In the multi-channel AD converter sample grading method, several ADC channels are put in parallel, and simulated input signals are sent to each channel. Synchronous sampling and digital conversion are made on the full range input signal in each channel with different input voltage ranges in each channel for conversion. Meanwhile, the ranges of measurement and the input range of AD converters are matched by modulating waveforms and electrical level displacements in simulated preprocessing circuits in the front ends of each channel. The results are put out in the format of 32-bits converted digital signals after processing and fitted by the CPU-control process unit and multi switch MUX.
We adopt the parallel connection of two ADCs in the experimental circuits for a two-level segmented acquisition of input signals. The 24-bit AD chip ADS1255 with fourth-order ΣΔ modulators are used as the chip of the analog-digital converter. The range of AD input signal is extended from ±5 V to ±40 V (differential) with the resistance attenuating network for the first level of signal, and the resolution of the other level of signal is improved by amplitude limiting and magnification. The ADCs in the two channels collect the input simulated signal synchronously and parallel driven by the same clock. The digital option switch selects channel data according to the magnitude of the signal, and forms a 32-bit output after a data scaling by the control processor. The test results show that the zero input noise voltage has an effective value less than 0.2 μV, the noise spectral density is less than 0.05 μV/√Hz, the full-scale input range is ±40 V, with a dynamic range of 157 dB and linearity better than 0.005% at a sampling rate of 50 Hz.
The method of multi-channel AD converter sample grading not only improves the resolution of seismic data acquisition for minor signals, but also enables the acquisition system to record great number of seismic information without saturation in advance to prevent from amplitude limiting. This method can help meet requirements for the large dynamic ranges for data acquisition in seismic monitoring, with low costs and easily to achieve technologically.
地震数据采集系统是地震信号数字化必不可少的环节,其性能优劣直接关系到最终获得地震信号的质量,并最终影响数据处理结果.对地震数据采集器而言,动态范围是一个极其重要的性能指标(袁子龙和曹广华,2000),它表示采集器在把模拟地震信号转换为数字输出信号的过程中,所能够不失真转换的最大输入信号和最小输入信号的幅度跨度.地震观测信号具有很大的动态范围:它包含了来自几千公里之外的微弱地震、核震信号、地脉动及地球背景噪声等微弱信号(葛洪魁等,2013),直到要近场监测8级以上的大地震;地震勘探中需要检测来自地层深处的微弱信号,又要采集来自地表的强大信号,总的信号幅度跨度超过160 dB(袁子龙和曹广华,2000;孙娴和罗桂娥,2008).现代宽频带地震计的噪声水平在1 μV以下(李威和陈祖斌,2006;Evans et al.,2010; Ringler et al.,2011),最大输出幅度达到了±20 V以上,动态范围大于140 dB,如Kinemetrics公司的宽频带地震计KS-2000的动态范围为155 dB,加拿大Nanometrics公司的Titan加速度计,动态范围达到165 dB.而现代广为使用的基于ΔΣAD(Analog-to-Digital Convert)转换技术的高性能24位地震数据采集器的动态范围只有135 dB@50SPS(Samples Per-second),因而导致了在实际地震监测中,数据采集器在记录地震时对微小信号分辨率不够,信噪比不高,信号幅度和数据采集器的分辨率处于同一量级,不能有效的提取地震信息;而在大地震时又容易使数据采集器出现饱和限幅失真的现象(王翠芳等,2010),致使在抗震救灾最需要第一手观测资料的时候这些最重要的近源地震台站却几乎失去了地震监测的功能,同时在地震研究上也失去了记录大震信号的珍贵地震资料的机会.因而具有高分辨率和高动态范围的地震数据采集器是当今地震学发展领域中亟待解决的问题.
自从有了现代计算机技术的发展,信号处理就由模拟领域逐渐向数字领域转变,而模数转换技术因为处于关键环节而得以迅速发展,比如出现了超 导相位调制-解调高分辨率ADC(the superconductor phase modulation-demodulation ADC)(Razavi,1995; Norsworthy et al.,1996; Marques et al.,1998; Medeiro et al.,1999;Geerts et al.,2000)和采用ΔΣ拓扑结构的高精度ADC(Rylov and Robertazzi,1995; Rylov et al.,1999; Mukhanov et al.,1999;Mukhanov et al.,2001).但由于受电子技术发展水平和器件材料的制约,目前分辨率(或动态范围)和转换速率仍然是数据转换器难以突破的技术瓶颈(Mukhanov et al.,2001).因而,在现有转换器的基础上,出现了不同的应用技术来扩展转换器的部分性能指标.如在现代数字通信领域,为克服转换器的速度瓶颈,采用了time-interleaved ADC即多通道分时并行交替采样的流水结构AD转换技术(Black,1980; Lee et al.,2007; Saleem and Vogel,2011; Li,2013b; Xu and Duan,2014),即利用几个速度低但精度高的ADC分时并行交替采样,以在保证转换精度的同时获得采样速率的提高(Saleem and Vogel,2010).在24位AD以前,还采用过采样(Candy and Temes,1987;王萍和李小京,2002)、并联ADC、组合瞬时浮点放大器IFP(Instantaneous Floating Point Gain Amplifier)(罗运先等,2006)等应用技术措施.在过采样中,采样频率每提高一倍,动态范围可增加3dB(李国,2005;李江等,2013).N个并联ADC通道可获得10×lgN(dB)信噪比的增加(李江等,2013).随着基于过采样的ΔΣ24位高精度AD转换器的出现,这些方法带来的改善效果有限,且随着AD转换器分辨率的提高,通道间的器件失配(mismatch)、偏移失配、增益失配、噪声等变得突出,反过来降低了系统动态范围、线性等性能.因而目前在地震监测与勘探领域,普遍采用的仍是由单个高精度AD转换器设计的24位数据采集器(陈祖斌等,2006).
因此为了适应地震观测高动态范围的需要,本文研究了一种采用多片模数转换器对输入信号分级采集来扩展地震数据采集器动态范围的方法.并研制了实验样机,进行了噪声、满幅测量范围、线性等主要性能指标的测试.
2 多AD转换器的分级采集在常规的采集方法中,采集器所能达到的最高动态范围取决于其所采用的AD转换芯片.目前常用于地震数据采集的高精度24位ΣΔAD转换芯片 主要有CS5371/CS5372/CS5376芯片组、ADS1255/ ADS1256、以及ADS1281/ADS1282等.其中ADS1281/ADS1282 是32位数据格式输出,但其精度仍是24位的.这些内置高阶(四阶)ΣΔ调制器的24位低速高精度的AD转换器所能达到的最大动态范围在50 Hz采样率时约为135 dB(RMS值).一些进口的高性能地震数据采集器如美国REFTEK公司的130B、加拿大Nanometrics公司的Taurus、英国Guralp公司的CMG-DM24S31AM,以及国内一些公司生产的高精度24位地震数据采集器,采用的基 本上是CS5371/CS5372/CS5376芯片组(陈祖斌等,2006)或其上代产品CS5321芯片组.在一般情况 下,24位地震数据采集器设置最大输入幅度为±20 V(差分),对小信号的分辨率约为3 μV左右.为提高对小信号的分辨率,一些数据采集系统往往在通道前端设置程控增益放大器PGA(Programmable Gain Amplifier)(陈祖斌等,2006),但在提高分辨率的同时也降低了采集系统的满幅输入范围.比如转换器ADS1255在内置的前置可编程增益放大器PGA增益为1时,短路输入噪声是0.629 μV(RMS值,50SPS),在增益为64时,分辨率提高至0.122 μV,但满幅输入电压范围也从±5V(差分)下降至只有±78.125 mV,容易导致大信号的溢出而饱和失真(廖声刚,2005).而且在地震观测中,采集器增益大小的设置需要专业观测人员根据监测现场实际情况对信号可能的幅度范围进行预先估计,给实际使用带来不便,也不适用于如地震台站这样需要全范围信号监测的场合.因而一些地震台网只能通过架设两套地震仪器(一套设置高倍放大倍数用于高分辨率的小信号观测,另一套设置大输入范围用于强震信号观测)来做到全动态范围的地震监测(Romeo and Spinelli,2013),不仅增加了观测成本的投入,在数据分析时也要大、小信号进行分别处理,造成客观上使用的不便.
2.1 多通道AD并行分级采集的实现扩展采集器的动态范围包含两方面的含义:一是降低数据采集器等效输入噪声,以提高对微弱信号的分辨力;二是提高采集器的最大输入电压范围,以使采集器在大信号输入时不至出现饱和限幅失真.多通道AD转换分级采集实现动态范围扩展的电路结构原理框图如图 1所示.N通道高精度24位模数转换器对全范围模拟输入信号进行并行采集,居于每通道前端的模拟预处理电路分别为增益固定的前置放大器或起电平位移功能的精密电阻网络,用于调整该通道的电压输入范围.前置放大电路可 以提高该通道对小信号的分辨率(Yin and Ghovanloo,2007),降低等效输入噪声或提高小信号的信噪比SNR.电阻网络衰减大信号和实现电平位移以匹配AD 满幅输入范围.采集控制处理单元和数字多路开关MUX则对采集结果进行数字处理,拟合成32位高动态的转 换数字信号输出.MUX的输出可表示如(1)式所示:
![]() | 图 1 多通道AD分级采集的原理框图 Fig. 1 Multi-Channels ADC |
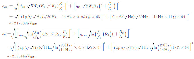
前置放大器等效输入噪声构成数据采集系统的噪声,是数据采集系统最终分辨率的关键.当前优质的低噪声、低漂移放大器的性能指标也能达到8~9 个量级(高尚华,2012).如低噪声运算放大器TL1028,输入电压噪声密度可达0.85 nV/√Hz,输入电流噪声密度为1 pA/√Hz.设前置输入缓冲/放大电路如图 2所示,在0.1~20 Hz带宽BW、放大倍率G为64时其输出噪声计算结果为
![]() | 图 2 前置输入缓冲/放大电路 Fig. 2 Analog signal preparation amplifier |
放大器的噪声en主要由输入电压噪声en_V、输 入电流噪声en_i以及电阻热噪声en_R组成,计算如下:
(1)输入电压噪声en_V由宽带噪声enBB和1/f噪声enf(闪烁噪声或低频噪声)组成:
![]() | 图 3 LT1028放大器的输入电压噪声频谱密度曲线 Fig. 3 Noise density of LT1028 |
(2)输入电流噪声en_i由宽带噪声eiBB和1/f噪声eif组成:
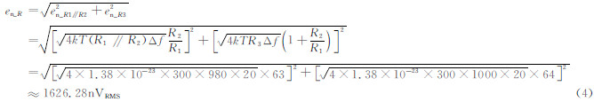
(3)电阻热噪声en_R为
(4)放大器总的输出噪声电压en为
其等效输入噪声电压为
实际电路还要考虑放大电路制作工艺、电源噪声、热电偶电势引起的噪声、PCB板漏电流、电磁辐射噪声、器件本身的非理想参数(如有限输入阻抗、有限共模抑制比、输入偏置电流及偏置电压等)等因素的影响,使得等效输入噪声要比计算值高一些,但现代高精度低噪声放大器的分辨率还是可轻易做到 小于0.5 μV的(Harrison and Charles,2003; Mosheni and Najafi,2004; Yin and Ghovanloo,2007).
3 实验样机研制 3.1 电路设计现代高精度24位AD转换器可达130 dB以上的动态范围,采用两个AD并行连接,对输入信号进行两级分割采集.模数转换器芯片采用内带四阶ΣΔ调制器的高精度24位AD芯片ADS1255,该芯 片具有可达23位无噪声分辨率、最大只有±0.001% 非 线性的优良特性,采样率在2.5SPS~30kSPS(samples per-second)之间可以软件设置,片上集成有可编程低噪声前置增益放大器PGA和数字滤波器,可按设置采样率直接输出24位的二进制数据,因而使用起来非常方便,外围电路简洁,有利于提高系统的可靠性和信噪比.小信号采集通道采用ADS1255芯片内置的可编程放大器进行放大预处理以提高分辨率,在设置放大倍数为64倍、采样率为50SPS时其等效输入短路噪声仅有0.122 μV.为扩大动态范围,地震计内部模拟电路一般采用±15 V的较高工作电压,现代轨到轨(rail-to-rail)输入输出运算放大器输出信号摆幅接近电源电压,即地震计输出信号 范围可达±30 V(差分)(Melton,1976; Muramatu,1995). 而通常24位地震数据采集器为兼顾大信号输入和小信号分辨率,把最大满幅(full-scale)输入信号范围设置在差分±20 V,因而在遇有大地震时,数据采集器比地震计要先进入饱和限幅状态.为能最大避免输入信号过大而引起数据采集器限幅失真的情况,在大信号采集通道输入端加入电阻网络进行电平位移和衰减,使AD输入信号范围由±5 V扩展到±40 V(差分).数字部分的采集控制、数据处理、数据存储及通信传输等控制单元则采用32位高性能低功耗的嵌入式ARM9微处理器作为控制处理单元,并采用嵌入式Linux操作系统为采集系统多任务处理的软件平台.
3.2 数据处理两通道AD在同一时钟驱动下同步并行地采集输入模拟信号,数字选择开关根据输入信号的幅度选择通道数据,经控制处理器数据处理后组合成32位输出.在多通道并行采集结构中,如直接并行转换再平均的数据采集系统、TI(Time-Interleaved)结构 分时并行采集系统(如图 4所示)(Saleem and Vogel,2011)等,不同通道元器件参数及状态的不完全匹配,会产生增益、偏移以及采集相位等不匹配并导致 采集精度降低(Petraglia and Mitra,1991; Kurosawa et al.,2001; Elbornsson et al.,2003; Vogel,2005; Saleem and Vogel,2011). 如由于通道间的失配(mismatch),TI-ADC结构是一种时变系统(a time-varying system),这会引起实际输入信号的假频信号,从而导致信纳比SINAD(signal-to-noise and distortion ratio,信号对噪声及失真比)及无失真动态范围SFDR(spurious free dynamic range)等性能 指标的大幅度降低(Leger et al.,2004; Vogel 2005; EI-Chammas and Murmann,2009; Saleem and Vogel,2011). 因而要采用标定技术(calibration techniques)来纠正由这些不匹配因素所带来的AD转换错误(Mendel and Vogel,2006; Lee,2007; Marelli,2009; Saleem and Vogel,2011; Rao et al.,2012; Xu and Duan,2014).在超过14位分辨率的流水结构ADC中,往往采用数字标定(前景或背景)来减小对器件 的匹配和对放大器增益的要求(Siragusa and Galton,2004; Liu,2005; Bogner et al.,2006; Lee et al.,2007),包括增益标定(Seo et al.,2005; Huang and Levy,2006; Vogel et al.,2008; Saleem and Volgel,2011)、时序失配(timing dismatches)(Johansson and Lowenborg,2002; EI-Chammas and Murmann,2009; Saleem and Vogel,2011; Li,2013b)、 频响失配标定(Tsai et al.,2006; Satarzadeh et al.,2007; Saleem and Vogel,2011)等. 此外还提出了split delta-sigma ADC结构的背景标定法(McNeill et al.,2005; Lee and Temes,2006).
![]() | 图 4 两通道TI结构ADC模型 Fig. 4 Model of a two-channel TI-ADC |
在用两通道并行分级采集中,最容易出现也是最关键的误差是“交越失配”,主要表现在两通道的直流偏移不匹配(零点误差)和增益或电压灵敏度不匹配两个方面.但由于采用了多通道AD的并行采集,使得各通道的偏移和增益标定是静态的,即标定值在整个信号范围内都是固定的,因而可以获得很高的标定精度.通道间标定可以从两个方面进行:一是前端模拟预处理部分,从元器件选择、参数及工作状态要尽量做到两通道间的匹配,但由于高精密元器件的参数不可能连续变化,加上各种误差的存在,实际中可以做到两通道的匹配程度优于1%;其次是后端的数字标定,即对两通道的采集结果再进行数字精确校正,使其保证有较高的一致性.经过数字标定后两通道的匹配程度可以做到小于0.1%.
3.3 噪声控制地震记录系统的关键在于数据采集通道的低噪声、高精度设计(陈祖斌等,2006).为降低数字控制系统部分的数字脉冲噪声通过公共地线串入信号通道系统引起信噪比变坏,信号通道和控制系统部分采用了电源隔离和数字信号隔离.并且在信号通道、模拟电源和数字电源也是分开的,在电源引脚旁边并联高品质的电容进行退耦和滤波.模拟信号正负输入端的电平变换网络和走线则采用对称设计,最大限度抑制外部共模噪声输入.AD转换的基准电压电路也选用高精度、低噪声、低温漂的芯片,并合理设计滤波电路.此外因为两通道AD的匹配标定是静态的,只对固定的偏移和电压灵敏度有效,而元 件老化、温度漂移等动态变化量则无法消除.因而前端的模拟通道要采用低噪声器件.如采用斩波放大器可以有效地降低直流偏移、 温漂、噪声、1/f噪声等.此外还要采用噪声低、温度系数小的精密金属膜电阻.
4 主要性能指标测试 4.1 动态范围将输入端短接,记录采集系统在零输入下的系统噪声,获得噪声波形及其频谱密度曲线如图 5所 示.由图可以看出,电压噪声有效值NRMS小于0.2 μV(50 Hz采样率),谱密度小于0.05 μV/√Hz.
![]() | 图 5 输入短路噪声 Fig. 5 Noise test |
在输入分别接入正弦电压和直流电压,测试满幅输入电压范围FSR(Full-Scale-Range),获得正弦记录波形如图 6所示,可以看出其满幅输入电压范围FSR大于±40 V.于是计算采集器动态范围SNR为
![]() | 图 6 正弦波满幅输入电压范围测试 Fig. 6 Full scale range test |
在多通道并行分级采集结构中,尽管各通道AD本身具有很高的线性度,但由于存在通道间的失配现象,各通道间的增益或电压灵敏度的不一致会导致采集器整体的线性变差,因而线性是一个重要的测试指标.在50 Hz采样率下,根据《地震数据采集器质量检测技术规程(2007)》,测试幅值选择为满量程的0.1%、0.2%、0.4%、0.8%、1%,2%、4%、8%、10%、20%、40%、80%、100%,输入信号为直流电压,每个测试点记录30 s长的数据再取其平均值,测得数据结果如表 1及图 7所示.
| | 表 1 线性测试数据记录表 Table 1 Linearty test data |
![]() | 图 7 输入输出线性测试 Fig. 7 Relation of input to output |
测量示值Y和标准值X的线性拟合关系为
计算线性偏差Δyi:
Δyi集合中绝对值最大的值为Δymax,则线性度为
输入阻抗设计得小些,有利于减小系统零输入噪声,提高小信号分辨率.但输入阻抗过小会导致对前端传感器的负载过大,一般不宜小于20 kΩ.输入阻抗测试信号连接如图 8所示,标准信号源采用Fluke-5500A Calibrator标准校准器.设置数据采集器采样率50 Hz、输入正弦信号幅度为采集器满量程的约50%,测得没有串接标准电阻R时数据采集器的读数U1=14.150VRMS,串接标准电阻R后数据采集器的读数U2=4.748VRMS,按(11)式计算输入电阻Ri为
![]() | 图 8 输入阻抗测试信号连接示意图 Fig. 8 Connect diagram of input impedance test |
本文提出的并行多通道AD转换分级采集的方法,能够提高对微小地震信号的分辨率,同时也能记录大震信号而不会使采集器提前地震计进入饱和产生限幅失真,有效地扩展了地震数据采集器的记录动态范围,能够满足地震观测中对数据采集器大动态范围的要求.而且技术上易于实现,成本也较低.
致谢 在本文研究过程中,得到中国地震局地震预测研究所薛兵研究员的热忱帮助和研究指导;同时评审专家也提出了很多宝贵的修改意见,在此谨表示作者诚挚的感谢.| [1] | Black W C, Hodges D A. 1980. Time interleaved converter arrays. IEEE J. Solid-State Circuits, 15(6): 1022-1029. |
| [2] | Bogner P, Kuttner F, Kropf C, et al. 2006. A 14b 100MS/s digitally self-calibrated pipelined ADC in 0.13μm CMOS.// IEEE International Solid-State Circuits Conference, Digest of Technical Papers. San Francisco, CA: IEEE, 832-841. |
| [3] | Candy J C, Temes G C. 1987. Oversampling methods for A/D and D/A conversion.// IEEE Transactions on Circuits and Systems. IEEE. |
| [4] | Chen Z B, Teng J W, Lin J, et al. 2006. Design of BSR-2 broad band seismic recorder. Chinese J. Geophys. (in Chinese), 49(5): 1475-1481. |
| [5] | Elbornsson J, Gustafsson F, Eklund J E. 2003. Analysis of mismatch noise in randomly interleaved ADC system.// Proceedings of the 2003 IEEE International Conference on Acoustics, Speech, and Signal Processing. Hong Kong, China: IEEE. |
| [6] | El-Chammas M, Murmann B. 2009. General analysis on the impact of phase-skew in time-interleaved ADCs. IEEE Trans. Circuits Syst. I, Reg. Papers, 56(5): 902-910. |
| [7] | Evans J R, Followill F, Hutt C R, et al. 2010. Method for calculating self-noise spectra and operating ranges for seismographic inertial sensors and recorders. Seismological Research Letters, 81(4): 640-646. |
| [8] | Gao S H, Xue B, Jiang J M, et al. 2012. Idea of high performance seismic data acquisition system. Recent Developments in World Seismology (in Chinese), (6): 173. |
| [9] | Ge H K, Chen H C, Ouyang B, et al. 2013. Transportable seismometer response to seismic noise in vault. Chinese J. Geophys. (in Chinese), 56(3): 857-868, doi: 10.6038/cjg20130315. |
| [10] | Geerts Y, Steyaert M S J, Sansen W. 2000. A high-performance multibit ΔΣ CMOS ADC. IEEE Journal of Solid-State Circuits, 35(12): 1829-1840. |
| [11] | Harrison R R, Charles C. 2003. A low-power low-noise CMOS for amplifier neural recording applications. IEEE J. Solid-State Circuits, 38(6): 958-965. |
| [12] | Huang S, Levy B C. 2006. Adaptive blind calibration of timing offset and gain mismatch for two-channel time-interleaved ADCs. IEEE Trans. on Circuits Syst. I: Reg. Papers, 53(6): 1278-1288. |
| [13] | Johansson H, Lowenborg P. 2002. Reconstruction of nonuniformly sampled bandlimited signals by means of digital fractional delay filters. IEEE Trans. Signal Process., 50(11): 2757-2767. |
| [14] | Kurosawa N, Kobayashi H, Maruyama K, et al. 2001. Explicit analysis of channel mismatch effects in time-interleaved ADC systems. IEEE Trans. Circuits Syst. I: Fundam. Theory Appl., 48(3): 261-271. |
| [15] | Lee K, Temes G C. 2006. Enhanced split-architecture delta-sigma ADC.// Proceedings of the 13th IEEE International Conference on Electronics, Circuits and Systems. Nice: IEEE, 427-430. |
| [16] | Lee Z M, Wang C Y, Wu J T. 2007. A CMOS 15-bit 125-MS/s time-interleaved ADC with digital background calibration. IEEE Journal of Solid-State Circuits, 42(10): 2149-2160. |
| [17] | Leger G, Peralias E, Rueda A, et al. 2004. Impact of random channel mismatch on the SNR and SFDR of time-interleaved ADCs. IEEE Trans. Circuits Syst. I: Fundam. Theory Appl., 51(1): 140-150. |
| [18] | Li G. 2005. Study and implementation of improving ADC resolution based on over sampling technology. Computer Engineering (in Chinese), 31(S1): 244-248. |
| [19] | Li J, Xue B, Zhu X Y, et al. 2013a. Key technology research of seismic data acquisition system. Seismological and Geomagnetic Observation and Research (in Chinese), 34(3-4): 179-185, doi: 10.3969/j.issn.1003-3246.2013.03/04.033. |
| [20] | Li J, Liu Y, Liu H, et al. 2013b. A timing skew calibration scheme in time-interleaved ADC. Journal of Computer and Communications, 1(6): 37-40. |
| [21] | Li W, Chen Z B. 2006. Noise analysis in data acquisition channel of broad band seismic recorder. Journal of Jilin University (Information Science Edition) (in Chinese), 24(5): 462-465. |
| [22] | Liao S G. 2005. The limitation of 24-bits seismic data acquisition system for high precision petroleum seismic exploration. Science and Technology (in Chinese), 15(2): 13-15. |
| [23] | Liu H C, Lee Z M, Wu J T. 2005. A 15-b 40-MS/s CMOS pipelined analog-to-digital converter with digital background calibration. IEEE J. Solid-State Circuits, 40(5): 1047-1056. |
| [24] | Luo Y X, Wu X Y, Zeng J, et al. 2006. Design of a 7-bands instantaneous floating point gain amplifier. Journal of EEE (in Chinese), 28(6): 39-41, 49. |
| [25] | Marelli D, Mahata K, Fu M Y. 2009. Linear LMS compensation for timing mismatch in time-interleaved ADCs. IEEE Transaction on Circuits and Systems I: Regular Papers, 56(11): 2476-2486. |
| [26] | Marques A, Peluso V, Steyaert M S, et al. 1998. Optimal parameters for ΔΣ modulator topologies. IEEE Trans. Circuits Syst. Ⅱ, 45(9): 1232-1241. |
| [27] | McNeill J, Coln M C W, Larivee B J. 2005. 'Split-ADC’ architecture for deterministic digital background calibration of a 16-bit 1-MS/s ADC. IEEE J. Solid-State Circuits, 40(12): 2437-2445. |
| [28] | Medeiro F, Pérez-Verdú B, Rodríquez-Vázquez A. 1999. Top-Down Design of High-Performance Sigma-Delta Modulators. US: Springer. |
| [29] | Melton B S. 1976. The sensitivity and dynamic range of inertial seismographs. Rev. Geophys., 14(1): 93-116. |
| [30] | Mosheni P, Najafi K. 2004. A fully integrated neural recording amplifier with DC input stabilization. IEEE Trans. Biomed. Eng., 51(5): 832-837. |
| [31] | Mukhanov O A, Semenov V K, Li W Q, et al. 2001. A superconductor high-resolution ADC. IEEE Transactions on Applied Superconductivity, 11(1): 601-606. |
| [32] | Mukhanov O A, Brock D K, Kirichenko A F, et al. 1999. Progress in the development of a superconductive high-resolution ADC.// Extended Abstracts of 7th ISEC'99. Berkeley, CA, 13-16. |
| [33] | Muramatu I. 1995. Development of a broadband velocity type strong motion seismometer and its recording range. Journal of the Seismological Society of Japan, 48(2): 247-256. |
| [34] | Norsworthy S R, Schreier R, Temes G C. 1996. Delta-Sigma Data Converters: Theory, Design, and Simulation.NY: IEEE Press. |
| [35] | Petraglia A, Mitra S K. 1991. Analysis of mismatch effects among A/D converters in a time-interleaved waveform digitizer. IEEE Trans. Instrum. Meas., 40(5): 831-835. |
| [36] | Mendel S, Vogel C. 2006. A compensation method for magnitude response mismatches in two-channel time-interleaved analog-to-digital converters. //Electronics, Circuits and Systems, 2006. ICECS '06. 13th IEEE International Conference on.712-715. |
| [37] | Rao L P, Sitthimahachaikul N, Hurst P J. 2012. Correcting the effects of mismatches in time-interleaved analog adaptive FIR equalizers. IEEE Transactions on Circuits and System I: Regular Papers, 59(11): 2529-2542. |
| [38] | Razavi B. 1995. Principles of Data Conversion System Design. New York: IEEE Press. |
| [39] | Ringler A T, Hutt C R, Evans J R, et al. 2011. A comparison of seismic instrument noise coherence analysis techniques. Bulletin of the Seismological society of America, 101(2): 558-567. |
| [40] | Romeo G, Spinelli G. 2013. Extending a Lippmann style seismometer's dynamic range by using a non-linear feedback circuit. Adv. Geosci., 36: 27-30, doi: 10.5194/adgeo-36-27-2013. |
| [41] | Rylov S V, Robertazzi R P. 1995. Superconducting high-resolution A/D converter based on phase modulation and multichannel timing arbitration. IEEE Trans. Appl. Supercond., 5(2): 2260-2263. |
| [42] | Rylov S V, Brock D K, Gaidarenko D V, et al. 1999. High resolution ADC using phase modulation-demodulation architecture. IEEE Trans. Appl. Supercond., 9(2): 3016-3019. |
| [43] | Saleem S, Vogel C. 2010. Adaptive compensation of frequency response mismatches in high-resolution time-interleaved ADCs using a low-resolution ADC and a time-varying filter.// Proceedings of 2010 IEEE International Symposium on Circuits and Systems. Paris: IEEE, 561-564. |
| [44] | Saleem S, Vogel C. 2011. Adaptive blind background calibration of polynomial-represented frequency response mismatches in a two-channel time-interleaved ADC. IEEE Transactions on Circuits and Systems-I: Regular Papers, 58(6): 1300-1310. |
| [45] | Satarzadeh P, Levy B C, Hurst P J. 2007. Bandwidth mismatch correction for a two-channel time-interleaved A/D converter.// Proceedings of the IEEE International Symposium on Circuits and Systems. New Orleans, LA: IEEE, 1705-1708. |
| [46] | Seo M, Rodwell M J W, Madhow U. 2005. Blind correction of gain and timing mismatches for a two-channel time-interleaved analog-to-digital converter.// Conference Record of the 39th Asilomar Conference on Signals, Systems and Computers. Pacific Grove, CA: IEEE, 1121-1125. |
| [47] | Siragusa E, Galton I. 2004. A digitally enhanced 1.8-V 15-bit 40-MSample/s CMOS pipelined ADC. IEEE J. Solid-State Circuits, 39(12): 2126-2138. |
| [48] | Sun X, Luo G E. 2008. Design and implementation of a high precision seismic data acquisition system. Computer Measurement & Control (in Chinese), 16(6): 881-883. |
| [49] | Tsai T H, Hurst P J, Lewis S H. 2006. Bandwidth mismatch and its correction in time-interleaved analog-to-digital converters. IEEE Trans. Circuits Syst. Ⅱ: Exp. Briefs, 53(10): 1133-1137. |
| [50] | Vogel C. 2005. The impact of combined channel mismatch effects in time-interleaved ADCs. IEEE Trans. Instrum. Meas., 54(1): 415-427. |
| [51] | Vogel C, Saleem S, Mendel S. 2008. Adaptive blind compensation of gain and timing mismatches in m-channel time-interleaved ADCs.// Proceedings of the 15th IEEE International Conference on Electronics, Circuits and Systems. St. Julien's: IEEE, 49-52. |
| [52] | Wang P, Li X J. 2002. Improving ADC resolution and signal-noise ratio by oversampling. Chinese Journal of Scientific Instrument (in Chinese), 23(3S): 1-2. |
| [53] | Wang C F, Yang X Y, Song C, et al. 2010. The Principal shock waves of the 2008 Wenchuan 8.0 Earthquake Recorded by two types of Acquisition device. Earthquake Research in Sichuan (in Chinese), (3): 19-22. |
| [54] | Xu Q, Duan Z M. 2014. A signal reconstruction method for time-interleaved ADC converters. Journal of Information & Computational Science, 11(1): 123-132. |
| [55] | Yin M, Ghovanloo M. 2007. A low-noise preamplifier with adjustable gain and bandwidth for biopotential recording applications.// IEEE International Symposium on Circuits and Systems. New Orleans, LA: IEEE, 321-324. |
| [56] | Yuan Z L, Cao G H. 2000. Improvement on seismograph data collection system. Journal of Daqing Petroleum Institute (in Chinese), 24(4): 15-17. |
| [57] | 陈祖斌, 滕吉文, 林君等. 2006. BSR-2宽频带地震记录仪的研制. 地球物理学报, 49(5): 1475-1481. |
| [58] | 高尚华, 薛兵, 蒋久明等. 2012. 高性能地震数据采集方案构想. 国际地震动态, (6): 173. |
| [59] | 葛洪魁, 陈海潮, 欧阳飚等. 2013. 流动地震观测背景噪声的台基响应. 地球物理学报, 56(3): 857-868, doi: 10.6038/cjg20130315. |
| [60] | 李国. 2005. 基于过采样技术提高ADC分辨率的研究与实现. 计算机工程, 31(增刊): 244-248. |
| [61] | 李江, 薛兵, 朱小毅等. 2013. 地震数据采集器关键技术研究. 地震地磁观测与研究, 34(3-4): 179-185, doi: 10.3969/j.issn.1003-3246.2013.03/04.033. |
| [62] | 李威, 陈祖斌. 2006. 宽频地震仪数据采集通道的噪声分析. 吉林大学学报(信息科学版), 24(5): 462-465. |
| [63] | 廖声刚. 2005. 24位地震数据采集系统进行高精度石油地震勘探的局限性. 江汉石油科技, 15(2): 13-15. |
| [64] | 罗运先, 吴雄英, 曾敬等. 2006. 七阶型瞬时浮点增益放大器设计探讨. 电气电子教学学报, 28(6): 39-41, 49. |
| [65] | 孙娴, 罗桂娥. 2008. 一种高精度地震勘探数据采集系统的设计与实现. 计算机测量与控制, 16(6): 881-883. |
| [66] | 王萍, 李小京. 2002. 利用过采样法提高A/D分辨率和信噪比. 仪器仪表学报, 23(3增刊): 1-2. |
| [67] | 王翠芳, 杨晓源, 宋澄等. 2010. 两种采集器记录的汶川8.0级主震波形. 四川地震, (3): 19-22. |
| [68] | 袁子龙, 曹广华. 2000. 地震仪数据采集系统的改进. 大庆石油学院学报, 24(4): 15-17. |
2016, Vol. 59










