2. 南京信息工程大学中国气象局气溶胶与云降水重点开放实验室, 南京 210044;
3. 江苏省气象科学研究所, 南京 210009
2. Key Laboratory for Aerosol-Cloud-Precipitation of China Meteorological Administration, Nanjing University of Information Science and Technology, Nanjing 210044, China;
3. Jiangsu Institute of Meteorological Sciences, Nanjing 210009, China
稳定边界层中,湍流常形成自上而下的垂直混合事件(Poulos et al., 2002;Tjernstrm et al., 2009),改变夜间边界层结构和污染物的垂直分布(Hu et al., 2013a).夜间出现的垂直混合事件将残留层的O3、NOx等污染物向下传递,导致夜间稳定边界层内O3浓度会出现短时峰值(Reitebuch et al., 2000;Salmond et al., 2002;Stutz et al., 2004;Talbot et al., 2005;Hu et al., 2012). Hidy(2000)的研究发现风速和湍流混合过程的垂直结构重要性超过低层化学生成和水平平流输送,是影响稳定边界层近地层O3浓度的首要因素.大量研究表明,夜间湍流垂直混合事件与边界层低空急流(low-level jet,LLJ)密切相关(Reitebuch et al., 2000;Banta et al., 2003;Mathieu et al., 2005;Banta et al., 2006;Balsley et al., 2007;Hu et al., 2013a;Hu et al., 2013b).
低空急流(LLJ)是稳定边界层中经常发生的中尺度运动现象,在各种下垫面上广泛存在(Beyrich,1994;Banta et al., 2002;Song et al., 2005;Zhang et al., 2006;Kallistratova et al., 2009),垂直尺度通常为几十到几百米,水平尺度可超过几百千米(Kallistratova et al., 2012).LLJ对稳定边界中湍流有重要的影响,其剪切生成作用通常是夜间湍流活动的能量来源(Banta et al., 2002;Mathieu et al., 2005),急流轴和地表之间的剪切可增强地表附近的湍流活动,甚至对稳定边界层湍流通量输送起决定性作用(Corsmeier et al., 1997;Karipot et al., 2009),Banta等(2003)认为有可能借助LLJ的强度和高度信息,来诊断近地层湍流通量.与湍流在地表附近产生并向上传递的传统边界层不同,LLJ发生时,湍流在上层产生并向下传递,形成向下传递的稳 定边界层(“Upside Down” SBL)(Banta et al., 2002; Mahrt et al., 2002). Karipot等(2008)在Florida森林上的观测发现,LLJ的存在改变冠层上方CO2输送的强度和方向,造成长期生态系统净碳交换(net ecosystem exchange,NEE)估计的不确定性.
由于其对深入理解地气之间物质交换和能量传递、稳定边界结构及污染物扩散、环境评价等方面均具有重要的理论和现实意义,近年来,在国外关于LLJ对稳定边界层近地层湍流活动的影响给予广泛关注,并通过雷达观测(Banta et al., 2002;Mahrt et al., 2002;Song et al., 2005;Karipot et al., 2008)、数值模拟(Andreas et al., 2000;Conangla et al., 2006;Hu et al., 2013a;Hu et al., 2013b)、风洞试验(Ohya et al., 2008)、探空观测(Andreas et al., 2000)等多种手段展开研究.在国内,尽管复杂地形、非均匀植被、稳定层结等非理想条件下的湍流特征日益受到关注(罗涛等,2008;刘树华等,2009;Liu et al., 2011;姜海梅等,2012;陈晋北等,2012;姜海梅等,2013;刘辉志等,2013),但由于大多数站点难以获得空间流场信息,关于稳定边界层中LLJ对近地层湍流活动的影响研究较少.特别是在黄土高原半干旱区,下垫面沟壑梁峁纵横,地形起伏,不均匀性显著,近地层流场有其独特的复杂性(Zhang et al., 2011;梁捷宁等,2013a;梁捷宁等,2013b),加之站点稀少,关于LLJ对近地层湍流活动影响的研究还很匮乏,制约了人们对黄土高原半干旱区地表过程与大气相互作用的理解.
基于以上研究的重要性和困难性,借助中尺度 气象数值模式WRF(Weather Research and Forecasting Model)以获取风场空间特征,利用兰州大学半干旱 气候与环境观测站(Semi-Arid Climate and Environment Observatory of Lanzhou University,SACOL)的相关观测资料,分析黄土高原复杂地形上稳定边界层LLJ对近地层湍流特征的影响.文中所涉及时间,除特别说明外均指北京时BJT,北京时比SACOL地方时早1小时4分钟,比世界时UTC早8小时. 2 站点与资料 2.1 观测站点
SACOL 位于黄土高原海拔1965.8 m的萃英山塬上(35.946°N,104.137°E),坐落于黄河南岸,在兰州市区东南方向约48 km处.下垫面属于典型的黄土高原地貌,沟壑梁峁纵横,属温带大陆性半干旱气候,可以代表方圆几百公里半干旱地区气候状况.拥有国际先进的观测仪器,是继中国科学院吉林通榆站之后,第二个由我国自主建设的半干旱区长期观测站.已被批准加入国际协同观测计划项目(The Coordinated Enhanced Observing Period),并作为此计划的全球协同加强观测站之一.
从大尺度来看,萃英山位于一东南-西北走向的山谷中(图 1),谷底平均海拔约1700 m,西南方是海拔3000 m以上的兴隆山,东北方山脉海拔约2400 m.站点主导风向沿山谷走向,常年以西北和东南风为主,年平均风速约1.6 m·s-1.从中尺度上来看,萃英山是一座大致呈南北走向的平顶山塬,相对高度约200 m,东侧山脚是兰州大学榆中校区,西侧是另一座更高的平顶山,中间山谷宽度约1 km.
![]() |
图 1 模拟区域最内层地形海拔高度.图中黑色圆点标注SACOL位置 Fig. 1 Contour of the terrain elevation of the simulation domain with 1 km resolution. Location of SACOL is marked with black dot |
地表湍流通量观测场地基本平坦,东西方向约200 m,南北方向超约1000 m.站点植被基本为原生自然状态,以长芒草为主,伴生着少量的冷蒿和赖草(左金清等,2010);地表植被冬季高约0.10 m,夏季约0.24 m;土壤为第四纪黄土风蚀形成的灰钙土. 关于SACOL的详细信息,可参考Huang等(2008)的 相关介绍. 2.2 观测仪器
边界层梯度观测塔高32.5 m,风速、温度、湿度的梯度变化分别由安装在1、2、4、8、12、16、32 m高 度上的风速(014A-L,Met One)、气温和湿度(HMP45C-L,Vaisalla)传感器观测记录,并在8 m处安装了风向传感器(034B-L,Met One).分别用CS105气压传感器、精密红外温度传感器(IRTS-P,Apogee)和TE525MM-L雨量筒来探测记录大气压、地表温度和降水.每半小时自动观测并记录一次数据.涡动相关系统(eddy-covariance system,EC)采用三维超声风速仪(CSAT3,Campbell)测量三维风速,细线热电偶(FW05,CSI)和开路红外气体分析仪(LI7500,LI-COR)测量温度和CO2/H2O浓度.感应器离地面3 m,以10 Hz频率采样.
主要使用SACOL 2008 年12月夜间00-06时EC观测数据,资料完好率高,并结合对应时段梯度观测,分析LLJ对稳定边界层湍流活动的影响.对EC资料,分别在各自的平均时段上进行去野点和二次坐标旋转,进而计算相应的通量参数;稳定度参数由边界层梯度观测塔在2 m和4 m两个高度上的廓线观测计算得到. 3 WRF对空间气流结构的模拟
借助WRF模拟SACOL边界层风场,模拟中心位于(35.95°N,104.13°E),水平方向采用三重嵌套网格,格距分别为25000、5000和1000 m,图 1是最内层模拟区域的地形特征,图中黑色圆点表示SACOL位置.为更细致地描述稳定边界层流场特征,采用地形追随η坐标系,垂直方向上分39层,其中1000 m以下29层;采用WRF模拟SACOL所在地区稳定边界层结构已有较多模式验证和应用,有相对完善的参数化方案选择(王瑾等,2012;张龙等,2012;赵世强等,2012;王腾蛟等,2013),主要包括MYJ边界层方案、WSM3 微物理方案、RRTM长波辐射方案、Dudhia短波辐射方案、Monin-Obukhov近地层方案、Noah陆面过程方案等.初始场选用NCEP(the National Centers for Environmental Prediction Climate Forecast System Reanalysis)1° × 1°再分析资料,采用NCEP提供的全球30″地形数据;时间步长为6 s;模式积分时间为相应日期 的06时至24时UTC,对应于BJT 14时至次日08时.
选取2008年12月4、9、10和13日4个夜间00—06时作为研究时段,分析LLJ对近地层湍流活动的影响.其中4、13和9日分别对应于强LLJ、LLJ相对较弱和无LLJ情形,4日和13日LLJ连续维持3 h以上,10日则是00—02时有LLJ发生,之后消散.图 2给出了这4天的模拟值和对应观测值的比较.图 2a是2 m气温的模拟值和观测值;图 2b中风速的模拟值对应于模式第2层(2.5 m高度处),风速观测高度分别为2 m和4 m. WRF模式能够很好地反映SACOL气温的变化特征;受复杂地表影响,风速模拟值与观测值存在一定差异,但仍能较好地反映风速的变化趋势.图 2c是水平风速在垂直方向上的梯度的模拟值与观测值,模拟值由模式第2、第3两层(分别对应高度2.5 m和5.4 m)水平风速计算所得,观测值由2 m和4 m两个高度层上的风速观测资料计算所得.
![]() |
图 2 模拟值与观测值比较 (a)2 m气温T2;(b)风速U;(c)风速梯度GU. Fig. 2 Comparing simulated and observed values (a)Temperature at the height of 2 m;(b)Horizontal wind speed;(c)Velocity gradient. |
对比表明,WRF能较好地模拟出SACOL风速、温度的变化特征,能在一定程度上描述 SACOL周围稳定边界层中LLJ的空间、强度等特征. 4 低空急流对近地层湍流的影响
LLJ对应于地表以上几百米范围内风速廓线上的极大值,是一层快速流动的空气薄层(Banta et al., 2002;李炬等,2008).由于其形成原因还不完全清楚,观测特征上也存在较大差异,目前对辨别LLJ没有通用标准. Blackadar(1957)把风廓线上出现极大值,极大值比其上层的极小值大2.5 m·s-1以上,且该层气流超地转时定义为LLJ发生;Rider等(1971)认为极大值要比极小值大出3.0 m·s-1; Conangla 等(2006)则认为该判别标准取0.5 m·s-1 比较合适;Kallistratova 等(2012)在分析中发现1.0 m·s-1是比较合适的判别LLJ的标准.这里,在判别LLJ时,沿用Andreas 等(2000)的标准,即在稳定边界层中,某一高度处出现风速极大值,且比其上层和下层相邻的极小值大2.0 m·s-1以上时,认为有LLJ发生.Banta 等(2002)采用这一标准 研究了CASES-99试验(1999 Cooperative Surface-Atmosphere Exchange Study)期间Kansas上空稳定边界层LLJ特征;Karipot 等(2008)沿用该判别方法考察了Florida夜间低空急流对森林冠层高度附近湍流活动的影响. 4.1 个例分析
以2008年12月10日00—06时为例说明低空 急流对近地层湍流的影响.图 3是10日00—06时WRF 模拟的SACOL风廓线.
![]() |
图 3 2008年12月10日00—06时WRF模拟的SACOL风廓线 等值线是水平风速,箭头表示对应时刻和高度上的水平风向;纵轴表示离地面高度. Fig. 3 Time-height section of simulated wind profile at SACOL from 00 to 06 BJT on 10,Dec. 2008 The contours and the arrows represent horizontal wind speed and horizontal wind direction,respectively;the vertical axis is the height above surface. |
00—02时,SACOL上方几十至400 m高度范围内出现风速大值区,最大风速为9.0 m·s-1,以西北风为主,近地层风向与之一致.图 4给出了12月10日01时通过SACOL,沿东南—西北走向的垂直剖面,该剖面大致沿山谷走向.可以清楚地看出该风速极大值区沿着山谷走向,水平尺度超过40 km,厚度为200 m左右,其上层和下层的风速极小值区水平风速均不超过4.0 m·s-1;沿气流走向,特别是SACOL上风向温度分布基本均匀,这种流场结构相对比较稳定.
![]() |
图 4 12月10日01时东南—西北走向的垂直剖面图 彩色填充图和蓝色等值线分别表示水平风速(m·s-1)和温度(℃)的模拟值;横轴表示离SACOL的水平距离, 纵轴表示海拔高度; 黑色阴影表示沿东南—西北走向的地形特征. Fig. 4 Vertical section of simulated temperature and wind speed along the southeast-northwest direction at 01 ∶ 00 on 10,Dec. 2008 Color map and the blue contours represent horizontal wind speed and temperature,respectively;the calibration of horizontal axis is the distance from SACOL, and the vertical axis is elevation;black shadow is the topography along the southeast-northwest direction. |
图 3和图 4的尺度和结构特征表明00—02时,SACOL上方有LLJ发生.急流轴高度在地表以上300 m左右,急流层厚度约200 m. Andreas等(2000)在ISW(Ice Station Weddell)的探空观测发现,急流轴高度始终在425 m以下,其中2/3发生在25~175 m之间,急流轴风速大多在4~10 m·s-1;Conangla等(2006)发现SABLES 98试验(the Stable Boundary Layer Experiment in Spain,1998)期间,急流轴高度在21~137 m之间,最大风速在3.5~11.5 m·s-1范围内;Karipot等(2008)在Florida森林上方的观测表明,LLJ最大风速在4~ 16 m·s-1之间,超过半数的LLJ急流轴高度在200~400 m. 这些观测的LLJ高度等特征与SACOL类似,急流轴高度基本都在400 m以下.但在SACOL,受复杂地形的影响,LLJ维持的时间相对于平坦站点较短,常表现为间歇LLJ.连续稳定的LLJ通过其剪切作用加强近地层湍流活动和通量输送,湍流平稳性好(Banta et al., 2002;Mathieu et al., 2005;Karipot et al., 2008);而间歇LLJ的影响则表现为分散的垂直混合事件(Karipot et al., 2006).
LLJ的形成最早被归因于惯性振荡机制(Blackadar,1957),夜间,提供摩擦力的大尺度湍涡迅速消散,气流受力不平衡,在科氏力作用下向右偏转并加速形成超地转风,形成地表以上几百米范围内垂直风廓线上的极大值.在平坦的站点上方,LLJ常由惯性振荡机制引起,通常能维持整个夜间(Banta et al., 2002;Sun et al., 2002;Karipot et al., 2008;Kallistratova et al., 2012). Holton(1967)提 出热成风振荡机制,补充了LLJ的形成机理,即斜坡地形上受热的日循环特征导致热成风周期变化,形成低层风振荡.纯惯性振荡或热成风振荡很少单独出现,常伴随着其他影响因素,如海陆风、山谷风、斜压性、锋面活动等等多种大气过程均对稳定边界层中LLJ的形成和维持有重要作用(Burk et al., 1996;Parish,2000;Lundquist,2003;Baas et al., 2009).
图 5给出了WRF模拟的12月10日01时离 地面100 m左右高度处的风场信息.SACOL所在的萃英山位于一东南—西北走向的山谷中,受地形限制,气流沿山谷从西北吹向东南方向,同时沿气流走向地形起伏显著.LLJ的出现伴随着强烈的垂直运动,地形的强迫作用引发的局地环流对LLJ的形成和维持有重要影响,清晰认识SACOL所处的复杂地形上LLJ的形成机制还需要大量的观测和进一步研究.
![]() |
图 5 12月10日01时WRF模拟的地表高度100 m左右风场 绿色圆点标注SACOL位置;横轴和纵轴表示距SACOL的水平距离;彩色填充图是垂直速度,箭头表示水平风场. Fig. 5 The simulated wind field about 100 m above ground Location of SACOL is marked with green dot;the calibration of axis is the horizontal distance from SACOL; color map and the arrows represent simulated vertical velocity and horizontal wind field,respectively. |
从图 3可以看出,10日00—02时SACOL上空 有LLJ出现,受上层气流拖曳作用,近地层风向与LLJ一致,相对较稳定;02时之后LLJ消散;03时之后,地表高度600 m以上出现新的风速极大区,风向为北偏东方向,但高度较高,对近地层影响很小,受复杂地表引发的各种非平稳运动影响,近地层风向复杂多变.这里,非平稳运动统称地形波、密度流等稳定边界层中阵发性的运动过程,这些运动的时间尺度通常为几到20 min,表现为湍流观测序列中风向或风速的突然改变.为分析LLJ对近地层湍流活动的影响,这里只关注地表高度400 m以下的LLJ.为了解近地层湍流结构,对12月10日00—06时EC观测的水平风速u分量进行Morlet小波分析(图 6).与传统的傅里叶变换相比,小波分析的最大优点是能够提供时间域和频率域的二维描述.因此,能够用来描述不同尺度运动特征,确定各种尺度运动的开始时间以及持续时长和强度信息.小波系数的模平方用来表示能量分布状况,00—02时,LLJ的出现使得气流相对平稳,LLJ造成的垂直剪切对小尺度湍流有强烈的生成作用,时间尺度在5 min以下的小尺度湍涡相对活跃,随LLJ减弱而减弱. 02时之后LLJ消散,伴随着时间尺度在5~10 min的几次非平稳运动过程,湍流表现为显著的间歇性.无LLJ时,近地层湍流以间歇性为主,非平稳运动起主要作用;LLJ发生时,非平稳运动被压制,剪切作用生成的小尺度湍涡活动加强.
![]() |
图 6 2008年12月10日00—06时EC观测的风速u分量的能量分布(m2·s-2) Fig. 6 Energy distribution by wavelet analysis for u component of the horizontal wind measured by EC,from 00 to 06 BJT on 10,Dec. 2008 |
对站点湍流观测资料的尺度分解表明,稳定边界层局地层结和下垫面作用生成湍流的时间尺度为 几分钟(梁捷宁等,2013a).用10 min的平均窗区,对EC以10 Hz频率采样的数据进行处理计算湍动 能e.00—02时,e在0.25~0.51 m2·s-2之间变化;02—04时,湍流活动较弱且相对平稳,e约为0.15 m2·s-2; 04—06时无LLJ存在,但站点周围复杂地形引发的重力波等非平稳运动造成湍流呈显著的间歇性,e在0.15~0.45 m2·s-2之间变化,起伏较大. 4.2 LLJ对湍流强度和湍流输送方向的影响
为进一步了解LLJ对近地层湍流活动强度和输送方向的影响,选取12月4、13和9日进行分析.WRF模拟结果表明,12月4日和13日SACOL上方分别存在不同强度的LLJ,12月9日夜间无LLJ 存在.图 7是WRF模拟的3个夜间00—06时SACOL 上方风廓线的时间变化特征,对应于从00时开始每30 min一个记录.
![]() |
图 7 模拟的SACOL夜间风廓线,自上而下依次为12月4、13和9日.纵坐标表示离地面高度 Fig. 7 The simulated wind profile over SACOL on December 4,13 and 9. The vertical axis is the height above surface |
12月4日,自00时起,LLJ开始建立发展,00 ∶ 30—02 ∶ 30时段LLJ最强,急流轴最大风速Um达到12 m·s-1,急流层厚度近300 m,急流轴沿东南-西北走向,风向为160°;03时之后风向逐渐偏转,LLJ变弱;03 ∶ 30风向转至180°,LLJ瓦解;之后,风向逐渐转变至300°,并于04 ∶ 30形成新的LLJ,急流轴内气流自西北吹向东南方向.12月13日则是在01时之后在100 m以下形成LLJ,急流层内风向为330°,并持续到05 ∶ 30;LLJ于03时达最强,急流轴风速为9.0 m·s-1,之后逐渐减弱,05时Um减小至6.0 m·s-1.
以EC观测的每10 min长度的资料作为1个记录,每个记录有6000组数据点,对应于这三个夜 间,共获得108个记录,将这些数据按LLJ存在与否进行分类,图 8给出不同类型湍流e与梯度理查森数Ri的关系.存在LLJ时,87.3%的点落在Ri<0.25一侧;与此相反,不存在LLJ时,65.4%的点分布在Ri>0.25一侧. Banta等(2003)在平坦站点的分析发现,LLJ的存在造成Ri<0.3的弱稳定层结和e>0.2 m2·s-2的强湍流活动,Banta等(2006)的研究进一步支持了这一观点;Karipot等(2008)在森林上方的观测表明,强LLJ导致Ri< 0.2,e>0.2 m2·s-2;Hu等(2013a)用WRF模式模拟Oklahoma上方LLJ特征,分析了其对近地层湍流的影响,LLJ加强夜间边界层的湍流混合,减弱层结稳定度,e>0.4 m2·s-2.这些结果与SACOL相似,LLJ的剪切作用造成强烈的湍流活动和弱层结稳定性,改变地气之间的物质输送和能量交换.同时也说明,选择的这些数据能够较好地反映SACOL上方LLJ对近地层湍流活动的影响.
![]() |
图 8 EC观测的湍动能e随梯度理查森数Ri的分布 灰色三角形和空心圆分别表示LLJ存在与否的情形. Fig. 8 Scatterplots of turbulent kinetic energy e versus Gradient Richardson number Ri Gray triangle and open circles denote situations with the presence of LLJ or not. |
另一方面,在没有LLJ存在的强稳定情形,Banta等(2003)、Karipot等(2008)和Hu等(2013a)的研究都发现湍流迅速衰退,e为0.1 m2·s-2 甚至更小;而在SACOL,e没有象平坦站点那样急剧减小,受复杂地形诱发的非平稳运动影响,e变化范围大,湍流间歇性强.
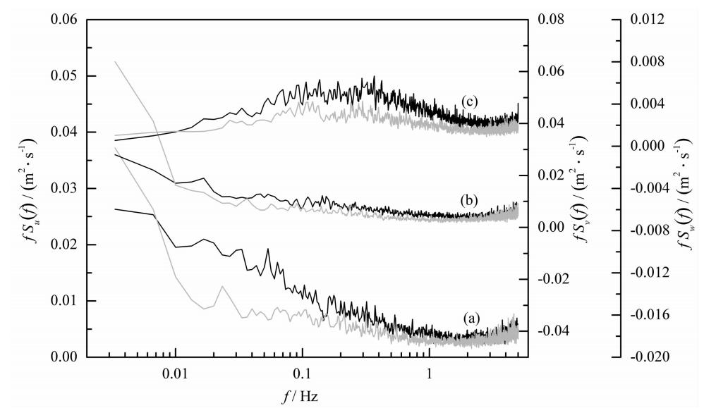
图 9给出LLJ存在与否时的三维风速平均功率谱.在垂直方向上,以小尺度湍流为主,能量主要集中在频率大于0.1 Hz的高频端;存在LLJ时,谱峰在0.1~0.3 Hz之间,跨度很宽,受LLJ的剪切生成和复杂地表的摩擦作用,湍流活动强;不存在LLJ时,多为Ri>0.25的强稳定层结,湍流能量弱.不存在LLJ时,水平风速功率谱在低频端迅速增大,斜率接近-2,是由复杂地形激发的地形波等非平稳运动过程造成的,同样的现象在其他站点也有出现,并被一些作者称为浮力副区(Cava et al., 2001;Hgstrm et al., 2002;刘树华等,2005);而LLJ发生时,急流剪切作用居优势地位,非平稳运动被压制,浮力副区消失.对于频率高于0.01 Hz的小尺度湍流,LLJ存在时湍流能量显著高于LLJ不存 在的情形,反映了LLJ产生的垂直方向上的风速剪切对小尺度湍流的生成作用.
![]() |
图 9 EC观测的三维风速平均功率谱 (a)u谱;(b)v谱;(c)w谱. u、v和w分别表示平均气流方向、横风方向 和垂直方向的风速分量;图中黑色和灰色线条分别表示LLJ存在与否的情形. Fig. 9 The average of power spectra for(a)u,(b)v and (c)w u,v and w represent velocity component in mean flow direction,cross wind direction and vertical direction, respectively;black curves indicate the situation with presence of LLJ,while gray curves indicate that with no LLJ. |
以湍动能e为湍流活动强度指标,分析了12月4日、13日和9日的湍流强度和输送特征,见图 10.湍流活动强度受到LLJ显著影响.12月9日没有LLJ,e维持在0.2 m2·s-2左右;在12月4日LLJ相对较强的前3个小时内,湍流活动强烈,e最大为0.55 m2·s-2,之后3个小时,随着LLJ减弱e减小;同样,在12月13日,自02时起随着LLJ的发展,e增大,05—06时尽管LLJ风速减弱,但高度降低,造 成近地层切变加强,湍流活动强烈.不存在LLJ或 LLJ较弱时,湍动能通量
基本为正,湍流 在近地层产生向上传递,e输送强度在10-4 m3·s-3 量级;而在强LLJ条件下,
为负,出现“Upside Down” SBL,e输送强度增大1个量级,在-3 × 10-3 m3·s-3 左右,最强达-7.7 × 10-3 m3·s-3,输送强度受 LLJ的最大风速和急流轴高度影响.“Upside Down” SBL中,污染物被向下输送在近地层积累,造成瞬时浓度的极大值,甚至超过一定阈值严重影响人类生产生活.在空气污染治理方面,应对LLJ及其对近地层湍流活动的影响给予更多关注.
![]() |
图 10 12月4、9和13日00—06时EC观测的近地层湍流特征
(a)湍动能e;(b)湍动能通量 .
Fig. 10 Turbulent characteristics obtained from EC data during 00 : 00—06 : 00 on December 4,13 and 9 The turbulence kinetic energy e and the flux of turbulence kinetic energy, ,are exhibited in the left and right panel,respectively. |
利用兰州大学半干旱气候与环境观测站(SACOL)的湍流观测资料,结合WRF模拟结果,分析了SACOL代表的黄土高原复杂地形上稳定边界层LLJ对近地层湍流活动的影响.
(1)地形作用引发的局地环流对SACOL上方LLJ的形成和维持有重要影响,LLJ多表现为间歇性,持续时间多为2~3个小时.以2008年12月10日00—06时为例,讨论了LLJ对近地层湍流活动的影响.近地层湍流受LLJ强烈影响,存在LLJ时近地层湍流活动加强,e在0.25~0.51 m2·s-2之间,以高频湍涡为主;不存在LLJ时,受重力波等非平稳运动的影响,湍流活动表现出显著的间歇性,e在0.15~0.45 m2·s-2之间变化,起伏较大.
(2)存在LLJ时,87.3%的观测数据表现为弱稳定情形,Ri<0.25,湍流活动强;不存在LLJ时,大多是强稳定情形,Ri>0.25,e变化范围大,湍流间歇性强.LLJ通过增大剪切作用、改变层结稳定度影响近地层的湍流活动强度,此时非平稳运动受到抑制,湍流平稳性较好;没有LLJ时,地形等因素诱发的非平稳运动处于主要地位,低频运动成分对湍流能量贡献显著.
(3)无LLJ和弱LLJ时,湍流在近地层产生并向上传递,e输送强度为10-4 m3·s-3量级;而强LLJ发生时,湍流在上层产生并向下传递,并且输送强度受LLJ的最大风速和急流轴高度影响,
增大一个量级,为-3 × 10-3 m3·s-3左右.LLJ及其导致的“Upside Down”SBL,在空气污染治理和陆气交换研究方面应受到重视.
致谢 本文使用了兰州大学半干旱气候与环境观测站(SACOL)的观测资料,使用了NCEP/NCAR 1°× 1°再分析资料,在此一并深表谢意;感谢甘肃省超级计算中心提供数值模拟计算平台.
| [1] | Andreas E L, Claffy K J, Makshtas A P. 2000. Low-level atmospheric jets and inversions over the western Weddell Sea. Bound.-Layer Meteor. , 97(3):459-486. |
| [2] | Baas P, Bosveld F C, Klein Baltink H, et al. 2009. A climatology of nocturnal low-level jets at Cabauw. J. Appl.Meteorol. Clim. , 48(8):1627-1642. |
| [3] | Balsley B B, Svensson G, Tjernström M. 2007. On the scale-dependence of the gradient richardson number in the residual layer. Bound.-Layer Meteor. , 127(1):57-72. |
| [4] | Banta R M, Newsom R K, Lundquist J K, et al. 2002. Nocturnal low-level jet characteristics over Kansas during CASES-99. Bound.-Layer Meteor. , 105(2):221-252. |
| [5] | Banta R M, Pichugina Y L, Brewer W A. 2006. Turbulent velocity-variance profiles in the stable boundary layer generated by a nocturnal low-level jet. J. Atmos.Sci. , 63(11):2700-2719. |
| [6] | Banta R M, Pichugina Y L, Newsom R K. 2003. Relationship between low-level jet properties and turbulence kinetic energy in the nocturnal stable boundary layer. J.Atmos.Sci. , 60(20):2549-2555. |
| [7] | Beyrich F. 1994. Sodar observations of the stable boundary layer height in relation to the nocturnal low-level jet. Meteorol. Z. , 3(1):29-34. |
| [8] | Blackadar A K. 1957. Boundary layer wind maxima and their significance for the growth of nocturnal inversions. Bull.Amer. Meteor.Soc. , 38(5):283-290. |
| [9] | Burk S D, Thompson W T. 1996. The summertime low-level jet and marine boundary layer structure along the California coast. Mon.Wea.Rev. , 124(4):668-686. |
| [10] | Cava D, Giostra U, Tagliazucca M. 2001. Spectral maxima in a perturbed stable boundary layer. Bound.-Layer Meteor. , 100(3):421-437. |
| [11] | Chen J B, Lü S H, Yu Y. 2012. Comparison of heat and matter transfer characteristics in the surface layers of oasis and Gobi. Chinese J. Geophys. (in Chinese), 55(6):1817-1830. |
| [12] | Conangla L, Cuxart J. 2006. On the turbulence in the upper part of the low-level jet:An experimental and numerical study. Bound.-Layer Meteor. , 118(2):379-400. |
| [13] | Corsmeier U, Kalthoff N, Kolle O, et al. 1997. Ozone concentration jump in the stable nocturnal boundary layer during a LLJ-event. Atmos.Environ. , 31(13):1977-1989. |
| [14] | Högström U, Hunt J C R, Smedman A-S. 2002. Theory and measurements for turbulence spectra and variances in the atmospheric neutral surface layer. Bound.-Layer Meteor. , 103(1):101-124. |
| [15] | Hidy G M. 2000. Ozone process insights from field experiments—Part I:overview. Atmos.Environ. , 34(12):2001-2022. |
| [16] | Holton J R. 1967. The diurnal boundary layer wind oscillation above sloping terrain 1. Tellus. 19(2):199-205. |
| [17] | Hu X-M, Doughty D C, Sanchez K J, et al. 2012. Ozone variability in the atmospheric boundary layer in Maryland and its implications for vertical transport model. Atmos.Environ. , 46:354-364. |
| [18] | Hu X-M, Klein P M, Xue M, et al. 2013a. Impact of low-level jets on the nocturnal urban heat island intensity in Oklahoma city. J.Appl.Meteorol. Clim., 52(8):1779-1802 |
| [19] | Hu X-M, Klein P M, Xue M, et al. 2013b. Impact of the vertical mixing induced by low-level jets on boundary layer ozone concentration. Atmos.Environ. , 70:123-130. |
| [20] | Huang J, Zhang W, Zuo J, et al. 2008. An overview of the semi-arid climate and environment research observatory over the Loess Plateau. Adv.Atmos. Sci., 25(6):906-921 |
| [21] | Jiang H M, Liu S H, Liu H P. 2012. A study on energy budget characteristics over a heterogeneously irrigated cotton field. Chinese J. Geophys. (in Chinese), 55(2):428-440. |
| [22] | Jiang H M, Liu S H, Zhang L, et al. 2013. A study of turbulent heat flux corrections and energy balance closure problem on the surface layer in EBEX-2000. Acta Scientiarum Naturalium Universitatis Pekinensis(in Chinese), 3:015. |
| [23] | Kallistratova M, Kouznetsov R D, Kuznetsov D D, et al. 2009. Summertime low-level jet characteristics measured by sodars over rural and urban areas. Meteorol. Z., 18(3):289-295 |
| [24] | Kallistratova M A, Kouznetsov R D. 2012. Low-level jets in the Moscow region in summer and winter observed with a sodar network. Bound. -Layer Meteor., 143(1):159-175 |
| [25] | Karipot A, Leclerc M Y, Zhang G. 2009. Characteristics of nocturnal low-level jets observed in the north Florida area. Mon. Wea. Rev., 137(8):2605-2621 |
| [26] | Karipot A, Leclerc M Y, Zhang G, et al. 2008. Influence of nocturnal low-level jet on turbulence structure and CO2 flux measurements over a forest canopy. J.Geophys.Res. , 113(D10):D10102. |
| [27] | Karipot A, Leclerc M Y, Zhang G, et al. 2006. Nocturnal CO2 exchange over a tall forest canopy associated with intermittent low-level jet activity. Theor.Appl.Climatol. , 85(3-4):243-248. |
| [28] | Li J, Shu W J. 2008. Observation and analysis of nocturnal low-level jet characteristics over Beijing in summer. Chinese J. Geophys. (in Chinese), 51(2):360-368. |
| [29] | Liang J N, Zhang L, Bao J, et al. 2013a. Turbulence influenced by mesoscale motions in the stable boundary layer over complex terrain of the Loess Plateau. Chinese J. Atmos. Sci.(in Chinese), 37(1):113-123. |
| [30] | Liang J N, Zhang L, Zhang W, et al. 2013b. Energy balance analysis over Loess Plateau and the consequences for carbon dioxide flux. Acta Phys.Sin. , 62(9):099203. |
| [31] | Liu H Z, Feng J W, Wang L, et al. 2013. Overview of recent studies on atmospheric boundary layer physics at LAPC. Chinese J. Atmos. Sci.(in Chinese), 37(2):467-476. |
| [32] | Liu H, Sang J. 2011. Numerical simulation of roll vortices in the convective boundary layer. Adv.Atmos.Sci. , 28(3):477-482. |
| [33] | Liu S H, Li J, Liu H P, et al. 2005. Characteristics of turbulence spectra and local isotropy in EBEX-2000. Chinese J. Atmos. Sci. (in Chinese), 29(2):213-224. |
| [34] | Liu S H, Pan Y, Hu F, et al. 2009.Numerical simulation of summmer land surface energy budget in desert and oasis regions. Chinese J. Geophys.(in Chinese), 52(5):1197-1207. |
| [35] | Lundquist J K. 2003. Intermittent and elliptical inertial oscillations in the atmospheric boundary layer. J.Atmos.Sci. , 60(21):2661-2673. |
| [36] | 陈晋北,吕世华,余晔.2012.绿洲和戈壁近地面层热量和物质输送特征对比. 地球物理学报,55(6):1817-1830. |
| [37] | 姜海梅,刘树华,刘和平.2012.非均匀灌溉棉田能量平衡特征研究. 地球物理学报,55(2):428-440. |
| [38] | 姜海梅,刘树华,张磊,等.2013.EBEX-2000湍流热通量订正和地表能量平衡闭合问题研究. 北京大学学报(自然科学版),3:015. |
| [39] | 李炬,舒文军.2008.北京夏季夜间低空急流特征观测分析. 地球物理学报,51(2):360-368. |
| [40] | 梁捷宁,张镭,鲍婧等.2013a.黄土高原复杂地形受中尺度运动影响的稳定边界层湍流特征. 大气科学,37(1):113-123. |
| [41] | 梁捷宁,张镭,张武等.2013b.黄土高原半干旱区地表能量不闭合及其对二氧化碳通量的影响. 物理学报,62(9):099-203. |
| [42] | 刘辉志,冯健武,王雷等.2013.大气边界层物理研究进展. 大气科学,37(2):467-476. |
| [43] | 刘树华,李洁,刘和平等.2005.在EBEX-2000实验资料中湍流谱和局地各向同性特征. 大气科学,29(2):213-224. |
| [44] | 刘树华,潘英,胡非等.2009.沙漠绿洲地区夏季地表能量收支的数值模拟. 地球物理学报,52(5):1197-1207. |
| [45] | 罗涛,袁仁民,吴晓庆等.2008.正交小波变换研究复杂下垫面边界层的湍流特征. 高原气象,27(6):1195-1204. |
| [46] | 王瑾,张镭,王腾蛟等.2012.兰州附近山谷典型日环流特征对比分析. 干旱气象,30(2):169-177. |
| [47] | 王腾蛟,张镭,胡向军等.2013.WRF模式对黄土高原丘陵地形条件下夏季边界层结构的数值模拟. 高原气象,32(5):1261-1271. |
| [48] | 张龙,张镭,王颖等.2012.基于WRF不同边界层方案的黄土高原丘陵冬季地面气象要素变化模拟分析. 干旱气象,30(2):158-168. |
| [49] | 赵世强,张镭,王治厅等.2012.利用激光雷达结合数值模式估算兰州远郊榆中地区夏季边界层高度. 气候与环境研究,17(5):523-531. |
| [50] | 左金清,王介民,黄建平等.2010.半干旱草地地表土壤热通量的计算及其对能量平衡的影响. 高原气象,29(4):840-848. |
2014, Vol. 57












