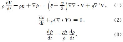
声波是大气中能量传输的一种重要形式.自然界的一些特殊事件,例如地震(Mutschlecner and Whitaker, 2005)、海啸(Le Pichon et al., 2005)、极光(Wilson et al., 2005)、闪电(Assink et al., 2008)以及火山爆发(Garcés et al., 1999)等都会作为声源向外辐射声波.这些辐射出声波信号天然含有辐射体的相关信息,声波信号通过在大气中传播后可以被声波监测网络所接收(Le Pichon et al., 2009).分析这些声波信号是我们监测自然事件、了解声源目标的重要手段.大气是连接目标声源和声波传感器的媒介,研究声波在大气中传播的物理过程,对于我们定位声源、理解声波信号的演化形变等方面有重要意义(Drob et al., 2003).
声波在大气中传播会受到大气状态的影响.一般而言,大气中风场和温度的梯度会对声波传播的轨迹产生折射,大气的密度梯度会使得上行大气声波的幅度存在幂指数规律增长,大气中的耗散作用会使得声波的能量受到衰减.在长距离声波传播的 计算中,如传播距离超过100 km的平流层导行传播(Stratospheric ducting)和热层导行传播(Thermospheric ducting)(Drob et al., 2003),耗散对于声波波传播轨迹的作用常常被忽略.例如,经典的大气声波射线模型HARPA(Jones et al., 1986),WASP(Dessa et al., 2005)和Tau-P(Garcés et al., 1998),都通过风场和温度场梯度来计算声波在大气中传播的射线轨迹,忽略衰减作用的影响.在这三个射线模型中,衰减系数的引入,只是为了通过对射线路径上的声波衰减进行积分来计算声波在传播中的路径损耗.由于在经典射线理论中,衰减只在计算能量损失时被考虑,其对射线轨迹的影响并未被考虑,宋杨等(2011)在有耗声波射线追踪理论研究的基础上提出了有耗大气中的声波射线追踪,对射线的计算结果表明,大气中的声波耗散效应会对声波传播的射线轨迹产生影响,但是对于耗散作用对声波波传播轨迹影响的物理机制没有做良好的解释.本文将通过时域有限差分方法,模拟声波在耗散介质中的传播过程,研究耗散作用对声波传播的影响.
对于声波传播而言,能够给出全波解的时域有限差分模拟是研究波动传播物理机制的重要方法.越来越多的工作开始通过时域有限差分模拟的方式,来研究声波在耗散大气中的传播问题.如Wochner等(2005)应用保色散关系格式建立了有限振幅声波在真实耗散大气中的数值模型,模拟了一维情况下有限振幅声波各阶谐波的演变和波动能量的衰减.de Groot-Hedlin(2008)建立了耗散大气中的线性声波传播的模型,模拟了均匀耗散大气中声波波包在传播过程中的幅度变化,给出了耗散大气中水平传播信道的衰减特性.现有的对耗散大气中声波传播的数值研究主要局限在一维情况下的模拟,且大多关注耗散效应对波动能量的衰减,缺乏对耗散大气中波动传播轨迹的关注.
本文应用保色散关系(Dispersion Relation Preserving)的空间差分格式和具有TVD(Total Variation Diminishing,总变差衰减)性质的3阶Runge-Kutta显式时间格式,建立了声波在有耗大气中传播的时域有限差分模型.通过模拟高斯型单色声波波包不同耗散剖面下的传播以及同一耗散背景下不同频率的传播,并从能量的角度出发,以波包能量中心为对象,研究了大气中的耗散作用对于波动传播轨迹以及波动幅度的影响. 2 声波方程
在耗散大气中,描述大气运动的动力学方程组(Beer,1974)可以如下表示:

其中
.(1)式为大气中的Navier-Stokes方程,(2)式为连续性方程,(3)式为描述绝热过程的状态方程. p、ρ和V 分别代表大气的压强、密度和运动速度,ξ和η分别表示切变和体积黏滞系数,
为比热比(cp=1005 J·kg-1·K-1为定压比热,Cp=718 J·kg-1·K-1为定容比热),g 为重力加速度.利用方程(2)可以将方程(3)变形为:

在水平分层的假设下对方程组做简化处理,忽略背景大气中竖直方向上的对流运动,将方程中的压强p,密度ρ和流体速度 V =(u,w)分解为背景值(使 用下标0标注)和声波扰动值(使用下标1标注)之和:

由于研究的对象是无旋的寻常声波,有 ΔΔ · V1= Δ2V1, 且在声波的高频近似下,对(1)式忽略重力项;将方程组线性化,得到声波传播控制方程:

其中

这里非齐次项H 由波动耗散项构成,b=
为动力学黏滞系数,在本文中该系数将作为表征耗散作用的耗散系数来定义和使用.
3 数值方法
3.1 差分方程一般而言,大气中声波传播的范围较为广阔,所以数值计算区域的尺度远远比声波波长的尺度大.在大尺度的计算区域内,波源所在处和声波远场处的声波幅度差异也很大.大气声波的这种特殊情况要求数值求解的计算方法具有较高精度.本文应用计算航空声学中应用较为广泛的保色散关系空间差分格式(Tam and Webb, 1993)来对声波传播控制方程进行空间差分,应用Runge-Kutta时间格式对空间差分方程给出时域的差分.这种差分格式具有高精度,且数值耗散和数值色散较弱.
首先应用7点中心差分的保色散关系对声波传播控制方程(6)进行空间差分,得到

Δx和Δz分别为空间步长.Tam和Webb(1993)给出了7点保色散关系差分格式的一组权系数为

因为声波波动是一个快变过程,计算网格较大,所以这种情况下,声波的数值格式往往采用显式的时间格式.本文为了计算具有良好的稳定性,采用了Shu和Osher(1988)所发展的具有TVD性质的时间3阶精度的Runge-Kutta方法.
将方程(7)简写作

则时间3阶精度的Runge-Kutta方法表示为:

方程(10)中,Δt为时间步长,老时间步由上标n表示,新时间步由上标(n+1)表示,Uk(k=0,1,2,3)为计算所使用的中间变量. 3.2 人工黏滞
在中心差分格式的数值计算中,格点震荡是常见的数值噪声,为了保证数值模拟的精度,常常应用人工黏滞来消除这种噪声.人工黏性项一般写作

这里νa为人工黏滞系数.对(11)式作傅里叶变换,(11)式等号右端的衰减项可以表示为

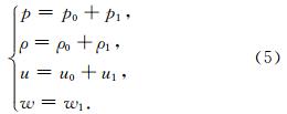
Tam(1995)给出了一组7点差分格式的人工黏性项差分系数为

图 1给出了这种7点差分人工黏性格式下,系数 D(αΔx)与αΔx之间的关系,在图 1中可以看到,当αΔx取值小于1时,人工黏性对于波动的衰减作 用几乎为0.这种7点差分格式的人工黏性呈现出阻高频,通低频的性质,对于数值模拟中,波数最大的格点震荡波产生良好的抑制,而对模拟的声波则影响较小.
![]() |
图 1 人工黏性损耗函数D(αΔx)与αΔx的关系 Fig. 1 Damping function D(αΔx)vs αΔx |
由于本文采用了显式时间格式,数值模拟中时间步长应满足柯朗条件

方程(14)中c为绝热声速.由于小时间步可以提高计算的精度,所以计算中取 Δt=0.45Δtc.
本文数值模拟中将要研究不同的耗散背景对波动传播的影响,模拟高斯型声波波包在无界空间中的传播.边界的反射会使空间中的波动出现干涉,导致能量的聚集,会干扰无界空间声波传播的效果,所以本文中计算边界条件采用出流边界(Bogey and Bailly, 2002)作为吸收边界条件. 4 数值模拟结果及分析
由于本文主要研究耗散作用对声波传播的影响,所以在这里的数值模拟都是耗散系数剖面不同,而密度、温度和压强均不随高度变化的均一大气的背景中计算得出,这样可以在数值模拟结果的对比中,避免由密度、温度、压强的不均匀对声波传播所产生的影响,明确耗散效应的作用.因为声波的耗散效应可以由本文提出的耗散系数来表征,所以构造不同的耗散系数剖面就可以量化研究耗散效应对于声波传播的作用.对于同一个耗散系数剖面,不同频率的声波的传播行为本文也做了相应的模拟和分析. 4.1 单一频率声波在不同背景下的传播
首先研究单一频率的声波波包在不同耗散背景控制下的传播情况,分为:(1)耗散系数为0(b=0),即无耗散的理想情况;(2)耗散系数随高度变化(b≠0,db/dz≠0);(3)耗散系数为一个不为0的常数(b≠0,db/dz=0),即均一耗散的情况.模拟采用50 Hz的高斯型声波波包从水平方向发射,穿过所 构造的背景介质.高斯型声波波包声压的数学形式为:

式(15)中pc和(xc,zc)分别为声波波包中心的声压幅度和位置;σx和σz分别为波包在水平方向和竖直方向的半宽度; kx和kz分别为声波波包波数的水平分量和竖直分量.在模拟中,设定频率为50 Hz的声波波包水平发射,发射角度为0°,则有kx=0.924,kz=0;在计算中为了精确刻画声波的传播过程,取Δx=Δz=λ/16,λ=6.8 m,为声波波长,即在水平方向上或竖直方向上,一个声波波长的尺度内有16个网格点.
设置波包的中心为xc=42.92 m,zc=212.9 m. σx和σz控制着波包的形状,是波包几何扩散效果的控制参数.由于本文重点研究声波受背景衰减作用的影响,希望几何扩散效果不要太强,所以取σx=53.125 m,σz=10.625 m. 4.1.1 无耗散情况
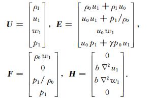
由图 2A给出的背景可知,声速剖面为固定值,且声波衰减系数为0.根据经典射线理论,在无耗散的均一理想大气中传播,声波的轨迹将为一条直线,声波的衰减也仅是由于声波在空间中的几何扩散所引起的.这些理论上描述的声波行为与图 2B所给出的声波波包的模拟结果一致.
![]() |
图 2(A)无耗散情况下,背景大气的声速剖面和耗散系数剖面;(B)无耗散情况下,50 Hz声波波包在传播过程中的声压分布.色彩表示声压幅度,单位为Pa Fig. 2(A)The background profiles of zero absorption case;(B)The sound pressure distributions of 50 Hz acoustic wave packet during the propagation in the zero absorption case. The sound pressure is shown by colors with the unit of Pa |
在图 2B记录的传播过程中,1.5 s、3 s和4.5 s时刻所记录的声波波包的水平坐标产生了变化,表示在1.5 s的时间间隔内,声波传播产生了相应的位移. 比较声波波包在四个时刻的纵坐标,可以看到声波波包的位置并没有发生明显的变化,这表明声波波包大致沿水平直线传播.对比4.5 s和0 s时刻,可以看到在传播了一定距离之后,声波波包呈现出与传播方向相垂直的纵向延展,与此同时,两个时刻的声压幅度的对比结果显示,声波波包的声压也出现了减弱,这种波形的延展和幅度的衰减,就是几何扩散所带来的效应. 4.1.2 耗散系数随高度变化的情况
耗散系数随高度变化的剖面构造如下,令耗散系数为b=0.01z m2/s,根据声波衰减理论,声波衰减系数α可以表示为

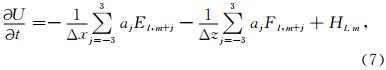
衰减系数和声速的剖面在图 3A中给出.根据不考虑耗散作用的经典射线理论,声波传播的路径由绝热声速剖面和风速剖面决定,在图 3A给出的背景中,温度恒定,没有风场运动的干扰,声波传播理论上也应该为水平传播的直线.但是在图 3B中,模拟结果显示出了与经典射线理论不同的现象.
![]() |
图 3(A)耗散系数随高度变化情况下背景大气的声速剖面和耗散系数剖面;(B)耗散系数随高度变化情况下,50 Hz声波波包在传播过程中声压分布.色彩表示声压幅度,单位为Pa Fig. 3(A)The background profiles of the varying absorption case;(B)The sound pressure distributions of 50 Hz acoustic wave packet during the propagation in the varying absorption case. The sound pressure is shown by colors with the unit of Pa |
与图 2B类似,从图 3B的纵轴和横轴的信息中,可以确定地看出波动在水平上产生的位移和由 几何扩散带来的波包波形的延展.由于介质变为有耗散介质,声波不仅要受到几何扩散带来的能量衰减,同时受介质耗散的衰减作用.图 3B与图 2B相比,在对应的1.5 s、3 s和4.5 s,图 3B中声波波包的声压明显弱于图 2B中的声压.但是,与图 2B相比,图 3B中的波包声压幅度较大的部位呈现出随着声波传播时间的推移逐步下降的趋势,同时图 3B中波包出现了与图 2B不同的形态.在0 s时刻,声 波波包的声场图显示声压的对称中心在200~250 m 之间,当波包传播了4.5 s之后,声波波包的声压中心在150~200 m之间,产生了明显的下移.这是由于背景介质的衰减系数随高度增加,声波波包上部的背景衰减系数较大,而波包下部的背景衰减系数较小,在波包的传播过程中,波包上部所衰减的能量比下部所衰减的能量大,声波波包下部的声压幅度渐渐强于上部的声压,所以总体而言,声波波包的能量的中心产生了下移. 4.1.3 均一耗散系数的情况
均一耗散的背景由图 4A给出,耗散系数设为b=2.125 m2/s,这是耗散系数随高度变化情况下,初始时刻,声波波包中心所在位置处的耗散系数值,应用声波衰减系数计算公式(16),声波衰减系数的剖面由图 4A给出.
![]() |
图 4(A)均一耗散情况下背景大气的声速剖面和耗散系数剖面;(B)均一耗散情况下,50 Hz声波波包在传播过程中的声压分布.色彩表示声压幅度,单位为Pa Fig. 4(A)The background profiles of constant absorption case;(B)The sound pressure distributions of 50 Hz acoustic wave packet during the propagation in the constant absorption case. The sound pressure is shown by colors with the unit of Pa |
很明显,图 4B所显示的各个时刻的声波波包的波形与图 2B所给出的几乎一致,都可以观察到由于几何扩散带来的波形的延展,声波波包的对称中心几乎在同一水平线上;与图 2B不同的是,由于背景大气存在耗散性,在1.5 s、3 s和4.5 s时刻,均一耗散情况下的声波波包的声压强度要弱于无耗散情况下的结果.图 4B中的这些现象符合我们在经 典射线理论上关于传播衰减的认识,同时也表明均一耗散的情况下,声波波包的各个部位的能量在传播过程中被同步衰减,波包的中心不会发生移动.4.2 波动能量分析
对于无耗散、耗散随高度变化以及均一耗散这三种情况,图 2—图 4给出了相应的声场模拟的结果,结果显示出了声波波包在各种情况下波形的演变.声波波包的波形是声波能量在空间中分布的形态,对于大气中的声波传播而言,声波能量的轨迹和强弱也同样具有非常重要的意义.声波的能量密度 E 可以表示为

应用方程(17)对上述三种情况下模拟出的声场进行计算,得到声波能量在空间中的分布,声波波包的能量中心,就是这些分布中声能极大值所在的位置.将声波波包的能量中心在空间中表示出来,就可以得到声波波包能量传播的路径,如图 5a所示.
从图 5a可以看到,在无耗散和均一耗散这两种情况下(数据分别由“ □ ”和“ + ”表示),声波波包能量中心的轨迹基本重合,都呈现出水平传播的轨迹,这种情况与均一大气中声波射线理论所描述的一致,但是在耗散随高度变化这种情况下(数据由“ Δ ”表示),声波波包的能量中心随着传播距离的增加,呈现出逐步下降的趋势.“ Δ ”所表示的耗散随高度变化情况下声波波包能量中心的轨迹与经典射线理论所预言的不同,这说明不考虑耗散作用的经典射线理论存在一定的局限性.当波包在耗散系数随高度变化的背景中传播时,不均匀的耗散系数会对声 波波包的不同部位产生不同影响.在耗散系数随高 度变化的情况下,耗散系数的斜率db/dz>0,上部所在背景的耗散系数大,而下部所在背景的耗散系数小,在传播相同距离的情况下,波包上部所衰减的能量要大于波包下部的能量损失,波包能量的中心会向下移动.如果设模拟的耗散系数剖面斜率db/dz<0,即耗散系数随高度的增加而减小的情况下,则会出现波包下部所受到的衰减将比波包上部所受到的衰减更大的现象,那么波包的能量中心将会向上移动.这表明,耗散系数的不均匀会对声波传播的轨迹产生偏折作用,这种偏折作用使得声波波包的能量中心向衰减系数较弱的区域移动.
图 5b给出了在这三种情况下,声波波包能量中心位置所受到的传输损耗TL随传播距离的演变结果,这里传输损耗TL定义为

方程(18)中pl为图 5a所给出的传播轨迹上,声波波包能量中心的声压幅度,pc为初始时刻声波波包能量中心的声压幅度.
![]() |
图 5(a)50 Hz声波波包能量中心的传播轨迹;(b)50 Hz声波波包能量中心声压的传输损耗随传播距离的变化 Fig. 5(a)The energy trajectories of 50 Hz acoustic wave packet in three cases;(b)The transmission loss of the energy center of 50 Hz acoustic wave packet in three cases |
在图 5b中,声波波包在传播了约1400 m之后,无耗散情况下(由“ □ ”表示)的传输损耗最小,均一耗散情况下的传输损耗最大(由“ + ”表示),而耗散系数随高度变化的情况下(数据由“ Δ ”表示),声波波包中心所承受的传输损耗介于两种情况之间.这表明,不均匀的耗散对声波传播的轨迹产生向弱耗散方向的偏折在改变声波传播轨迹的同时,与均一耗散情况相比,也减少了声波能量的损失.我们用射线传输理论来分析这种能量损失被减少的机制,分析结果如图 6所示.
![]() |
图 6(a)大气声吸收随传播距离的变化;(b)几何扩散损耗随传播距离的变化 Fig. 6(a)Atmospheric absorption versus propagation distance;(b)Geometrical spreading loss versus propagation distance |
由射线理论可知,声波波包的中心压强会受到衰减即传输损耗TL可以分解为因波包几何扩散所造成的衰减LG和大气声吸收所造成的损失LA,即

LG和LA的单位均为dB.这里大气的声吸收LA也可以称为沿声波传播轨迹的路径损耗,理论上可以表示为

方程(20)中,l表示射线路径,α表示射线路径上的衰减系数.
三种情况下的衰减系数已经由图 2A,图 3A和图 4A中的衰减系数剖面给出,声波传播的轨迹由图 5a给出.根据方程(20),三种情况下的大气声吸收LA可以被计算出来,结果在图 6a中给出.
图 6a中,对比“ Δ ”和“ + ”所代表的数据,可以看到对于耗散系数随高度变化的情况而言,在初始时刻,由于声波传播时间较短,传播距离较小,声波波包所受到不均匀耗散的作用并不明显,“ Δ ”和“ + ”的标记大致重合;但是随着波传播距离的增长,“ Δ ”所表示的声吸收渐渐小于“ + ”所代表的声吸收.这是因为声波波包受不均匀耗散的影响,波包能量的中心逐步下移,下移后波包能量中心所在处的声波衰减系数小于原来初始时刻声波波包中心所在处的衰减系数,所以耗散系数随高度变化情况下的波包能量中心所受到的大气声吸收要小于均一耗散情况下的大气声吸收.
通过已经得到的三种情况下的传输损耗TL和大气声吸收LA,三种情况下的几何扩散衰减LG则可以根据方程(19)得出,结果在图 6b中给出.从图 6b中可知,无耗散情况下,声波波包所受到的几何扩散衰减最大,在存在耗散的情况下,“ Δ ”和“ + ”所表示的几何扩散衰减则较小.这也意味在无耗散情况下,声波波包的形状得到了较大的延展,在有耗散情况下,耗散的存在会使声波波包外形的延展受到抑制.对比“ Δ ”和“ + ”所表示的数据,我们发现耗散 随高度变化情况下的几何扩散衰减在传播了1400 m 之后要比均一耗散情况下的几何扩散衰减大.这可能是因为耗散随高度变化的情况下,波包能量中心传播轨迹的长度比均一耗散下的水平轨迹长度更长的原因.由图 5a所表示的传播轨迹可以看到,“ Δ ”和“ + ”的轨迹构成了一个直角三角形的斜边和直角边,“ Δ ”轨迹所代表的斜边长度显然要大于“ + ”所代表的直角边长度.因为几何扩散衰减的强弱取决 于波形延展的程度,而波形的延展与传播距离有关,传播距离越长,波形延展相对而言会更大,所造成的几何扩散衰减也相应增加.
结合图 6a和图 6b的分析,可以看到,在耗散系数随高度变化的情况下,受到路径的偏折的影响,声波波包能量中心所受到的大气声吸收与均一耗散情况下相比得到显著的减少;同时与无耗散情况下相比,由于耗散作用,声波波包能量中心所受到的几何扩散衰减也相应地减少. 4.3 耗散随高度变化情况下的不同频率声波的行为
在给定耗散系数b的情况下,由于声波衰减与频率有关,不同频率的声波所受到的衰减的强弱不同,所以在耗散系数随高度变化的情况下,我们模拟了相同尺度,不同频率的声波波包的传播,研究不均 匀耗散作用对不同频率的声波的影响.模拟以4.1.2 节中耗散系数随高度变化情况下的50 Hz模拟参数为基础,不改变背景参数,声波波包中心位置、半波 宽度也与原来的参数相同,声波频率分别设为40 Hz和60 Hz,并将其计算所得结果与50 Hz声波计算结果相比较.这里我们还是从能量的角度出发,以声波波包能量中心为对象,分析波包能量中心在传播过程中位置的变化和能量的损耗.
首先研究三种频率声波波包能量中心的传播轨迹.如图 7b所示,50 Hz的声波波包能量中心的轨迹介于40 Hz和60 Hz这两条轨迹之间.在传播了约1400 m之后,40 Hz,50 Hz和60 Hz声波波包能量中心的位置与初始时刻相比所产生的偏移分别为28.5 m,38.6 m和56.9 m.图 7b所显示的结果与牛顿三棱镜实验结果类似,不同频率的声波在相同的不均匀耗散背景中,传播轨迹并不相同,是一个典型的色散现象.这表明不均匀的耗散背景会导致不同频率的声波在传播过程中发生色散现象.比较三种频率声波的偏移量大小关系,可以看到,在耗散系数随高度变化的情况下,声波频率越高,声波能量中心所产生的偏移就越大.这种现象与声波衰减系数剖面有关.
![]() |
图 7(a)耗散系数随高度变化情况下,不同频率声波的衰减系数剖面;(b)不同频率的声波波包能量中心的传播轨迹;(c)不同频率的声波波包能量中心传输损耗随传播距离的变化 Fig. 7(a)The profiles of attenuation coefficient of different frequency in the case absorption varying with height;(b)Atmospheric absorption versus propagation distance;(c)Transmission loss versus propagation distance |
由声波衰减系数的表达式方程(16)可知,声波衰减系数与声波频率的平方成正比.图 7a给出了耗散系数随高度变化背景下,三个频率声波衰减系数的剖面.从图 7a中可以看到,同一耗散系数剖面下,不同声波衰减系数的斜率各不相同,从大到小排序,依次为60 Hz,50 Hz和40 Hz.结合4.1.2节中图 3所给出算例,我们知道声波波包在传播过程中,由于声波衰减系数随空间变化,衰减系数的斜率不为零,波包上部和下部受到的衰减存在着差异,导致了波包能量中心的偏移.很显然,声波衰减系数的斜率越大,波包上部和下部所受的衰减差异也越大,波包能量中心偏移的趋势就越强,在传播了一定距离后,其能量中心的偏移量也就最大.
三种频率声波波包能量中心所受到的传输损耗与传播距离的关系由图 7c给出.从图 7c中可以看到,与图 7b中的趋势类似,传输损耗也呈现出频率越大传输损耗越大的现象.这种现象符合我们对经典的波传播理论的认知.这种趋势可以认为是由于声波衰减和声波传播轨迹两种因素共同决定的.因为声波频率越大,其衰减系数越大,同时由图 7b可知,声波频率越大,其传播轨迹的长度也越长,所以频率越大的声波,其传输损耗也越大. 5 讨论
第4节中,模拟了声波波包以发射仰角为0°的水平方向发射在耗散随高度变化的背景中的传播.结果表明,声波波包在传播中受不均匀耗散的影响,波包的上部和下部受到不同程度的衰减,波包能量的分布被改变,最终导致能量中心向弱耗散区域移动.这种机制对于我们理解在不均匀耗散背景下发射仰角不为0°的声波传播有很大的帮助.水平发射的波包,波包的长轴与竖直方向平行,对于发射仰角不为0°的声波波包而言,波包的长轴与竖直方向存在一定的夹角.由于耗散系数随高度变化,波包不同高度的部位才会存在衰减的差异,波包上部和下部衰减差异越大意味着波包上部和下部的高度差越大,这意味着声波波包长轴在竖直方向上投影的长度越大.由此可见,当声波水平发射时,波包长轴在竖直方向的投影最长,波包上部和下部衰减差异最大,波在传播中向弱耗散方向偏折的趋势也最大.随着发射仰角逐渐增大,波包长轴在竖直方向上的投影逐步变小,波在传播中虽然会发生向弱耗散方向的偏折,但是波动能量中心位置的偏移量与水平发射的情况相比要小一些.当发射仰角为90°时,波包长轴在竖直方向不存在投影,波包两端所受到的衰减差异消失,声波在传播过程中,波包能量的中心将不会向弱耗散方向发生偏折.作为验证,图 8给出了声波在无耗散背景和耗散随高度变化背景下,声波波包以90°仰角,竖直向上传播的模拟结果.图 8a和图 8b分别为传播轨迹和波包中心处声压级的对比结果.图中“ □ ”为无耗散背景下计算的结果,“ + ”代表耗散随高度变化背景下的计算结果.两者的对比表明,在发射角为90°的情况下,该耗散剖面对声波仅产生了幅度上的耗散作用,对于波包传播的轨迹并未产生影响.
![]() |
图 8(a)声波竖直向上传播时的轨迹;(b)声波竖直向上传播时,波包中心处的声压级随高度的变化 Fig. 8(a)The trajectory of acoustic wave in vertical propagation;(b)The sound pressure level at the center of the packet varies with height |
在分析50 Hz声波传播中能量中心在三种不同背景下所受到的传输损耗时,应用了射线理论,将传输损耗分解为了几何扩散衰减和沿传播路径所受到的大气声吸收.毫无疑问,图 6a表明了由于不均匀耗散导致的波包能量中心传播轨迹的偏折,波包能量中心所受到的大气声吸收会明显减少.而由传输损耗TL和大气声吸收LA计算所得到的几何扩散衰减中,则出现了一些特别的现象.如图 6b所示,“ + ”和“ Δ ”所表示的几何扩散损耗在传播的初始阶段,随着传播距离的增长而逐渐增大,但是与无耗散情况下相比,几何扩散损耗的增长趋势明显变小.在传播了一段距离以后,几何扩散衰减不再增长,呈现出微弱的减小的趋势.在1000~1500 m这个区间范围内,均一耗散情况的几何扩散损耗上升 约0.4 dB,耗散随高度变化情况下的几何扩散损耗上升了约0.1 dB.一般而言,几何扩散损耗由大变小,意味着波形受到了一定程度的聚拢.虽然这种小幅度的上升可能是由于数值计算中的误差造成的,但是不排除不均匀的耗散会对声波波包形态产生聚集效应的可能性.背景耗散对声波传播过程中波包形态的影响作用还需要进一步的研究. 6 结论
本文通过保色散关系的空间差分格式和Runge-Kutta 时间格式数值求解了大气中高频声波传播方程组,模拟了同一高斯型声波波包在不同背景下的传播,以及相同波包参数、不同频率的高斯型波包在同一耗散背景中的传播,并对数值模拟结果进行了对比和分析.
水平发射的声波在水平分层的有耗大气中传播表明,大气中的不均匀耗散会对波传播的轨迹以及能量损耗产生一定的影响.由于耗散的不均匀性,声波波包不同部位受到不同程度的衰减.这种衰减差异导致了声波波包能量的中心向弱耗散方向移动,对波包能量传播的轨迹产生了偏折.这与无耗散情况下,经典射线理论的预言差异很大,说明不考虑耗散效应的经典射线理论存在一定的局限性.不均匀耗散在改变声波波包能量中心传播轨迹的同时,也对波包能量中心的传输损耗产生了一定的影响,这种影响表现为:(1)表示路径损耗的大气声吸收与均一耗散相比明显减小;(2)几何扩散衰减与无耗散情况下相比受到了显著的抑制.由于声波衰减与声波频率的平方成正比,耗散大气会给声波的传播带来色散性质.在同一不均匀耗散背景中,不同频率的声波波包能量轨迹不同.在传播一定的距离后,频率越高的声波,波包能量中心出现的偏移越大.
| [1] | Assink J D, Evers L G, Holleman I, et al. 2008. Characterization of infrasound from lightning. Geophys. Res. Lett., 35(15), L15802, doi: 10.1029/2008GL034193. |
| [2] | Beer T. 1974. Atmospheric Waves. London: Adam Hilger. |
| [3] | Bogey C, Bailly C. 2002. Three-dimensional non-reflective boundary conditions for acoustic simulations: far field formulation and validation test cases. Acta. Acust. United. Ac., 2002, 88(4): 463-471. |
| [4] | De Groot-Hedlin C. 2008. Finite-difference time-domain synthesis of infrasound propagation through an absorbing atmosphere. J. Acoust. Soc. Am., 124(3): 1430-1411. |
| [5] | Dessa J X, Virieux J, Lambotte S. 2005. Infrasound modeling in a spherical heterogeneous atmosphere. Geophys. Res. Lett., 32(12), L12808, doi: 10.1029/2005GL022867. |
| [6] | Drob D P, Picone J M, Garcés M. 2003. Global morphology of infrasound propagation. J. Geophys. Res., 108(D21), doi: 10.1029/2002JD003307. |
| [7] | Garcés M, Iguchi M, Ishihara K, et al. 1999. Infrasonic precursors to a Volcanian eruption at Sakurajima Volcano, Japan. Geophys. Res. Lett., 26(16): 2537-2540. |
| [8] | Garcés M A, Hansen R A, Lindquist K G. 1998. Traveltimes for infrasonic waves propagating in a stratified atmosphere. Geophys. J. Int., 135(1): 255-263. |
| [9] | Jones R M, Riley J P, Georges T M. 1986. HARPA-a versatile three-dimensional Hamiltonian ray-tracing program for acoustic waves in the atmosphere above irregular terrain. NOAA Special Report. |
| [10] | Le Pichon A, Herry P, Mialle P, et al. 2005. Infrasound associated with 2004-2005 large Sumatra earthquakes and tsunami. J. Geophys. Res., 32(19), L19802, doi: 10.1029/2005GL023893. |
| [11] | Le Pichon A, Vergoz J, Blanc E, et al. 2009. Assessing the performance of the International Monitoring System's infrasound network: Geographical coverage and temporal variabilities. J. Geophys. Res., 114(D8), D08112, doi: 10.1029/2008JD010907. |
| [12] | Mutschlecner J P, Whitaker R W. 2005. Infrasound from earthquakes. J. Geophys. Res., 110(D1), D01108, doi: 10.1029/2004JD005067. |
| [13] | Shu C W, Osher S. 1988. Efficient implementation of essentially non-oscillatory shock-capturing schemes. J. Comput. Phys., 77: 439-471. |
| [14] | Song Y, Zhou C, Zhang Y N, et al. 2011. Ray tracing of acoustic wave in the lossy atmosphere.Chinese J. Geophys. (in Chinese), 54(6):1433-1438. |
| [15] | Tam C K W, Webb J C. 1993. Dispersion-relation-preserving finite difference schemes for computational acoustics. J. Comput. Phys., 107(2): 262-281. |
| [16] | Tam C K W. 1995. Computational aeroacoustics: issues and methods. AIAA J., 33(10): 1788-1796. |
| [17] | Wilson C R, Olson J V, Stenbaek-Nielsen H C. 2005. High trace-velocity infrasound from pulsating auroras at Fairbanks, Alaska. Geophys. Res. Lett., 32(14), L14810, doi: 10.1029/2005GL023188. |
| [18] | Wochner M S, Atchley A A, Sparrow V W. 2005. Numerical simulation of finite amplitude wave propagation in air using a realistic atmospheric absorption model. J. Acoust. Soc. Am., 118(5): 2891-2898. |
| [19] | 宋杨, 周晨, 张援农等. 2011. 耗散大气中的声波射线追踪. 地球物理学报, 54(6): 1433-1438. |
2014, Vol. 57









