2. 中国地质科学院地质力学研究所, 北京 100081;
3. 中海石油(中国)有限公司湛江分公司, 广东 湛江 524057;
4. 中国地质科学院地质研究所, 北京 100037
2. Institute of Geomechanics, Chinese Academy of Geological Science, Beijing 100081, China;
3. CNOOC China Ltd. Zhanjiang, Zhanjiang Guangdong 524057, China;
4. Institute of Geology, Chinese Academy of Geological Science, Beijing 100037, China
The 1268.07 m-deep Xike 1A well revealed an about 1257.52 m-deep sedimentary cover that mainly consists of bioclastic limestone, marbleized limestone, and dense sedimentary marble, and reached the shallow basement which consists of quartz diorite and granite. In this borehole, we conducted hydraulic fracturing stress measurements at 5 depth intervals between 1125.8~1262.0 m, and obtained the maximum horizontal principal stresses of 17.09~20.85 MPa, the minimum horizontal principal stresses between 15.97~18.29 MPa, and the estimated vertical principal stresses between 22.86~26.68 MPa. The feature of crustal stresses is SV>SH>Sh and the vertical principal stress plays a dominant role, which is prone to the activity of normal fault. Influenced by faults around the Xisha Trough, crustal stress level is relatively low. Impression tests show that the orientations of the maximum horizontal principal stresses in basement of Xisha Islands are from nearly EW to NW. The dominant direction, NWW, coincides well with existing GPS measurements, shear wave splitting measurements, and surface wave inversion data, which show the well consistency of lithosphere deformation of Xisha Islands. The feature of crustal stress implies that the crust basement of Xisha Islands is in an extensional stress environment. Crustal stress field here is jointly constrained by plate movements and upwelling of the Earth's mantle material of Northwestern South China Sea. Analysis from measured in situ stress data of Northwestern South China Sea indicates that the regional principal stress orientations are similar and hence, this region is during in a uniform and stable background of tectonic movement.
南海是西太平洋最大的边缘海之一,是进行边缘海演化和海洋地球动力学研究的天然实验室,也日益成为国内外学者关注的热点.作为围限于欧亚板块、太平洋—菲律宾板块以及印度—澳大利亚板块之间的边缘海盆,南海地块受与之接触三大板块的边缘构造带的作用,即西部红河—南海西缘走滑断裂带、东部的洋-洋俯冲到弧-陆碰撞的马尼拉俯冲带以及北部的伸展裂陷边缘、南部的陆-陆碰撞边缘,在其周边形成了综合有西侧剪切型(转换型)边缘、东侧俯冲型(主动型)边缘、南北拉张型(被动型)边缘等三大主要类型的大陆边缘(龚再升等,1997;张中杰等,2009).加之海盆地幔物质上涌的底边界制约,在漫长而复杂的构造演化进程中,南海现今的区域地质构造及地球物理场呈现高度复杂性.
西沙群岛由一系列岛屿和暗礁组成,位于南海西北部区域,其北侧和东侧为西沙海槽和中沙海槽,西北部为琼东南盆地,北部是蕴含石油天然气的沉积海盆,具有重要的油气勘探前景(唐晓音等,2014).为探究南海北部地壳运动特点以及陆缘张裂和海盆扩张机制,我国开展了GPS测量(李延兴等,2010)、OBS地震探测(黄海波等,2011a; 吴振利等,2011)、海陆联合探测(黄海波等,2011b)、地震波反演(丘学林等,2006;卫小冬等,2011;张中杰等, 2009,2010)、重/磁反演(赵兵等,2011;郝天珧等,2009)、热流测量(李亚敏等,2010;施小斌等, 2000,2002,2003;Shi et al., 2002;唐晓音等,2014;张健和汪集旸, 2000a,b)等等,取得了一批重要研究成果.但由于种种客观条件的限制,目前西沙群岛的整体研究程度较低,某些地球物理领域重要的研究之前尚未开展,比如实测地壳应力.
地壳应力是重要的地球物理参数,在多期构造作用和新构造活动的影响下形成了现今地壳应力,它影响或者控制着地壳运动和地质过程,如火山的诱发、巷道的稳定性、块体和断裂运动、地震的成核和发生等(Amadei and Stephansson, 1997;陈群策等,2012;Liao et al., 2003;秦向辉等,2014;郭啟良等,2009;王成虎等,2014;Sun et al., 2014;Wu et al., 2009;张重远等,2013;Zhang et al., 2014).多数情况下,现今地壳应力状态主要受地形地貌、地壳结构、构造特征等因素的影响.鉴于除受多板块联合作用外,壳幔物质对流作用也在南海地球动力学过程中扮演重要角色.因此,研究西沙群岛现今地壳应力场特征能够揭示和理解南海西北海域断裂活动、地壳运动以及海盆生长和演化的背景环境和动力来源问题,具有十分重要的意义.
地应力测量是能够直接获得地壳应力量值和方向的唯一手段,但受自然条件等限制,我国尚未有涉海的原地应力测量,基础资料严重匮乏,这制约了我们对大洋盆地应力环境的了解.目前,有限的南海海域地应力研究主要来源于震源机制解及油田钻孔崩落资料(刘以宣等,1993;陈群策等,2014),以及基于GPS测量和上述资料的应力场模拟分析,而缺乏对应力赋存特征的直观认识和实测应力基础资料.本研究根据西沙群岛石岛西科1A井基底深度水压致裂地壳应力测量,揭示了西沙群岛基底深度地壳应力状态和南海西北部应力场特征,结合已有的地球物理和构造地质资料,分析了其构造指示意义和南海西北部现今构造运动背景与机制.同时,本研究也描述了西科1A井钻遇基底附近的岩体结构情况和基本岩石特征,可为研究西沙群岛基底岩石特征提供宝贵的基础资料.
2 西沙群岛区域构造环境西沙群岛是正在发育或活化的伸展构造,目前处于逐渐裂解阶段(黄海波等,2011a;Wei and Chung, 1995).西沙群岛属于减薄型大陆地壳,上地壳顶部发育巨厚碳酸盐沉积,莫霍面埋深26~28 km,其所在的南海西北部周缘也具有复杂的构造环境和特征(黄海波等, 2011a,b).以似菱形的中央海盆西北侧为界,南海西北陆缘盆地地形自北向南呈“渐缓突陡”的变化(图 1),已有的研究表明,南海北部陆缘自北向南、自西向东地壳厚度逐渐减薄,发育有陆壳、过渡型地壳和洋壳,与海底地形基本呼应.由西向东发育了一系列新生盆地,依次为莺歌海盆地、琼东南盆地和珠江口盆地,这些盆地存储油气构造丰富,是我国南海未来的油气勘探基地.珠江口盆地和琼东南盆地发育在减薄的过渡型地壳之上,两盆地南部是V型和U型北东东向展布的西沙海槽.作为一个新生代沉积盆地,西沙海槽接受了1500~8000 m厚的沉积,沉积层中部厚,南北薄,呈南北分带特征(钟广见等,2012).
![]() | 图 1 南海构造背景概要图(改自陈群策等,2014)Fig. 1 Schematic map of tectonic background of South China Sea(After Chen et al., 2014) |
西沙海槽被推断是一条印支期的古缝合线(姚伯初,1994),西沙—中沙地块与南海北部陆缘发生过碰撞缝合(姚伯初和万玲,2010),新构造时期发育为西沙海槽断裂.海槽在磁力上表现为条带状高值正磁异常带,重力上表现为低值负异常带.地壳速度结构显示海槽内下地壳下部存在异常高速层,地壳厚度也较两侧薄.西沙群岛岩石圈流变结构由上到下具脆—韧—脆—韧的组合结构(施小斌等,2000;Shi et al., 2002),海槽区因热地幔上拱、地壳与岩石圈减薄,海槽中心处距莫霍面埋深仅16 km左右,且海槽南北结构差异明显(Wissmann et al., 1996;丘学林等,2006;施小斌等, 2000,2002,2003).西沙海槽具有较高的流变强度,流变学结构呈纵向分层和横向变化,由中心向两侧韧性层变厚,脆性层减薄(施小斌等,2002).OBS探测结果(丘学林等,2006)认为西沙海槽的地壳结构呈新生代拉张裂谷的特征.钟广见等(2012)根据地震剖面发现西沙海槽盆地呈“上坳下断”,构造样式以“多米诺式地堑”或“地堑”为主,海槽南北发育多组北东东和北西西走向的正断层控制着上层地堑的发育.Wissmann 等(1996)和Qiu 等(2001)由地震反射剖面发现西沙海槽的部分断裂仍在活动.海槽内热流平均值达79 mW·m-2,显示较高的水平(施小斌等,2003).总体看来,紧邻西沙群岛的西沙海槽是新构造活跃区,其构造特征将密切影响西沙群岛地壳应力场.
除西沙海槽断裂带外,西沙群岛周围还发育2 组主要的断裂带.北侧发育的北东东向的滨海断裂 带是华南亚板块正常型陆壳与南海亚板块减薄型陆壳的分界断裂带(曹敬贺等,2014),该断裂带向北一直延伸到福州盆地.滨海断裂带在海南岛东北部分拆为两条断裂:其中一个分支穿过琼州海峡,进入北部湾,另一个分支为主断裂带,沿海南岛东南海岸展布,在南部与红河断裂带交汇(徐辉龙等,2010).西侧的哀牢山—红河断裂不仅在地壳浅部是分隔印支块体和华南块体的地质界限,也是控制两侧区域深部构造变形和壳内韧性流动的分界(Liu et al. 2006;胥颐等,2013),沿着断裂带发育一系列阶梯状正断层,属于剪切—拉张型边缘构造特征(林长松等,2009).根据文献资料可知,红河断裂带现今活动性较强,而滨海断裂带海南岛东南侧部分具有一定的活动性,1999年万宁海域曾发生MS4.8级地震.
3 西科1A井钻孔深部岩体结构和岩石特征西科1A井位于石岛,孔深1268.07 m,地表至1257.52 m为少量第四纪沉积物,大量的松散状礁灰岩以及大理岩,在1257.52 m深处钻遇花岗岩基底.20世纪70年代,距离石岛约1 km的永兴岛东北侧曾钻有西永一井,在1251 m钻遇基底片麻花岗岩、片麻岩和片麻状花岗岩.测年显示(龚再升等,1997)花岗片麻岩年龄值为1465 Ma,因此可以判断石岛花岗岩基底年代范围基本也属于前寒武纪.孙晓猛等(2014)分析南海北部深水区77口钻井资料,认为西沙海域以前震旦纪结晶基底为主.郝天珧等(2009)基于南海新的磁力数据与磁性基底异常提取,认为西沙地区是前寒武纪变质基底所组成的长期隆起.
本研究采取了西科1A井1153.14~1267.5 m的所有代表性岩石标本(图 2)并制作薄片(图 3),以观察分 析 岩石矿物结构及矿物组成.由图 2可知,在1254.3~ 1259.6 m 共约5 m的深度内范围,也即基底与沉积盖层交界面附近,岩性变化很大.观察显示,XS1为含生物碎屑灰岩,XS2为含生物碎屑大理岩化灰岩,XS3为大理岩.限于篇幅,仅就基底岩石标本作以下详细分析.
![]() | 图 2 石岛西科1A井深部代表性岩石Fig. 2 Typical rock of deep Xike 1A well at Shidao |
![]() | 图 3 石岛西科1A井岩石显微照片(正交偏光) (a)含生物碎屑大理岩化灰岩;(b)石英闪长岩;(c)黑云母二长花岗岩;(d)钾长花岗岩. Hbl角闪石,Pl斜长石,Kfs钾长石,Bt黑云母,Qtz石英.Fig. 3 Rock photomicrograph of Xike 1A well at Shidao(crossed polars) (a)Bioclastic limestone;(b)Quartz diorite;(c)Biotite adamellite;(d)Moyite. Hbl:hornblende,Pl:plagioclase,Kfs:potash feldspar,Bt:biotite,Qtz:quartz. |
XS4为石英闪长岩,具细粒结构,主要由45%的 斜长石、35%的角闪石、15%的石英和少量角闪石组 成,副矿物锆石和磷灰石等.斜长石为半自形-自形晶,发育卡钠复合双晶和聚片双晶,粒度为0.5~1 mm;角闪石晶体为半自形晶,具浅绿色—黄绿色多色性;石英呈他形晶,夹于斜长石和角闪石颗粒间;黑云母呈片状,具有棕褐-淡黄色多色性.
XS5 黑云母二长花岗岩具中-粗粒花岗结构,由40%的钾长石、30%的斜长石、25%的石英和少量黑云母,磷灰石和锆石组成.钾长石为半自形-自形晶,发育格子双晶,粒度为1.5~3 mm;斜长石为半自形-自形晶,发育聚片双晶,粒度为1.5~2 mm;石英为他形晶,粒度为1~2 mm,部分长石中偶见蠕石 英;少量细粒片状黑云母夹于长石和石英矿物颗粒间.
XS6 钾长花岗岩具似斑状结构,由60%的钾长石、30%的石英、10%的斜长石构成,仅少量黑云母零星分布.其中钾长石粒度为1.5~3 mm,发育格子双晶,部分钾长石泥化明显;斜长石发育聚片双晶且粒度较小;石英呈他形晶夹于长石颗粒间,显微镜下蠕虫结构明显;黑云母含量较少,大部分已蚀变为绿泥石.
XS4、XS5和XS6并未显示矿物颗粒的定向排列特征,说明基底花岗岩没有经历高压、高温的改造作用,至少不曾存在高水平挤压应力的环境.
4 西科1A井深孔水压致裂地应力测量及结果分析水压致裂地应力测量方法是国际岩石力学学会(ISRM)试验方法委员会建议的确定岩体应力的方法之一(Haimson and Cornet, 2003).其基本步骤是,在完整岩体钻孔中,使用上下两个胶筒承压隔出一段密封的钻孔,然后向密封孔段内泵入高压液体(通常为水),从而压裂孔壁周围岩体来确定岩体中主应力大小和方向(图 4).水压致裂法操作简便,无需测量岩体物理性质参数即可确定水平主应力状态,通常在深度大于1000 m的钻孔条件下,水压致裂法是唯一能够直接、有效获取地壳应力量值和方向的测量手段.作为当今世界上主流的地应力测量方法,水压致裂法已在大陆和海洋科学深钻、活动断裂带地球动力学研究以及重大岩体工程建设中得到了非常成熟而广泛的应用.
![]() | 图 4 水压致裂和印模测试实验示意图Fig. 4 Sketch map of hydraulic fracturing and impression test |
永兴岛是新成立的三沙市政府所在地,是西沙宣德群岛中面积最大的岛屿,约2 km2.石岛位于永兴岛东北侧约1000 m,与永兴岛位于同一个礁盘上,中间有人工道路相连.石岛是西沙群岛最高的岛 屿,高程约13.8 m,南北长约375 m,南北宽约340 m,面积约0.06 km2,是一个已固结的老珊瑚礁灰岩岛.
西科1A井位于石岛东南侧的海边,终孔深度1268.07 m,其中套管安装深度1008.48 m,套管底 部至终孔部分孔径95 mm.西科1A井钻孔深度内地质条件较差,全孔范围内溶洞大量发育,0~1257.52 m 为少量第四纪沉积物,大量的松散状礁灰岩以及部分沉积密实的大理岩.受海水溶蚀作用,部分地层发育有钙质粘土和钙质砂砾土.礁灰岩地层主要受岩层沉积压实作用,受构造应力作用影响较小,所以1083.42 m以上基本不发育节理和裂隙,1083.42~1257.52 m范围礁灰岩受压密实,发育了少量低角度的节理、裂隙.1257.52 m以下进入花岗岩基底,发育有部分高角度裂隙和竖直劈理,说明经历了构造应力作用,并受一定的风化作用影响.
钻进过程中塌孔、掉块以及漏水时常发生,钻探取芯率较低.据现场班报表资料统计,966.86~1111.72 m之间,钻进时由于遇到溶洞、坍塌等松散地层而引起钻杆自落的进尺达48.89 m,其中最大自落长度约7.76 m.恶劣的钻孔地质条件客观上将给水压致裂地应力测量试验带来较大困难,试验准备、测试过程乃至测试后期都需采取周密措施确保整个地应力测量实验的成功.
4.2 西科1A井地应力测量设备西科1A井深孔地应力测量设备包括井上和井下两部分.井上通用设备包括35 MPa MAHA高压水泵(50 MPa AR高压水泵1台,作为备用)、控制管汇系统、压力测量设备、信号采集仪和笔记本电脑;井下专用设备包括封隔器和座封/压裂转换开关(压力测试阶段)、印模器和定向仪(定向测试阶段)、泥沙过滤器.
本测试系统采用单回路系统,采用φ50 mm密 封钻杆作为压力管道,压裂测试阶段使用座封/压裂 转换开关进行程序转换.由于所测裸孔段直径为95 mm,本次测试采用的封隔器和印模器规格为φ84 mm.
钻孔压裂段的选择对于实验数据可靠性至关重 要,通常根据钻探取芯情况选取一定长度的岩石完整段.西科1A井由于溶洞较为发育、有掉块和塌孔发生,选取压裂段需要注意上下封隔器共约2 m范围内的岩体可以存在裂隙,但必须避免掉块、塌孔段和发育有直径大于2 cm以上的溶洞,以免座封时封 隔器爆裂.根据这个原则,西科1A井共在1008.48~1268.07 m 范围内选取了6个试验段,最终取得了5组验段的压裂数据和3组印模数据.
4.3 数据处理方法及结果传统经典的水压致裂理论依赖于三个基本假设:岩体均质、各向同性、线弹性;垂直主应力等于上覆岩层单位面积的重量;岩体完整,压裂液体不发生渗透.满足以上三个假设条件下,水压致裂试验理论上可以等效为平面应力状态下,无限大平板中垂直圆孔承受内部水压的问题,孔壁应力状态满足Kirsch解.Bredehoeft 等(1976)、Haimson(1980)提出了现今通用的计算水平主应力的简化公式:

公式(1)的主要假设是,只要裂隙不张开,流体压力不会从钻孔进入到裂隙之中.而且考虑到理想状态下,认为裂隙在承压张开时进入的水,当关闭水泵时裂隙由于岩体应力而完全闭合,所有的水将返回钻孔,即实验过程中进出裂隙的水体积守恒而无渗透进入岩体.然而,Ito等(1999)研究发现,现场地应力实测中,压裂后的裂隙在每次重张之后都有一定程度的残余张开度,水会通过裂隙尖端渗透进入 岩体.有学者甚至认为(Zoback et al., 1977; Durham and Bonner, 1994),即使诱发裂隙闭合,尖端压力损耗仍有可能发生.因此,一般情况下裂隙在重新开启之前,压力渗透已经发生,传统理论假设已不合理.若水压裂隙中存在压力渗透,在重张测试中,靠近孔壁的裂隙内压力Pp,已等于钻孔内压力Pr,此时公式(1)变为(Ito et al., 1999;Ito et al., 2013)


西科1A井水压致裂数据采用了单切线法、dp/dt方法、dt/dp法、Muskat法等4种方法计算瞬间关闭压力,即最小水平主压力,并取加权平均值作为最终结果.垂直主应力按照上覆岩层密度累积计算.尽管研究人员对于计算最大水平主应力是采取公式(1)还是公式(3)仍存在不同看法,考虑到石岛深部岩体,尤其是大理岩体,因海水溶蚀造成岩体孔隙度较大,水压致裂重张循环关泵以后,钻孔压裂段内水压裂隙存在轻微渗漏、造成压力衰减(图 5),故最大水平主应力选择按照公式(3)计算,西科1A井地应力测量计算结果见表 1.
![]() | 图 5 水压致裂测试曲线图Fig. 5 Test curves of hydraulic fracturing test |
| 表 1 西科1A井水压致裂应力测量结果Table 1 Results of hydraulic fracturing stress measurement of Xike 1A well |
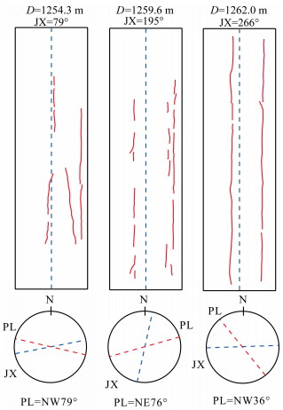
采用印模定向试验确定了最大水平主应力方向.选取1254.3、1259.6 m和1262.0 m进行印模定向试验,得到3个测试点的水压诱发裂缝印模痕迹.1254.3 m附近为完整、致密大理岩化灰岩,接近花岗岩基底.1259.6 m和1262.0 m主要为花岗岩,虽位于基底浅部风化壳内,但测量点附近较长一段岩体是完整的,最大水平主应力方向不受原生裂隙的干扰.由图 6、图 7可见,水压诱发裂隙均呈基本对称分布、竖直延伸,发育清晰,属于标准典型的水压致裂诱发裂隙,证明试验测得的最大水平主应力方向是可靠的.
![]() | 图 6 印模测试的竖直诱发裂隙痕迹Fig. 6 Vertical induce-fracture trace of impression test |
![]() | 图 7 印模试验确定的最大水平主应力方向(JX代表基线,PL表示水压裂隙方向)Fig. 7 Maximum horizontal principal stress directions determined by impression tests(JX is baseline and PL is hydraulic fracture direction) |
根据西科1A井地应力测量结果可知,1125.8~1262.0 m 深度范围内,最大水平主应力为17.09~ 20.85 MPa,最小水平主应力为15.97~18.29 MPa,依据上覆岩层容重估算的垂直主应力为22.86~26.68 MPa,地壳应力结构为SV>SH>Sh,以垂直主应力为主导.地壳中的绝对应力一般不可能存在拉应力,5个测量点所得的也是水平方向上的挤压应力值,但根据安德森理论模型,该应力结构特征有利于正断层活动,说明西沙群岛地壳基底处于拉张的应力背景之中.水压致裂应力测量深度范围内,除1259.6 m最大水平主应力为17.09 MPa外,其余4个测点最大水平主应力介于20.03~20.85 MPa之间,整体上应力变化梯度不明显,而垂直主应力与水平应力的比值(SV/SH、SV/Sh)呈增大趋势,推测基底深部拉张应力效果可能更为显著.最大与最小水 平主应力的比值(SH/Sh)范围为1.07~1.18,测量 深度范围内水平应力差异性较小,也显示了最大水平应力方向的活动作用并不强.总体考虑西科1A井应力特征,相比世界范围内的相似深度,石岛浅部花岗岩基底及其上覆盖层附近的水平主应力量值相对偏小,分析原因,其一,南海北部区域构造活动性较弱,查询地震记录可发现,西沙群岛周边较大区域内(111°E—119°E,14°N—19°N)很少有地震发生,周围区域的断层活动为以正断层型为主,这表明可能断层的活动性很弱,也可能以先存断层的蠕滑为主,或者拉张应力的积累不足以产生新的脆性破裂;其二,西沙海槽“上坳下断”的构造特点致使早期张拉作用产生地堑,当断裂下切至一定深度时造成应力释放.
1254.3~1262.0 m 最大水平主应力方向范围为NE76°-NW36°,总体表现为近东西—北西向,其优势方向基本为北西西向.引起主应力离散的原因可能是沉积盖层和浅部基底风化作用造成的岩体 裂隙发育,但整体上仍可以反映区域构造应力场动 力源的方位区间.临近的测量点具有相近的最大水平主应力方向也说明,水压致裂法获得的地壳应力体现了区域构造作用的特征,是构造属性的应力.
图 8显示了世界应力图(WSM 2008)框架下的南海北部区域应力场环境特征(Heidbach et al., 2008),图中还加入了近年来,相继在广东沿海大亚湾、台山、阳江核电站附近(丰成君等,2013)以及海南乐东(陈群策等,2014)开展的水压致裂地应力测量试验所获得的最大水平主应力的方向,以及海南陵水大茅山隧道压磁应力解除(吴满路和廖椿庭,2000)、海南岛以西和东南部海域油井钻孔崩落获得的主应力方向(陈群策等,2014).南海周边区域缺乏实测原地应力方向资料,而以震源机制解和钻孔崩落为主要来源.南海北部区域主要以大深度油井的钻孔崩落确定主应力方向,其东部区域主要由震源机制获得主应力方向,主要反映了数公里之下发震深度的主压应力方向特征.如图 8所示,南海北部整体区域范围内,主应力方向呈现不同的区域特征,潜在的原因可能是不同的主导构造因素控制.南海北部区域主应力方向基本与中国大陆海岸带垂直,自东向西呈扇形分布,且滨海断裂带南北两侧方向较为相近,这主要受华南板块与太平洋板块(菲律宾板块)、印度—澳大利亚板块的相互挤压作用影响.南海东侧区域主应力方向自北向南明显分段,分别沿北西—北北西—北东—近东西方向顺时针旋转,且以北纬20°附近马尼拉海沟与中央海盆东北边界的结合部位为显著分界点,显示南海东部应力环境主要受菲律宾板块与南海板块相互作用,以及中新代以来中央海盆的扩张作用共同制约.南海西部莺歌海盆地应力资料偏少,但其应力赋存状态可能主要受青藏高原隆起之下的物质流向东南挤出和俯冲拖拽作用的影响,穿越盆地的红河走滑断裂带则是地壳应力和物质运移的协调边界(徐鸣洁等,2005;胥颐等,2013).从图中可以看出,南海西北部区域(海南岛及周围海域)应力场方向为北西—北西西向,主应力方向整体一致性较好,自西向东呈逆时针轻微旋转,说明区域应力场在多种作用因素下呈现相对稳定的状态.西沙群岛石岛西科1A井实测应力优势方位为北西西向,也处于南海西北部区域应力场环境之中,鉴于西沙群岛石岛西科1A井所处构造位置可能受西沙海槽、中央海盆及西侧红河断裂带等多种因素影响,其协同应力作用机制更为复杂.
![]() | 图 8 南海北部应力环境图(改自WSM 2008(Heidbach et al., 2008))Fig. 8 Stress environment of Northern South China Sea(after WSM 2008(Heidbach et al., 2008)) |
地球浅部和深部的形变和地球物理参数测量可以从不同角度解释区域岩石圈尺度运动和变形特征(Lucy et al., 2005).现今GPS测量表明南海海盆仍在扩张,中央海盆东部为中间向南北双向扩张,西部为自北向南的单向扩张(王静,2012).有学者从构造地貌研究认为永兴岛和石岛都是隆升的岛屿,且 石岛上升速度快于永兴岛(秦国权,1987).永兴岛基准站1999—2010年的绝对重力减小16.2×10-8 m·s-2(纪立东等, 2012,2014),其间的重力变化量等效于地表每年隆升4.6 mm,这可能与地壳深部物质变化有关(申重阳等,2012).李延兴等(2010)利用布设在中央海盆周围的GPS台站推算得出中央海盆以3.0 mm·a-1的速率进行南北向缓慢扩张;而永兴岛以12.1 mm·a-1的速率向NE110°,即南东东向运动,与石岛基底深度北西西的主应力方向较为一致.利用地震的横波进行上地幔各向异性反演是研究区域应力场方向的有效方法(常利军等,2009;王椿镛等,2014),岩石圈或者地幔物质运移引起的应变可以导致地幔橄榄岩晶格定向优势排列,对经核幔边界反射的ScS和通过内核的SKS进行反演,解析得到的快S波偏振方向则能够确定区域最大主应力方向(阮爱国等,2012).阮爱国等(2006)利用ScS震相反演石岛上地幔(567 km)各向异性,结果表明石岛地震台快波偏振方向为NE94°,亦与本次方向测量结果十分接近,其结果表明了西沙群岛处于近东西微偏南的拉张状态或地幔物质流运移方向.常利军等(2009)利用SKS横波分裂也得到类似结果,显示南海北部陆缘上地幔各向异性快波偏振方向为近东西,琼中台站方向则为NW75°.尽管不如体波反演精度高,面波层析成像依然是研究岩石圈结构的有效手段,研究显示南海岩石圈应力场特征是西北部以近东西向拉张,中部浅层为南北向拉张,深层则为东西向拉张(郑月军等,2004).综合研究表明,在南海西北部(至少西沙群岛范围内),地表GPS测量、基底深度地壳应力测量、上地幔快波偏振、乃至岩石圈面波反演资料所揭示的主应力方向均较为吻合,显示从浅部物质位移、应力形迹与深部上地幔物质变形方向一致性较好,预示该区域内板块与地幔可能是耦合的,地壳与岩石圈地幔符合Silver(1996)提出的壳幔垂直连贯变形模式.上地幔物质在这种壳幔变形模式下定向运移,浅部地壳和地球深部的构造应力较为一致而没发生转换,这也是造成石岛浅部基底应力方向的深部构造动力学背景,同时也佐证了西科1A井的实测主应力方向.
5.2 地幔物质活动对西沙群岛地壳应力状态的影响岩石圈范围内应力场的北西西向拉张特征反映了南海西北部构造运动的环境和背景,其作用效果表现出海盆构造地貌和地壳结构的复杂性,作用机制则具有多因联动性.南海海盆的扩张机制作用是形成这种地壳应力场的一个重要条件.张健和汪集旸(2000 a)发现,在南海北部陆缘地区,沿陆缘向中央海盆方向增加的地幔热流大大弥补了因地壳减薄而减小的地壳热流,反映了南海北部陆缘较高的基底热流,分析是受中央海盆拉张、地壳强烈减薄导致软流圈抬升、高温地幔物质上涌的影响(Shi et al., 2002).唐晓音等(2014)、李亚敏等(2010)发现西沙海槽的热流值高异常可能与晚期断裂发育、岩浆侵入和热流体活动等有关.通过对西沙群岛的琛航岛、永兴岛(黄海波等, 2011a,b)和石岛(丘学林等,2006)地震台站天然地震资料提取接收函数,研究发现西沙群岛地区地壳泊松比大于0.30.泊松比是反映地球内部物质成分、构造和物理状态的重要弹性参数(Zandt and Ammon, 1995;Christensen,1996),研究表明当泊松比大于0.30时,预示着地壳岩石可能存在部分熔融或破碎带(高孔隙度、存在流体)(Ji et al., 2009),因此推断高泊松比异常可能与西沙群岛下地壳韧性流变构造和深部地幔物质热活动有密切联系(黄海波等,2011a).通过对地震反射资料研究发现(张中杰等,2009;吴振利等,2011;黄海波等,2011a;雷超等,2013;卫小冬等,2011),包括西沙群岛海域,南海中北部陆缘区下地壳普遍存在异常高速体、高速层,分析其组成物质主要为铁镁质基性岩,可能由于强烈的岩石圈伸展、软流圈上涌、上地幔物质部分熔融,最终岩浆的底侵盆地下底所致.地壳中铁镁质岩浆组分的增加也会增大地壳泊松比(高延光和李永华,2014).西沙群岛及周缘南海北部区域的高地表热流、高泊松比异常及高速异常的存在均表明岩石圈拉伸减薄、地幔物质拱升,其直接的指示意义是对南海北部陆缘盆地的扩张力源的贡献.
尽管有人推测南海的扩张源于洋盆之下存在地幔柱,岩浆囊可提供丰富的上升物质流,但地震层析成像显示南海没有地幔柱(姚伯初和万玲,2010).因此说明地幔物质的上涌是由于岩石圈拉张减薄,上地幔物质由于压力减小而发生部分熔融,这种机制不会提供大量的岩浆,因而上升物质总量小,上涌速度也较慢,所以南海扩张速率较小,GPS测量结果也说明了这一点.Tung和Lawrence(1995)研究发现南海北北西—南南东方向65 Ma以来的扩张速率平均为13.0 mm·a-1,而现今南海南北向平均扩张速率仅为3.0 mm·a-1,表明南海现今扩张速率在变慢,区域地壳运动水平较低.这种较弱的扩张作用下,石岛浅部基底水平应力值也是偏小的.
西沙群岛的应力场特征显然受板块运动和地幔物质上涌作用效应联合制约.南海地块周缘的三大板块的相互“犄角”作用造就了影响西沙群岛的一级应力场,西沙地块深部物质流运动构成了西沙群岛的二级应力场.研究认为(Shi et al., 2002),西沙块体空间移动困难以及西南次海盆的扩张可能限制了西沙海槽的进一步破裂,因此,若进一步细分,西沙海槽断裂带或地堑等构造因素可能形成了其三级应力场(Zoback et al., 1989;Zoback,1992).
6 结论和认识西沙群岛石岛西科1A井水压致裂试验是我国首次涉海地应力测量,最大测量深度1262.0 m也位于我国水压致裂应力测量中的前列,它也填补了我国南海海域没有实测地壳应力资料的空白,是对南海海域地球物理资料的丰富.西科1A井穿过石岛碳酸盐沉积盖层,在1257.52 m钻遇了石岛浅部基底.通过岩石薄片观察,沉积层岩石以含生物碎屑灰岩、含生物碎屑大理岩化灰岩和密实沉积的大理岩为主,浅部基底则以石英闪长岩和花岗岩为主.通过水压致裂法应力测量,获得水平主应力方向以近东西—北西向为主,优势方向为北西西向,与已有的GPS测量、横波分裂和面波反演结果较为吻合.在1125.8~1262.0 m深度范围内的5次应力测量,获得最大水平主应力为17.09~20.85 MPa,最小水平主应力为15.97~18.29MPa,垂直主应力估算为22.86~26.68 MPa,地壳应力结构为SV>SH>Sh,以垂直主应力为主导,该应力结构特征有利于正断层活动,显示西沙群岛地壳基底处于拉张的应力环境.由于西沙海槽处于伸展裂解阶段,阶梯状正断层发育,地壳应力释放,造成水平应力值较低.
本研究分析西科1A井应力测量结果的构造指示意义和南海西北部现今构造运动背景与机制,重点讨论了地幔物质作用对南海西北部构造和应力场环境的贡献.当然,欧亚板块、印度—澳大利亚板块以及太平洋板块之间的相互运动对南海西北部构造形式和应力场的制约和影响也十分显著.西沙群岛的地壳应力场特征受板块运动和地幔物质上涌作用效应联合制约.综合南海西北部实测地应力数据分析,显示该区域主应力方向一致性较好,应处于统一、稳定的构造运动环境之中.
致谢 感谢海南省地质基础工程院在西科1A井地应力测量中给予的大力协助.感谢两位审稿人有益和中肯的建议.| [1] | Amadei B, Stephansson O. 1997. Rock stress and Its Measurement. London: Chapman & Hall, 3-10. |
| [2] | Bredehoeft J D, Wolff R G, Keys W S, et al. 1976. Hydraulic fracturing to determine the regional in situ stress field, Piceance Basin, Colorado. Geol. Soc. Amer. Bull., 87(2): 250-258. |
| [3] | Cao J H, Sun J L, Xu M H, et al. 2014. Seismological features of the littoral fault zone in the Pearl River Estuary. Chinese J. Geophys. (in Chinese), 57(2): 498-508, doi: 10.6038/cjg20140215. |
| [4] | Chang L J, Wang C Y, Ding Z F. 2009. Seismic anisotropy of upper mantle in eastern China. Sci. China Ser. D-Earth Sci., 52(6): 774-783, doi: 10.1007/s11430-009-0073-4. |
| [5] | Chen Q C, Feng C J, Meng W, et al. 2012. Analysis of in situ stress measurements at the northeastern section of the Longmenshan Fault Zone after 5.12 Wenchuan earthquake. Chinese J. Geophys. (in Chinese), 55(12): 3923-3932, doi: 10.6038/j.issn.0001-5733.2012.12.005. |
| [6] | Chen Q C, Fan T Y, Li X S, et al. 2014. In situ measurements and comprehensive research on the present crustal stress of Northern South China Sea. Chinese J. Geophys. (in Chinese), 57(8): 2518-2529, doi: 10.6038/cjg20140813. |
| [7] | Christensen N I. 1996. Poisson's ratio and crustal seismology. J. Geophys. Res., 101(B2): 3139-3156. |
| [8] | Durham W B, Bonner B P. 1994. Self-propping and fluid flow in slightly offset joints at high effective pressures. Journal of Geophysical Research, 99(B5): 9391-9399. |
| [9] | Feng C J, Chen Q C, Tan C X, et al. 2013. In-situ stress measurement and its application to Guangdong nuclear power stations. Rock and Soil Mechanics (in Chinese), 34(6): 1745-1752. |
| [10] | Gao Y G, Li Y H. 2014. Crustal thickness and Vp/Vs in the Northeast China-North China region and its geological implication. Chinese J. Geophys. (in Chinese), 57(3): 847-857, doi: 10.6038/cjg20140314. |
| [11] | Gong Z S, Li S T, Xie T J, et al. 1997. Continental Margin Basin Analysis and Hydrocarbon Accumulation of the Northern South China Sea (in Chinese). Beijing: Science Press, 27-41. |
| [12] | Guo Q L, Wang C H, Ma H S, et al. 2009. In-situ hydro-fracture stress measurement before and after the Wenchuan MS8.0 earthquake of China. Chinese J. Geophys. (in Chinese), 52(5): 1395-1401, doi: 10.3969/j.issn.0001-5733.2009.05.029. |
| [13] | Haimson B C, Cornet F H. 2003. ISRM suggested methods for rock stress estimation-Part 3: Hydraulic fracturing (HF) and/or hydraulic testing of pre-existing fractures (HTPF). International Journal of Rock Mechanics & Mining Sciences, 40(7-8): 1011-1020. |
| [14] | Haimson. 1980. Near-surface and deep hydrofracturing stress measurements in the Waterloo quartzite. International Journal of Rock Mechanics and Mining Sciences & Geomechanics Abstracts, 17(2): 81-88. |
| [15] | Hao T Y, Xu Y, Zhao B M, et al. 2009. Geophysical research on distribution features of magnetic basements in the South China Sea. Chinese J. Geophys. (in Chinese), 52(11): 2763-2774, doi: 10.3969/j.issn.0001-5733.2009.11.011. |
| [16] | Heidbach O, Tingay M, Barth A, et al. 2008. The World Stress Map database release 2008, doi: 10.1594/GFZ.WSM.Rel2008. |
| [17] | Huang H B, Qiu X L, Xu Y, et al. 2011a. Crustal structure beneath the Xisha Islands of the South China Sea simulated by the teleseismic receiver function method. Chinese J. Geophys. (in Chinese), 54(11): 2788-2798, doi:.3969/j.issn.0001-5733.2011.11.009. |
| [18] | Huang H B, Qiu X L, Xu H L, et al. 2011b. Preliminary results of the earthquake observation and the onshore-offshore seismic experiments on Xisha Block. Chinese J. Geophys. (in Chinese), 54(12): 3161-3170, doi: 10.3969/j.issn.0001-5733.2011.12.016. |
| [19] | Ito T, Evans K, Kawai K, et al. 1999. Hydraulic fracture reopening pressure and the estimation of maximum horizontal stress. International Journal of Rock Mechanics and Mining Sciences, 36(6): 811-826. |
| [20] | Ito T, Funato A, Lin W, et al. 2013. Determination of stress state in deep subsea formation by combination of hydraulic fracturing in situ test and core analysis: A case study in the IODP Expedition 319. Journal of Geophysical Research: Solid Earth, 118(3): 1203-1215. |
| [21] | Ji L D, Zhang H W, Xiao F, et al. 2012. Absolute gravity measurements at Yongxing Island base station. Beijing Surveying and Mapping (in Chinese), (6): 54-56. |
| [22] | Ji L D, Zhang H W, Xiao F, et al. 2014. Repeated absolute gravity surveying at Yongxing Island base station. Science of Surveying and Mapping (in Chinese), 39(2): 11-13, 36. |
| [23] | Ji S C, Wang Q, Matthew H S. 2009. Composition and tectonic evolution of the Chinese continental crust constrained by Poisson's ratio. Tectonophysics, 463(1-4): 15-30. |
| [24] | Lei C, Ren J Y, Tong D J. 2013. Geodynamics of the ocean-continent transition zone, northern margin of the South China Sea: Implications for the opening of the South China Sea. Chinese J. Geophys. (in Chinese), 56(4): 1287-1299, doi: 10.6038/cjg20130423. |
| [25] | Li Y M, Luo X H, Xu X, et al. 2010. Seafloor in-situ heat flow measurements in the deep-water area of the northern slope, South China Sea. Chinese J. Geophys. (in Chinese), 53(9): 2161-2170, doi: 10.3969/j.issn.0001-5733.2010.09.016. |
| [26] | Li Y X, Zhang J H, Zhou W, et al. 2010. Current tectonic movement of South China sea and its surrounding areas. Journal of Geodesy and Geodynamics (in Chinese), 30(3): 10-16. |
| [27] | Liao C T, Zhang C S, Wu M L, et al. 2003. Stress change near the Kunlun fault before and after the Ms8.1 Kunlun earthquake. Geophysical Research Letters, 30(20): 2027-2030, doi: 10.1029/2003GL018106. |
| [28] | Lin C S, Tang Y, Tan Y H. 2009. Geodynamic mechanism of dextral strike-slip of the western-edge faults of the South China Sea. Acta Oceanological Sinica (in Chinese), 31(1): 159-167. |
| [29] | Liu B M, Xia B, Li X X. 2006. Southeastern extension of the Red River fault zone (RRFZ) and its tectonic evolution significance in western South China Sea. Science in China: Series D Earth Sciences, 49(8): 839-850. |
| [30] | Liu Y X, Zhan W H, Qiu X L, et al. 1993. Study on recent tectonic stress field, recent crustal movement and crustal stability in South China Sea and its adjucent area. South China Journal of Seismology (in Chinese), 13(1): 11-21. |
| [31] | Lucy M F, William E H, Paul G S, et al. 2005. Constraining the extent of crust-mantle coupling in central Asia using GPS, geologic, and shear wave splitting data. Earth and Planetary Science Letters, 238(1-2): 248-268. |
| [32] | Qin G Q. 1987. A preliminary study on foraminiferal assemblages of well 1 Xiyong, Xisha Islands and their coral reef formation. Tropic Oceanology (in Chinese), 6(3): 10-20. |
| [33] | Qin X H, Zhang P, Feng C J, et al. 2014. In-situ stress measurements and slip stability of major faults in Beijing region, China. Chinese J. Geophys. (in Chinese), 57(7): 2165-2180, doi: 10.6038/cjg20140712. |
| [34] | Qiu X L, Ye S, Wu S, et al. 2001. Crustal structure across the Xisha Trough, northwestern South China Sea. Tectonophysics, 341(1-4): 179-193. |
| [35] | Qiu X L, Zeng G P, Xu Y, et al. 2006. The crustal structure beneath the Shidao Station on Xisha Islands of South China Sea. Chinese J. Geophys. (in Chinese), 49(6): 1720-1729. |
| [36] | Ruan A G, Li J B, Hao T Y, et al. 2006. Inversion of far-field seismic waves at Shidao Seismographic Station. Acta Oceanologica Sinica (in Chinese), 28(2): 29-52. |
| [37] | Ruan A G, Li J B, Lee C S, et al. 2012. Passive seismic experiment and ScS wave splitting in the southwestern subbasin of South China Sea. Chinese Science Bulletin, 57(25): 3381-3390, doi: 10.1007/s11434-012-5132-0. |
| [38] | Shen C Y, Xing L L, Tan H B, et al. 2012. The absolute gravity change in the eastern margin of the Qinghai-Tibetan Plateau before and after Yushu Ms7.1 earthquake in 2010. Progress in Geophys. (in Chinese), 27(6): 2348-2357, doi: 10.6038/j.issn.1004-2903.2012.06.010. |
| [39] | Shi X B, Zhou D, Zhang Y X. 2000. Continental margin of the Northern South China Sea lithospheric thermo rheological structure. Chinese Science Bulletin (in Chinese), 45(15): 1660-1665. |
| [40] | Shi X B, Zhou D, Qiu X L, et al. 2002. Thermal and rheological structures of the Xisha Trough, South China Sea. Tectonophysics, 351(4): 285-230. |
| [41] | Shi X, Zhou D, Qiu X, et al. 2002. Density, themal and rheological structures of Xisha Trough, South China Sea. Journal of Tropical Oceanography (in Chinese), 21(2): 23-31. |
| [42] | Shi X B, Qiu X L, Xia K Y, et al. 2003. Heat flow characteristics and its tectonic significance of South China Sea. Journal of Tropical Oceanography (in Chinese), 22(2): 63-73. |
| [43] | Silver P G. 1996. Seismic anisotropy beneath the continents: probing the depths of geology. Annual Review of Earth and Planetary Sciences, 24: 385-432. |
| [44] | Sun X M, Zhang X Q, Zhang G C, et al. 2014. Texture and tectonic attribute of Cenozoic basin basement in the northern South China Sea. Science China: Earth Sciences, 57: 1199-1211, doi: 10.1007/s11430-014-4835-2. |
| [45] | Sun D S, Lin W R, Cui J W, et al. 2014. Three-dimensional in situ stress determination by anelastic strain recovery and its application at the Wenchuan Earthquake Fault Scientific Drilling Hole-1 (WFSD-1). Science China Earth Sciences, 57(6): 1212-1220. |
| [46] | Tang X Y, Hu S B, Zhang G C, et al. 2014. Geothermal characteristics and hydrocarbon accumulation of the northern marginal basins, South China Sea. Chinese J. Geophys. (in Chinese), 57(2): 572-585, doi: 10.6038/cjg20140221. |
| [47] | Tung Y L, Lawrence A L. 1995. Cenozoic plate reconstruction of Southeast Asia. Tectonophysics, 251(1-4): 85-139. |
| [48] | Wang J. 2012. Modern movement and deformation in the South China Sea show by GPS measurements and numerical simulation (in Chinese). Beijing: Thesis of Graduate School of Chinese Academy of Science. |
| [49] | Wang C H, Guo Q L, Song C K, et al. 2014. Stress build-up in the shallow crust before the Lushan earthquake based on the in-situ stress measurements. Chinese J. Geophys. (in Chinese), 57(1): 102-114, doi: 10.6038/cjg20140110. |
| [50] | Wang C Y, Chang L J, Ding Z F, et al. 2014. Upper mantle anisotropy and crust-mantle deformation pattern beneath the Chinese mainland. Science China Earth Sciences, 57(1): 132-143, doi: 10.1007/s11430-013-4675-5. |
| [51] | Wei B Z, Chung W Y. 1995. Strike-slip faulting on the northern margin of the South China Sea: Evidence from two earthquakes offshore of Hainan Island, China, in December 1969. Tectonophysics, 241(1-2): 55-66. |
| [52] | Wei X D, Zhao M H, Ruan A G, et al. 2011. Crustal structure of shear waves and its tectonic significance in the mid-northern continental margin of the South China Sea. Chinese J. Geophys. (in Chinese), 54(12): 3150-3160, doi: 10.3969/j.issn.0001-5733.2011.12.015. |
| [53] | Wissmann G, Kudrass H, Hinz K. 1996. Continuing rifting on the South China margin. Geowissenschaften, 16(7-8): 310-312. |
| [54] | Wu M L, Zhang Y Q, Liao C T, et al. 2009. Preliminary results of in-situ stress measurements along the Longmenshan fault zone after the Wenchuan Ms8.0 earthquake. Acta Geologica Sinica (English Edition), 83(4): 746-753. |
| [55] | Wu M L, Liao C T. 2000. Stress measurements and study of stability of the Damao tunnel. Journal of Geomechanics (in Chinese), 6(2): 71-76. |
| [56] | Wu Z L, Li J B, Ruan A G, et al. 2012. Crustal structure of the northwestern sub-basin, South China Sea: Results from a wide-angle seismic experiment. Sci China Earth Sci., 55(1): 159-172, doi: 10.1007/s11430-011-4324-9. |
| [57] | Xu H L, Ye C M, Qiu X L, et al. 2010. Studies on the Binhai fault zone in the northern South China Sea by the deep geophysical exploration and its seismogenic structure. South China Journal of Seismology (in Chinese), 30(supp.): 10-18. |
| [58] | Xu M J, Wang L S, Liu J H, et al. 2005. Study on crust and upper mantle structure in Ailaoshan-Honghe faults zone from receiver functions. Science in China: Series D Earth Sciences (in Chinese), 35(8): 729-737. |
| [59] | Xu Y, Yang X T, Liu J H. 2013. Tomographic study of crustal velocity structures in the Yunnan region southwest China. Chinese J. Geophys. (in Chinese), 56(6): 1904-1914, doi: 10.6038/cjg20130613. |
| [60] | Yao B C, Zeng W J, Chen Y Z, et al. 1994. Xisha Trough of South China Sea-An ancient suture. Marine Geology & Quaternary Geology (in Chinese), 14(1): 1-10. |
| [61] | Yao B C, Wan L. 2010. Variation of the lithospheric thickness in the South China Sea area and its tectonic significance. Geology in China (in Chinese), 37(4): 888-899. |
| [62] | Zandt G, Ammon C J. 1995. Continental crust composition constrained by measurements of crustal Poisson's ratio. Nature, 374(6518): 152-154. |
| [63] | Zhang J, Wang J Y. 2000a. The deep thermal characteristics of continental margin of northern South China Sea. Chinese Science Bulletin (in Chinese), 45(10): 1095-1100. |
| [64] | Zhang J, Wang J Y. 2000b. The geodynamic characteristics of the tectonic extension of the northern South China Sea continental margin. Science in China: Series D Earth Sciences (in Chinese), 30(6): 561-567. |
| [65] | Zhang Z J, Liu Y F, Zhang S F, et al. 2009. Crustal P-wave velocity structure and layering beneath Zhujiangkou-Qiongdongnan basins, the northern continental margin of South China Sea. Chinese J. Geophys. (in Chinese), 52(10): 2461-2471, doi: 10.3969/j.issn.0001-5733.2009.10.005. |
| [66] | Zhang Z J, Liu Y F, Zhang S F, et al. 2010. The depth-dependence of crustal extension beneath Qiongdongnan basin area and its tectonic implications. Chinese J. Geophys. (in Chinese), 53(1): 57-66, doi: 10.3969/j.issn.0001-5733.2010.01.007. |
| [67] | Zhang C Y, Wu M L, Liao C T. 2013. In-situ stress measurement and study of stress state characteristics of Jinchuan No.3 mine. Rock and Soil Mechanics (in Chinese), 34(11): 3254-3260. |
| [68] | Zhang C Y, Wu M L, Chen Q C, et al. 2014. Piezomagnetic in-situ stress monitoring and its application in the Longmenshan Fault Zone. Acta Geologica Sinica (English Edition), 88(5): 1592-1602. |
| [69] | Zhao B, Zhang S F, Li S L. 2011. Crustal density and composition models beneath Qiongdongnan basin. Chinese J. Geophys. (in Chinese), 54(1): 98-107, doi: 10.3969/j.issn.0001-5733.2011.01.011. |
| [70] | Zheng Y J, Huang Z X, Peng Y J. 2004. The upper mantle anisotropy and its tectonic implication in the continental margin of China. // Li J B, Gao S, eds. The Evolution of Sea Basin and Resources Effects of Chinese Margin Sea. 3rd Volume of the Series Researches on the Evolution of Chinese Margin Sea (in Chinese). Beijing: Oceanography Press, 3-8. |
| [71] | Zhong G J, Feng C M, Wei Z Q. 2012. The structural features of Xisha trough basin. Marine Geology & Quaternary Geology (in Chinese), 32(3): 63-68. |
| [72] | Zoback M D, Rummel F, Jung R, et al. 1977. Laboratory hydraulic fracturing experiments in intact and pre-fractured rock. International Journal of Rock Mechanics and Mining Sciences & Geomechanics Abstracts, 14(2): 49-58. |
| [73] | Zoback M L, Zoback M D, Adams J, et al. 1989. Global patterns of tectonic stress. Nature, 341(6240): 291-298. |
| [74] | Zoback M L. 1992. First-and second-order patterns of stress in the lithosphere: the World Stress Map Project. Journal of Geophysical Research, 97(B8): 111703-111728. |
| [75] | 曹敬贺, 孙金龙, 徐明辉等. 2014. 珠江口海域滨海断裂带的地震学特征. 地球物理学报, 57(2): 498-508, doi: 10.6038/cjg20140215. |
| [76] | 常利军, 王椿镛, 丁志峰. 2009. 中国东部上地幔各向异性研究. 中国科学: 地球科学, 39(9): 1169-1178. |
| [77] | 陈群策, 丰成君, 孟文等. 2012. 5.12汶川地震后龙门山断裂带东北段现今地应力测量结果分析. 地球物理学报, 55(12): 3923-3932, doi: 10.6038/j.issn.0001-5733.2012.12.005. |
| [78] | 陈群策, 范桃园, 李绪深等. 2014. 中国南海海域北部地区现今地应力实测及综合分析研究. 地球物理学报, 57(8): 2518-2529, doi: 10.6038/cjg20140813. |
| [79] | 丰成君, 陈群策, 谭成轩等. 2013. 广东核电站地应力测量及其应用. 岩土力学, 34(6): 1745-1752. |
| [80] | 高延光, 李永华. 2014. 中国东北—华北地区地壳厚度与泊松比及其地质意义. 地球物理学报, 57(3): 847-857, doi: 10.6038/cjg20140314. |
| [81] | 龚再升, 李思田, 谢太俊等. 1997. 南海北部大陆边缘盆地分析与油气聚集. 北京: 科学出版社, 27-41. |
| [82] | 郭啟良, 王成虎, 马洪生等. 2009. 汶川MS8.0级大震前后的水压致裂原地应力测量. 地球物理学报, 52(5): 1395-1401, doi: 10.3969/j.issn.0001-5733.2009.05.029. |
| [83] | 郝天珧, 徐亚, 赵百民等. 2009. 南海磁性基底分布特征的地球物理研究. 地球物理学报, 52(11): 2763-2774, doi: 10.3969/j.issn.0001-5733.2009.11.011. |
| [84] | 黄海波, 丘学林, 胥颐等. 2011a. 利用远震接收函数方法研究南海西沙群岛下方地壳结构. 地球物理学报, 54(11): 2788-2798, doi: 10.3969/j.issn.0001-5733.2011.11.009. |
| [85] | 黄海波, 丘学林, 徐辉龙等. 2011b. 南海西沙地块岛屿地震观测和海陆联测初步结果. 地球物理学报, 54(12): 3161-3170, doi: 10.3969/j.issn.0001-5733.2011.12.016. |
| [86] | 纪立东, 张宏伟, 肖凡等. 2012. 永兴岛基准站的绝对重力测定. 北京测绘, (6): 54-56. |
| [87] | 纪立东, 张宏伟, 肖凡等. 2014. 永兴岛基准站的重复绝对重力测量研究. 测绘科学, 39(2): 11-13, 36. |
| [88] | 雷超, 任建业, 佟殿君. 2013. 南海北部洋陆转换带盆地发育动力学机制. 地球物理学报, 56(4): 1287-1299, doi: 10.6038/cjg20130423. |
| [89] | 李亚敏, 罗贤虎, 徐行等. 2010. 南海北部陆坡深水区的海底原位热流测量. 地球物理学报, 53(9): 2161-2170, doi: 10.3969/j.issn.0001-5733.2010.09.016. |
| [90] | 李延兴, 张静华, 周伟等. 2010. 南海及周围地区的现今构造运动. 大地测量与地球动力学, 30(3): 10-16. |
| [91] | 林长松, 唐勇, 谭勇华. 2009. 南海西缘断裂带右行走滑的地球动力学机制. 海洋学报, 31(1): 159-167. |
| [92] | 刘以宣, 詹文欢, 丘学林等. 1993. 南海及邻域现代构造应力场与近代地壳运动及地壳稳定性研究. 华南地震, 13(1): 11-21. |
| [93] | 秦国权. 1987. 西沙群岛“西永一井”有孔虫组合及该群岛珊瑚礁成因初探. 热带海洋, 6(3): 10-20. |
| [94] | 秦向辉, 张鹏, 丰成君等. 2014. 北京地区地应力测量与主要断裂稳定性分析. 地球物理学报, 57(7): 2165-2180, doi: 10.6038/cjg20140712. |
| [95] | 丘学林, 曾钢平, 胥颐等. 2006. 南海西沙石岛地震台下的地壳结构研究. 地球物理学报, 49(6): 1720-1729. |
| [96] | 阮爱国, 李家彪, 郝天珧等. 2006. 石岛地震台远震记录反演研究. 海洋学报, 28(2): 85-92. |
| [97] | 阮爱国, 李家彪, 李昭兴等. 2012. 南海西南次海盆海底地震仪天然地震观测及ScS 波分裂. 科学通报, 57(13): 1147-1156. |
| [98] | 申重阳, 邢乐林, 谈洪波等. 2012. 2010 玉树Ms7.1 地震前后青藏高原东缘绝对重力变化. 地球物理学进展, 27(6): 2348-2357, doi: 10.6038/j.issn.1004-2903.2012.06.010. |
| [99] | 施小斌, 周蒂, 张毅祥. 2000. 南海北部陆缘岩石圈热-流变结构. 科学通报, 45(15): 1660-1665. |
| [100] | 施小斌, 周蒂, 张毅祥等. 2002. 南海西沙海槽岩石圈的密度结构与热-流变结构. 热带海洋学报, 21(2): 23-31. |
| [101] | 施小斌, 丘学林, 夏戡原等. 2003. 南海热流特征及其构造意义. 热带海洋学报, 22(2): 63-73. |
| [102] | 孙晓猛, 张旭庆, 张功成等. 2014. 南海北部新生代盆地基底结构及构造属性. 中国科学: 地球科学, 44(6): 1312-1323. |
| [103] | 唐晓音, 胡圣标, 张功成等. 2014. 南海北部大陆边缘盆地地热特征与油气富集. 地球物理学报, 57(2): 572-585, doi: 10.6038/cjg20140221. |
| [104] | 王椿镛,常利军,丁志峰. 2014. 中国大陆上地幔各向异性和壳幔变形模式. 中国科学:地球科学, 44(1): 98-110. |
| [105] | 王静. 2012. 南海现代构造应力场分析与研究[博士论文]. 北京: 中国科学院研究生院. |
| [106] | 王成虎, 宋成科, 郭启良等. 2014. 利用原地应力实测资料分析芦山地震震前浅部地壳应力积累. 地球物理学报, 57(1): 102-114, doi: 10.6038/cjg20140110. |
| [107] | 卫小冬, 赵明辉, 阮爱国等. 2011. 南海中北部陆缘横波速度结构及其构造意义. 地球物理学报, 54(12): 3150-3160, doi: 10.3969/j.issn.0001-5733.2011.12.015. |
| [108] | 吴满路, 廖椿庭. 2000. 大茅隧道地应力测量及围岩体稳定性研究. 地质力学学报, 6(2): 71-76. |
| [109] | 吴振利, 李家彪, 阮爱国等. 2011. 南海西北次海盆地壳结构: 海底广角地震实验结果. 中国科学: 地球科学, 41(10): 1463-1476. |
| [110] | 徐辉龙, 叶春明, 丘学林等. 2010. 南海北部滨海断裂带的深部地球物理探测及其发震构造研究. 华南地震, 30(增刊): 10-18. |
| [111] | 徐鸣洁, 王良书, 刘建华等. 2005. 利用接收函数研究哀牢山—红河断裂带地壳上地幔特征. 中国科学(D辑), 35(8): 729-737. |
| [112] | 胥颐, 杨晓涛, 刘建华. 2013. 云南地区地壳速度结构的层析成像研究. 地球物理学报, 56(6): 1904-1914, doi: 10.6038/cjg20130613. |
| [113] | 姚伯初, 曾维军, 陈艺中等. 1994. 南海西沙海槽, 一条古缝合线. 海洋地质与第四纪地质, 14(1): 1-10. |
| [114] | 姚伯初, 万玲. 2010. 南海岩石圈厚度变化特征及其构造意义. 中国地质, 37(4): 888-899. |
| [115] | 张健, 汪集旸. 2000a. 南海北部大陆边缘深部地热特征. 科学通报, 45(10): 1095-1100. |
| [116] | 张健, 汪集旸. 2000b. 南海北部陆缘带构造扩张的深部地球动力学特征. 中国科学(D辑), 30(6): 561-567. |
| [117] | 郑月军, 黄忠贤, 彭艳菊. 2004. 中国边缘海上地幔各向异性及其构造意义. //李家彪, 高抒. 中国边缘海海盆演化与资源效应. 北京: 海洋出版社, 3-8. |
| [118] | 张中杰, 刘一峰, 张素芳等. 2009. 南海北部珠江口—琼东南盆地地壳速度结构与几何分层. 地球物理学报, 52(10): 2461-2471, doi: 10.3969/j.issn.0001-5733.2009.10.005. |
| [119] | 张中杰, 刘一峰, 张素芳等. 2010. 琼东南盆地地壳伸展深度依赖性及其动力学意义. 地球物理学报, 53(1): 57-66, doi: 10.3969/j.issn.0001-5733.2010.01.007. |
| [120] | 张重远, 吴满路, 廖椿庭. 2013. 金川三矿地应力测量及应力状态特征研究. 岩土力学, 34(11): 3254-3260. |
| [121] | 赵兵, 张素芳, 李守林. 2011. 琼东南盆地区的地壳密度与岩石结构. 地球物理学报, 54(1): 98-107, doi: 10.3969/j.issn.0001-5733.2011.01.011. |
| [122] | 钟广见, 冯常茂, 韦振权. 2012. 南海西沙海槽盆地地质构造特征. 海洋地质与第四纪地质, 32(3): 63-68. |
2015, Vol. 58










