The method of wavelet analysis was used to analyze the 2-day planetary waves in the MLT region over the Kunming station from Nov 2008 to Mar 2009. Meanwhile, we utilized the harmonic fitting to find the variations of diurnal tide, semidiurnal tide and terdiurnal tide produced by SSW. Finally, we modeled the movement process of the Es layer from the height of 200 km to lower altitude under the diurnal tide wind and semidiurnal tide wind based on the theory of wind shear.
Firstly, excluding the influence of solar and geomagnetic activities on the Es-layer, we used wind waves and tides activities in the MLT region and found that there were obvious 2-day planetary waves, diurnal tide has been weaker and semidiurnal tide has been stronger during this SSW. Then, we investigated the changes of the Es-layer over the Chongqing and Kunming stations, showed that the intensity of Es-layer was weakened and the height was increased, which happened at the same time with the disturbances in the lower atmosphere. Finally, through simulating the convergences and paths of metal ions of the Es layer, we reconstructed the coupling process of the Es layer and lower atmosphere in this SSW period.
During the SSW, because of the variations of the wind field in the MLT region and Es-layer, diurnal tide has been weaker and semidiurnal tide has been stronger, while the height of the Es-layer increased and the critical frequency for Es decreased. The results of simulation are consistent with the observation. It can be inferred that the Es-layer may be a coupling approach between the lower atmosphere and the upper atmosphere.
1 引言
平流层爆发性增温(Stratospheric Sudden Warming,SSW)是发生在高纬平流层高度气温急剧升高的现象,通常在几天内温度升高几十开尔文,最早是由德国科学家Scherhag(1952)发现.1977年至1980年之间,Holton(1980)对其发生机制从理论和观测上给出了详细论证,认为与行星波的异常发展有关.这种异常发展的行星波在SSW之前就已经产生,其向上传播过程中与基本流发生相互作用,发生破碎,能量被释放,最终导致平流层温度在短时间内急剧升高,即发生SSW.
电离层作为地球大气的高层部分,与低层大气密切相关.统计表明,白天20%左右的电离层变化与低层大气的波动(行星波、重力波和大气潮汐等)活动有关(雷霄龙等,2012),且SSW期间由于行星波的发展、温度场和风场等的变化,致使潮汐被调制,这对电离层的变化起到重要作用,亦为研究低层-中层-高层大气耦合提供了一种可能途径.多国学者(Vineeth et al., 2009a,2009b;Goncharenko et al., 2010;Liu et al., 2011;Rodrigues et al., 2011;Sumod et al., 2012)均发现SSW期间赤道电急流(Equatorial Electrojet,EEJ)在下午时分会发生反转,产生反转电急流;Park和Lühr(2012),Sripathi和Bhattacharyya(2012)等则发现伴随EEJ的变化,电离层TEC和foF2均表现出上午增强下午减弱的半日周期变化;Chau等(2009)则利用Arecibo站和Jicamarca站非相干散射雷达数据分析2008年1月至2月的SSW期间电离层的变化,发现上午等离子体以较快的速度向上漂移,下午则发生转向.诸多研究成果表明,SSW期间电离层表现出明显的半日变化,认为这一现象与潮汐被调制有关(Sridharan et al., 2009; Park et al., 2012; Chen et al., 2012).
突发E层(Sporadic E,Es)是存在于80~120 km 非常薄(数公里)的强电离层(熊年禄等,1999).在对中纬Es层形成机制的理论解释中,Dungey(1958)首次提出了风剪切理论的基本思想,经过Whitehead(1961)和Axford(1961)的发展和完善,该理论得到大多数专家的认可.Reddy和Matsushita(1968a)则通过测量电离成分、密度和风速的火箭实验数据发现,E层还存在含有铁、镁和钠等金属离子的薄离子层,这一发现使得Es层的存在最终成为了现实.在该理论的基础上,进一步研究表明,潮汐是经典风剪切理论中诱发金属离子汇聚形成Es层的主要驱动力(Reddy and Rao, 1968b).
综上所述,SSW期间,电离层TEC、foF2和等离子体漂移等均会发生显著变化.与此同时,低层大气的变化,改变了潮汐和风剪切作用.受此影响,电离层Es层可能会发生相应的变化.本文以2009年1月SSW事件为例,分析Es层的变化及其对低层大气变化的响应特性,并在此基础上探索低层-中层-高层大气的耦合过程.本文所使用的风场数据来自于中国电波传播研究所于2007年底在云南昆明(25.6°N,103.8°E)建设的中频雷达观测结果,垂测数据为电波环境观测网昆明、重庆、广州和海南等站的观测结果,温度数据则来自于Aura卫星的MLS(Microwave Limb Sounder,MLS)观测结果和NCEP/NCAR再分析数据. 2 环境背景分析
图 1a给出2009年1月1日至2月10日SSW期间80°N纬向圈,100 km高度以下的平均温度演化图.由该图可知,此次SSW事件自1月初开始于60 km高度处,15日后增温现象向下延伸,直至23日30 km高度上增温达50 K.图 1b给出2009年1月23日北半球10 hPa等压面的北半球纬向风场变 化.可见,该日北极区风场由盛行的西向风反转为东向风.根据SSW事件的定义(Goncharenko et al., 2013),这是一次典型的强SSW事件.在此次SSW期间,10.7 cm太阳射电流量F10.7不超过75sfu,且地磁Dst指数高于-20 nT,即太阳和地磁活动基本平静.为分析低层大气变化与Es层的耦合效应,首先利用中频雷达的风场数据,对84~96 km高度范围内的行星波进行分析.该风场数据记录的时间分辨率为3 min,其中前2 min为风场观测,包括经向风和纬向风,最后1 min为电子密度观测,故原始数据的时间分辨率为3 min.考虑到数据缺失的情况,本文首先将3 min时间 分辨率数据进行初步处理转换为1 h时间分辨率,并又对1 h时间分辨率数据进行数据平滑和线性插值.图 2即为1月1日至2月10日期间风场各高度小波分析变化图谱,白色虚线表示爆发性增温峰值日.由图可知,自1月22日开始,84~92 km高度范围内经向风和纬向风均发现准2日行星波,且随着高度的升高其能量逐渐减弱,待到达96 km高度处基本消失,该准2日行星波一直持续到1月29日结束.基于前人的研究成果(Azeem et al., 2005; Sathishkumar et al., 2009; Chen et al., 2012; Goncharenko et al., 2013),本文认为这一现象可能与此次爆发性增温有关.同时发现准2日行星波增强期间周日潮汐显著减弱,下面我们进一步分析大气潮汐的变化.
![]() | 图 1 (a)2009年1月SSW期间80°N纬度圈平均温度变化图;(b)1月23日10 hPa北半球纬向风场 Fig.1 (a)The average temperature of 80°N during SSW in Jan 2009;(b)The wind field at altitude of 10 hPa on Jan 23th |
![]() | 图 2 昆明站84~96 km高度风场小波分析 Fig. 2 The wavelet analysis of wind at latitude range 84~96 km at Kunming station |
在80~120 km高度范围内,潮汐亦是主要波动成分.24 h和12 h潮汐分量是其主要的周期分量,而8 h和6 h分量则相对较弱(Gong et al., 2013).Gong和Zhou(2011)利用Arecibo站非相干散射雷达分析2010年1月期间低纬地区8 h潮汐分量,发现其在E层和F层均是主要的潮汐分量.因此,本文利用谐波拟合方法(时间窗口为96 h,步长为24 h)提取了2008年11月1日至2009年3月1日之间潮汐24 h、12 h和8 h的潮汐分量(Zhao et al., 2012),如图 3所示.其中,图 3a,3b,3c分别表示日潮汐、半日潮汐和8 h潮汐分量振幅,图 3d,3e,3f分别对应日潮汐、半日潮汐和8 h潮汐的相位,白色虚线则表示爆发性增温峰值日.由图可知,2009年1月初80 km高度以上的日潮汐振幅锐减,由平均30~40 m·s-1迅速衰减为5~10 m·s-1,其相位则在2008年底至2009年2月初均显著减小;与此同时,80 km以上高度半日潮汐振幅明显增强,由平均10 m·s-1增加到20~30 m·s-1,甚至高于日潮汐的振幅,相位则明显减弱;而8 h潮汐分量的振幅和相位无明显变化.
由此可知,2009年1月SSW期间,太阳和地磁活动基本平静,80 km以上高度低层大气变化比较剧烈,主要表现为准2日行星波异常增强、日潮汐振幅减弱和半日潮汐振幅增强.因此,在此期间,电离层的变化与太阳和地磁活动无太大相关性,下文主要分析其与低层大气变化的耦合效应.
![]() | 图 3 昆明站70~100 km高度三潮汐分量振幅(a,b,c)和相位(c,d,e)谐波拟合结果 Fig. 3 The fitting results of amplitudes(a,b,c) and phases(c,d,e) of three tidal components at latitude range 70~100 km at Kunming station |
根据风剪切理论,潮汐的变化势必导致Es层的变化.为此,选取中国电波传播研究所电波环境观测网中距离昆明中频雷达较近的昆明、重庆、广州和海南等四站的电离层垂测foEs数据进行分析.foEs是指Es层的临界频率,其采样率为1 h时间分辨率.图 4给出2009年1月SSW期间foEs的时变曲线,其中黑色实线表示1月16日至30日的每小时观测值;灰色实线表示背景参考值,由1月9日至1月15日的均值获得;虚线框部分则表示增温峰值时段(1月22日至24日).由图可知,1月20日至27日期间,各站电离层foEs变化比较稳定.其中,1月20日至27日昆明站foEs均小于背景值.类似现象还发生在1月18日至1月25日之间的重庆站、1月22日至26日广州站和1月22日至24日的海南站.随后,利用小波变换分析其周期变化,结果如图 5所示.其中,白色虚线表示增温峰值日.可见,自1月20日后昆明站foEs日变化明显减弱.这与昆明站附近底层大气日潮汐振幅减小几乎同时发生.重庆站foEs日变化减弱的开始时间约为1月19日,而海南站和广州站并未观测到类似的现象.同时,这四个台站foEs亦未发现2日行星波周期的变化.
![]() | 图 4 2009年1月SSW期间foEs的时变曲线 Fig. 4 The change curves of foEs during SSW in Jan 2009 |
![]() | 图 5 昆明、重庆、广州和海南站foEs小波分析 Fig. 5 The wavelet analysis of foEs at Kunming,Chongqing,Guangzhou and Hainan stations |
为进一步分析Es层的变化,本文对重庆和昆明站附近Es层虚高h′Es进行分析,但由于该参数数据缺失较为严重,因此分析前先对该数据进行了线性插值.图 6即为h′Es线性插值后的变化情况,浅灰色实线、浅灰色圆点线、深灰色实线和深灰色圆点线分别表示1月21日、1月25日、1月29日和2月1日的h′Es变化曲线,黑色圆点线则表示控制日值,由1月9日至1月15日的中值获得.由图可知,h′Es在每日上午08 ∶ 00—10 ∶ 00LT之间有一个峰值,之后逐渐降低;而在SSW期间10 ∶ 00LT后Es层抬升幅度逐渐增大,午后至下午时分达到最大,其最大涨幅可达50 km.该现象正与foEs减小的时间基本吻合.
![]() | 图 6 昆明站和广州站SSW期间h′Es的变化曲线 Fig. 6 The change curves of h′Es during SSW at Kunming and Guangzhou stations |
由以上分析可知,此次SSW期间,地处中低纬的昆明和重庆站地区Es层发生显著变化,即Es层强度减弱,同时伴随高度的抬升.下节将通过模拟金属离子的汇聚过程和运动轨迹,对该现象给出进一步的解释. 4 分析与讨论
中高层大气中,由于重力波、潮汐、行星波等因素的影响,在100 km左右高度会产生风剪切,从而使得金属离子汇聚生成Es层.本文根据左小敏和万卫星(2003),谭辉(2004)模拟的Es形成过程,从连续性方程出发,忽略了科里奥利加速度和重力加速度对离子运动的影响,得出离子运动速度的表达式为(Sathishkumar et al., 2009):


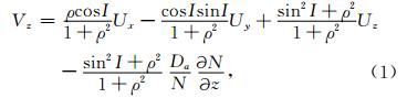
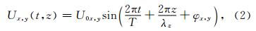
结合中频雷达风场的观测结果,选择合适的输 入参数代入方程(1),以半日潮汐为例,T=12 h,当波模为(2,4)时,λz=40 km,取U0x=U0y=25 m·s-1.假设半日潮汐初始时刻水平风分量在115 km高度上存在汇聚结点,可得出φx=-3π/4,φy=π/4.同理,可得日潮汐输入参量.图 7给出半日潮汐条件下Es层的汇聚过程,初始时刻(t=0)各个高度金属离子的相对密度为10,每10 min绘制一条金属离子密度随高度的变化曲线,虚线即表示t=1 h的金属离子密度曲线.可见,随着时间的积累,离子汇聚浓度逐渐增大,即Es层强度逐渐增强.在此基础上,结合上文中日潮汐和半日潮汐振幅在此次SSW前后的变化值,分别模拟半日潮汐和日潮汐在不同振幅条件下金属离子的运动轨迹,如图 8所示.其中,半日潮汐振幅分别取10 m·s-1和30 m·s-1;日潮汐振幅分别取5 m·s-1和40 m·s-1.由图可知,无论是半日潮汐还是日潮汐,潮汐振幅越大越有利于离子下移,离子的下移速度也越快;反之亦然.由此可知,当低层大气日潮汐振幅减弱,半日潮汐振幅增强时,将直接导致日潮汐Es下移减慢,半日潮汐Es层下移加快.
![]() | 图 7 半日潮汐金属离子汇聚过程模拟结果 Fig. 7 The simulated results of semidiurnal tidal metal ions convergence process |
![]() | 图 8 不同潮汐振幅U0的离子运动轨迹模拟结果 (a)12 h潮汐;(b)24 h潮汐. Fig. 8 The simulated results of trajectory of metal ion at different amplitudes (a)12 h tide;(b)24 h tide. |
Haldoupis和Pancheva(2002),Haldoupis等(2006)分析Es层的形成过程中发现,每日06 ∶ 00LT和18 ∶ 00LT在200 km高处分别形成白天半日Es薄层和夜间半日Es薄层.之后Es薄层逐渐下移.夜间Es薄层上午时分到达120 km高度处,并与日潮汐Es薄层汇合,汇合后继续向下运动,直至完全消失.因此,当处于较高处的半日Es层下移速度加快,而处于较低位置的日潮汐Es下移速度减慢时,将最终导致两者以较短时间在较高处汇合,从而使得Es层抬升,即h′Es高于其背景值.同时,由于两者的汇合时间缩短,导致在风剪切作用下金属离子的汇聚时间减短,最终导致Es层强度减小,即foEs减小. 5 结论
基于低层大气与中高层大气耦合过程,可能影响到电离层Es层的分析结果,对2009年1月SSW期间电离层Es层的变化特性及其与低层大气波动活动的耦合效应进行了研究,并通过模拟Es层金属离子汇聚过程和运动轨迹对其变化特性进行了分析,结果表明:
(1)此次SSW期间,84~92 km高度范围内发生明显的准2日行星波扰动,这一分析结果可能与此次爆发性增温事件有关;同时,还发现该区域内日潮汐明显减弱和半日潮汐的显著增强等现象.
(2)昆明站和重庆站地区的Es层在此次SSW期间响应最为强烈,即foEs明显减弱,h′Es显著抬升,且与低层潮汐变化同步发生;广州站和海南站地区Es层响应则相对较弱.
本文首次利用SSW期间Es层的变化特性,讨论了低层-中层-高层大气的耦合过程,为研究低层大气与中高层大气耦合提供了一种可能途径.但仅对一次SSW事件期间的Es变化进行了分析,还需结合更多例证进行更深入的探索研究,以充分论证其作为低层-中层-高层大气耦合表征的可靠性.
| [1] | Axford W I. 1961. Note on a mechanism for the vertical transport of ionization in the ionosphere. Can. J. Phys., 39(9): 1393-1396. |
| [2] | Azeem S M I, Talaat E R, Sivjee G G, et al. 2005. Observational study of the 4-day wave in the mesosphere preceding the sudden stratospheric warming events during 1995 and 2002. J. Geophys. Res.: Space Phys., 32(15): L15804, doi: 10.1029/2005GL023393. |
| [3] | Chau J L, Fejer B G, Goncharenko L P. 2009. Quiet variability of equatorial E×B drifts during a sudden stratospheric warming event.J.Geophys. Res.,36(5):L05101, doi:10.1029/2008GL036785. |
| [4] | Chen X, Hu X, Xiao C. 2012. Variability of MLT winds and waves over mid-latitude during the 2000/2001 and 2009/2010 winter stratospheric sudden warming. Ann. Geophys., 30: 991-1001. |
| [5] | Deng S M, Chen Y J. 2006. The spatial and temporal distribution of the stratospheric sudden warming. Journal of University of Science and Technology of China (in Chinese), 36(4): 445-452. |
| [6] | Dungey J W. 1958. Cosmic Electrodynamics. London: Cambridge University Press. |
| [7] | Goncharenko L P, Coster A J, Chau J L, et al. 2010. Impact of sudden stratospheric warmings on equatorial ionization anomaly. J. Geophys. Res., 115(A10): A015400, doi: 10.1029/2010JA015400. |
| [8] | Goncharenko L P, Hsu V W, Brum C G M, et al. 2013. Wave signatures in the midlatitude ionosphere during a sudden stratospheric warming of January 2010. J. Geophys. Res., 118(1): 472-487. |
| [9] | Gong Y, Zhou Q. 2011. Incoherent scatter radar study of the terdiurnal tide in the E- and F-region heights at Arecibo. Geophys. Res. Lett., 38(15): L15101, doi: 10.1029/2011GL048318. |
| [10] | Gong Y, Zhou Q H, Zhang S D. 2013. Atmospheric tides in the low-latitude E and F regions and their responses to a sudden stratospheric warming event in January 2010. J. Geophys. Res., 118(12), doi: 10.1002/2013JA019248. |
| [11] | Haldoupis C, Pancheva D. 2002. Planetary waves and midlatitude sporadic E layers: Strong experimental evidence for a close relationship. J. Geophys. Res., 107(A6): SIA 3-1-SIA 3-6. |
| [12] | Haldoupis C, Meek C, Christakis N, et al. 2006. Ionogram height-time-intensity observations of descending sporadic E layers at mid-latitude. J. Atmos. Solar-Terr. Phys., 68(3-5): 539-557. |
| [13] | Holton J R. 1980. The dynamics of sudden stratospheric warmings. Ann. Rev. Earth Planet. Sci., 8: 169-190. |
| [14] | Lei X L, Fu Y, Xue Z G, et al. 2012. Observations of the global ionospheric response during the January 2009 stratospheric sudden warming event. Chin. J. Space Sci. (in Chinese), 32(4): 513-523. |
| [15] | Liu H X, Yamamoto M, Tulasi Ram S, et al. 2011. Equatorial electrodynamics and neutral background in the Asian sector during the 2009 stratospheric sudden warming. J. Geophys. Res., 116(A8): A08308, doi: 10.1029/2011JA016607. |
| [16] | Park J, Lühr H. 2012. Effects of sudden stratospheric warming (SSW) on the lunitidal modulation of the F-region dynamo. J. Geophys. Res., 17(A9): A09320, doi: 10.1029/2012JA018035. |
| [17] | Park J, Lühr H, Kunze M, et al. 2012. Effect of sudden stratospheric warming on lunar tidal modulation of the equatorial electrojet. J. Geophys. Res., 56(A3): A03306, doi: 10.1029/2011JA017351. |
| [18] | Reddy C A, Matsushita S. 1968a. Solar cycle variation of blanketing sporadic E. J. Geophys. Res., 73(5): 1641-1660. |
| [19] | Reddy C A, Rao M M. 1968b. On the physical significance of the Es parameters of fbEs, fEs, and foEs. J. Geophys. Res., 73(1): 215-224. |
| [20] | Rodrigues F S, Crowley G, Azeem S M I, et al. 2011. C/NOFS observations of the equatorial ionospheric electric field response to the 2009 major sudden stratospheric warming event. J. Geophys. Res., 12(A9), doi: 10.1029/2011JA016660. |
| [21] | Scherhag R. 1952. Die explosion sartige stratospherener warm ungendes split winters 1951—1952. Berichte des Deutschen Wetterdienstes, 52(6): 173-178. |
| [22] | Sridharan S, Sathishkumar S, Gurubaran S. 2009. Variabilities of mesospheric tides and equatorial electrojet strength during major stratospheric warming events. Ann. Geophys., 27: 4125-4130. |
| [23] | Sripathi S, Bhattacharyya A. 2012. Quiet time variability of the GPS TEC and EEJ strength over Indian region associated with major sudden stratospheric warming events during 2005/2006. J. Geophys. Res., 117(A5): A05305, doi: 10.1029/2011JA017103. |
| [24] | Sumod S G, Pant T K, Jose L, et al. 2012. Signatures of sudden stratospheric warming on the equatorial ionosphere-thermosphere system. Planetary and Space Science, 63-64: 49-55. |
| [25] | Tan H. 2004. Simulation and statistic analysis on mid-latitude sporadic E-layers [Ph. D. thesis](in Chinese). Wuhan: Institute of Physics and Mathematics, Chinese Academy of Sciences. |
| [26] | Vineeth C, Pant T K, Kumar K K, et al. 2009a. Signatures of low latitude-high latitude coupling in the tropical MLT region during sudden stratospheric warming. J. Geophys. Res., 36(20): L20104, doi: 10.1029/2009GL040375. |
| [27] | Vineeth C, Pant T K, Sridharan R. 2009b. Equatorial counter electrojets and polar stratospheric sudden warmings—a classical example of high latitude-low latitude coupling? Ann. Geophys., 27: 3147-3153. |
| [28] | Whitehead J D. 1961. The formation of the sporadic-E layer in the temperate zones. J. Atmos. Terr. Phys., 20(1): 49-58. |
| [29] | Xiong N L, Tang C C, Li X J. 1999. Introduction to the Ionosphere Physics (in Chinese). Wuhan: Wuhan University Press. |
| [30] | Zhao L, Chen J S, Ding Z H, et al. 2012. First observations of tidal oscillations by an MF radar over Kunming (25.6°N, 103. 8°E). J. Atmos. Solar-Terr. Phys., 78-79: 44-52. |
| [31] | Zuo X M, Wan W X. 2003. The simulation analysis of mid-latitude sporadic E-layers. Chin. J. Space Sci. (in Chinese), 23(5): 371-378. |
| [32] | 雷霄龙, 符养, 薛震刚等. 2012. 2009年1月平流层爆发性增温期间全球电离层响应的研究. 空间科学学报, 32(4): 513-523. |
| [33] | 谭辉. 2004. 中纬电离层突发E层的统计特性及模拟研究[博士论文]. 武汉: 中国科学研究院武汉物理与数学研究所. |
| [34] | 熊年禄, 唐存琛, 李行健. 1999. 电离层物理概论. 武汉: 武汉大学出版社. |
| [35] | 左小敏, 万卫星. 2003. 中纬突发E层特性的模拟分析. 空间科学学报, 23(5): 371-378. |
2015, Vol. 58









