固体潮原始观测分别绘制在图 1a和图 2a中,可以看出中山站原始重力值突跳较多,主要由弹簧重力仪多次出现粘摆及故障造成.昭和站观测数据的突跳较少,但由于仪器故障出现一个大间断(2011年1月1日至4月30日).采用国际地球潮汐中心推荐的重力固体潮观测资料预处理软件“T-Soft”(Van Camp and Vauterin,2005),通过移去—恢复直接的人-机对话方式实施原始资料的修正.首先,在原始观测序列中减去该台站的理论合成潮,得到重力潮汐的观测残差序列,通过线性插值、三次样条插值、阶跃和间断等修正器剔除并改正错误数据(如尖峰、突跳、仪器掉格、大地震干扰等),内插一些由于偶然因素(断电、仪器故障等)引起的较小中断;然后通过多项式拟合扣除仪器的长期漂移项;最后,将预处理后的残差序列与理论合成潮相加得到处理后的重力潮汐资料,再将高密度采样资料转换成每小时采样序列(见图 1d和图 2d),即获得重力潮汐调和分析所需要的数据序列.
|
图 1 中山站潮汐重力与气压变化 (a)原始潮汐重力观测;(b)气压变化值;(c)非潮汐变化;(d)预处理后的重力观测. Fig. 1 Tidal gravity and atmospheric pressure at Zhongshan station |
|
图 2 昭和站潮汐重力与气压变化 (a)原始潮汐重力观测;(b)气压变化值;(c)非潮汐变化;(d)预处理后的重力观测. Fig. 2 Tidal gravity and atmospheric pressure at Syowa station |
图 1b和2b还分别给出了中山与昭和站的气压变化,图 1c和2c分别给出了重力场的非潮汐变化,即残差变化.
利用Eterna3.30标准分析软件(Wenzel,1996)对重力潮汐观测序列作调和分析,精密确定重力潮汐参数.其中,核心为ANALYZE部分,其基本原理是,t时刻的观测值可表示为
|
(1) |
式中,M为波群数,Amn、ωmn、φmn为第m波群中第n个潮波分量的理论振幅、角频率和初始相位,δm和Δφm 为第m波群待估算的振幅因子和相位滞后,Dr(t)为仪器的零点漂移,P(t)和Pole(t)分别为气压和极潮观测值,ak和b分别为大气和极潮导纳值,ε(t)为观测误差.
利用带通滤波器对每小时采样的重力潮汐序列进行滤波处理,得到包含长周期潮波、周日和半日等波段与重力潮波信息相关的组合序列,对其实施加权最小二乘估计以确定各潮汐波的振幅因子δ和相位滞后Δφ,同时获得大气重力导纳值和零漂的切比雪夫多项式逼近系统.在调和分析中,我们选择了Hartmann和Wenzel给出的高精度引潮位分波表(Hartmann and Wenzel,1995).潮汐分析获得的主要周日、半日潮波的振幅因子和相位滞后结果列于表 2.可以看出,与Iwano等(2005)文中结果相比,昭和站各主要振幅因子的差异小于0.8%;与徐建桥等(2002b)文中结果相比,中山站各主要振幅因子的差异小于1.0%,其原因除了仪器观测误差以外,主要受区域环境效应影响所致.
|
|
表 2 南极中山与昭和站主要潮波观测振幅因子 Table 2 Observed amplitude factors for main waves at Zhongshan and Syowa stations in Antarctic |
研究表明,大气效应是重力潮汐观测噪声的主要来源之一,其中90%~95%以上来自于台站周边50 km区域内的大气负荷效应(Sun et al.,2013;孙和平和罗少聪,1998),而观测残差与台站气压变化之间具有非常强的相关性.因此,采用台站气压与重力非潮汐变化之间的转换函数(称之为大气重力导纳)即可很好地描述局部大气影响效应.实施台站气压与重力残差间的线性回归计算,得到大气重力导纳值.在中山站,大气重力导纳值为-15.296±0.077 nm·s-2·hPa-1,与理论模拟计算结果(孙和平和罗少聪,1998)存在明显的差异,可能因为:(1)南极地区特殊的海洋的“反变气压计”响应耦合其中;(2)在冬季,仪器内部的环境温度没有达到本体工作的温度要求,而导致仪器灵敏度和零漂的扰动(徐建桥等,2002a).昭和站的大气重力导纳值为-3.995±0.006 nm·s-2·hPa-1,与理论值基本一致.
根据这一导纳值实施气压改正后,中山与昭和站 的重力潮汐调和分析标准差分别从18.848 nm·s-2和4.364 nm·s-2下降到11.775 nm·s-2和0.946 nm·s-2. 图 3给出了重力残差在频率域变化特征,可以看出在扣除重力潮汐信号后,两台站频率域的背景噪声均在nm·s-2量级.进一步分析发现中山站的残差振幅大于昭和站,主要原因是弹簧重力仪的观测精度低于超导重力仪.另外,中山站较昭和站距海更近,受海潮负荷影响更加明显,两台站的区域环境(如局部冰川的融化或加载和大气压力等)等也是导致差异的原因.
|
图 3 中山与昭和站潮汐重力残差频谱图 Fig. 3 The spectrogram of tidal gravity residuals at Zhongshan and Syowa stations |
研究表明,重力潮汐观测残差主要来自于全球和局部的海洋潮汐负荷效应,在全球大部分区域,海潮重力负荷效应达到观测振幅的1%~2%,特别在 一些沿海地区,其影响更大,可以达到其振幅的3%~4%. 而在南极地区的重力潮汐观测受海潮影响很大,必须予以消除.中山站距海不足10 m,重力观测 的O1和M2波残差达到28 nm·s-2和19 nm·s-2,分别为其振幅的13.83%和20.55%;昭和站距海约250 m,重力观测的O1和M2波的观测残差达到 20 nm·s-2和22 nm·s-2,分别为其振幅的10.84%和21.52%.由于海洋潮汐和重力潮汐的力源相同,二者具有相似的频谱特征,因此海潮的影响无法在观测资料中直接分离,必须通过海潮模型独立计算获得海潮负荷影响(许厚泽等,1982).
表 3列出了本文使用的海潮模型名称和其统计特征,其中Dtu10,Eot11A和HAM11A(Cheng and Andersen,2011;Savcenko and Bosch,2012;Taguchi et al.,2014)是最新的海潮模型,空间分辨率为0.125°×0.125°,均包含4个主要周日潮波(Q1,O1,P1,K1)和4个主要半周日潮波(N2,M2,S2,K2).DTU10全球海潮模型基于FES2004海潮模型的经验性改进得到,除了使用18年(1993—2010)的TOPEX,Jason 1和Jason 2的观测数据外,还引入了4年的TOPEX-Jason 1交叉任务数据,并且在测 高卫星盲区中的南北纬66°~ 82°区域采用了Envisat,GFO和ESR-2等卫星的观测数据.Eot11A全球海 潮模型基于1992年10月至2010年5月由TOPEX,Jason 1,Jason 2,ESR-2和Envisat在无冰海洋区观 测到的海平面高分析所得,在南北纬81.5°至两极等同于FES2004全球海潮模型.HAM11A全球海潮模型是以Eot11A在北纬74°至南纬84°的负荷值作为限制条件的全球海洋正压数据同化模型.为了突出最新 海潮模型改正的有效性,本文还计算了CSR3.0(Eanes,1994),GOT00(Ray,1999)和FES95.2(Provost et al.,1994)全球海潮模型对重力潮汐的影响.
|
|
表 3 海潮模型特征统计 Table 3 The features of ocean tide models |
根据Farrell(1972)的经典负荷理论,本文采用Agnew的积分格林函数法将海潮与重力格林函数进行褶积积分,得到海潮负荷效应:
|
(2) |
式中,L(θ,λ,t)为某一地点某一时刻的海潮负荷,t是时间,θ,λ分别是计算点的余纬和经度,a为地球半径,ρ为海水密度,H(θ′,λ′,t)为瞬时潮高,θ′,λ′分别为负荷点的余纬和经度,G(ψ)为与角距有关的重力格林函数,它是负荷勒夫数组合的函数.
计算得到的重力负荷结果列于表 4和表 5.由表可知,海潮负荷对中山与昭和站的O1、K1和M2潮波振幅的影响达到了2 μGal量级.根据矢量叠加原理,即可在重力潮汐观测中剔除海潮负荷效应,获得改正后各潮波的潮汐参数.图 4给出了海潮负荷改正示意图,由图所示,矢量 A th为固体潮理论值,矢量 A 为固体潮观测值,矢量 L 为海潮负荷(其振幅和相位分别为L和λ),重力潮汐观测残差矢量记为 B(振幅和相位分别记为B和β),最终残差矢量记为 X(其振幅和相位分别记为X和χ),σ为潮波的频率,那么,观测残差矢量 B 、最终残差矢量 X和海潮改正后的潮汐参数δc和Δφc分别为
|
(3) |
|
|
表 4 主要潮波海潮重力负荷矢量(中山站) Table 4 Gravity loading vectors for main waves(Zhongshan station) |
|
|
表 5 主要潮波海潮重力负荷矢量(昭和站) Table 5 Gravity loading vectors for main waves(Syowa station) |
|
图 4 海潮负荷改正示意图 Fig. 4 Sketch of ocean tide loading correction |
图 5和6分别给出了中山与昭和站4个主要潮波海潮改正前后的残差振幅,在直方图中,每组第一个代表对应潮波的观测残差矢量的振幅,后面6个从左至右依次为经DTU10、Eot11A、HAM11A、CSR3.0、 GOT00和FES95.2全球海潮模型改正后的最终残差振幅.可以看出,三个最新海潮模型对重力潮汐改正的有效性优于CSR3.0,GOT00和FES95.2,尤其是在昭和站,这主要是因为DTU10、Eot11A和HAM11A在南北纬66°~ 82°区域使用了Envisat,GFO和ESR-2等卫星观测数据,从而提高了海潮模型在该区域的精度.经海潮负荷改正后,各主要潮波振幅残差明显减小.但与理论值相比,最 终残差振幅仍然较大,并且中山站最终残差振幅大于昭和站,以O1波经DTU10作海潮负荷改正为例,中山 与昭和站的最终残差振幅分别为10.999 nm·s-2和4.073 nm·s-2. 主要原因是前者距海更近,其残留的近海效应大,也 可能是重力观测仪器精度低及局部环境等因素引起.
|
图 5 经海潮负荷改正前后的残差振幅(中山站) Fig. 5 Residual amplitudes before and after loading correction (Zhongshan station) |
|
图 6 经海潮负荷改正前后的残差振幅(昭和站) Fig. 6 Residual amplitudes before and after loading correction (Syowa station) |
经最新三个海潮模型的重力负荷均值改正后,中山与昭和站各主要潮波的振幅因子和相位差与理论值之间的差异明显减小.中山站O1和M2振幅因子与理论值间的差异分别由13.83%和20.55%下 降到5.32%和5.95%,昭和站O1和M2振幅因子与理论值间的差异分别由10.84%和21.52%下降到1.91%和3.40%,证明了海潮负荷改正的有效性.分析重力潮汐观测结果和相应的理论值之间还存在差异的原因,一方面,在南极区域,由于缺少高精度的卫星测高以及验潮站数据,导致海潮模型的精度较差,另一方面,两台站距海洋很近,受海岸线及近海效应所致.要精密确定该地区的海潮负荷效应,必须构建精确的局部海潮模型,尤其应考虑使用高分辨率的海陆边界数据,因为海陆边界数据对海岸线复杂的沿海台站海潮负荷效应至关重要,特别是中山站非常靠近海岸线,海陆边界形状的影响更为显著.
4 背景噪声我们将Banka 与Crossley(Banka and Crossley,1999)提出的计算地震频段(2 min~1 h)背景噪声水平的处理流程应用于中山与昭和站,以获得南极地区重力台站背景噪音水平,下面介绍主要流程.
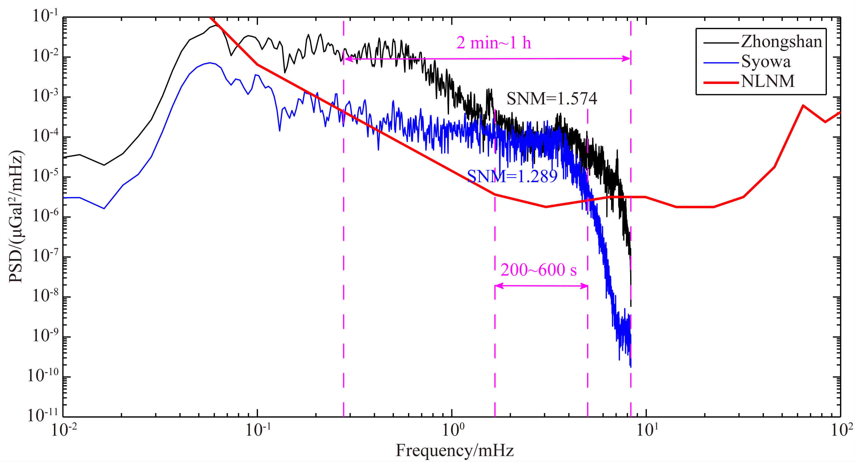
借助于Tsoft重力固体潮数据处理软件人-机对话方式的优越性对原始观测资料实施修正.首先,对中山与昭和站每分钟采样的原始观测序列进行格值标定,分别将重力与气压值的单位转化为微伽与毫帕,为了避免在对重力数据作气压改正时将气压中的间断、突跳和尖峰等影响引入其中,使用线性插值、三次样条插值、阶跃和间断等修正器对气压观测时间序列作预处理.然后,以每天的观测数据为一个文件,在重力观测序列中减去理论合成潮,利用Eterna调和分析得到的气压重力导纳值扣除大气影响效应,为了扣除仪器的漂移及其他残留潮汐信号,再减去一个与之拟合最佳的9次多项式,得到重力潮汐的残差序列.进而,计算每天重力残差的均方根,选取5个均方根最小的文件用来代表该时间段地震背景噪声最小的5天,对这5个数据文件加汉宁窗做FFT变换,再计算这5天的非标准化振幅谱的平均值,并且绘制出功率谱密度曲线(图 7).
|
图 7 2010—2012年期间最平静5天的功率谱密度 Fig. 7 The power spectral density of 5 quietest days in 2010—2012 |
地震频段的背景噪声水平通常由“地震噪声等级”(SNM)来衡量,其中该值是将200~600 s的平均功率谱代入公式(4)求得的.这里,中山与昭和站的SNM分别为1.574和1.289,即利用弹簧重力仪观测的中山站在地震频段噪声略大,主要原因可分为两个方面:观测仪器(例如,传感器和数据采集系统等)和局部环境(气压、海潮和温度等).另外,图 7 中给出了地震学的参考噪声模型“新低噪声模型” (NLNM),该模型是利用地震仪得到的背景噪声水平的下限,通过对比可以看出,中山站的弹簧重力仪与昭和站的超导重力仪比地震仪在地震频段的背景噪声大,而在更长周期频段时则相反,这也与Rosat等(2003)给出的结论相符,说明地震仪在提取高频信号时具有优势,而重力仪在研究低频信号信息时具有优势.此外,我们得到的昭和站在地震频段的背景噪声水平与Rosat和Hinderer(2011)的结果基本吻合,进一步说明在GGP全球超导重力仪台站中,南极昭和站背景噪声较高,这与该区域地壳及上地幔的构造运动等环境因素有关,对今后充分利用该台站研究区域地球动力学等问题具有重要参考意义.
|
(4) |
亚地震(1~6 h)频段的背景噪声水平与地震频段的背景噪声水平一般存在较高的线性相关性,即若台站在地震频段背景噪声水平低,则在亚地震频段的背景噪声水平也低;反之亦然.因此,在亚地震频段,利用弹簧重力仪观测的中山站的背景噪声也高于利用超导重力仪观测的昭和站.此外,我们计算了潮汐频段噪声水平,与上述提到的计算重力潮汐参数的数据预处理程序相同.表 6给出了两台站在潮汐频段的平均噪声水平,数值结果表明,在1~4cpd潮汐频段,利用弹簧重力仪观测的中山站的背景噪声比利用超导重力仪观测的昭和站高一个数量级,这也与表 2给出的中山站各主要周日与半日潮波潮汐参数标准差比昭和站大这一结论相吻合.
|
|
表 6 中山与昭和站潮汐频段平均噪声水平 Table 6 The averaged noise levels in tidal band at Zhongshan and Syowa station |
基于南极中山与昭和站2010至2012年的重力潮汐观测资料及最新的全球海潮模型,利用国际地球潮汐中心推荐的预处理及调和分析方法,对台站重力潮汐残差和气压变化作回归分析.在中山站,大气重力导纳值为15.926±0.077 nm·s-2 ·hPa-1,与中、低纬度地区观测结果及理论模拟计算结果存在明显的差异,主要是与“反变气压计”响应及仪器本体温度变化等有关.而在昭和站得到的大气重力导纳值与理论模拟值一致.两台站受海潮影响非常显著,主要潮波(以M2波为例)的观测残差达到振幅的20.55%(中山站)和21.52%(昭和站).全球海潮模型DTU10、Eot11A和HAM11A 在南极地区对重力潮汐改正的有效性优于CSR3.0,GOT00和FES95.2,这主要是因为前三个海潮模型在南北纬66°~ 82°区域使用了Envisat,GFO和ESR-2等卫星观测数据,使其精度在该区域得以提高.在昭和站 经海潮模型改正后的重力潮汐振幅参数比中山站更接近于理论值,以O1波使用三个模型均值作负荷改正为例,重力振幅因子观测残差分别为3.40%与5.95%,可能由于后者距海更近,残留的近海效应大;经海潮模型改正后观测重力振幅因子与理论值间仍存在较大差异,可能与未模型化的近海效应、精确的海陆边界、南极冰盖的部分融化或加载、局部构造的变化及其他环境因素有关,要精确确定重力潮汐参数,必须尽可能精化模型去除这些效应.此外,中山站弹簧重力仪与昭和站超导重力仪比地震仪在地震频段的背景噪声大,而在更长周期频段时则相反;利用弹簧重力仪观测的中山站在地震、亚地震及潮汐频段的背景噪声均高于利用超导重力仪观测的昭和站,其原因来自两个方面:仪器不同,前者为弹簧重力仪,后者为超导重力仪;台站周围环境因素差异(冰盖融化及加载、温度、气压、海潮效应及其他区域性地球物理影响因素).总之,本文获得的结果可为今后充分利用南极地区重力观测资料解决局部环境和全球动力学问题提供参考.
致谢|志谢中国南极科考队和日本极地研究所分别提供了南极中山站与昭和站的重力潮汐与气压资料,特此致谢.
2016, Vol. 59
