2. 中国石油大学(北京)地球科学学院, 北京 102249
2. College of Geosciences, China University of Petroleum (Beijing), Beijing 102249, China
1 引言
鄂西渝东地区一直是中国南方海相油气勘探的重要区块,也是目前页岩气勘探的热门地区.该地区晚燕山—喜马拉雅期以来长期处于隆升剥蚀状态,准确确定剥蚀量大小,尤其是剥蚀量的平面展布特征,对油气勘探研究中所面临的区带评价、资源量计算和成藏动态过程等诸多方面都具有重要意义.以往针对鄂西渝东地区的剥蚀量恢复,做过一定的研究工作并初步取得了一些有意义的研究成果.卢庆治等(2007)采用古热流反演法得到鄂西渝东地区中生界与上覆新生界之间的不整合剥蚀量为1700~4000 m.石红才等(2011)利用磷灰石与锆石(U_Th)/He年龄与磷灰石裂变径迹(AFT)、镜质组反射率(Ro)一起模拟了鄂西渝东方斗山—石柱褶皱 带侏罗纪以来的构造-热演化特征,认为在约130 Ma(晚侏罗世—早白垩世)研究区达到最高古地温,此后为持续抬升冷却过程,自晚侏罗世以来不整合面剥蚀厚度可达3500 m.由于钻井资料的有限性,现有的这些研究成果还不能准确刻画剥蚀量的平面分布特征,难以满 足区带评价、资源量计算和成藏过程定量研究的需要.
沉积盆地不整合面上地层剥蚀量恢复方法很多,按学科可分为四大类:基于古温标的地热学方法、基于地层学或沉积学原理的地质学方法、基于测井或地震数据的地球物理学方法和基于物质扩散或累积原理的地球化学方法.每类方法都有其自身的适用条件和局限性,实际应用中,必须根据盆地的发育、沉积构造演化以及不整合面分布等特征,选择最有效的方法或方法组合.在数据质量可靠的情况下、并且同时满足地层构造层序中的下构造层较上构造层经历了更高的古地温这一基本条件,古温标镜质体反射率(Ro)和磷灰石裂变径迹(AFT)古地温梯度法是首选方法(袁玉松等,2008).这些方法的对象都是针对单井,而不是面上的问题.剥蚀量平面等值线图的编制,以往通常以获得的钻井剥蚀量(钻井所处位置不整合面上的地层剥蚀量)数据为基础,采用Kriging插值法或其他插值法绘制等值线.但是,由于钻井剥蚀量数据点总是非常有限,导致剥蚀量平面等值线图常常失真很严重,不能准确反映剥蚀量的平面分布的实际状况.本文提出了一种剥蚀量平面图编制的新的思路,即:利用古温标Ro数据反演典型钻井的剥蚀量,并将钻井剥蚀量与钻井开孔层位(现今地表出露的地层层位)相关联,编制剥蚀量平面等值线图.此方法的优点是:一方面采用古温标反演定量确定了钻井点处剥蚀量的绝对值,另一方面利用地质图上现今地层实体保存状况约束剥蚀量在平面上的变化趋势,简单易行,操作方便.按此方法编制的平面图,不仅更为美观,而且可以更为准确地约束剥蚀量的区域分布特征,满足盆地模拟、资源量计算等方面定量研究的需要.
2 地质背景鄂西渝东区位于长江以南、乌江以东,建始—彭水断裂以西,包括方斗山复背斜、石柱复向斜、齐岳山复背斜、利川复向斜等4个次级构造单元(图 1),面积20600 km2(肖开华等,2001).
![]() | 图 1 鄂西渝东地区构造单元划分图 Fig. 1 Tectonic units of the Western Hubei Eastern Chongqing area |
自震旦纪以来,鄂西渝东区先后经历了澄江期、加里东期、海西期和印支期的稳定沉降,发育海相碳酸盐岩夹碎屑岩沉积建造,表现为稳定的旋回性拗陷沉积,形成了隆拗相间的古构造格局.
加里东—海西期,鄂西渝东区位于湘鄂西古凹陷向乐山龙女寺古隆起过渡的斜坡部位.志留纪末的广西运动使上志留统遭受剥蚀,上、下古生界不同层位的地层相接触.石炭纪末云南运动导致地壳隆升,石炭系广泛遭受剥蚀,形成多个构造剥蚀窗(付宜兴,2000).加里东—海西期以差异升降运动为主,沉积地层之间表现为整合或假整合接触.
印支运动使全区整体抬升,结束海侵历史,三叠系中统遭受不同程度的剥蚀,并形成了石柱古隆起和开江古隆起(盛贤才等,2004),从三叠系中统残 存厚度看,石柱古隆起的幅度约300 m(盛贤才等,2004),隆起高点在石柱一带,凹陷中心在龙驹坝一带.
燕山—喜山期,进入陆相沉积发育阶段.晚三叠世—侏罗纪本区再次沉降,接受了三叠系上统—侏罗纪沉积.早燕山期以沉降和沉积为主,晚燕山期的拉张断陷活动只影响到齐岳山高陡构造带以东,并未波及到鄂西渝东区的石柱复向斜和方斗山复背斜;喜山早期,因印度板块向中国板块俯冲加剧,其产生的强烈挤压应力越过川西龙门山经四川盆地波及鄂西渝东地区,在燕山期先成构造上,形成了现今的北东—北东东向隆拗相间的构造格局(付宜兴,2000).
2.2 沉积特征鄂西渝东地区纵向上存在侏罗系—三叠系中统(T2-J)、三叠系下统飞仙关组—泥盆系(D-T1)及奥陶系—震旦系(Z-O)三个变形层.三个变形层之间存在嘉陵江组(T1j)及志留系(S)两套塑性层,由于塑性层的柔皱和断层滑脱,造成三个变形层的构造变形变位程度存在明显差异,产生了上、下变形的不协调现象.三叠系下统飞仙关组—泥盆系构造层变形最为强烈,奥陶—震旦系变形层构造变形次之,侏罗系—三叠系中统构造层变形相对较弱(胡纯心等,2000).地层展布上,除方斗山、齐岳山高陡构造带出露少量古生代地层外,复向斜内大片以侏罗系为主的中生代地层.整个鄂西渝东地区未见白垩纪地层,但从侏罗纪的镜质体反射率来看,应该至少有过早白垩世沉积,下白垩统后期全部剥蚀殆尽.磷灰石裂变径迹反演结果表明,鄂西渝东地区晚期抬升剥蚀的时间始于大约97 Ma(早白垩世末)(Yuan et al., 2010),据此推断,该地区也应该有过早白垩世沉积发育.
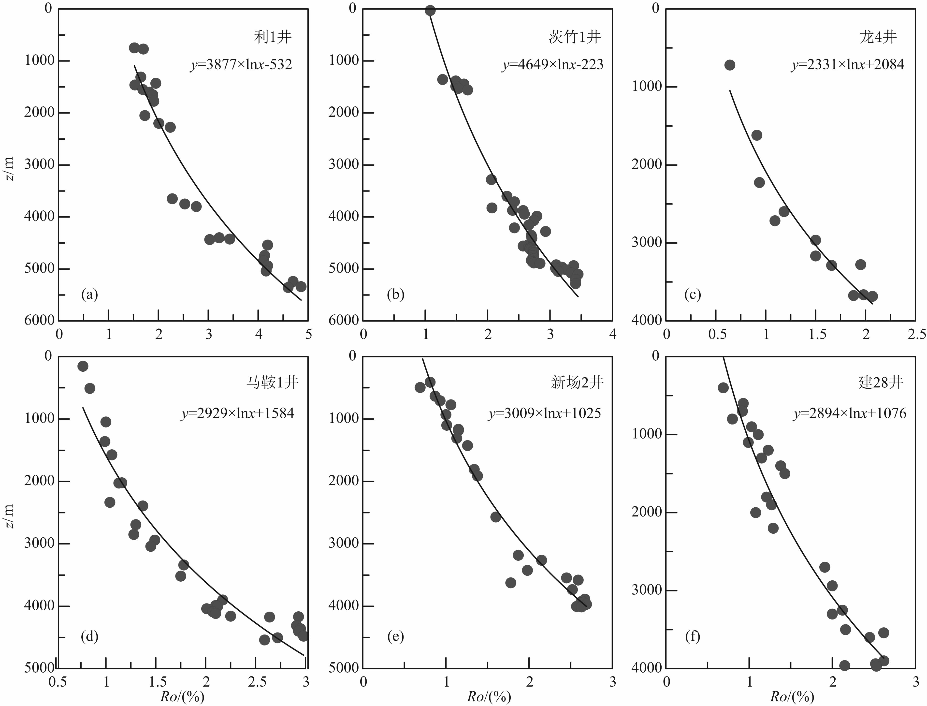
3 剥蚀量恢复 3.1 古温标Ro剖面特征鄂西渝东地区钻井Ro剖面具有基本一致的特征,无论顶部出露地表的地层是中侏罗统、下侏罗统、三叠系还是古生界,马鞍1井、太1井、茶园1井、新场2井、茨竹1井、利1井的Ro剖面都不存在明显“错断”和“跳跃”现象(图 2).
![]() | 图 2 鄂西渝东地区古温标Ro剖面图 Fig. 2 Paleothermal indicator Ro profile of boreholes in the Western Hubei Eastern Chongqing area |
样品现今实测Ro值与其现今埋深之间存在明显的相关性,说明样品没有经历过异常热事件的影响.或者说,至少早期热事件和早期的不整合面上地层剥蚀量对有机质热演化的作用已被上覆沉积地层的埋深增温作用所掩盖,地层埋深是有机质热演化程度的决定因素.鄂西渝东地区地表出露的侏罗纪地层的Ro为0.5%~1.2%之间,地表地层经历的最高古地温为70~130 ℃,而现今地表温度为15 ℃,降温幅度达55~115 ℃,可见,鄂西渝东地区晚燕山—喜马拉雅期的挤压隆升剥蚀作用强烈,地层剥蚀量较大.
3.2 钻井剥蚀量恢复古温标Ro反演法(胡圣标等,1999)计算剥蚀量的原理如图 3.该方法首先利用EASYRo%平行化学反应模型(Sweeney et al., 1990),将Ro值转换成最高古地温值,然后以构造层为单位,将古地温值与其对应深度进行线性回归,求得各构造层的古地温梯度和相应的古地表温度,再求取剥蚀厚度:
He=(Tpeak—Ts)/(dT/dz),
式中,He为剥蚀厚度,Tpeak为构造层在不整合面处的最高古地温,Ts为古地表温度,(dT/dz)为最高古地温时的地温梯度.
![]() | 图 3 古地温梯度法计算地层剥蚀量原理图 Fig. 3 Schematics of the paleogeothermal gradient method of erosion thickness reconstruction |
选取马鞍1井、茶园1井、新场2井、建28井、茨竹1井和利1井,采用古地温梯度法进行恢复剥蚀量.这些钻井分布于鄂西渝东地区不同构造单元和不同的开孔层位.茶园1井位于重庆市石柱县六塘乡河坝场境内的茶园坪构造,是石柱复向斜内的一个潜伏构造,构造位置属川东褶皱带石柱复向斜内部斜列构造带南部断鼻构造带,井口层位为中侏罗统下沙溪庙组(J2xs).利1井位于湖北利川市柏杨区见天坝乡大茶园,是利川复向斜鱼皮泽构造带鱼皮泽背斜高点,开钻层位泥盆系上统黄家蹬组(D3h),完钻层位震旦系陡山沱组,所钻层系依次为泥盆系、志留系、奥陶系、寒武系和震旦系.马鞍1井、新场2井、茨竹1井等3口钻井位于方斗山复背斜,井口层位分别为中侏罗统(J2)、下侏罗统(J1)和中三叠统(T2).
恢复结果显示,这6口钻井所在地区晚燕山—喜马拉雅期剥蚀量分别为2140 m、2637 m、2857 m、2888 m、3539 m和4177 m(图 4).
![]() | 图 4 鄂西渝东地区钻井地层剥蚀量反演结果 Fig. 4 Erosion thickness of boreholes in the Western Hubei Eastern Chongqing area |
剥蚀量平面图编制的基本思路:以古温标反演获得的钻井剥蚀量数据确定剥蚀量的绝对值,以地 质图上地表出露的地层层位约束剥蚀量的变化趋势.
将古温标Ro反演法获得的钻井剥蚀量列于表 1,可以看出,鄂西渝东和四川盆地晚燕山—喜马拉雅期钻井剥蚀量的大小与钻井开孔层位具有明显的相关性(图 5),即开孔层位越老,剥蚀量越大,反之亦然.当不整合面之下的最新地层为下白垩统时,剥蚀量小于1000 m,当不整合面之下最新地层为中侏 罗统时,剥蚀量为1500~2000最新地层为上三叠统时,剥蚀量大约为2800 m,当不整合面之下最新地层为下三叠统时,剥蚀量大约为3500 m,当不整合面之下最新地层为古生界时,剥蚀量大于4000 m.
|
|
表 1 鄂西渝东及四川盆地晚燕山—喜马拉雅期钻井剥蚀量统计表 Table 1 Erosion thickness of boreholes in Western Hubei Eastern Chongqing area and Sichuan Basin |
![]() | 图 5 鄂西渝东及四川盆地钻井剥蚀量与开孔层位关系图 Fig. 5 Relationship between erosion thickness and upmost sequence drilled by wells |
上述剥蚀量平面图编制方法必须满足的前提条件是:在一定区域范围内,原始地层厚度在平面上的变化不大,否则,需要进一步依据地层厚度的平面变化趋势调整剥蚀量的大小.从鄂西渝东地区的地震剖面图上(图 6)可以清晰地看出,晚燕山—喜马拉雅期抬升剥蚀之前,各地层在一定范围内基本保持稳定分布,因此,本文在剥蚀量平面图编制时,未根据地层原始厚度差异做进一步调整.
![]() | 图 6 鄂西渝东地区过茶园1井地震解释剖面 Fig. 6 Seismic interpretation profile across Chayuan 1 well in the Western Hubei Eastern Chongqing |
依据上述剥蚀量平面图编制方法,采用Minimum Curvature 插值法,得到剥蚀量平面图(图 7).可以看出,鄂西渝东地区晚燕山—喜马拉雅期剥蚀量总体上从东往西逐渐变小.利川复向斜北部剥蚀量为大于4000 m,南部剥蚀量为2000~2500 m.石柱复向斜南部剥蚀量为1500~2000 m,北部为2000~ 2500 m,方斗山复背斜核部剥蚀量为3500~4000 m,方斗山复背斜以西剥蚀量为1000~1500 m.
![]() | 图 7 鄂西渝东地区晚燕山—喜马拉雅期剥蚀量平面分布图 Fig. 7 Contour map of Yanshan-Himalayan erosion thickness in the Western Hubei Eastern Chongqing |
(1)鄂西渝东地区古温标Ro剖面不存在明显 的“错断”、“跳跃”现象,记录的古地温为达到最大埋深时的古地温,采用古地温梯度反演法可以恢复晚燕山—喜马拉雅期剥蚀量.
(2)钻井剥蚀量与钻井开孔层位之间具有明显的相关性,开孔层位越老,剥蚀量越大,反之亦然.
(3)古温标反演法与地质图结合,可以更加真实地约束剥蚀量的平面变化趋势.鄂西渝东地区晚燕山—喜马拉雅期剥蚀量总体上从东往西逐渐变小.
| [1] | Fu Y X. 2000. The relations between the characteristics of structures and hydrocarbon accumulation between the west of Hubei province and the Chongqing province. Jianghan Petroleum Science and Technology (in Chinese), 10(2): 63-66, 72. |
| [2] | Hu C X, Gao L, Liu Y. 2000. Tectonic characteristics and evolution in the Western Hubei Eastern Chongqing area. Jianghan Petroleum Science and Technology (in Chinese), 10(2): 59-62. |
| [3] | Hu S, Wang J S, Zhang R Y. 1999. Estimation of the amount of uplift and erosion across an unconformity using vitrinite reflectance data. Petroleum Exploration and Development (in Chinese), 26(4): 42-45. |
| [4] | Lu Q Z, Ma Y S, Guo T L, et al. 2007. Thermal history and hydrocarbon generation history in Western Hubei-eastern Chongqing Area. Chinese Journal of Geology (in Chinese), 42(1): 189-198. |
| [5] | Sheng X C, Wang S H, Wen K D, et al. 2004. Tectonics and sedimentology of Shizhu palaeohigh in western Hubei eastern Chongqing area. Marine Origin Petroleum Geology (in Chinese), 9(2): 43-52. |
| [6] | Shi H C, Shi X B, Yang X Q, et al. 2011. Exhumation process of the Fangdoushan-Shizhu fold belt in Meso-Neozoic and its tectonic significance in western Hubei-eastern Chongqing. Progress in Geophysics (in Chinese), 26(6): 1993-2002. |
| [7] | Sweeney J J, Burnham A K. 1990. Evaluation of a simple model of vitrinite reflectance based on chemical kinetics. AAPG, 74(10): 1559-1570. |
| [8] | Xiao K H, He J H. 2001. Factors affecting hydrocarbon reservoir formation and future exploration planning in west Hubei and East Chongqing. Journal of Jianghan Petroleum University of Staff and Workers (in Chinese), 14(2): 38-40. |
| [9] | Yuan Y S, Zheng H R, Tu W. 2008. Methods of eroded strata thickness restoration in sedimentary basins. Petroleum Geology & Experiment (in Chinese), 30(6): 636-642. |
| [10] | Yuan Y S, Sun D S, Zhou Y, et al. 2010. Determination of onset of uplifting for the Mid-upper Yangtze area after Indosinian event. Chinese J. Geophys.(in Chinese), 53(2):362-369. |
| [11] | 付宜兴. 2000. 鄂西渝东区构造特征及其与油气聚集关系研究. 江汉石油科技, 10(2): 63-66, 72. |
| [12] | 胡纯心, 高林, 刘锐. 2000. 鄂西渝东区构造特征及其发展演化. 江汉石油科技, 10(2): 59-62. |
| [13] | 胡圣标, 汪集晠, 张容燕. 1999. 利用镜质体反射率数据估算地层剥蚀厚度. 石油勘探与开发, 26(4): 42-45. |
| [14] | 卢庆治, 马永生, 郭彤楼等. 2007. 鄂西—渝东地区热史恢复及烃源岩成烃史. 地质科学, 42(1): 189-198. |
| [15] | 盛贤才, 王韶华, 文可东等. 2004. 鄂西渝东地区石柱古隆起构造沉积演化. 海相油气地质, 9(2): 43-52. |
| [16] | 石红才, 施小斌, 杨小秋等. 2011. 鄂西渝东方斗山—石柱褶皱带中新生代隆升剥蚀过程及构造意义. 地球物理学进展, 26(6): 1993-2002. |
| [17] | 肖开华, 何金平. 2001. 鄂西渝东区油气成藏控制因素与勘探方向. 江汉石油职工大学学报, 14 (2): 38-40. |
| [18] | 袁玉松, 孙冬胜, 周雁等. 2010. 中上扬子地区印支期以来抬升剥蚀时限的确定. 地球物理学报, 53(2): 362-369. |
2014, Vol. 57








