2. 中国地质大学(武汉)地质过程与矿产资源国家重点实验室, 武汉 430074
2. State Key Laboratory of Geological Processes and Mineral Resources(GPMR), China University of Geosciences, Wuhan 430074, China
1 引言
随着人类对自身生活环境质量的日益重视,应用传统且污染严重的震源(如炸药等)进行地震勘探的生产和研究方法,受到越来越苛刻的限制.例如,在不可破坏性地区(交通网络密集区、自然或文化保护区、城市等)开展地球物理勘探工作,传统工作方式越来越难以适应,如关于震源和观测系统设计方面的难题,正在困扰着己经习惯了钻孔、使用炸药震源、以及采用常规二维和三维地震勘探观测系统的工程人员.探索以新型震源为代表的全新地震勘探方法的任务已经摆在了地球物理勘探工作者的面前.不仅所有的勘探家希望,而且大多数地震学家也期盼:如果有能够达到甚至在某些场合能够超过主动源地震成像效果的被动源地震方法,将是地震学的一场革命.本文介绍的基于背景噪声的地震学为我们展示了这样一种可能性.
利用地球背景噪声信号研究地球内部结构和构造成为了一个新的、重要的探索方向.多个本领域国际期刊《Geophysics》、《Geophysical Prospecting》、 《Earthquake Science》、《Comptes Rendus Geoscience》 分别于2006、2008、2010及2011年以专辑形式展示了这一领域所取得的令人振奋的进展.迄今为止,法国科学研究中心、美国斯坦福大学和科罗拉多矿院及科罗拉多大学、荷兰德芙特技术大学、英国爱丁堡技术大学等,在噪声地震学的理论和应用方面做出了巨大努力.
国内虽然已有大量学者开展了噪声地震学的研究,但多以区域性地壳或岩石圈尺度的应用研究为主,用于浅地表领域的少见,且成果大多发表在英文期刊上.齐诚等(2007)和陶毅等(2010)较早以中文介绍了噪声地震学的原理及其应用,但鉴于这一领域发展迅速,仍觉有必要向国内学者特别是初学者介绍和推荐,并且主要希望为其在浅地表地球物理领域的推广应用提供参考.为了内容的可读性,本文与前人(齐诚等,2007;陶毅等,2010)不可避免有所重复,但力图控制在最小程度.
2 背景噪声的类型和起因及分析方法 2.1 背景噪声的类型和起因背景噪声是指那些通过各种拾震器采集的、按照常规的地震数据处理方法难以识别出有效信号的、常常作为干扰剔除或压制的地震数据.背景噪声 可以采用不同的拾震器进行观测,如摆、压力计、速度计及加速度计等.为了简洁考虑,本文将观测噪声所利用的不同类型的拾震器所组成的阵列统称为台阵.
根据产生背景噪声的震源属性的不同,可分为随机性背景噪声和确定性背景噪声.在噪声源的位置、激发方式以及能量的大小范围等条件都不明确的情况下,拾震器所接收到的噪声信号称之为随机性背景噪声.在噪声源的位置、激发方式、能量的大小范围等属性部分或全部己知的前提下,拾震器所接收到的噪声信号称之为确定性背景噪声.
根据产生背景噪声的起因进行分类,可将地球上的噪声分为自然因素和人为因素两大类(齐诚等,2007).自然噪声中,地壳运动是其主要来源.地壳运动的方式分为两类:一类是非剧烈的,如由于太阳系中的太阳和其他行星的引力作用于地球而产生的潮汐运动,地球内部各层间相互作用而产生的海陆升降运动,等等.一般地,非剧烈的地壳运动产生低频噪声;另一类是剧烈的地壳运动,如地震(天然地震结束之后记录到的地震尾波(coda wave)信号可视为随机性背景噪声)、火山活动、岩浆脉动、滑坡、岩崩、泥石流、岩溶塌陷、海浪、随机性的热扰动引起的大气压变化,等等.这类地壳运动可以产生中高频背景噪声.人类活动可以产生大量的背景噪声,如火车/汽车/轮船等的运动、飞机起降、钻探、采矿、打桩、工厂内的机械振动、学校和部队操练,等等.
低频背景噪声(0.005~0.3 Hz)主要归因于海洋与大陆架和海岸带的相互作用(Haubrich and McCamy, 1969;Barstow et al., 1989;Bromirski et al., 1999;Bromirski,2001;Bromirski and Duennebier, 2002;Webb,2007; Yang et al., 2008;Bromirski and Gerstoft, 2009;鲁来玉等,2009)、深海或大洋深部区域的洋流作用(Haubrich and McCamy, 1969;Webb et al., 1991;Cessaro,1994;Webb, 1998,2008;Bromirski,2001;Tanimoto, 2005,2007;Stehly et al., 2006;Chevrot et al., 2007;Kedar et al., 2008;Koper and de Foy,2008;Koper et al., 2009)、地震Coda(Aki and Chouet, 1975;Campillo and Paul, 2003;Campillo,2006;Snieder et al., 2006b)以及大气变化(Gutenberg,1947;Hasselmann,1963; Astiz and Creager, 1994;Grevemeyer et al., 2000;Hoerling and Kumar, 2002).高频背景噪声(>1 Hz)显示昼夜和周变化规律,主要起因于人类活动(Bonnefoy-Claudet et al., 2006;Díaz et al., 2010).在传统的微震频带(5~20 s),背景噪声以基阶R和L面波为主(例如Barstow et al., 1989;Tanimoto et al., 2006;Bonnefoy-Claudet et al., 2006),而在较高频带(4 Hz~2.5 s)背景噪声的成分很复杂,不仅含有基阶和高阶模式的面波(Backus et al., 1964),体波成分也很丰富(例如Backus,1966;Tanimoto et al., 2006;Koper et al., 2010).利用国际监测系统(IMS,International Monitoring System)的18个台阵(台阵尺寸2~28 km)的长期记录,Koper等(2010)分析了4 Hz~2.5 s频带噪声的来源,发现在全球年度平均意义上Lg波成分约占50%,P波成分约占28%,其余为Rg波,并且在远离海岸带的北太平洋(165°W,40°N)附近区域存在一个P波噪 声源的激发中心.台湾车龙铺断层钻探项目(TCDP)在井下950~1270 m深度段布设了垂向50 m台间距的地震观测阵列,对观测记录进行的分析表明,高频(>1 Hz)噪声震源主要来自于人类活动,其次来自于海洋噪声源在地下介质中的多次散射(Hillers et al., 2012). 王奡等(2014)1)报道了远离海岸带的西准 噶尔地区地震台阵(离最近的海洋孟加拉湾约2800 km)可以观测到周期为10~25 s来自北太平洋和北大 西洋海岸带产生的强噪声,并且鉴别出来自5000 km 之外的北大西洋风暴潮所产生的频散的Rg波.
关于背景噪声起因问题的争论还会继续,但在一定程度上与人们布设台阵所处的环境、采用拾震器响应、观测时间(时长和时段)等相关;客观上与地球内部过程、海陆相互作用、海洋和大气的耦合及人类活动等密切相关.对于区域性研究,一般利用1 Hz以下的低频背景噪声,主要关心背景噪声的强度、成分、频率范围及方向性,而不必关心噪声的起因.对于更小尺度的近地表研究,由于所利用的高频背景噪声主要由台阵附近人类活动的时间和空间特性所决定,背景噪声中的面波和体波成分都是重要的研究对象,因此分析噪声源的起因对于合理布设观测台阵、选择观测分量及利用何种噪声成分等都十分重要.
1)王奡,罗银河,吴树成等. 2014. 西准噶尔地区地震背景噪声源分析. 2.2 台阵响应函数和聚束分析即使产生噪声的震源属性不清,由于记录的噪声来自地下,其中必然包含着传播路径上介质速度分布的信息.但是,需要提取的信息不可避免地与观测噪声的台阵几何参数和噪声的来源方位、频率和慢度紧密相关.因此,在说明从噪声中提取有效信号的原理之前,简单介绍台阵响应函数的概念和噪声振幅-频率-方位-慢度分析的聚束技术.
台阵响应指一个台阵可分辨信号的频率-波数域特性,可以采用如下的台阵响应函数描述(Rost and Thomas, 2002,2009):

仔细考察(1)式可知,台阵响应函数是一个相位函数经台站数归一化的量,仅决定于台阵的几何参数,反映在单位振幅平面波进入台阵的前提下,参考台站与其余台站间对某一方位的某一频率-慢度区间内信号时延(由相位决定)的相干性测度,输出的数值越大反映这种相干性越好,但它不能反映台站之间所测信号的振幅相干性.当需要分析实际台阵记录的振幅-频率-方位-慢度的四维特性时,仅利用(1)式显然不够.简单的做法是将参考台站记录的振幅谱乘以(1)式定义的台阵响应函数作为输出,即形成了参考台站的聚束输出.
由于信号具有空间上的相干性,可以引入互谱密度矩阵来测度任意两个台站之间在某个频率的相位延迟,并以此作为聚束输出的加权矩阵.用所有台 站记录在特定频率的系综平均可以形成互谱密度矩阵(Gerstoft et al., 2006;Gerstoft and Tanimoto, 2007).
3 噪声地震学理论的发展轨迹由于背景噪声源的广泛存在,不仅在地震学领域,在声学、统计物理学等领域,学者们均对背景噪声开展了理论与实验研究.
在勘探地震学领域,1968年Claerbout发表了里程碑式论文“Synthesis of a layered medium from its acoustic transmission response”,论证了在水平层状介质中自由地表接收到的从底部来的透射地震记录进行自相关等价于其自激自收模拟记录(包含负时间记录以及零时刻的脉冲响应)(Claerbout,1968).由于勘探地震学界长期采用近地表人工可控震源进行激发,Claerbout的这一思想长期没有得到重视,而被其学生称为Claerbout猜想(Rickett and Claerbout, 1999):通过计算地表两点噪声记录的互相关,可以重建在其中一点激发而在另一点接收的波场.1987年,Steve Cole在美国斯坦福大学进行了无源三维观测实验.他在校园内约0.5 km2 的面积上布设了4056个检波器,识别出从美国中西部传来的频率高达10 Hz的地震波,天然地震学家们当时很惊异于能记录到如此远的高频地震波.由于该实验仅记录了20 min的背景噪声,Cole没有更多的收获(Cole,1995),该成果也没有引起学界足够的重视.与Claerbout(1968)类似的想法,25年后出现在太阳地震学中.Duvall等(1993)对太阳表面的噪声进行测量,通过对噪声进行互相关分析近似获取了太阳地震波旅行时距曲线,从而得到了太阳外层的三维流速度结构.这项技术被称为“acoustic daylight imaging”(声学日光成像)技术(Rickett and Claerbout, 1999).太阳地震学家抢在地球物理学家之前证实:对噪声的互相关计算能够提供脉冲响应地震图.两年之后,太阳物理学家们发明了米切尔森多普勒成像仪(Michelson Doppler Imager,MDI),并采用上述技术对太阳耀斑内部的声学速度进行成像.荷兰Delft理工大学Wapenaar(2004)将Claerbout猜想推广到不均匀介质的情况,此后其领导的研究组发表了一系列文章,用积分理论和互易定理论证了Claerbout猜想对三维复杂的声学和弹性介质以及不同类型的震源均成立(Wapenaar and Fokkema, 2006;Wapenaar et al., 2006;2008),并通过数值模拟合成地震数据和实际数据进行了验证(Draganov et al., 2006,2009).值得提及的是,犹他大学的Schuster在文章中首次使用了地震干涉法(Seismic Interferometry,SI)这一称谓(Schuster et al., 2004),在此之前他曾在斯坦福大学Claerbout教授领导的勘探地震项目组(Seismic Exploration Project,SEP)做过访问教授.Schuster把Claerbout的思想推广到四种情况下的成像问题:(1)被动源地 震成像;(2)反射地震CDP道集多次波成像;(3)透射的转换波如PS波成像;(4)震源位置成像.特别地,他们在井下地震成像方面取得了明显进展(Schuster,2005;Xiao et al., 2006;Xue et al., 2009).这些成果集中体现在著作《Seismic Interferometry》中(Schuster,2009).
可以用以证明Claerbout猜想的重要进展几乎同时期地发生在声学领域.Fink等(1989)证实了在无损耗介质中,瞬时声场满足时间反转不变性和空间互换性,并提出了时间反转镜像(Time-reversal Mirror,TRM)的概念.Bakulin和Calvert(2004,2006)基于时间反转不变性提出了勘探地震学上的虚源法(Virtual Source Method,VSM),这种方法巧妙地解决了复杂近地表结构对传统的基于速度模型的方法在深部成像方面的巨大影响.近年来快速发展的根据单边(反射或透射)地震响应的聚焦成像算法(Rose,2002;Wapenaar et al., 2011,2012)是虚源法或地震干涉法和经典逆散射理论结合的结果(Broggini and Snieder, 2012),可以让层间多次波正确归位(Slob et al., 2014;Broggini et al., 2014),算法上与薛定谔方程的列维坦-刘维尔-马琴柯迭代积分解法类似(Wapenaar et al., 2013,2014a,2014b),但其主要得益于VSM或SI的概念.
在实验物理学方面,Weaver和Lobkis通过实验发现,当对两个传感器接收到的由于电子撞击晶格缺陷或者空气分子与物体表面碰撞引起的热扰动噪声进行互相关计算,得到的波形近似两点间的格林函数(Weaver and Lobkis, 2001,2003;Lobkis and Weaver, 2001).这一结论不久就从封闭系统推广到开放系统(Weaver and Lobkis, 2002,2005).这一发现的理论贡献在物理学上可以理解为:刻画物理系统的本征性质时,热动力学平衡并非是必不可少的条件.正如Snieder等(2009)所指出的:由于地球系统上的场并不具备热动力学平衡的条件,因此这项工作为地震学家们利用背景噪声来对地球内部进行成像准备了理论前提.
在天然地震学领域,地震学家们对地震尾波(Coda)已经进行了长达半个多世纪的研究,而与此 相关的研究工作的源头可以追溯到Aki在20世纪50年代奠定的基础,他提出了用局部微震(microtremor)产生的背景噪声研究地下结构的设想,建立了在空间上观测微震来提取面波频散性质的基本公式(Aki,1957).Asten(1976,1978)将Aki的思想进行了详细论证,并推广到微震多分量记录和多模式面波情形.在工程地震方面,基于Aki建立的理论基础,日本学者提出了利用噪声或微震的空间自相关(SPatial Auto-Correlation,SPAC)方法获取近地表剪切波速度(Okada,2003).虽然人们早已认识到噪声的空间自相关(SPAC)与时域互相关利用的是同一个物理事实,但直到最近才由Tsai和Moschetti(2010)给出了SPAC方法与噪声时域互相关之间的显式联系.在Aki思想的启发下,Campillo和Paul(2003)建立了空间两点观测到的尾波互相关函数与格林函数之间的联系.通过对台站记录的101个远震事件的相同时间段的尾波记录进行两两互相关计算,经过叠加后发现结果与理论模型合成的格林函数一致,并且得到的波形具有R和L面波的极化特征及相应的群速度(Campillo and Paul, 2003).这篇论文可以视为地震学家利用背景噪声进行地球 内部速度成像的开山之作.随即,Shapiro和Campillo等合作研究,发表了2篇引用率很高的著名论文(Shapiro and Campillo, 2004; Shapiro et al., 2005),成为推动地震背景噪声研究和应用的重要标志.与此 同时,科罗拉多矿业学院波动现象研究中心的Snieder(2004)揭示了随机场源在空间上对格林函数恢复有贡献的仅分布在“稳相”区域.这一发现同时奠定了研究噪声源分布、面波高阶模式及不同模式间能量转换的基础.随后,他相继证明了 非时间反转不变系统,如扩散方程(Snieder,2006a)、 不均匀耗散介质中的声波方程(Snieder,2007)、电磁场及势场方程(Slob et al., 2007,2010),对空间两点的扰动时间序列进行互相关同样能给出两点间介质格林函数的结论.
需要指出,利用背景噪声的互相关运算提取的格林函数并非数学上严格定义的格林函数,而是格林函数和噪声源功率谱的乘积(Wapenaar et al., 2010a,2010b),因此常称之为经验格林函数(Empirical Green′s Function,EGF).利用互相关的自联算子,也就是采用反褶积运算所获得的也不是严格意义上的格林函数,因为当两台站合并为一处时,该点的波场必须消失(Wapenaar et al., 2010b),即需要满足 “固支(clamped)边界条件”(Vasconcelos and Snieder, 2008).
4 格林函数恢复的基本公式 4.1 无限大空间存在无限多随机噪声源的格林函数恢复公式Cox(1973)证明了速度为c的介质中,空间距离为r的任意两点A和B的噪声记录的归一化互谱密度CAB(ω)为:

(2)式的时间域表达式为:

对(3)式两端求导数,可以得到:

Roux等(2005a)导出了类似的公式,并且证明了格林函数恢复的时间叠加性:只要噪声源的空间位置不变,所有的噪声源在同一时刻激发不会改变相关函数恢复的结果(图 1).
![]() | 图 1 噪声源在不同时刻激发后从台站A和B记录互相关恢复的格林函数与这些噪声源累积在某一时刻同时激发等效示意图(修改自Roux et al., 2005a) 图中A和B表示两个台站,五角星表示噪声源的位置,以不同颜色表示在不同时刻激发. Fig.1 Retrieved Green′s function from cross-correlation of two-station records of A and B for noise sources at different times(e.g. at t1 and t2)is equivalent to accumulate all noise sources over time(all t)(modified from Roux et al., 2005a) Circled plus and star represent station and noise,respectively,with different color indicating different times. |
业已证明在弹性介质中任意两点的格林函数满足(Wapenaar,2004;van Manen et al., 2006;Curtis et al., 2009;Kimman and Trampert, 2010):

根据(5)式可以重建弹性介质中空间任意两点间的格林函数:将其中一个记录点的格林函数和另一个记录点与牵引力有关的格林函数进行互相关并求和.牵引力可用偶极子源(dipole)表达,在一般不知道噪声源的位置,更不会知道源处刚度参数情况下,(5)式无法应用.因此为实际应用考虑,通常用标度化的(scaled)格林函数或者直接用位移(可用单极子源等效)来代替,也就是用标度化的单极子源(monopole)代替偶极子源(dipole),此时,如果波场 是扩散的和闭合面上能量是等配分的(所有弹性波 模式激发的幅度在闭合面上处处相等),则这种近似可以给出足够精确的格林函数(Weaver and Lobkis, 2001).
4.3 弹性介质中面波格林函数恢复公式对于非扩散的波,远场单模式面波格林函数可以用(6)式恢复(Halliday and Curtis, 2008):

空间自相关是理论上推导出来的一种提取背景噪声中面波信息的方法(Aki,1957).定义空间自相关函数

假设噪声波场在时空平稳,φ的值通过长时间(如2T)平均应趋于一个稳定的值,因此可以用时间平均来代替空间平均,即

另外注意到φ在空间的均值满足


这样当假设时空稳态时,两台站间的空间自相关系数与第一类零阶贝塞尔函数对应,从而可以利用(10)式估计c(ω),即提取两台站间距为r的频散曲线.当时空非稳态时(如入射波场具优势方位时),对应于某一台站距的空间自相关系数对所有方位进行平均后仍然与第一类零阶贝塞尔函数对应,所以可以用于台阵数据.
令 x A= x,x B= x + r,理论上容易证明:φ(r)=〈C(x A,x B;0)〉|| x B- x A =r,所以空间自相关函数等于零时延时间自相关函数经空间带通滤波的结果(Tsai and Moschetti, 2010).SPAC法在处理噪声源在空间上不均匀分布情况下有明显优点,而其时域抗噪性较差,缺乏时间上的稳定性.相反,基于两台站噪声相关的经验格林函数恢复方法受噪声源分布的影响较大(见后续部分),但由于采用了时间域加窗截断和大量的叠加,其在时间上具有很好的抗噪性.我们的实验研究表明(内部项目报告),综合SPAC和EGF两种方法的优点进行近地表调查是可行的方案.
5 格林函数恢复的主要影响因素 5.1 场源分布Kimman和Trampert(2010)利用数值仿真数据研究了(6)式恢复面波基阶模式格林函数的适用性.在场源完美分布(perfect source distribution)情况下,基本结论是:1)恢复的瑞雷波基阶模式振幅与真振幅存在差异.这一点显然是忽略了未知的幅度因子A(ω)所造成;2)出现假的且能量不可忽略的到达波.Snieder等(2006b)第一次在不均匀场源分布的情况下识别出了这种假的到达波.Halliday和Curtis(2008)同样在不完美场源分布情况下识别出了假的震动信号,并且解释为产生于不同模式之间的交叉项(定义为不同模式之间的互相关,由不同模 式之间的能量转换所产生).在Kimman和Trampert(2010)给出的数值试验中,当场源的空间分布是均匀的或完美的,只要正确地恢复了每个模式的格林函数,求和之后的交叉项之和为零;同时,他们也证明了Love波与Rayleigh波之间的相互作用在场源完美分布时不会产生假的到达波.因此,实际应用中所观察到的假的能量,不仅可能与场源的不完美分布有关,还有可能与其他因素如场源的性质(参考对(5)式的讨论)和场源距台阵的距离等因素有关.
需要指出,对于格林函数的高精度恢复来说,高阶模式的面波能量识别是重要的.但是在场源具不完美分布时,Love波与高阶模式的Rayleigh波可 能相互混叠,从而严重干扰高阶模式Rayleigh波的恢复,并且它们可能在同一时刻到达,识别的难度非常大.
大量的研究业已表明,场源的空间分布对格林函数恢复的影响极大.前已述及,大量的研究表明背景噪声主要起因于海岸带区域并接近地球表面.因此当台阵接收到的噪声主要由分布于自由表面附近的场源产生时,前面导出的格林函数公式的前提条件(场源在空间完美分布)将不再成立,此时根据全波场相关恢复的格林函数与理论结果存在哪些偏差呢?我们知道,各向同性介质中面波的传播相速度与激发场源的深度无关(Aki and Richards, 1980),因此在考虑场源的分布对面波格林函数恢复的影响时可以忽略介质的速度因素.
数值试验表明(Halliday and Curtis, 2008),当场源仅位于地面时,对全波场进行相关处理会产生假的到达能量,而且依赖于地面上场源的性质和分布,如当只有单极子源时(即使在地表均匀分布)交叉项不能收敛到零.当场源与接收对处于in-line方式或场源在地面完全均匀分布时,虚假能量可以忽略不计,说明此时交叉项相互抵消;当非均匀的场源分布与接收对处于cross-line或off-line方式时,会产生具很强能量的假到达波;与接收对cross-line方向均匀分布大量场源时,有利于正确恢复面波的振幅.上述结果与稳相法给出的结论一致(Snieder,2004;Snieder et al., 2006b;Snieder and Larose, 2013).如图 2所示,假设介质均匀,当场源S在远离两记录点连线区域时,由于从场源出发到达两记录点的时差tSA-tSB不等于两记录点间走时tAB,所以这些区域的场源只有在叠加过程中将其影响消除才能正确恢复两记录点间的格林函数.当有场源S′位于图中阴影区域时,可以近似满足tAB≈tSA-tSB,因此叠加后来自这些区域场源的贡献一定最大.格林函数恢复中的这种叠加(积分)过程,与数值积分中的稳相法(Bleistein,1984)类似,因此称其为稳相区域.基于噪声源时间-空间分布的随机性,只要台阵记录的时间足够长,我们总能得到信噪比很高的经验格林函数.已有的实验研究表明(如陈伟,2010;张宝龙,2013),信噪比随叠加次数的变化具有饱和效应,并且严重依赖于场源分布和台站对之间的空间关系.
![]() | 图 2 对两台站A和B间格林函数恢复的二维震源分布稳相区域示意图(引自Snieder and Larose, 2013) Fig. 2 The stations A and B in two dimensions and the stationary phase regions for sources(follow Snieder and Larose,2013) |
由于地下的场源对激发高阶模式的面波有利(Xu et al., 2010),因此当缺乏深处的场源(即使场源在地表均匀分布)时,无法正确恢复高阶模式面波(Halliday and Curtis, 2008).场源离接收站的距离 变化不影响交叉项的能量大小,只是交叉项在时间上晚于高阶模式面波到达(Halliday and Curtis, 2008).当场源仅分布在地面且环绕接收对均匀分布时,恢复的一阶高阶模式的Rayleigh面波与理论格 林函数仅有幅度上的差异,而且与频率有关(Kimman and Trampert, 2010). 噪声源不均匀分布且速度各向异性介质对面波相速度(T=10~30 s)各向同性部分的影响非常小(Yao and van der Hilst,2009),一般小于1%(Harmon et al., 2010).但在介质异常复杂的近地表,噪声源分布不均匀可能导致面波相速 度(1~5 Hz)出现~10%的偏差2).
2)Wang K,Luo Y,Yang Y. Correction of phase velocity bias caused by strong directional noise sources in high-frequency ambient noise tomography: a case study in Karamay,China.如图 3所示,假设介质均匀,所有震源(红色实心圆)对A和B点记录相关叠加后的面波格林函数均有贡献(图 3a),但只有S处的震源对恢复的 体波格林函数有贡献(图 3b).因此,从噪声中提取体波信息时,场源分布的稳相区域比面波小得多(Snieder and Larose, 2013),面临的技术困难要大得多.
![]() | 图 3(a)对于面波格林函数恢复,噪声源(红色实心圆)可以分布在接收台站对连线的任意位置.(b)对于体波格林函数恢复,只有源S(红色实心圆)有贡献,而其他位置的噪 声源(空心红色圆)没有贡献(修改自Snieder and Larose, 2013)稳相区域示意图(引自Snieder and Larose, 2013) Fig. 3(a)For surface waves,noise sources(solid red circles)can be located anywhere on the receiver line.(b)For body waves,only the source S(solid red circle), and not the other noise sources(hollow red circles),gives the body wave that propagates between the receivers(modified from Snieder and Larose, 2013) |
作为示例,图 4给出我们根据某地布设的台阵观测的噪声记录恢复的经验格林函数.比较图 4a和图 4b,对来自40°~70°的噪声进行互相关恢复的面波经验格林函数的信噪比明显高于其正交方向,而且因果和非因果部分的幅度并不对称,这是因为该 台阵区域的噪声主要来源于40°~70°方位(见图 4c).
![]() | 图 4 某台阵40°~70°方位(a)和130°~160°(b)方位噪声互相关随台站间距排列图及对应频带的噪声聚束分析输出的能量随方位(外圈标注)和慢度(内部圈层标注,s/km)(c)(内部资料) Fig. 4 Noise cross-correlation changes with station separation for azimuthms of 40°~70°(a) and 130°~160°(b), and beamforming energy output at different azimuthm and slowness(c). The results are from a local seismic array(from technical report) |
实际资料的处理实验表明(Chávez-García and Rodríguez,2007),台站附近的局部速度结构和台站间距是控制面波格林函数恢复的最重要因素.对于局部速度结构的影响将在后续部分讨论.正确理解台站间距对格林函数恢复的影响不仅可以指导实际中面向应用对象的台阵设计,而且有利于理解噪声地震学的原理和选择数据处理方法.Bensen等(2007)根据大量的面波格林函数恢复的数据处理试验,总结出如下经验公式:

为了进一步厘清这一问题,这里给出均匀介质中导出的解析式进行分析(Xu et al., 2013).噪声互相关与两台站间格林函数的关系可以写为对场源进行积分的形式(Roux et al., 2005a):




x,该渐近线与x轴所夹锐角为:

![]() | 图 5 由方程(15)定义的噪声源分布双曲线,接收台站位于 双曲线焦点处(A和B),其切线与接收台站对连线所夹锐角 (方程(16)定义)(引自Xu et al., 2013) Fig. 5 Hyperbola by Eq.(15)with receivers of A and B at focus. The acute angle θ by Eq.(16)formed by the asymptote of a hyperbola with the x-axis in the first quadrant (from Xu et al., 2013) |

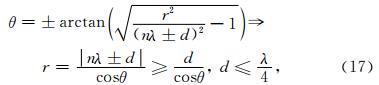
由式(17)易知,最小的台站间距rmin当且仅当夹角θ 为0°时取得,即场源位于两台站的连线上,此时rmin=λ/4.实际情况下,由于噪声源的分布在空间是完全随机的,根据(17)式计算的最小台站间距与场源分布区域(以角度θ刻画)之间的关系示于图 6.当场源分布区域超过±75.6°时,要求最小的台站间距必须大于一个波长,当场源分布区域超过±85.3°时,最小的台站间距应大于3倍波长.实际的地震噪声记录含有不相关的成分并随机但不均匀分布,因此要求台站间距大于3倍波长是合理的.
![]() | 图 6 最小台站间距与噪声源分布范围的关系(引自Xu et al., 2013) Fig. 6 Coverage angle versus minimum interstation distance. Mask(75.6°,1)means the interstation distance is at least one wavelength when the noise coverage angle approaches 75.6°(from Xu et al., 2013) |
另外,最小台站间距还与在恢复的格林函数上可以分辨的走时问题有关(Tsai,2009).对于中心频率为ω的平面波平行于台站A和B的连线传播,设两台站间的走时为t.一般地,为了准确拾取走时t,要求t≥T/2(T为对应于频率ω的周期),也就是要求台站间距至少大于1/2波长(r≥cT/2).在实际应用中,建议取上述两种估计结果的较大者设计观测台阵.当然,如果你有足够多的台站则可以忽略这一问题.
根据美国USArray台阵数据,我们通过测试发现,台站间距至少在一个波长时仍然和3倍波长的 频散曲线是一致的(Luo et al., 2015).对于面波多 道分析法(Multi-channel Analysis of Surface Waves,MASW)(Park et al., 1999),检波器排列长度等效于台站间距(Xu et al., 2013),因此增加排列长度有利于提高频散曲线的时间-频率域分辨率(Forbriger,2003;Xia et al., 2006).当介质的面波相速度越大,要求台站间距越大,横向分辨率随之降低,因此密集布置台站且覆盖范围大于成像区域是提高面波成像分辨率的必然要求.
另一个值得注意的问题:3D格林函数的相位比2D格林函数提前π/4(Aki and Richards, 1980),这是由于线源(2D源)可以视为点源(3D源)叠加(因而空间光滑平均)的结果.因此,进行基于噪声的面波勘探时,实际测量的相位差应该减去π/4才能用于计算相速度.对于近地表应用来说,由于所利用的面波频率高,台站间距小,这一相移不能忽略.注意,不能混淆这一相移与对噪声互相关函数的时间微分所产生的π/2相移.
6 基于格林函数恢复的成像方法 6.1 ANT法背景噪声层析成像(Ambient Noise-based Tomography,ANT)法是目前区域和局部尺度上面波成像的主流方法.对于面波来说,大多数成像方法基于平面波入射到台阵的假设,因此经典的思路是在获得面波频散曲线后,对每一个周期的频散数据 利用二维层析成像方法获得光滑意义上优化的群速度或相速度图(Ditmar and Yanovskaya, 1987;Yanovskaya and Ditmar, 1990),然后再进行逐点的一维反演(Xia et al., 1999),得到剪切波速度随深度变化的信息.对于基于面波经验格林函数恢复的ANT法,一个改进是通过平面波模拟的迭代反演算法来校正噪声源分布不均对面波相速度的影响,从而提高ANT结果的精度(Yao and van der Hilst,2009).
上述传统的面波层析成像方法假设入射波沿着大圆路径传播,但实际上当面波通过不均匀介质时,会发生散射和偏离大圆路径传播,同时使波前面扭曲,形成非平面波.为了克服这些问题,相继提出了双平面波层析成像方法(TPWT)(Forsyth and Li, 2005)及其改进版(Yang and Forsyth, 2006; Yang,2014).其主要思路是:假定空间某点观测到的每一个地震事件或背景噪声都可以用两列平面波入射后的干涉波场来表示,因此首先使用两列平面波的干涉来拟合观测到的入射波场,以校正非平面波的影响,然后再进行面波的层析成像.
6.2 ANET法基于背景噪声的程函方程层析成像(Ambient Noise-based Eikonal Tomography,ANET)方法(Lin et al., 2009)自提出以来就得到广泛重视,并 适用于近地表面波层析成像(de Ridder and Dellinger, 2011),因此对其发展的背景作一介绍,以便有兴趣的读者追踪历史文献.
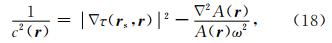
当面波(即使是单模式面波)传播路径上存在横向速度变化或地形影响时,不仅会产生散射、绕射、共振等现象而改变波的振幅(例如Bostock and Kennett, 1992;Friederich et al., 1993;Wielandt, 1993;Van der Lee,1998;Kennett,1998;Maupin,2001;Wang et al., 2012),而且这种振幅的变化会引起计算的频散曲线产生偏差(Wielandt, 1993; Friederich et al., 2000;Xu et al., 2010).单色平面波在横向均匀介质中传播遵循Helmholtz方程,传播特性决定于波矢或结构波数矢量(Wielandt, 1993);而根据记录的波场计算的波矢或动态波数(Wielandt, 1993)是将波场变换到频域后对相位求负梯度的结果,两者的偏差产生于实际波场振幅的空间变化(Friederich et al., 2000).可以简单证明(Wielandt, 1993),面波相速度与幅度之间满足如下关系:


表示测点处波场的单位波矢.显然,(19)式构成了一个经典的基于走时的层析成像问题,但相位走时面上的相位梯度即为与波的局部传播方向有关的相速度,因此追踪相位走时面的过程立即可以给出所需要的模型值(相速度或慢度),说明该方法本质上并不需要做层析反演.反过来,将程函方程层析成像视为一个反演问题,那么反演算子就是相位走时面上的梯度算子,因为它等效于将观测到的走时转变为模型值(相速度或慢度),这样程函方程层析成像不需要构建波前面的正演.
对于基于噪声的面波程函方程层析成像,关键是理解相位走时面的概念(Lin et al., 2009).当利用两两台站记录的互相关从噪声中恢复EGFs(或者采用SI法获得虚源地震记录)后,将台阵中的每一个有效台站视为场源点,设想从该源点出发的某一中心频率的面波按照某个二维相位走时面到达其他台站.为了构建以某一台站为源点的相位走时面,可以将所有与此台站相关的EGFs按照距离排列成时间-距离剖面,然后逐一测量每一个EGFs中面波包络的走时,即拾取相对于所选定台站的相位走时,并通过空间插值形成有效频带内任意中心频率的二维规则网格的相位走时面.对某一网格内的相位走时求波路径方向(该网格与视作源点的台站连线方向)的局部导数,即可以获得该方向的相速度.如果台阵内有n个台站,重复上述过程,在每一个网格内可生成n个具有方向的相速度值,显然可以据此考察该台阵覆盖区域的面波相速度的各向异性.如果各向异性不显著,可以通过n个值的简单平均求得每个网格点的相速度.为了提高层析成像的精度,可以根据EGFs的信噪比取舍其是否参与计算、采用全局光滑插值、剔除异常台站等技术措施.
从上述对算法的描述易见,该方法不依赖于速度模型,无需迭代,计算量小,还可以提供各向异性信息和相速度估计的不确定性信息,但空间分辨率不大于台站间距(Lin et al., 2009).这是一种值得推荐在近地表调查中应用和进一步发展的方法.
6.3 SI或VSM法地震干涉法(Schuster et al., 2004;Schuster,2009)或虚源法(Bakulin and Calvert, 2004,2006)已从其最初的定义拓展到几乎涵盖噪声地震学的所有方面(Snieder and Larose, 2013).本文放弃从理论上建立它们之间联系的努力,有兴趣的读者可以参考Wapenaar等(2010a,2010b).由于这两种方法都起源于勘探地震学领域,因此主要针对反射体波响应的提取.对于图 7所示情形,将图 7a和图 7b进行互相关可以得到图 7c,但图 7c等效于其中的一个记录点处放置了并不存在的场源,互相关运算可视为干涉算子,这就是地震干涉法或虚源法的1D简单解释.显然,自相关生成自激自收的地震记录,互相关生成共虚源的炮道集.
![]() | 图 7 SI法示意图 (a)地下某一场源激发的地震波被地表某处一检波器记录到,(b)被第一个检波器接收到的波向下传播被地下某点反射后返回地表而被第二个检波器记录到,(c)将2个检波器记录进行互相关运算消除了从场源出发的波到第一个检波器的传播信息,这等效于将震源置于第一个检波器而在第二个检波器处接收(引自Schuster,2009). Fig. 7 Principle of seismic interferometry (a)A wave from a subsurface source to a surface receiver,(b)the wave rebound downward to a reflecting point then propagate to the second surface receiver,(c)cross-correlation of two-receiver records can eliminate propagation information between source to the first receiver and results in a record at second receiver from a virtual source at the first receiver(from Schuster,2009). |
在油气勘探中,获取勘探目标的反射响应是反射地震数据处理的主要任务,但近地表复杂覆盖层或者海洋油气勘探中的盐丘对获取深部油气藏目标 的有效反射构成严重障碍.Bakulin和Calvert(2004,2006)提出了在井下观测地震波场,并利用井中两道记录之间的互相关消除上部地层的影响而获得勘探目标反射响应的设想(图 8),并将其命名为虚源法.
![]() | 图 8 VSM法示意图 震源Sk在地表,井中放置检波器接收,将 x A和x B两道记录进行互相关运算将消除场源到达井位深度之前的传播信息,而近似获得 x A处的场源(虚源)出发的下行波经目标界面反 射后到达 x B处的传播信息(红色实线表示的路径)(引自Bakulin and Calvert, 2006). Fig. 8 Illustration of virtual source method(VSM) For a surface source Sk and borehole receivers of x A and x B,cross-correlation of two records will obtain a wavefield recorded at x B from a virtual source at x A propagating through a new pathway(red solid line)(from Bakulin and Calvert, 2006). |
频率域相关型地震干涉法提取格林函数的公式可以写为(Wapenaar et al., 2010a):

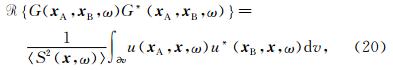
G(x A,x B,ω)表示 x B点脉冲激发 x A 点接收的波场即 这两点之间的格林函数, R 表示取实部;u(x A,x,ω)和u(x B,x,ω)分别表示在 x A和x B点接收到的任意体积v内某一场源 x 激发的波场,*表示复数共轭;S2(x,ω)表示 x 处场源的功率,〈·〉表示任意体积v内场源功率的系综平均.(20)式本质上和式(6)类似,只是为了提取体波的需要,包含了观测区域内的场源激发的波场.
SI法中和式(20)对偶的方法是反褶积(Snieder et al., 2006a).对于密集台阵还可以采用多维反褶积(Wapenaar and van der Neut,2010c;Wapenaar et al., 2011). Snieder等(2009)将实现SI法的相关、反褶积及多维反褶积的优缺点进行了归纳(表 1),系统的对比工作见Wapenaar等(2011).
|
|
表 1 相关、反褶积及多维反褶积实现SI法的优缺点(据Snieder et al., 2009) Table 1 The advantages and disadvantages of the correlation method,the deconvolution method, and the multidimensional deconvolution method(follow Snieder et al., 2009) |
在理论研究继续发展的同时,基于背景噪声的经验格林函数恢复方法在区域尺度的面波层析成像方面得到迅速和大量的推广应用,这主要归功于:1)背景噪声可以弥补地震事件产生的面波高频成分(<20 s周期)的不足,对地壳的成像分辨率明显提高(例如Yang et al., 2008;Yao et al., 2008;Zheng et al., 2008;Liang and Langston, 2008;Bensen et al., 2009;Lin et al., 2009;Li et al., 2009;Fang et al., 2010;Zheng et al., 2011;Luo et al., 2012,2013);2)可以弥补地球表面很多区域地震事件的不足,而且只需要台阵较短时间高质量的噪声观测就可以获得很好的成像效果(例如 Luo et al., 2013);3)由于采用了大量的叠加,可以获得更为可靠的面波群速度.
相较于面波,背景噪声记录中体波的能量弱,而且恢复体波经验格林函数需要更为苛刻的震源条件,因此从背景噪声中提取体波格林函数相对困难,但通过研究者们的不懈努力,近年来在全球和区域 尺度上取得了突破性进展(O′Connell,2007;Gerstoft et al., 2008;Ruigrok et al., 2010,2012a;Zhan et al., 2010;Ryberg,2011;Poli et al., 2012;Nishida et al., 2008).利用地震干涉法不仅有监测稠油储层的成像试验(Miyazawa et al., 2008),也有有效改善盐下成像效果的应用(Xiao et al., 2006;Hornby and Yu, 2007;Vasconcelos and Snieder, 2008).基于体波干涉成像原理,一些新的数值模拟方法也应运而生(van Manen et al., 2006,2007;Mehta et al., 2008;Poletto and Farina, 2010).传统的接收函数成像方法可以作为SI法的一个特例(Kumar and Bostock, 2006;Galetti and Curtis, 2012).
已有大量的结果表明噪声地震学方法在监测地震、火山、滑坡及其他原因的地下介质变化过程中具有独特的优势(例如Sens-Schönfelder and Wegler, 2006;Brenguier et al., 2008a,2008b;Sens-Schönfelder and Larose, 2008; Picozzi et al., 2008;Xu and Song, 2009;Moschetti et al., 2010;刘志坤和黄金莉,2010;Renalier et al., 2010;Meier et al., 2010; Nakata and Snieder, 2011;Houlié et al., 2011;Mainsant et al., 2012;Xu et al., 2013).在较小的空间尺度上,对一个月的地震背景噪声进行互相关,不仅提取到R面波,而且还通过时频分析发现了P波成分(Roux et al., 2005b).Draganov等(2007,2009)先后从不同场地的地震背景噪声中提取到来自浅层(~1 km)的P波反射信息并用于偏移成像.利用高频背景噪声测量可以估计场地的阻尼(Albarello and Baliva, 2009).运用互相干方法可从交通环境噪声中提取到反射S波信号(Nakata et al., 2011; Nakata and Snieder, 2012),经与主动源反射地震记录对比验证了地下反射体的可靠性(Nakata et al., 2011).Ruigrok等(2012b)从埃及沉积盆地40 h的 地震背景噪声中成功得到来自地下约5 km深度的P和S波一次反射及其多次波.用类似的方法在德国Ketzin地区用25 h的地震背景噪声数据得到了反射剖面和共深度点剖面,并指出早于虚拟的反射波到达的信号为假信号,由体波噪声源实际空间分布与理论假设不符造成(Xu et al., 2012b).Tonegawa等(2013)运用自相关法从日本海 沟长时间背景噪声(2~5 Hz)中提取到浅层(~350 m)反射S波信号,并用于分析地震引起的地下速度结构各向异性.Xu等(2013)在用于监测三峡黄土坡大型滑坡体的隧道内,利用48个台站28小时的连续噪声记录获得了3~30 Hz的虚源地震剖面,然后利用MASW(Xia et al., 1999)的处理和反演方法获得了S波速度结构,揭示滑坡体下存在至少2个潜在的滑动面.最近,一个有意思的应用是利用SI法将主动源反射地震剖面上出现的虚反射(ghost)探测浅地表的散射体(Harmankaya et al., 2013).
Sens-Schönfelder和Larose(2008)将EGF恢复方法应用在Apollo 17计划中布设的四个地震台站(图 9a)采集的数据,提取出面波EGF(图 9b),并据此确定了月球表面浅部10 m深的剪切波速度剖面(图 9c).月壤速度极低是由于其松散且极端干燥所致,由图 9b还可以发现EGF中的因果(正向时间)部分振幅强于非因果(负向时间)部分,说明月球上的噪声源也并不均匀(Larose et al., 2005).在月球上的成功应用启示我们,在未来的行星地球物理研究计划中,虽然其他星球(如火星)可能缺少足够的天然地震信号,但利用噪声地震学方法一样可以获取它们的内部结构信息.
![]() | 图 9 Apollo 17计划在月球表面布设的4个地震台站(a); 从其中两个台站(G3和G4)记录恢复的EGF(b),其中1.5 s左右为直达R面波;(c)推断的10 m以上深度的月壤S波速度曲线(引自Sens-Schönfelder and Curtis, 2008) Fig. 9(a)Geometry of the four receivers(G1-G4)spread in a triangular array at the Apollo 17 l and ing site;(b)Ambient noise correlations between G3 and G4. The pulse around 1.5 s is the direct Rayleigh wave between the receivers;(c)Inverted shear-wave velocity vs. depth of the subsoil under the receivers from Rayleigh-wave dispersion(from Sens-Schönfelder and Curtis,2008) |
从噪声地震学发展的轨迹可以看出,方法的进步首先应归功于理论上的发展,而理论上的发展可能发端于不同的学科领域,因此预期噪声地震学理论上的新突破是困难的.即使如此,笔者还是期望于非线性干涉理论的发展,因为我们希望利用高阶模式面波和多次散射体波.
物理问题基本清晰之后,提高噪声地震学应用水平主要体现在方法和技术的进步上.虽然早期的理论研究基于噪声源均匀随机分布和能量等配分的前提条件,但实际应用早已抛开了这些束缚,因为我们有足够多的数据处理技术.提高信噪比的精细数据处理技术是应用地震学家的长处,因此我们今后将会继续从传统的勘探地震数据处理方法及流程设计中获益.提高经验格林函数的成像效果是进一步推广应用的关键,一方面需要研究成像的新方法,另一方面需要构建基于经验格林函数的成像条件.Marchenko成像方法在原理上可以对地下任意深度区间的速度结构进行成像并排除该区间外的影响(Wapenaar et al., 2014a),因此值得进一步研究.
噪声地震学方法可以应用于解决大量的近地表问题,如与地下空间有关的安全监测、城市背景噪声环境的监测和噪声源定位、地下水迁移的实时监测、大型滑坡体与岩崩体的监测和预警、活断层与活火山监测和预警、场地工程性质调查、地震与超大或超高建筑物对岩土层的改造、土壤液化调查、地壳运动与物理风化关系研究、冻土层和冰盖的季节变化过程监测等.
| [1] | AkiK. 1957. Space and time spectra of stationary stochastic waves, with special reference to microtremors. Bull. Earthq. Res. Inst. Univ., Tokyo Univ., 35:415-456. |
| [2] | Aki K, Chouet B. 1975. Origin of coda waves:Source, attenuation, and scattering effects. J. Geophys. Res., 80(23):3322-3342. |
| [3] | Aki K, Richards P G. 1980. Quantitative Seismology. New York:W. H. Freeman. |
| [4] | Albarello D, Baliva F. 2009. In-situ estimates of material damping from environmental noise measurements.//Mucciarelli M, Herak M, Cassidy J eds. Increasing Seismic Safety by Combining Engineering Technologies and Seismological Data (NATO Science for Peace and Security Series C:Environmental). Netherlands:Springer. |
| [5] | Asten M W. 1976. The use of microseisms in geophysical exploration. Australia:Macquarie University. |
| [6] | Asten M W. 1978. Geological control on the three-componentspectra of Rayleigh-wave microseisms. Bull. Seismol. Soc. Am., 68(6):1623-1635. |
| [7] | Astiz L, Creager K. 1994. Geographic and seasonal variations of microseismic noise. EOS, Transactions, AGU, 75:419. |
| [8] | Backus M, Burg J, Baldwin D, et al. 1964. Wide-band extraction of mantle P waves from ambient noise. Geophysics, 29(5):672-692. |
| [9] | Backus M. 1966. Teleseismic signal extraction. Proc. Roy. Soc. A., 290(1442):343-367. |
| [10] | Bakulin A, Calvert R. 2004. Virtual source:New method for imaging and 4D below complex overburden.//74th Annual International Meeting, SEG, Expanded Abstracts, 2477-2480. |
| [11] | Bakulin A, Calvert R. 2006. The virtual source method:Theory and case study. Geophysics, 71(4):SI139-SI150. |
| [12] | Barstow N, Sutton G H, Carter J A. 1989. Particle motion and pressure relationships of ocean bottom noise:3900 m depth; 0.003 to 0.05 Hz. Geophys. Res. Lett., 16(10):1185-1188. |
| [13] | Bensen G D, Ritzwoller M H, Barmin M P, et al. 2007. Processing seismic ambient noise data to obtain reliable broad-band surface wave dispersion measurements. Geophys. J. Int., 169(3):1239-1260. |
| [14] | Bensen G D, Ritzwoller M H, Yang Y J. 2009. A 3-D shear velocity model of the crust and uppermost mantle beneath the United States from ambient seismic noise. Geophys. J. Int., 177(3):1177-1196. |
| [15] | Bleistein N. 1984. Mathematical Methods for Wave Phenomena. Orlando, FL:Academic Press. |
| [16] | Bonnefoy-Claudet S, Cotton F, Bard P Y. 2006. The nature of noise wavefield and its applications for site effects studies:A literature review. Earth-Sci. Rev., 79(3-4):205-227. |
| [17] | Bostock M G, Kennett B L N. 1992. Multiple scattering of surface waves from discrete obstacles. Geophys. J. Int., 108(1):52-70. |
| [18] | Brenguier F, Campillo M, Hadziioannou C, et al. 2008a. Postseismic relaxation along the San Andreas Fault at Parkfieldfrom continuous seismological observations. Science, 321(5895):1478-1481. |
| [19] | Brenguier F, Shapiro N M, Campillo M, et al. 2008b. Towardsforecasting volcanic eruptions using seismic noise. Nat. Geosci., 1(2):126-30. |
| [20] | Broggini F, Snieder R. 2012. Connection of scattering principles:A visual and mathematical tour. Europ. J. Phys., 33(3):593-613. |
| [21] | Broggini F, Snieder R, Wapenaar K. 2014. Data-driven wavefield focusing and imaging with multidimensional deconvolution:Numerical examples for reflection data with internal multiples. Geophysics, 79(3):WA107-WA115. |
| [22] | Bromirski P D, Flick R E, Graham N. 1999. Ocean wave height determined from inland seismometer data:Implications for investigating wave climate changes in the NE Pacific. J. Geophys. Res., 104(C9):20753-20766. |
| [23] | Bromirski P D. 2001. Vibrations from the "Perfect Storm". Geochem. Geophys. Geosyst., 2(7), doi:10.1029/2000GC000119. |
| [24] | Bromirski P D, Duennebier F K. 2002. The near-coastal microseism spectrum:spatial and temporal wave climate relationships. J. Geophys. Res., 107(B8):2166. |
| [25] | Bromirski P D, Gerstoft P. 2009. Dominant source regions of the Earth's ‘hum’ are coastal. Geophys. Res. Lett., 36:L13303. |
| [26] | Campillo M, Paul A. 2003. Long-range correlations in the diffuse seismic coda. Science, 299(5606):547-549. |
| [27] | Campillo M. 2006. Phase and correlation in 'Random' seismic fields and the reconstruction of the Green function. Pure Appl. Geophys., 163(2-3):475-502. |
| [28] | Cessaro R K. 1994. Sources of primary and secondary microseisms. Bull. Seismol. Soc. Am., 84(1):142-148. |
| [29] | Chávez-García F J, Rodríguez M. 2007. The correlation of microtremors:empirical limits and relations between results in frequency and time domains. Geophys. J. Int., 171(2):657-664. |
| [30] | Chen W. 2010. Study of surface-wave dispersion analysis based on ambient noise (in Chinese). Wuhan:China University of Geosciences (Wuhan). |
| [31] | Chevrot S, Sylvander M, Benahmed S, et al. 2007. Source locations of secondary microseisms in western Europe:Evidence for both coastal and pelagic sources. J. Geophys. Res., 112:B11301. |
| [32] | Claerbout J. 1968. Synthesis of a layered medium from its acoustic transmission response. Geophysics, 33(2):264-269. |
| [33] | Cole S. 1995. Passive seismic and drill-bit experiments using 2-D arrays. Stanford:Stanford University. |
| [34] | Cox H. 1973. Spatial correlation in arbitrary noise fields with application to ambient sea noise. J. Acoust. Soc. Am., 54(5):1289-1301. |
| [35] | Curtis A, Nicolson H, Halliday D, et al. 2009. Virtual seismometers in the subsurface of the Earth from seismic interferometry. Nat. Geosci., 2(10):700-704. |
| [36] | de Ridder S, Dellinger J. 2011. Ambient seismic noise eikonal tomography for near-surface imaging at Valhall. The Leading Edge, 30(5):506-512. |
| [37] | Díaz J, Villaseor A, Morales J, et al. 2010. Background noise characteristics at the IberArray broadband seismic network. Bull. Seismol. Soc. Am., 100(2):618-628. |
| [38] | Ditmar P G, Yanovskaya T B. 1987. Generalization of the Backus-Gilbert method for estimation of lateral variations of surface wave velocity. Izv. Phys. Solid Earth, 23(6):470-477. |
| [39] | Draganov D, Wapenaar K, Thorbecke J. 2006. Seismic interferometry:reconstructing the Earth's reflection response. Geophysics, 71(4):SI61-SI70. |
| [40] | Draganov D, Wapenaar K, Mulder W, et al. 2007. Retrieval of reflections from seismic background-noise measurements. Geophys. Res. Lett., 34(4):L04305. |
| [41] | Draganov D, Campman X, Thorbecke J, et al. 2009. Reflection images from ambient seismic noise. Geophysics, 74(5):A63-A67. |
| [42] | Duvall T L Jr, Jefferies S M, Harvey J W, et al. 1993. Time-distance helioseismology. Nature, 362(6419):430-432. |
| [43] | Fang L H, Wu J P, Ding Z F, et al. 2010. High resolution Rayleigh wave group velocity tomography in North China from ambient seismic noise. Geophys. J. Int., 181(2):1171-1182. |
| [44] | Fink M, Prada C, Wu F, et al. 1989. Self focusing in inhomogeneous media with time reversal acoustic mirrors.//IEEE Ultrasonics Symposium. Montreal, Que.:IEEE, 681-686. |
| [45] | Forbriger T. 2003. Inversion of shallow-seismic wavefields:I. Wavefield transformation. Geophys. J. Int., 153(3):719-734. |
| [46] | Forsyth D W, Li A B. 2005. Array analysis of two-dimensional variations in surface wave phase velocity and azimuthal anisotropy in the presence of multipathing interference.//Seismic Earth:Array Analysis of Broadband Seismograms, Geophysical Monograph Series 157. AGU, 81-97. |
| [47] | Friederich W, Wielandt E, Stange S. 1993. Multiple forward scattering of surface waves:comparison with an exact solution and Born single-scattering methods. Geophys. J. Int., 112(2):264-275. |
| [48] | Friederich W, Hunzinger S, Wielandt E. 2000. A note on the interpretation of seismic surface waves over three-dimensional structures. Geophys. J. Int., 143(2):335-339. |
| [49] | Galetti E, Curtis A. 2012. Generalised receiver functions and seismic interferometry. Tectonophysics, 532-535:1-26. |
| [50] | Gerstoft P, Fehler M C, Sabra K G. 2006. When Katrina hit California. Geophys. Res. Lett., 33(17):L17308. |
| [51] | Gerstoft P, Tanimoto T. 2007. A year of microseisms in southern California. Geophys. Res. Lett., 34(20):L20304. |
| [52] | Gerstoft P, Shearer P M, Harmon N, et al. 2008. Global P, PP, and PKP wave microseisms observed from distant storms. Geophys. Res. Lett., 35(23):L23306. |
| [53] | Grevemeyer I, Herber R, Essen H H. 2000. Microseismological evidence for a changing wave climate in the northeast Atlantic Ocean. Nature, 408(6810):349-352. |
| [54] | Gutenberg B. 1947. Microseisms and weather forecasting. J. Meteor., 4(1):21-28. |
| [55] | Halliday D, Curtis A. 2008. Seismic interferometry, surface waves and source distribution. Geophys. J. Int., 175(3):1067-1087. |
| [56] | Harmankaya U, Kaslilar A, Thorbecke J, et al. 2013. Locating near-surface scatterers using non-physical scattered waves resulting from seismic interferometry. J. Appl. Geophys., 91:66-81. |
| [57] | Harmon N, Rychert C, Gerstoft P. 2010. Distribution of noise sources for seismic interferometry. Geophys. J. Int., 183(3):1470-1484. |
| [58] | Hasselmann K. 1963. A statistical analysis of the generation of microseisms. Rev. Geophys., 1(2):177-210. |
| [59] | Haubrich R A, McCamy K. 1969. Microseisms:Coastal and pelagic sources. Rev. Geophys., 7(3):539-571. |
| [60] | Hillers G, Campillo M, Lin Y Y, et al. 2012. Anatomy of the high-frequency ambient seismic wave field at the TCDP borehole. J. Geophys. Res., 117:B06301. |
| [61] | Hoerling M P, Kumar A. 2002. Atmospheric response patterns associated with tropical forcing. J. Climate, 15(16):2184-2203. |
| [62] | Hornby B E, Yu J H. 2007. Interferometric imaging of a salt flank using walkaway VSP data. The Leading Edge, 26(6):760-763. |
| [63] | Houlié N, Occhipinti G, Blanchard T, et al. 2011. New approach to detect seismic surface waves in 1Hz-sampled GPS time series. Sci. Rep., 1:44. |
| [64] | Kedar S, Longuet-Higgins M, Webb F, et al. 2008. The origin of deep ocean microseisms in the North Atlantic Ocean. Proc. R. Soc. Lond., A, 464(2091):777-793. |
| [65] | Kennett B L N. 1998. Guided waves in three-dimensional structures. Geophys. J. Int., 133(1):159-174. |
| [66] | Kimman W P, Trampert J. 2010. Approximations in seismic interferometry and their effects on surface waves. Geophys. J. Int., 182(1):461-476. |
| [67] | Knopoff L, Gangi A F. 1959. Seismic reciprocity. Geophysics, 24(4):681-691. |
| [68] | Koper K D, de Foy B. 2008. Seasonal anisotropy in short-period seismic noise recorded in South Asia. Bull. Seismol. Soc. Am., 98(6):3033-3045. |
| [69] | Koper K D, de Foy B, Benz H. 2009. Composition and variation of noise recorded at the Yellowknife seismic array, 1991-2007. J. Geophys. Res., 114:B10310. |
| [70] | Koper K D, Seats K, Benz H. 2010. On the composition of Earth's short-period seismic noise field. Bull. Seismol. Soc. Am., 100(2):606-617. |
| [71] | Kumar M R, Bostock M G. 2006. Transmission to reflection transformation of teleseismic wavefields. J. Geophys. Res., 111:B08306. |
| [72] | Larose E, Khan A, Nakamura Y, et al. 2005. Lunar subsurface investigated from correlation of seismic noise. Geophys. Res. Lett., 32:L16201. |
| [73] | Li H Y, Su W, Wang C Y, et al. 2009. Ambient noise Rayleigh wave tomography in western Sichuan and eastern Tibet. Earth Planet. Sci. Lett., 282(1-4):201-211. |
| [74] | Liang C T, Langston C A. 2008. Ambient seismic noise tomography and structure of eastern North America. J. Geophys. Res., 113:B03309. |
| [75] | Lin F C, Ritzwoller M H, Snieder R. 2009. Eikonal tomography:surface wave tomography by phase front tracking across a regional broad-band seismic array. Geophys. J. Int., 177(3):1091-1110. |
| [76] | Lin F C, Tsai V C, Schmandt B, et al. 2013. Extracting seismic core phases with array interferometry. Geophys. Res. Lett., 40(6):1049-1053. |
| [77] | Liu Z K, Huang J L. 2010. Temporal changes of seismic velocity around the Wenchuan earthquake fault zone from ambient seismic noise correlation. Chinese J. Geophys. (in Chinese), 53(4):853-863, doi:10.3969/j.issn.0001-5733.2010.04.010. |
| [78] | Lobkis O I, Weaver R L. 2001. On the emergence of the Green's function in the correlations of a diffuse field. J. Acoust. Soc. Am., 110(6):3011-3017. |
| [79] | Lu L Y, He Z Q, Ding Z F, et al. 2009. Investigation of ambient noise source in North China array. Chinese J. Geophys. (in Chinese), 52(10):2566-2572, doi:10.3969/j.issn.0001-5733.2009.10.015. |
| [80] | Luo Y H, Xu Y X, Yang Y J. 2012. Crustal structure beneath the Dabie orogenic belt from ambient noise tomography. Earth Planet. Sci. Lett., 313-314:12-22. |
| [81] | Luo Y H, Xu Y X, Yang Y J. 2013. Crustal radial anisotropy beneath the Dabie orogenic belt from ambient noise tomography. Geophys. J. Int., 195(2):1149-1164. |
| [82] | Luo Y H, Yang Y J, Xu Y X, et al. 2015. On the limitations of interstation distances in ambient noise tomography. Geophys. J. Int., 201(2):652-661. |
| [83] | Mainsant G, Larose E, Brönnimann C, et al. 2012. Ambient seismic noise monitoring of a clay landslide:toward failure prediction. J. Geophys. Res., 117:F01030. |
| [84] | Maupin V. 2001. A multiple-scattering scheme for modelling surface wave propagation in isotropic and anisotropic three-dimensional structures. Geophys. J. Int., 146(2):332-348. |
| [85] | Mehta K, Snieder R, Calvert R, et al. 2008. Acquisition geometry requirements for generating virtual-source data. The Leading Edge, 27(5):620-629. |
| [86] | Meier U, Shapiro N M, Brenguier F. 2010. Detecting seasonal variations in seismic velocities within Los Angeles basin from correlations of ambient seismic noise. Geophys. J. Int., 181(2):985-996. |
| [87] | Miyazawa M, Snieder R, Venkataraman A. 2008. Application of seismic interferometry to extract P- and S-wave propagation and observation of shear wave splitting from noise data at Cold Lake, Alberta, Canada. Geophysics, 73(4):D35-D40. |
| [88] | Moschetti M P, Ritzwoller M H, Lin F C, et al. 2010. Seismic evidence for widespread western-US deep-crustal deformation caused by extension. Nature, 464(7290):885-889. |
| [89] | Nakata N, Snieder R, Tsuji T, et al. 2011. Shear wave imaging from traffic noise using seismic interferometry by cross-coherence. Geophysics, 76(6):SA97-SA106. |
| [90] | Nakata N, Snieder R. 2011. Near-surface weakening in Japan after the 2011 Tohoku-Oki earthquake. Geophys. Res. Lett., 38:L17302. |
| [91] | Nakata N, Snieder R. 2012. Estimating near-surface shear wave velocities in Japan by applying seismic interferometry to KiK-net data. J. Geophys. Res., 117:B01308. |
| [92] | Nishida K, Kawakatsu H, Obara K. 2008. Three-dimensional crustal S wave velocity structure in Japan using microseismic data recorded by Hi-net tiltmeters. J. Geophys. Res., 113:B10302. |
| [93] | O'Connell D R H. 2007. Concrete dams as seismic imaging sources. Geophys. Res. Lett., 34(20):doi:10.1029/2007GL031219. |
| [94] | Okada H. 2003. The Microtremor Survey Method. Translated by Suto K. Soc. of Expl. Geophys. of Japan, Geophys. Mon. Ser. No. 12, Soc. of Expl. Geophys., Tulsa. |
| [95] | Park C B, Miller R D, Xia J H. 1999. Multimodal analysis of high frequency surface waves. //Proceedings of the Symposium onthe Application of Geophysics to Engineering and Environmental. 99:115-121. |
| [96] | Picozzi M, Parolai S, Bindi D, et al. 2008. Characterization of shallow geology by high-frequency seismic noise tomography. Geophys. J. Int., 176(1):164-174. |
| [97] | Poletto F, Farina B. 2010. Synthesis of a seismic virtual reflector. Geophys. Prosp., 58(3):375-387. |
| [98] | Poli P, Pedersen H A, Campillo M. 2012. Emergence of body waves from cross-correlation of short period seismic noise. Geophys. J. Int., 188(2):549-558. |
| [99] | Qi C, Chen Q F, Chen Y. 2007. A new method for seismic imaging from ambient seismic noise. Progress in Geophysics (in Chinese), 22(3):771-777. |
| [100] | Renalier F, Jongmans D, Campillo M, et al. 2010. Shear wave velocity imaging of the Avignonet landslide (France) usingambient noise cross correlation. J. Geophys. Res., 115:F03032. |
| [101] | Rickett J, Claerbout J. 1999. Acoustic daylight imaging via spectral factorization:Helioseismology and reservoir monitoring. The Leading Edge, 18(8):957-960. |
| [102] | Rose J H. 2002. Time reversal, focusing and exact inverse scattering.// Imaging of Complex Media with Acoustic and Seismic Waves. Berlin Heidelberg:Springer, 97-106. |
| [103] | Rost S, Thomas C. 2002. Array seismology:methods and applications. Rev. Geophys., 40(3):1008. |
| [104] | Rost S, Thomas C. 2009. Improving seismic resolution through array processing techniques. Surveys in Geophys., 30(4-5):271-299. |
| [105] | Roux P, Sabra K G, Kuperman W A, et al. 2005a. Ambient noise cross correlation in free space:Theoretical approach. J. Acoust. Soc. Am., 117(1):79-84. |
| [106] | Roux P, Sabra K G, Gerstoft P, et al. 2005b. P-waves from cross-correlation of seismic noise. Geophys. Res. Lett., 32:L19303. |
| [107] | Ruigrok E, Campman X, Draganov D, et al. 2010. High-resolution lithospheric imaging with seismic interferometry. Geophys. J. Int., 183(1):339-357. |
| [108] | Ruigrok E, Mikesell T D, van Wijk K. 2012a. Scanning for velocity anomalies in the crust and mantle with diffractions from the core-mantle boundary. Geophys. Res. Lett., 39:L11301. |
| [109] | Ruigrok E, Campman X, Draganov D, et al. 2012b. Basin delineation with a 40-hour passive seismic record. Bull. Seismol. Soc. Am., 102(5):2165-2176. |
| [110] | Ryberg T. 2011. Body wave observations from cross-correlations of ambient seismic noise:A case study from the Karoo, RSA. Geophys. Res. Lett., 38:L13311. |
| [111] | Schuster G T, Yu J, Sheng J, et al. 2004. Interferometric/daylight seismic imaging. Geophys. J. Int., 157(2):838-852. |
| [112] | Schuster G T. 2005. Fermat's interferometric principle for target-oriented traveltime tomography. Geophysics, 70(4):U47-U50. |
| [113] | Schuster G T. 2009. Seismic Interferometry. Cambridge:Cambridge University Press. |
| [114] | Sens-Schönfelder C, Wegler U. 2006. Passive image interferometry and seasonal variations of seismic velocities at Merapi Volcano, Indonesia. Geophys. Res. Lett., 33:L21302. |
| [115] | Sens-Schönfelder C, Larose E. 2008. Temporal changes in the lunar soil from correlation of diffuse vibrations. Phys.Rev.E,78:045601. |
| [116] | Shapiro N M, Campillo M. 2004. Emergence of broadband Rayleigh waves from correlations of the ambient seismic noise. Geophys. Res. Lett., 31(7):L07614. |
| [117] | Shapiro N M, Campillo M, Stehly L, et al. 2005. High-resolution surface-wave tomography from ambient seismic noise. Science, 307(5715):1615-1618. |
| [118] | Slob E, Draganov D, Wapenaar K. 2007. Interferometric electromagnetic Green's functions representations using propagation invariants. Geophys. J. Int., 169(1):60-80. |
| [119] | Slob E, Snieder R, Revil A. 2010. Retrieving electric resistivity data from self-potential measurements by cross-correlation. Geophys. Res. Lett., 37(4):L04308. |
| [120] | Slob E, Wapenaar K, Broggini F, et al. 2014. Seismic reflector imaging using internal multiples with Marchenko-type equations. Geophysics, 79(2):S63-S76. |
| [121] | Snieder R. 2004. Extracting the Green's function from the correlation of coda waves:A derivation based on stationary phase. Phys. Rev. E, 69(4):046610. |
| [122] | Snieder R. 2006a. Retrieving the Green's function of the diffusion equation from the response to a random forcing. Phys. Rev. E, 74(4):046620. |
| [123] | Snieder R. 2006b. The theory of coda wave interferometry. Pure Appl. Geophys., 163(2-3):455-473. |
| [124] | Snieder R, Sheiman J, Calvert R. 2006a. Equivalence of the virtual source method and wave-field deconvolution in seismic interferometry. Phys. Rev. E, 73(6):066620. |
| [125] | Snieder R, Wapenaar K, Larner K. 2006b. Spurious multiples in seismic interferometry of primaries. Geophysics, 71(4):SI111-SI124. |
| [126] | Snieder R. 2007. Extracting the Green's function of attenuating heterogeneous acoustic media from uncorrelated waves. J. Acoust. Soc. Am., 121(5):2637-2643. |
| [127] | Snieder R, Miyazawa M, Slob E, et al. 2009. A comparison of strategies for seismic interferometry. Surv. Geophys., 30(4-5):503-523. |
| [128] | Snieder R, Larose E. 2013. Extracting Earth's elastic wave response from noise measurements. Annu. Rev. Earth Planet. Sci., 41(1):183-206. |
| [129] | Stehly L, Campillo M, Shapiro N M. 2006. A study of the seismic noise from its long-range correlation properties. J. Geophys. Res., 111:B10306. |
| [130] | Tanimoto T. 2005. The oceanic excitation hypothesis for the continuous oscillations of the Earth. Geophys. J. Int., 160(1):276-288. |
| [131] | Tanimoto T, Ishimaru S, Alvizuri C. 2006. Seasonality in particle motion of microseisms. Geophys. J. Int., 166(1):253-266. |
| [132] | Tanimoto T. 2007. Excitation of microseisms. Geophys. Res. Lett., 34:L05308, doi:10.1029/2006GL029046. |
| [133] | Tao Y, Fu L Y, Sun W J, Sun Q X. 2010. A review of seismic interferometry. Progress in Geophysics (in Chinese), 25(5):1775-1784, doi:10.3969/j.issn.1004-2903.2010.05.035. |
| [134] | Tonegawa T, Fukao Y, Nishida K, et al. 2013. A temporal change of shear wave anisotropy within the marine sedimentary layer associated with the 2011 Tohoku-Oki earthquake. J. Geophys. Res., 118(2):607-615. |
| [135] | Tsai V C. 2009. On establishing the accuracy of noise tomography travel-time measurements in a realistic medium. Geophys. J. Int., 178(3):1555-1564. |
| [136] | Tsai V C, Moschetti M P. 2010. An explicit relationship between time-domain noise correlation and spatial autocorrelation (SPAC) results. Geophys. J. Int., 182(1):454-460. |
| [137] | Van der Lee S. 1998. Observations and origin of Rayleigh-wave amplitude anomalies. Geophys. J. Int., 135(2):691-699. |
| [138] | van Manen D J, Curtis A, Robertsson J O A. 2006. Interferometric modeling of wave propagation in inhomogeneous elastic media using time reversal and reciprocity. Geophysics, 71(4):SI41-SI60. |
| [139] | van Manen D J, Robertsson J O A, Curtis A. 2007. Exact wave field simulation for finite-volume scattering problems. J. Acoustic. Soc. Am., 122(4):EL115-EL121. |
| [140] | Vasconcelos I, Snieder R. 2008. Interferometry by deconvolution:Part 2—theory for elastic waves and application to drill-bit seismic imaging. Geophysics, 73(3):S129-S141. |
| [141] | Wang L M, Luo Y H, Xu Y X. 2012. Numerical investigation of Rayleigh-wave propagation on topography surface. J. Appl. Geophys., 86:88-97. |
| [142] | Wapenaar K. 2004. Retrieving the elastodynamic Green's function of an arbitrary inhomogeneous medium by cross correlation. Phys. Rev. Lett., 93(25):254301. |
| [143] | Wapenaar K, Fokkema J. 2006. Green's function representations for seismic interferometry. Geophysics, 71(4):SI33-SI46. |
| [144] | Wapenaar K, Slob E, Snieder R. 2006. Unified Green's function retrieval by cross-correlation. Phys. Rev. Lett., 97(23):234301. |
| [145] | Wapenaar K, Slob E, Snieder R. 2008. Seismic and electromagnetic controlled-source interferometry in dissipative media. Geophys. Prosp., 56(3):419-434. |
| [146] | Wapenaar K, Draganov D, Snieder R, et al. 2010a. Tutorial on seismic interferometry:Part 1—Basic principles and applications. Geophysics, 75(5):75A195-75A209. |
| [147] | Wapenaar K, Slob E, Snieder R, et al. 2010b. Tutorial on seismic interferometry:Part 2—Underlying theory and new advances. Geophysics, 75(5):75A211-75A227. |
| [148] | Wapenaar K, van der Neut J. 2010c. A representation for Green's function retrieval by multidimensional deconvolution. J. Acoust. Soc. Am., 128(6):EL366-EL371. |
| [149] | Wapenaar K, van der Neut J, Ruigrok E, et al. 2011. Seismic interferometry by crosscorrelation and by multidimensional deconvolution:a systematic comparison. Geophys. J. Int., 185(3):1335-1364. |
| [150] | Wapenaar K, Broggini F, Snieder R. 2012. Creating a virtual source inside a medium from reflection data:Heuristic derivation and stationary phase analysis. Geophys. J. Int., 190(2):1020-1024. |
| [151] | Wapenaar K, Broggini F, Slob E, et al. 2013. Three-dimensional single-sided Marchenko inverse scattering, data-driven focusing, Green's function retrieval, and their mutual relations. Phys. Rev. Lett., 110(8):084301. |
| [152] | Wapenaar K, Thorbecke J, van der Neut J, et al. 2014a. Marchenko imaging. Geophysics, 79(3):WA39-WA57. |
| [153] | Wapenaar K, Thorbecke J, van der Neut J, et al. 2014b. Green's function retrieval from reflection data, in absence of a receiver at the virtual source position. J. Acoust. Soc. Am., 135(5):2847-2861. |
| [154] | Weaver R L, Lobkis O I. 2001. Ultrasonics without a source:thermal fluctuation correlations at MHz frequencies. Phys. Rev. Lett., 87(13):134301. |
| [155] | Weaver R L, Lobkis O I. 2002. On the emergence of the Green's function in the correlations of a diffuse field:pulse-echo using thermal phonons. Ultrasonics, 40(1-8):435-439. |
| [156] | Weaver R L, Lobkis O I. 2003. Elastic wave thermal fluctuations:Ultrasonic waveforms by correlation of thermal phonons. J. Acoust. Soc. Am., 113(5):2611-2621. |
| [157] | Weaver R L, Lobkis O I. 2005. Fluctuations in diffuse field-field correlations and the emergence of the Green's function in open systems. J. Acoust. Soc. Am., 117(6):3432-3439. |
| [158] | Webb S C, Zhang X, Crawford W. 1991. Infragravity waves in the deep ocean. J. Geophys. Res., 96(C2):2723-2736. |
| [159] | Webb S C. 1998. Broadband seismology and noise under the ocean. Rev. Geophys., 36(1):105-142. |
| [160] | Webb S C. 2007. The Earth's 'hum’ is driven by ocean waves over the continental shelves. Nature, 445(7129):754-756. |
| [161] | Webb S C. 2008. The Earth's hum:The excitation of Earth normal modes by ocean waves. Geophys. J. Int., 174(2):542-566. |
| [162] | Wielandt E. 1993. Propagation and structural interpretation of non-plane waves. Geophys. J. Int., 113(1):45-53. |
| [163] | Xia J H, Miller R D, Park C B. 1999. Estimation of near-surface shear-wave velocity by inversion of Rayleigh waves. Geophysics, 64(3):691-700. |
| [164] | Xia J H, Xu Y X, Chen C, et al. 2006. Simple equations guide high-frequency surface-wave investigation techniques. Soil Dyn. Earthq. Engine., 26(5):395-403. |
| [165] | Xiao X, Zhou M, Schuster G T. 2006. Salt-flank delineation by interferometric imaging of transmitted P- to S-waves. Geophysics, 71(4):SI197-SI207. |
| [166] | Xu P F, Ling S Q, Li C J, et al. 2012a. Mapping deeply-buried geothermal faults using microtremor array analysis. Geophys. J. Int., 188(1):115-122. |
| [167] | Xu Y X, Luo Y H, Liang Q, et al. 2010. Chapter 3:Investigation and use of surface-wave characteristics for near-surface applications.//Miller R D, Bradford J H, Holliger K eds. Geophysical Developments Series; no. 15:Advances in Near-Surface Seismology and Ground-Penetrating Radar. SEG, AGU, and EEGS. |
| [168] | Xu Y X, Zhang B L, Luo Y H, et al. 2013. Surface-wave observations after integrating active and passive source data. The Leading Edge, 32(6):634-637. |
| [169] | Xu Z, Juhlin C, Gudmunsson O, et al. 2012b. Reconstruction of subsurface structure from ambient seismic noise:An example from Ketzin, Germany. Geophys. J. Int., 189(2):1085-1102. |
| [170] | Xu Z J, Song X D. 2009. Temporal changes of surface wave velocity associated with major Sumatra earthquakes from ambient noise correlation. Proc. Natl. Acad. Sci. USA, 106(34):14207-14212. |
| [171] | Xue Y W, Dong S Q, Schuster G T. 2009. Interferometric prediction and subtraction of surface waves with a nonlinear local filter. Geophysics, 74(1):SI1-SI8. |
| [172] | Yang Y J, Forsyth D W. 2006. Regional tomographic inversion of the amplitude and phase of Rayleigh waves with 2-D sensitivity kernels. Geophys. J. Int., 166(3):1148-1160. |
| [173] | Yang Y J, Ritzwoller M H, Lin F C, et al. 2008. Structure of the crust and uppermost mantle beneath the western United States revealed by ambient noise and earthquake tomography. J. Geophys. Res., 113:B12310. |
| [174] | Yang Y J. 2014. Application of teleseismic long-period surface waves from ambient noise in regional surface wave tomography:a case study in western USA. Geophys. J. Int., 198(3):1644-1652. |
| [175] | Yanovskaya T B, Ditmar P G. 1990. Smoothness criteria in surface wave tomography. Geophys. J. Int., 102(1):63-72. |
| [176] | Yao H J, Beghein C, van der Hilst R D. 2008. Surface wave array tomography in SE Tibet from ambient seismic noise and two-station analysis:II. Crustal and upper-mantle structure. Geophys. J. Int., 173(1):205-219. |
| [177] | Yao H J, van der Hilst R D. 2009. Analysis of ambient noise energy distribution and phase velocity bias in ambient noise tomography, with application to SE Tibet. Geophys. J. Int., 179(2):1113-1132. |
| [178] | Zhan Z W, Ni S D, Helmberger D V, et al. 2010. Retrieval of Moho-reflected shear wave arrivals from ambient seismic noise. Geophys. J. Int., 182(1):408-420. |
| [179] | Zhang B L. 2013. Study of surface-wave exploration method base on ambient noise:Application example in Badong Huangtuling Landslide [Master's thesis] (in Chinese). Wuhan:China University of Geosciences (Wuhan). |
| [180] | Zheng S H, Sun X L, Song X D, et al. 2008. Surface wave tomography of China from ambient seismic noise correlation. Geochem. Geophys. Geosys., 9:Q05020. |
| [181] | Zheng Y, Shen W S, Zhou L Q, et al. 2011. Crust and uppermost mantle beneath the North China Craton, northeastern China, and the Sea of Japan from ambient noise tomography. J. Geophys. Res., 116:B12312. |
| [182] | 陈伟. 2010. 基于背景噪声的面波频散分析方法研究[硕士论文]. 武汉: 中国地质大学(武汉). |
| [183] | 刘志坤, 黄金莉. 2010. 利用背景噪声互相关研究汶川地震震源区地震波速度变化. 地球物理学报, 53(4): 853-863, doi: 10.3969/j.issn.0001-5733.2010.04.010. |
| [184] | 鲁来玉, 何正勤, 丁志峰等. 2009. 华北科学探测台阵背景噪声特征分析. 地球物理学报, 52(10): 2566-2572, doi: 10.3969/j.issn.0001-5733.2009.10.015. |
| [185] | 齐诚, 陈棋福, 陈颙. 2007. 利用背景噪声进行地震成像的新方法. 地球物理学进展, 22(3): 771-777. |
| [186] | 陶毅, 符力耘, 孙伟家等. 2010. 地震波干涉法研究进展综述. 地球物理学进展, 25(5): 1775-1784, doi: 10.3969/j.issn.1004-2903.2010.05.035. |
| [187] | 张宝龙. 2013. 基于背景噪声的面波勘探方法研究——以巴东黄土坡滑坡为例[硕士论文]. 武汉: 中国地质大学(武汉). |
2015, Vol. 58










