2. GNSS Research Centre, Department of Spatial Sciences, Curtin University, Perth 6845, Australia
2. GNSS Research Centre, Department of Spatial Sciences, Curtin University, Perth 6845, Australia
In this contribution, a network processing method is proposed to achieve single-frequency PPP-RTK. The elementary procedures are as follows: 1) A Kalman-filter-based customary PPP is implemented station by station, with known geometric ranges and satellite clocks fixed. The estimable unknowns consist of, among others, the ionospheric delays and the float-valued carrier-phase ambiguities. 2) After measurement-update, the filtered PPP ambiguities of all stations are incorporated and reformulated into three sets of new parameters, namely, double-difference (DD) ambiguities, receiver and satellite carrier-phase biases. 3).The reformulated DD ambiguities are resolved into integers, and then the satellite carrier-phase biases as well as those filtered ionospheric delays are further updated. On the user side, by applying the satellite phase biases and (interpolated) ionospheric delays, the integer ambiguity resolution enabled single-frequency PPP-RTK is fulfilled.
Numerical tests using daily GPS data collected by an Australian Continuous Operating Reference System (CORS) network and a single-frequency (u-blox) rover receiver show that success rate of CORS network ambiguity resolution is as high as 98.89%. In addition, the stability of estimated satellite carrier-phase biases is better than 0.2 cycles over every continuous satellite arc. By confronting the ionospheric delays interpolated from the CORS with that determined from a dual-frequency receiver co-located with the rover receiver, interpolation error of 10 cm has been verified. Re-initialization of Kalman-filter-based single-frequency static/kinematic PPP-RTK is attempted at every epoch, and the resulting time-to-first-fix values, as a measure of the time required for integer ambiguity resolution, are never more than 10 min. With the aid of resolved integer ambiguities, the RMS of single-frequency kinematic PPP-RTK positioning errors becomes as good as 5 cm for horizontal component and 10 cm for vertical component. Before ambiguity resolution, these RMS values vary from 28 to 53 cm.
Although it is developed with the goal of enabling single-frequency PPP-RTK, the network processing method proposed does not lose its ability to attain dual-frequency PPP-RTK capability. More importantly, this method also reserves simplicity as well as flexibility in multi-frequency, multi-GNSS applications.
处理GNSS(Global Navigation Satellite System)参考网所采集的连续观测数据,可获取不同类型的改正信息,用以实现一系列的精密定位技术(Chen et al.,2001; Blewitt,2008; Deng et al.,2009; Li et al.,2012; Wang et al.,2012;Lannes et al.,2013). 按布设范围的不同,GNSS参考网可划分为全球、广域和局域网等三种类型.各类参考网所提供的改正信息在表示形式和播发方式上均不相同,这导致了流动站定位模式的多样性,同时影响了流动站位置获取的时效性.
一方面,全球网(广域网)的改正信息一般由状态空间表示(State Space Representation,SSR),即分类计算和播发各类GNSS产品,例如卫星轨道、钟差和相位偏差等(Wubbena et al.,2005).基于这些产品,可实现两种不同的精密单点定位(Precise Point Positioning,PPP)技术:估计浮点模糊度的PPP(刘经南和叶世榕,2002; 张小红等,2006; 张宝成等,2010,2011)和固定整周模糊度的PPP(Ge et al.,2008; Laurichesse et al.,2009; Collins et al.,2010).由于全球网(广域网)的地理范围广,测站布设较为稀疏,难以实现大气延迟的精确建模和预报(张宝成等,2012a;2012b).因此,全球网(广域网)产品中一般不包含大气延迟,这导致了PPP的浮点模糊度收敛(或整周模糊度固定)所需时间较长,精密位置的快速获取性能较差.但当模糊度收敛(或固定)后,3D位置的估计精度一般为静态<1 cm,动态若干厘米(Ge et al.,2008).
另一方面,局域网——以连续运行参考系统(Continuous Operating Reference System,CORS)为典型代表——所提供的改正信息一般由观测空间表示(Observation Space Representation,OSR),且主要服务于网络实时动态定位(Network Real Time Kinematic,NRTK)技术(高星伟等,2002; Rizos,2002; Zou et al.,2013).局域网的地理范围有限,测站布设较为稠密,这为准确地模型化大气延迟提供了便利.相比全球网(广域网)而言,局域网产品中还额外地包含了大气延迟,并可被采用不同的形式 播发,如:非差的虚拟参考站观测值(Virtual Reference Station,VRS技术)(见Odijk(2002));双差的主参考站——辅助参考站间大气延迟+主参考站观测值(Master-Auxiliary Corrections,MAC技术)(见Wubbena et al.(2005)).基于这些改正信息,流动站可采用相对定位模式,快速固定整周模糊度(若干历元,甚至单历元),精确估计相对于虚拟(主)参考站的位置,实现了比PPP更高的定位效率.
基于局域网实施NRTK,存在两个典型的不足:首先,流动站所采用的相对定位技术,过分地依赖虚拟(主)参考站的观测值.相对定位要求虚拟(主)参考站与流动站间的卫星共视、观测时间同步,以便形成双差的观测值.因此,就定位灵活性和观测值利用率两方面而言,相对定位均不及基于绝对定位技术的PPP;其次,参考网与流动站之间的通讯负担较重.一方面,受所含卫星钟差等分量的短期变化影响,虚拟(主)参考站观测值的可预报性不强,需采用较高的更新频率加以播发.另外一方面,针对VRS技术而言,还需要流动站向参考网播发其近似的位置信息.
目前,主要存在两种改进的NRTK方案:其一,将局域网提供的OSR产品以各参考站残余观测值的形式播发(URTK技术,Zou et al.,2013).通过内插附近三个参考站的残余观测值,生成了流动站处的非差改正信息,完成了流动站定位模式由相对定位向绝对定位的转变,同时实现了非差模糊度的快速固定;其二,利用局域网观测数据,精化求解全球网(广域网)提供的(部分)SSR产品,如卫星钟差、相位偏差等,同时求解大气延迟等参数.重新生成的各类改正信息均以SSR表示,并单独播发给流动站使用(Li et al.,2011,2014; Teunissen et al.,2010; Zhang et al.,2011; 张宝成等,2012a,2012b). 在此过程中,通过考虑各分量不同的时间稳定性,可以制定针对各分量的最优更新频率,例如,由于短期内变化较为显著,卫星钟差的更新频率会相对较高(5 s);而针对平稳变化的卫星轨道(相位偏差),则可以降低其更新频率(15 min).经过这些措施,实现了基于PPP模式的实时动态定位技术(PPP-RTK).与仅采用基于全球网(广域网)SSR产品的PPP模糊度固定技术相比,PPP-RTK在大气延迟改正的辅助下,其模糊度固定效率和准确性均有显著改善;与VRS,MAC以及URTK等代表性的NRTK技术相比,PPP-RTK的定位精度和效率相当,但参考网的信息播发量已大为减少.
由上述论述可知,PPP-RTK充分地融合了NRTK和PPP各自的优势(快速模糊度固定、定位方式灵活等),同时回避了相应的不足(通讯负担较重、定位效率较低等),成为了基于局域网实施精密定位的前沿性代表技术.但仍需指出,当前PPP-RTK侧重于实现基于双频接收机的流动站定位,针对单频定位而言,围绕PPP-RTK所开展的算法研究较之PPP和NRTK仍具有一定的滞后性:
一方面,单频PPP的研究重点是如何修正电离层延迟,具体可归纳为三种方案:全球电离层云图产品(Global Ionosphere Map,GIM)改正(Le and Tiberius,2007; Yuan and Ou,2001a,2002,2003,2004); 形成消电离层半和组合观测值(张小红等,2008);局域精化电离层模型补偿等(姜卫平等,2012; 涂锐等,2011,2012).一般地,单频PPP可达到若干分米的定位精度,能服务于施工放样、地图制图、空中三角测量等工程应用.但针对第三种方案,当所采用的局域网地理范围较小、参考站布设较为稠密、地磁和太阳活动较为平稳时,所实现的单频PPP甚至可达到双频PPP的定位效果.
另一方面,单频NRTK的研究则从两方面展开:首先,以若干单频接收机加密局域参考网,改善OSR产品的估计精度(Chen et al.,2001; Deng et al.,2009).基本原理为,利用双频参考站观测值实施逐卫星、逐历元的电离层建模,生成各单频参考站处的L2频率 “虚拟观测值”.此时,所有单频参考站均可提供L1频率实测数据+L2频率虚拟数据,由此“转变”成了双频参考站,在不显著提高参考网硬件成本的同时,大大增加了可用的参考网观测值.其次,完善NRTK参考网数据处理算法,服务单频流 动站定位.为此,需要对现有的VRS,MAC或URTK 技术加以改进,如仅播发对应于L1频率的OSR产品等.特别地,当某参考站距离单频流动站较近时(如不超过10km),还可将其L1频率观测值直接用作改正信息.此时,NRTK技术即演变成了单参考站标准RTK(Rizos,2002).
近来,有文献(见Odijk et al.,2012; Teunissen et al.,2010; 张宝成等,2012a,2012b)提出了一种新的PPP-RTK参考网数据处理方案,主要特点包括:联合处理全部参考站的伪距和相位观测值,约束适当的基准参数,以确保观测方程列满秩;固定卫星和参考站的已知位置,逐历元或滤波估计各类参数;逐 历元固定参考站间的独立整周模糊度; 获取能实现单频(或双频)流动站精密定位的卫星钟差、 L1(或L1+L2)频率卫星相位偏差、电离层延迟等改正信息.
然而,上述文献所报告的参考网处理策略仍有待改进:一方面,数据处理负担过重,降低了SSR产品的更新率和实效性.这主要由两个因素造成,首先,联合处理所有参考站的非差、非组合观测数据,逐历元估计大批的卫星钟差、电离层斜延迟等,显著地增加了未知参数,影响了法方程求逆等关键运算的速度和稳定性;其次,逐历元实施降相关、整数搜索以及有效性检验等一系列的模糊度解算过程.当浮点模糊度的维数较高且相关性较强时,降相关和搜索所引起的计算量将大大增加;另一方面,实验方案设计不够完善.例如,对电离层内插效果的验证方案不尽合理.联合参考站和流动站观测数据所估计的电离层延迟参考值,与相应的电离层内插值并非完全独立,两者之差并不能代表真正意义上的内插误差;较多地采用双频流动站的L1频率观测值实施单频实验分析,无法准确地反映真正单频流动站的模糊度固定和定位效果.实际上,在同等观测条件下,单频接收机的数据质量和观测连续性均不如双频接收机所采集的L1频率观测值(Odijk et al.,2012).
本文首先优化了上述参考网处理策略,以显著提高计算效率.通过附加卫星钟差已知的先验条件,实现了由多参考站联合数据处理模式向逐参考站数据处理模式的转变,这将显著地减少未知参数,同时削弱了增加参考站数量对计算效率的影响;其次,改进了相关的实验方案.主要包括:首先在流动站装备廉价的u-blox单频接收机,实现真正的单频定位性能分析;同时在流动站附近布设一台双频接收机,用于提供流动站处的电离层延迟“真值”,以更好地反映电离层内插效果.
在不影响适用性的前提下,在介绍本文算法和实验时,将做若干简化和假设:针对单频流动站定位,为了尽量减少天顶对流层延迟(ZTD)的影响,本文将采用基于实测大气参数(气温、气压等)的经验模型对其改正;针对实时性的需求,假定外部的精密卫星轨道、卫星钟差均可以实时获取.同时,假定所涉及的数据传输、通讯、播发、编码、解码等一系列硬件支撑技术均已被解决.
2 参考网数据处理本节介绍了PPP-RTK参考网数据处理的步骤、模型、算法等,重点描述了如何有效、快速、最优 地估计两类改正信息,即卫星相位偏差和电离层延迟.
2.1 单参考站PPP给定历元i,参考站r至卫星s的简化伪距和相位观测方程可表示为(Leick,2004):
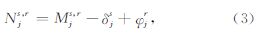
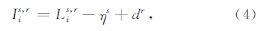
需要指出,式(1)和(2)中Iis,r受伪距偏差的影响,而Njs,r中则包含了相位偏差.各自的表达式分别为:
对应地,式(1)和(2)中两类观测值的协方差矩阵可表示为:
当采用多历元观测数据实施PPP时,除了上述观测方程外,本文还引入了如下的动态模型,以合理地约束τir,Iis,r和Njs,r等三类参数随历元的变化:
分别假设:局域参考网共包含n个参考站(r=1,…,n);共采集了t个历元(i=1…t)的双频观测数据(j=1,2);各历元的平均共视卫星个数为m(s=1,…,m). 针对每个参考站,联合全部卫星、全部历元的观测方程和动态模型,采用卡尔曼滤波算法,通过交替地实施状态预报和观测更新,即可递归地估计各类PPP参数.
当前步骤将逐历元、逐参考站地保存两类PPP滤波信息Xir和Q(Xir),以用作卫星相位偏差估计、电离层延迟推估等随后步骤的输入.其中:
需要指出,由于各参考站单独地实施PPP,对应于任意两参考站(设为p和q)的 Xip和Xiq向量将完全独立,即Q(Xip,Xiq)=0,这为逐参考站地推估电离层延迟提供了便利.
2.2 卫星相位偏差估计考虑式(3),针对当前历元i,通过联合全部参考站的 Nir(r=1,…,n),可建立如下的“伪观测方程”:
式(10)设计矩阵的列秩亏数为2(n+m),这将导致参数解不唯一.从 M ir,s,Φir和Φ is中选取某2(n+m)个参数作为“基准”,即可消除该类秩亏(Lannes and Teunissen,2011; Lannes and Prieur,2013; Teunissen,1985). 它们包括:Φj1,即第一台接收机的双频相位偏差,共2个;M js,1,即第一台接收机至所有卫星的双频非差整周模糊度,共2m个; M j1,r,第一颗卫星至(除第一台外)所有接收机的双频非差整周模糊度,共2(n-1)个.
至此,导出了对应于式(10)的满秩形式:
与式(10)相比,受基准参数影响,式(12)中Mir,s,Φir和Φis等参数的物理含义均已发生变化.但针对PPP-RTK模型而言,将Φis用作改正信息,仍能还原非差模糊度的整周性,且其中包含的基准参数(Mjs,1)不会影响位置或其他类参数解.
估计Φis的步骤可简要地概括为:
1)基于式(12),采用最小二乘算法,估计Mir,s的浮点解及其方差阵,分别记为
和Qi,Mr,s,各自解的表达式分别为:
,所含的(n-1)×n矩阵 Rn-1= [- e n-1κ n-1],即站间单差运算符;(m-1)×m矩阵 R m-1的定义类似,表示星间单差运算符.
2)采用LAMBDA算法(Teunissen,1995),将
固定为一组整数向量,记为
.随后,利用FFRatio算法(Teunissen et al.,2009),检验
的可靠性;
3)将通过FFRatio检验的
回代至式(12),可得如下新的“伪观测方程”:
,且Q(Nir,s)=Q(Nir,s);
4)联合式(15)和式(11),采用最小二乘算法,即可解算出Φis的估值和方差阵,分别记为
和Qi,Φs.
针对随后历元i+1,通过恰当地利用历元i已固定的
,可以加快乃至避免求解
,这将大大地提高
的估计效率.若历元i和i+1的观测条件发生改变,如存在卫星升降,通过对
施线性变换,即可重新建立起与 Mi+1r,s的联系(Teunissen and Khodab and eh,2014).
针对参考站r,Iir与 Nir,s之间的协方差阵Q i,INr可表示为:
基于式(16),利用协方差传播定律,可进一步导出 Iir与
之间的协方差阵Q i,IMr,即:
综合式(13),(14)和(17),当
被准确地固定为
时,采用如下的表达式,即可实现电离层延迟的逐参考站推估:
即为推估的电离层延迟向量,其误差方差阵为
显见,针对当前历元i,当采用式(18)和(19)推估电离层延迟时,求解
过程中所涉及的一系列矩阵(向量)运算,如求逆和乘积等,构成了主要的计算量.针对本文讨论的局域参考网,由于相邻参考站的间距一般不超过100 km,各自所观测的卫星个数和几何结构也相差不大.因此,可以合理地假设:
基于式(20)的假设可知,所有参考站的
计算结果也将较为相近.这意味着,当某参考站(如r)的电离层延迟推估完成后,已求解得到的
将可直接应用于剩余的参考站,而不需要再逐参考站地重复计算.
为避免参考网和用户之间实施双向通讯,本文建议由用户自主生成改正信息(尤其是内插电离层延迟).另外,当构建单频PPP-RTK模型时,将做适当的近似,如忽略残余ZTD影响等.
3.1 改正信息生成
前文已述,考虑其时间稳定性,
的更新周期一般较长(如>15 min),以优化信息播发,减少系统传输负担.当
产品的时间间隔与用户观测值的采样间隔不一致时,则需要逐卫星地实施时间内插,以补偿
可能的短期变化,其原理和实施与内插精密卫星轨道(钟差)类似.基于若干(如3~5个)最近历元的
,本文将采用Lagrange插值算法,用以逐历元地生成用户站处的卫星相位偏差改正.值得注意:首先,针对首次实施PPP-RTK的单频用户而言,需要适当地提高改正信息的播发频率,以加速其初始化;其次,除Lagrange插值外,还可以选取不同的插值算法,但各自的内插结果之间并无显著的差异.
与此同时,为了逐历元地生成用户站处的电离层延迟改正,则需要对
先后实施时间和空间内插.其中,时间内插仍基于Lagrange插值算法;考虑同一卫星至不同测站电离层延迟的相关性,空间内插将选用Kriging插值算法.针对某卫星s和用户站u,Kriging插值公式为:
表示用户站处的电离层延迟内插值;
是卫星s至全部n个参考站的电离层延迟估值; HuT代表插值向量,具体形式见Odijk(2002),且满足如下等式:
中还吸收了
中的卫星DCB,即ηs;不同卫星的
还均包含了全部参考站DCB的“内插值”,设为dr.在用户定位模型中,
中的两类偏差项,ηs和dr,均可被有效地改正、抵消或补偿,而不会影响位置解.
3.2 模型与算法
仍以历元i为例,经由
(卫星相位偏差内插值)和
(电离层延迟内插值)改正,用户站u至卫星s的单频(j=1)观测方程可表示为:
为新的模糊度参数,其中已不再包含卫星相位偏差.
式(23)和(24)中,δtiu和
之间线性相关,这将引起观测方程列秩亏,进而导致各类参数解不唯一.目前,较常用的解决方案包括:观测域差分或重新参数化.前者对观测值实施星间单差,以消除dtiu,δtiu和φu等与接收机有关的参数,并确保了单差模糊度参数的整数性;后者将对应于某卫星(如s)的
定义为“基准”(可通过对
赋任意值加以实现),并分别被δtiu和剩余的模糊度参数吸收,在克服秩亏的同时,同样地确保了可估模糊度的整数性.
分析式(23)和(24)可知:在建立Pis,u和φis,u随机模型时,至少需考虑三种影响因素:观测值本身的精度;两类改正信息
和
的不确定性;
所引起的数学相关性.由于单频观测方程的多余观测较少,本文仅采用经验模型修正对流层延迟(以实测大气参数作为输入),而不再参数化ZTD;最后,针对式(23)伪距观测方程,
,Pis,u和卫星钟差中的卫星伪距偏差可以互相抵消;同样地,经由
,
和卫星钟差改正,式(24)相位观测方程也不再受卫星伪距偏差影响,具体推导见文献Zhang et al.(2011).
本文实验共采用了两组数据:其一是澳大利亚某6测站CORS网所采集的单天(2010-10-23,年积日296)双频(L1L2C1P2)GPS数据,各参考站均装备Trimble测地型接收机,附加抑径天线.用于实现参考网模糊度固定、卫星相位偏差估计、电离层延迟提取等.值得注意的是,该实验天内,地磁活动Kp指数最大值为5,总和接近31,是10月份电离层扰动最显著的一天;第二组是由1台u-blox单频(L1C1)和1台Trimble双频(L1L2C1P2)GPS接收机构成的零基线数据.u-blox观测值用于分析单频PPP-RTK的模糊度固定和定位效果;Trimble观测值用于计算电离层延迟“真值”,以度量电离层内插效果.两组数据的采样间隔均为30 s,卫星截止高度角均为20°.全部测站的名称、位置、间距和方位等信息见图 1.
![]() |
图 1 本文实验所选用的GPS测站分布图CORS参考站用圆形表示,用户站则用五角星表示.另外,用户站安装了单频u-blox和双频Trimble共两台接收机,且形成了一条零基线. Fig. 1 The geographical location of all GPS stations used in this paper The circles refer to CORS reference stations,while the star represents the user station that is equipped with one single- frequency u-blox receiver and one dual-frequency Trimble receiver(forming a zero-baseline). |
所采用的外部产品包括三类:第一,各CORS参考站坐标,其先验3D精度优于1 cm,将直接用作已知值;第二,IGS(International GNSS Service)精 密GPS卫星轨道和卫星钟差,事后产品,采样间隔 分别为15 min和30 s;第三,全部测站所采集的气象观测文件,其中所记录的气温、气压等参数将用作对流层经验模型的输入.
4.1 CORS网结果CORS网数据处理策略包括:针对各参考站PPP,采用卡尔曼滤波,递归地估计各类参数;采用高度角加权策略,天顶方向卫星的伪距和相位观测精度分别选为30 cm和3 mm;式(7)中,过程噪声 的谱密度取值为:σt2=0.01 m2·s-1,σI2=0.1 m2·s-1和σN2=0; 在估计卫星相位偏差时,分别基于LAMBDA和FFRatio实施模糊度固定和检验;为提高经验成功率,本文仅尝试固定内符合精度优于0.1周的浮点模糊度.
首先,图 2考察了CORS网的模糊度固定效果.图 2a给出了各历元的FFRatio值和对应的临界值,分别用淡红色线和黑色线表示.针对全部2880个历元,模糊度可被准确固定的历元数为2848(此时,FFRatio值小于其临界值),固定成功率约为98.89%; 模糊度未被固定的历元数为32个,其中包含了PPP滤波初始化所需的20个历元,以及12个卫星数发生显著变化的历元(已用黑色椭圆标出).
![]() |
图 2 CORS网模糊度解算结果(a)FFRatio值(淡红线)和FFRatio临界值(黑线),黑色椭圆标示了模糊度固定失败的时段;(b)单天内的卫星个数. Fig. 2 Results of CORS network ambiguity resolution(a)both FFRatio values(in pink)as well as threshold values(in black),two sessions with failed ambiguity resolution are highlighted with black ellipses;(b)the number of tracked satellites during one day. |
通过对比图 2aFFRatio值和图 2b卫星数可知,两者之间的变化存在某种相似性,这是因为,FFRatio值取决于浮点模糊度滤波解及其方差-协方差阵等两类信息.当卫星变化较为平稳时(如时段9 ∶ 00—12 ∶ 00 UT),不同历元间,浮点模糊度向量 及其方差-协方差阵也变化不大,期间FFRatio值将不会发生明显的改变;而当存在频繁的卫星升降时,尤其是当新星出现时,浮点模糊度向量维数增加,且新星的浮点模糊度精度较低,FFRatio值将迅速增加,甚至超过临界值,导致模糊度固定失败.
其次,图 3绘出了已移除整周部分的L1频率卫星相位偏差估值(模糊度固定解).以右上角某卫星弧段为例(黑色线),其观测时长约为6 h,期间卫星 相位偏差估值变化了约0.2周,这与Ge等(2008)所报告的变化量级相当.另外,图中存在若干“散点”,它们对应于某些观测时间极短(如30~40个历元)的卫星.
![]() |
图 3 基于CORS网的GPS卫星相位偏差估值(L1频率,单位为周,已移除整周部分.不同颜色代表不同卫星) Fig. 3 The CORS-estimated GPS satellite phase biases(on L1 frequency,in cycles,an integer value has been removed per arc. Different colors correspond to different satellites) |
进一步分析可知:针对同一观测时段,不同卫星的相位偏差估值变化趋势较为一致;针对大部分卫星,其相位偏差估值呈“阶梯状”变化,且每隔约1 h“跳变”一次.这两类现象共同表明:卫星相位偏差估值中吸收了基准模糊度Mjs,1中的接收机相位偏差;同时该接收机相位偏差随时间变化,可采用时间分辨率为1 h的分段函数加以描述.为增强卫星相位偏差估值的稳定性,建议对其实施星间单差,以消除接收机相位偏差的影响.
图 4a首先给出了单频“仿用户站”处,全部卫星电离层斜延迟的“真值”.该“真值”由联合Trimble接收机的双频GPS观测值,采用相位平滑伪距技术计算得到,因此与CORS网提供的内插电离层延迟不存在相关性.除电离层延迟外,该“真值”中还受卫星和接收机DCB的影响,其最大量级接近23 m,且对应于太阳活动最强的“正午”时刻.
![]() |
图 4 流动站处,实施内插改正前的电离层延迟(a)和改正后的残余电离层延(b)(单位为m.不同的颜色代表不同的卫星) Fig. 4 The slant ionospheric delays at rover receiver,before(a) and after(b)applying their interpolated corrections,in meters(Different colors correspond to different satellites) |
图 4b还绘出了上述电离层延迟的“真值”与内插值的互差结果,以考察内插效果.除残余电离层延迟外,该差值还包含了Trimble接收机DCB和dr(即全部CORS参考站DCB的“内插值”)之差,因此其期望值并不为零.由图中结果可知,同一时段内,不同卫星的差值并不重合,且最大差异可达0.2 m(极限误差),这对应于0.2/2=0.1 m的内插误差(95%显著性水平下,极限误差不超过2倍中误差;同时忽略电离层延迟“真值”的误差).
4.2 静/动态PPP-RTK本节首先分析了静态和动态定位时,单频PPP-RTK的模糊度固定效率.实施方案可概括为:自某一历元(此处假设为k)起算,基于卡尔曼滤波算法,逐历元估计各类PPP-RTK未知参数.两种定位模式下,位置参数状态噪声的谱密度分别被设置为0和106 m2·s-1;在滤波过程中,当完成观测更新时,尝试采用LAMBDA固定全部精度优于0.1周的浮点模糊度,并实施FFRatio检验;当滤波至第k+q个历元时,若模糊度固定通过了FFRatio检验,即意味着:为完成单频PPP-RTK模糊度固定,共需滤波q个历元.通过变换起算历元,并重复上述步骤,可分析不同观测条件下单频PPP-RTK模糊度固定所需时长.
图 5分别检验了滤波实施静态和动态单频PPP-RTK时,自一天内不同时刻起算,首次成功固定模糊度所需的历元数.其中,大部分条件下,完成静态PPP-RTK模糊度固定一般仅需要3~15个历元,平均历元数约为10个.由此表明,在该实验天内,绝大部分观测条件下,静态单频PPP-RTK只需约5 min,即可实现整周模糊度固定.作为比较,动态单频PPP-RTK的待估位置参数增多,观测模型强度减弱,其模糊度固定则需5~22个历元,平均所需历元数约为14个(即7 min).但需要说明,两类 PPP-RTK的模糊度固定时长均对应于30 s采样间 隔,针对高采样观测数据(如1 Hz),其量级可望被进一步缩短.
![]() |
图 5 滤波实施单频静态(a)和动态(b)PPP-RTK时,对应于不同起算历元(横轴),首次成功固定模糊度所需历元数(纵轴) Fig. 5 Starting from arbitrary epoch within the test day,the number of epochs that are needed to first fix the integer ambiguities in static(a) and kinematic(b)single-frequency PPP-RTK |
需要指出,上述统计未考虑图 5中部分“极端”时刻,如静态定位时,存在约10个时刻,固定模糊度所需时长为10~20 min;同样地,动态定位时,共存 在不超过20个时刻,期间模糊度固定需要累积20~30 min,个别时刻甚至需要超过40 min.造成这些“极端”时刻存在的可能原因包括:电离层活动条件 发生改变.例如,6 ∶ 00—9 ∶ 00 UT和12 ∶ 00—15 ∶ 00 UT 共两个时段内,部分卫星的电离层内插误差与其余卫星存在显著差异(见图 4b);或粗差/周跳影响. 明显地,在若干共同时刻,静/动态PPP-RTK模糊 度固定时长均异常地增加.
针对不同起算时刻k,图 6绘出了第k+q个历元(即模糊度被成功固定时刻),单频静态PPP-RTK两类位置解误差(即模糊浮点解和模糊度固定解),具体统计结果见表 1第2列.其中,两类位置解误差的均值(mean)均不超过3 cm,即可认为系统误差已被消除,各类参数解无偏.此时,两类用于度量位置解精度的指标,即STD和RMS将相差不大.这进一步说明:
![]() |
图 6 单频PPP-RTK静态定位误差结果图(A)为模糊度浮点解,图(B)为模糊度固定解;图(a1)和(b1)表示平面方向,图(a2)和(b2)表示天顶方向. Fig. 6 Positioning errors with single-frequency static PPP-RTK(A)denote the ambiguity-float results,whereas(B)denote the ambiguity-fixed results.(a1) and (b1)refer to the North-East components, while(a2) and (b2)refer to the Up component. |
| 表 1 单频静态和动态PPP-RTK定位误差的统计结果(单位:m) Table 1 Statistics of positioning errors for single-frequency static and kinematic PPP-RTK tests(Unit:m) |
1)在实施单频PPP-RTK时,通过引入随机模型以补偿CORS网改正信息的不确定性,显著地削弱了有关误差,尤其是电离层内插误差,对位置解的影响;
2)单频PPP-RTK的函数模型正确,在解决了秩亏问题的同时,合理补偿了CORS网改正信息中的“基准参数”(如Mjs,1)和“偏差参数”(如dr);
3)由于考虑了实际的大气参数,模型化的对流层延迟改正精度较高,残余对流层对位置解的影响可以忽略.
当模糊度被成功固定时,平面位置解精度(RMS)均为3 cm,同时天顶分量RMS则不超过8 cm.与模糊度浮点解相比,RMS分别降低约为89.3%(平面)和83.7%(天顶).
同样地,图 7绘出了相应的单频动态PPP-RTK位置解误差.与静态结果相比,模糊度浮点解条件下,位置误差均值略有增加,其中北分量最大,为5 cm.原因可能是,动态模型较弱,探测和剔除模型误差(粗差和周跳)的能力降低,未被探测误差影响了位置解.而当模糊度固定后,平面和天顶位置解RMS仍分别优于5 cm和10 cm.
![]() |
图 7 单频PPP-RTK动态定位误差结果图(A)为模糊度浮点解,图(B)为模糊度固定解;图(a1)和(b1)表示平面方向,图(a2)和(b2)表示天顶方向. Fig. 7 Positioning errors with single-frequency kinematic PPP-RTK(A)denote the ambiguity-float results,whereas(B)denote the ambiguity-fixed results.(a1) and (b1)refer to the North-East components,while(a2) and (b2)refer to the Up component. |
本文对现有PPP,NRTK和PPP-RTK等三种定位技术的原理、现状、实施进行了详细的回顾和总结.在此基础上,指出PPP-RTK融合了PPP和NRTK各自的优势,并回避了相应的不足,是一种前沿的精密定位技术.然而,在服务单频精密定位领域,PPP-RTK相比于PPP和NRTK仍具有一定程度的滞后性.
本文阐述了一种参考网数据处理方案,既能确保实施双频PPP-RTK,还能实现单频PPP-RTK.具体措施包括:首先,固定外部精密卫星轨道和钟差,逐参考站地实施非组合PPP(模糊度浮点解);其次,重新参数化全部参考站的PPP模糊度估值,形成双差模糊度、接收机相位偏差和卫星相位偏差共三类新参数;接着,逐历元固定双差模糊度,随后估计卫星相位偏差;最后,引入双差模糊度固定值约束,逐参考站推估电离层延迟.与现有方案相比,上述措施显著地减少了数据处理负担,提高了运算效率.
基于某6参考站CORS网(平均站间距约为60 km),验证了CORS网模糊度固定成功率(>98%)、L1频率卫星相位偏差稳定性(各卫星弧 段变化量小于0.2周)和电离层内插效果(优于10 cm,对应于电离层扰动时期).
另一方面,应用CORS网改正信息和某单频u-blox接收机实测数据,验证了单频PPP-RTK模糊度固定效率:静态和动态定位条件下,成功固定模糊度分别需要5和7 min; 同时发现当模糊度固定后,平面和天顶静态位置解RMS分别优于3和8 cm,较之模糊度浮点解,RMS改善程度约为89.3%(平面)和83.7%(天顶);相应地,平面和天顶动态位置解RMS略有降低,但仍分别优于5 cm和10 cm.
致谢 本文图 1由蒋振伟博士绘制,两位审稿人的意见加深了作者对部分实际问题的认识,在此一并感谢.
| [1] | Blewitt G. 2008. Fixed point theorems of GPS carrier phase ambiguity resolution and their application to massive network processing: Ambizap. J. Geophys. Res., 113(B12410), doi: 10.1029/2008JB005736. |
| [2] | Chen H Y, Rizos C, Han S. 2001. From simulation to implementation: low-cost densification of permanent GPS networks in support of geodetic applications. J Geod., 75(9-10): 515-526. |
| [3] | Collins P, Bisnath S, Lahaye F, et al. 2010. Undifferenced GPS ambiguity resolution using the decoupled clock model and ambiguity datum fixing. Navigation, 57(2): 123-135. |
| [4] | deBakker P F, Tiberius C C J M, van der Marel H, et al. 2012. Short and zero baseline analysis of GPS L1 C/A, L5Q, GIOVE E1B, and E5aQ signals. GPS Solutions, 16(1): 53-64. |
| [5] | Deng Z, Bender M, Dick G, et al. 2009. Retrieving tropospheric delays from GPS networks densified with single frequency receivers. Geophys. Res. Lett., 36, L19802, doi: 10.1029/2009GL040018. |
| [6] | Gao X W, Liu J N, Ge M R. 2002. An ambiguity searching method for network RTK baselines between base stations at single epoch. Acta Geodaetica et Cartographica Sinica (in Chinese), 31(4): 305-309. |
| [7] | Ge M, Gendt G, Rothacher M, et al. 2008. Resolution of GPS carrier-phase ambiguities in precise point positioning (PPP) with daily observations. J. Geod., 82(7): 389-399. |
| [8] | Jiang W P, Zou X, Tang W M. 2012. A new kind of real-time PPP method for GPS single-frequency receiver using CORS network. Chinese J. Geophys. (in Chinese), 55(5): 1549-1556, doi: 10.6038/j.issn.0001-5733.2012.05.012. |
| [9] | Lannes A, Prieur J L. 2013. Calibration of the clock-phase biases of GNSS networks: the closure-ambiguity approach. J. Geod., 87(8): 709-731, doi: 10.1007/s00190-013-0641-4. |
| [10] | Lannes A, Teunissen P J G. 2011. GNSS algebraic structures. J. Geod., 85(5): 273-290. |
| [11] | Laurichesse D, Mercier F, Berthias J P, et al. 2009. Integer ambiguity resolution on undifferenced GPS phase measurements and its application to PPP and satellite precise orbit determination. Navigation, 56(2): 135-149. |
| [12] | Le A Q, Tiberius C. 2007. Single-frequency precise point positioning with optimal filtering. GPS Solutions, 11(1): 61-69. |
| [13] | Leick A. 2004. GPS Satellite Surveying (3rd ed.). New York: Wiley. |
| [14] | Li W, Cheng P F, Bei J Z, et al. 2012. Calibration of regional ionospheric delay with uncombined precise point positioning and accuracy assessment. J. Earth Syst. Sci., 121(4): 989-999. |
| [15] | Li X X, Ge M R, Doua J, et al. 2014. Real-time precise point positioning regional augmentation for large GPS reference networks. GPS Solutions, 18(1): 61-71, doi: 10.1007/s10291-013-0310-3. |
| [16] | Li X X, Zhang X H, Ge M R. 2011. Regional reference network augmented precise point positioning for instantaneous ambiguity resolution. J. Geod., 85(3):151-158. |
| [17] | Liu J N, Ye S R. 2002. GPS Precise point positioning using undifferenced phase observation. Geomatics and Information Science of Wuhan University (in Chinese), 27(3): 234-240. |
| [18] | Odijk D, Teunissen P J G, Zhang B C. 2012. Single-frequency integer ambiguity resolution enabled GPS precise point positioning. Journal of Surveying Engineering, 138(4): 193-202. |
| [19] | Odijk D. 2002. Fast precise GPS positioning in the presence of ionospheric delays[Ph. D. thesis]. Delft, The Netherlands: Delft University of Technology, 176-182. |
| [20] | Rizos C. 2002. Network RTK research and implementation–a geodetic perspective. Journal of Global Positioning Systems, 1(2): 144-150. |
| [21] | Teunissen P J G, Odijk D, Zhang B C. 2010. PPP-RTK: results of CORS network-based PPP with integer ambiguity resolution. J. Aeronaut. Astronaut. Aviat Ser. A, 42(4): 223-230. |
| [22] | Teunissen P J G, Verhagen S. 2009. The GNSS ambiguity ratio-test revisited: a better way of using it. Surv. Rev., 41(312): 138-151 |
| [23] | Teunissen P J G. 1985. Generalized inverses, adjustment, the datum problem and S-transformations. // Grafarend E W, Sanso F, eds. Optimization and Design of Geodetic Networks. Berlin: Springer, 11-55. |
| [24] | Teunissen P J G. 1995. The least-squares ambiguity decorrelation adjustment: a method for fast GPS integer ambiguity resolution. J. Geod., 70(1-2): 65-82. |
| [25] | Teunissen P J G, Khodabandeh A. 2014. Do GNSS parameters always benefit from integer ambiguity resolution? A PPP-RTK Network Scenario. // Proceedings of the 27th International Technical Meeting, Institute of Navigation GNSS 2014. Tampa, Florida, USA, 590-600. |
| [26] | Tu R, Huang G W, Zhang Q, et al. 2011. The research of dual frequency solution method for single frequency precise point positioning (PPP) based on SEID model. Geomatics and Information Science of Wuhan University (in Chinese), 36(10): 1187-1190. |
| [27] | Tu R, Huang G W, Zhang Q, et al. 2012. PPP algorithm of single frequency based on corrections of single-base station and ionospheric parameters estimation. Geomatics and Information Science of Wuhan University (in Chinese), 37(2): 170-173, 182. |
| [28] | Wang C, Gu S F, Zhang W X, et al. 2012. Analysis of regionally enhanced GPS orbit and clock solutions and contribution to improvement of real-time precise point positioning. Journal of Global Positioning Systems, 11(2): 169-179. |
| [29] | Wubbena G, Schmitz M, Bagge A. 2005. PPP-RTK: Precise point positioning using state-space representation in RTK networks. // Proceedings of the 18th Technical Meeting, Institute of Navigation GNSS 2005. Long Beach, California, USA, 2584-2594. |
| [30] | Yuan Y B, Ou J K. 2001a. Auto-covariance estimation of variable samples (ACEVS) and its application for monitoring random ionosphere using GPS. J. Geod., 75(7-8): 438-447. |
| [31] | Yuan Y B, Ou J K. 2001b. An improvement on ionospheric delay correction for single-frequency GPS user-the APR-I scheme. J. Geod., 75(5-6): 331-336. |
| [32] | Yuan Y B, Ou J K. 2002. Differential areas for differential stations (DADS): a new method of establishing grid ionospheric model. Chinese Sci. Bull., 47(12): 1033-1036. |
| [33] | Yuan Y B, Ou J K. 2003. Preliminary results and analyses of using IGS GPS data to determine global ionospheric TEC. Prog. Nat. Sci., 13(6): 446-449. |
| [34] | Yuan Y B, Ou J K. 2004. A generalized trigonometric series function model for determining ionospheric delay. Prog. Nat. Sci., 14(11): 1010-1014 |
| [35] | Yuan Y B, Tscherning C C, Knudsen P, et al. 2008. The ionospheric eclipse factor method (IEFM) and its application to determining the ionospheric delay for GPS. J. Geod., 82(1): 1-8. |
| [36] | Zhang B C, Ou J K, Li Z S, et al. 2011. Determination of ionospheric observables with precise point positioning. Chinese J. Geophys. (in Chinese), 54(4): 950-957, doi: 10.3969/j.issn.0001-5733.2011.04.009. |
| [37] | Zhang B C, Ou J K, Yuan Y B, et al. 2010. Precise point positioning algorithm based on original dual-frequency GPS code and carrier-phase observations and its application. Acta Geodaetica et Cartographica Sinica (in Chinese), 39(5): 478-483. |
| [38] | Zhang B C, Ou J K, Yuan Y B, et al. 2012a. Extracting precise atmospheric propagation delays from multiple reference station GPS networks. Acta Geodaetica et Cartographica Sinica (in Chinese), 41(4): 523-528. |
| [39] | Zhang B C, Teunissen P J G, Odijk D, et al. 2012b. Rapid integer ambiguity-fixing in precise point positioning. Chinese J. Geophys. (in Chinese), 55(7): 2203-2211, doi: 10.6038/j.issn.0001-5733.2012.07.007. |
| [40] | Zhang B C, Teunissen P J G, Odijk D. 2011. A novel un-differenced PPP-RTK concept. The Journal of Navigation, 64(S1): S180-S191. |
| [41] | Zhang X H, Liu J N, Forsberg R. 2006. Application of precise point positioning in airborne survey. Geomatics and Information Science of Wuhan University (in Chinese), 31(1): 19-22, 46. |
| [42] | Zhang X H, Li X X, Guo F, et al. 2008. Realization and precision analysis of single-frequency precise point positioning software. Geomatics and Information Science of Wuhan University (in Chinese), 33(8): 783-787. |
| [43] | Zou X, Ge M R, Tang W M, et al. 2013. URTK: undifferenced network RTK positioning. GPS Solutions, 17(3): 283-293. |
| [44] | 高星伟, 刘经南, 葛茂荣. 2002. 网络RTK基准站间基线单历元模糊度搜索方法. 测绘学报, 31(4): 305-309. |
| [45] | 姜卫平, 邹璇, 唐卫明. 2012. 基于CORS网络的单频GPS实时精密单点定位新方法. 地球物理学报, 55(5): 1549-1556, doi: 10.6038/j.issn.0001-5733.2012.05.012. |
| [46] | 刘经南, 叶世榕. 2002. GPS 非差相位精密单点定位技术探讨. 武汉大学学报: 信息科学版, 27(3): 234-240. |
| [47] | 涂锐, 黄观文, 张勤等. 2011. 基于SEID模型的单频PPP双频解算方法研究. 武汉大学学报·信息科学版, 36(10): 1187-1190. |
| [48] | 涂锐, 黄观文, 张勤等. 2012. 利用单基准站改正信息和电离层参数估计的单频PPP算法. 武汉大学学报·信息科学版, 37(2): 170-173, 182. |
| [49] | 张宝成, 欧吉坤, 李子申等. 2011. 利用精密单点定位求解电离层延迟. 地球物理学报, 54(4): 950-957, doi: 10.3969/j.issn.0001-5733.2011.04.009. |
| [50] | 张宝成, 欧吉坤, 袁运斌等. 2010. 基于GPS双频原始观测值的精密单点定位算法及应用. 测绘学报, 39(5): 478-483. |
| [51] | 张宝成, 欧吉坤, 袁运斌等. 2012a. 多参考站GPS 网提取精密大气延迟. 测绘学报, 41(4): 523-528. |
| [52] | 张宝成, Teunissen P J G, Odijk D等. 2012b. 精密单点定位整周模糊度快速固定. 地球物理学报, 55(7): 2203-2211, doi: 10.6038/j.issn.0001-5733.2012.07.007. |
| [53] | 张小红, 刘经南, Forsberg R. 2006. 基于精密单点定位技术的航空测量应用实践. 武汉大学学报·信息科学版, 31(1): 19-22, 46. |
| [54] | 张小红, 李星星, 郭斐等. 2008. GPS单频精密单点定位软件实现与精度分析. 武汉大学学报·信息科学版, 33(8): 783-787. |
2015, Vol. 58








