2. 中国科学院地质与地球物理研究所, 北京 100029;
3. 中国地质大学(武汉), 武汉 430074
2. Institute of Geology and Geophysics, CAS, Beijing 100029, China;
3. China University of Geosciences, Wuhan 430074, China
Stewart于1883年开创性地提出电离层发电机理论的概念,即地球高空大气中可能存在电流体系,这些电流是由能导电的高层大气穿越磁力线运动而产生的,并且会导致地面的地磁扰动.随着电离层的存在被探测所证实,电离层发电机理论也逐渐引起电离层和地磁专家的兴趣,用来解释地面观测的地磁扰动现象,不过发电机理论的具体细节和数学描述并未严格给出.后来Baker和Martyn(1953)在前人工作的基础上,对Stewart的思想进行了进一步发展和完善,最后形成了广为接受的电离层发电机理论,并提出了二维简化的电离层发电机理论方程.
随着计算机技术的发展,许多学者致力于对电离层发电机理论方程进行数值求解,也得到了很多有意义的结果,解释了许多观测事实.Van Sabben(1970)计算了随高度变化的非周期风场产生的电流,Tarpley(1970)研究了在简单电导率模型的情况下,各种潮汐模风场产生的电流体系的形态和结构,发现任何一种单一的风模都不能产生与观测一致的Sq电流形态.Schieldge和Venkateswaran(1973)尝试用多种风模叠加的风场来驱动电流,得到的结果与观测更加符合.国内学者也做了大量工作,焦维新和沈长寿(1991)计算了风感应的电离层电流密度,陈培仁和马俊(1995)研究了准两年振荡的发电机效应,徐文耀等(1994)介绍了全球电离层发电机理论方程的一种数值求解方法,比较了与半球发电机理论的差别.由于二维发电机理论得到的电场电流是沿高度的积分结果,且很难考虑F区的发电机效应,三维电离层发电机理论模拟也得到了重要发展.Forbes和Lindzen(1976)在球坐标系中求解三维的发电机方程,模式中考虑了与非相干散射雷达测量结果很接近的实际周日和半日潮汐风场,计算的结果与观测结果相符合.在地磁坐标系下,Takeda和Maeda(1980)建立一个三维电离层电场理论模式,成功地研究了赤道电激流和子午面内电流的形态和结构.Crain 等(1993)讨论了电场模式和电离层理论模式耦合计算的结果,并比较了不同输入背景风场对电场的影响.Richmond等(1980)考虑了电离层电场模式-热层大气模式-电离层模式相互偶合的情况下,得到更为自洽的结果.余涛等(2002)也建立了一个以现代电离层发电机理论为基础的三维电离层电场理论模式,利用该模式研究发现中性风驱动的中低纬电离层电场具有一定的半年变化特征,该半年变化的电场对电离层电子浓度半年变化幅度有一定的影响.
发电机理论的另外一个应用是解释由地面地磁资料反演电离层等效电流体系,早在1940年,Bartles和Johnston(1940)就介绍了由地磁扰动分量反演电离层电流的理论方法,随后,Campbell(1982),Tarpley(1970),Kato(1956)都运用这种方法成功反演电离层电流并运用到相关的研究中.由于这种方法可以利用地磁资料通过地磁场(主要是变化磁场)的观测,反演诊断出电离层的电流和电场分布,从而为电离层动力过程的实验观测提供新的手段,也得到国内学者的充分关注.高玉芬(1992)利用我国东部地面地磁台链的数据,分析了Sq的季节变化规律,并发现在冬、夏季清晨南北半球间存在电离层发电机驱动的场向电流.熊先宝和徐文耀(1993)利用我国9个台站地磁数据,研究了我国中低纬度地区Sq焦点位置的变化特征.随着今后的“子午工程”的实施及其地磁台链的完善,地面地磁 数据反演电流的诊断技术将有更加广泛的应用前景.
值得注意的是,通过对地面地磁场扰动分量的观测反演电离层一定高度范围内的平均电流系(Richmond et al,1976),和二维发电机理论给出的结果非常一致,其结果可很好地相互检验和对照,也促进了二维发电机理论的发展和应用.因此,重新考虑二维电离层发电机理论,本文建立完善的二维发电机理论模型,并结合地磁观测资料进行对比研究和数据同化具有明显的应用价值.
2 模式的建立 2.1 基本方程在地理球坐标系下,二维发电机理论的基本方程可以简化为一个关于电流函数的椭圆方程:




在给定边界情况下,求解方程(1)即可以获得电流函数ψ,然后可以进一步得到电流和电场的分布.在经度方向可用周期边界条件,即在南北半球极点采用无边界条件(不需要给定边界值),即南北边界上电流函数梯度和为零(徐文耀等,1994),采用逐线迭代法求解(傅竹风和胡友秋,1995).根据“薄壳”发电机理论,电离层电流只能在E区高度上的“薄壳”层内流动,且不能流出该层.因此有以下几个基本假设:(1)“薄壳”内的垂直电流为零,(2)电场的高度变化小且无电流流入和流出垂直边界.
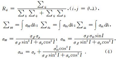
2.2 输入参量下面讨论模式的主要输入参量——电离层电导率和背景中性风场的计算.电离层的电导率主要取决于带电粒子浓度,电子、离子的磁回旋频率及其与中性粒子的碰撞频率的相对大小.电导率的计算结果好坏,在很大程度上影响模式计算的整个电离层的电势、电场和电流分布.本文采用根据流体理论得到的电导率计算公式(Forbes,1981):


在E层以上的高度,电子离子的碰撞频率同样重要,

在给定太阳和地磁活动参数时,电离层电子和离子浓度,温度可以由经验模式IRI90(Blitiza,1990)给出,中性成分的浓度和温度可以由MSISE90(Hedin,1991)给出.图 1为本文利用以上公式计算得到的电导率的结果.从图中可以看出,白天在E层高度上(110 km),Pedersen电导率和Hall电导率出现最 大值,即该高度对应着发电机层.图 2为90~180 km 高度积分电导率的全球分布.
![]() |
图 1 地磁赤道午夜时(虚线)和正午时(实线)电导率随高度的变化.图中分别标出Hall电导率和Pedersen 电导率,计算时取低太阳活动和地磁宁静的情况.电导率的单位是S/m Fig. 1 Conductivities varies with height at magnetic equator at midnight(broken line) and noon(real line)in the solar activity and geomagnetic quiet period. In this figure,Hall conductivity and Pedersen conductivity are marked out respectively,conductivity unit is S/m |
![]() |
图 2 90~180 km高度积分平行电导率(a)、Pedersen电导率(b)和Hall电导率(c)的全球分布,单位kS Fig. 2 Global distributions of parallel conductivity(a),Pedersen conductivity(b) and Hall conductivity(c)integrated from 90km to 180 km in height |
另外一个重要的输入参量是中性风,直接由水平经验风场模式HWM93(Hedin et al,1996)给出.图 3分别给出白天和夜晚东西向和南北向中性风的垂直剖面.可以看出,中性风在120 km左右的高度上有较大的剪切,在200 km以上的F区,中性风的变化不大.图 4是90~180 km高度积分中性风场的全球分布.地磁场采用IGRF2000模型给出.
![]() |
图 3 春分日地磁赤道午夜时(虚线)和正午时(实线)水平风场随高度的变化.图中分别标出东西方向和南北 方向的水平风场,计算时取低太阳活动和地磁宁静的情况 Fig. 3 Horizontal wind varies with height at magnetic equator at midnight(broken line) and noon(real line)in the equinox. In the figure,zonal and meridian wind are marked out respectively in the solar activity and geomagnetic quiet period |
![]() |
图 4 90~180 km高度积分的中性风全球分布(m/s) Fig. 4 Global distribution of neutral winds integrated from 90 km to 180 km in height(m/s) |
方程在球坐标系下进行离散化,在球面上设置均匀网格,内点方程采用中心差分格式,采用松弛迭代法求解,方程(1)的离散形式如下:

模式的边界条件处理直接影响计算结果,传统的方法在南北极点采用固定或对称边界条件,这样极大地限制了计算结果.结合本模式特点,我们采用徐文耀等(1994)提出的“无边界条件”方案,即在南 北半球极点不需要给定边界值,只需要南北边界上电流函数梯度和为零,
另外沿经度上有周期边界条件:ψi,0=ψi,n;ψi,1=ψi,n+1. 在北极点有:ψ0,j=ψn(j=1,2,…n),南极点有ψm+1,j=ψs(j=1,2,…n).
其中内点方程可以直接用松弛迭代法求解,边界条件可以如下近似:在围绕极点很小的半径Δθ内沿λ进行积分(离散情况下是从1-n的求和),如果Δθ无效接近0时,求和的结果就等于n×ψN.则得到以上边界条件:

下面给出模式计算电流的一些初步计算结果.在电离层电场理论模式计算中,作为例子,我们将太 阳和地磁活动参数分别取F10.7=75.0,F10.7A=75.0,Ap=6.0.此外,计算时间取在秋分日,UT=12.0,计算高度(积分高度)为90~180 km,网格2°×7.5°,结果如图 5.
图 5可以看出在南北半球中纬度地区Sq电流有一个电流涡出现在正午前后,且秋分日电流分布南北半球基本对称,此结果与以往的模拟结果(徐文耀等,1994)一致.
![]() |
图 5 电流函数的模拟结果 Fig. 5 The simulation result of current function |
另外,电离层电场,尤其是东西方向的电场由于 可以直接引起电离层等离子体垂直方向的漂移,是电动力学过程中比较关注的参量,我们比较了本文模式的电场与以往的三维发电机模式模拟结果(余涛等,2002)以及经验模式电场的差异,其结果如图 6所示(以一年的第80日为例,IYD=80).图中我们发现本文二维模式的电场与三维模式在上午到正午时间段符合得很好,午后开始出现了差异,尤其是在午夜前时段,三维模式的电场日落增强现象在本模式中没有看到,这也说明夜间电场可能主要由F区 发电机贡献,而本文采用的传统E区发电机理论建立的模式,只能对白天E区发电机过程进行有效的模拟,在今后的模式应用中应当注意这一点.
![]() |
图 6 东西向电场模拟结果比较 Fig. 6 Comparison of simulation results of zonal component of electric field |
在薄壳理论中,有一个基本假设:假定模式输入参数,包括风场和地磁场等随高度不变,即(3)式中地磁和风场在进行高度积分时候为常数.在本模式中由于我们采用HWM和IGRF模式作为风场和地磁场的输入,这些模式可以很方便地给出地磁场和风场的高度变化,因此,我们可以考察高度变化的风场和地磁场对模拟结果的影响,检验薄壳理论的各种近似条件的合理性及其对电流和电场的影响.
图 7给出了模式中风场和地磁场的高度变化,可以看出风场在发电机区(80~160 km)高度上出现了一定的剪切,变化较大,地磁强度呈线性减小,变化相对小.图 8给出了考虑风场和地磁场变化时候电流的模拟结果,模拟参数与图 5一致.
![]() |
图 7 风场和地磁强度在80~300 km范围内的高度变化(a中蓝线代表东向风场,红线代表北向风场) Fig. 7 Neutral winds and geomagnetic field intensity varies with height from 80 km to 300 km |
和图 5对比可以发现,地磁场的高度变化对电流全球分布形态的影响较小(图 8b),但风场的高度变化对电流分布影响明显(图 8a),这可以从图 7中得到解释,由于风场高度变化较显著,如果模式仅取某一个高度的风场作为代表风场,得到的风场结果与全高度积分结果可能存在一定差异,从而导致电流函数的差异,以后利用此模式开展研究工作需考虑此因素.
![]() |
图 8 考虑高度变化风场(a)和地磁场(b)情况下,电流函数的全球分布 Fig. 8 Considering altitude variation of winds(a) and geomagnetic field(b),the global distributions of current function |
早在1960年Hasegawa(1960)在第二个国际太阳年(19321933),利用北纬60°至南纬60°之间46个观测站的数据(考虑Sq电流连续变化的特点弥补了南半球观测数据不足的缺憾),利用Sq电流在地面产生的磁场来获取Sq电流中心的位置,得到了 每两个小时Sq电流中心点在夏至月和冬至月平均位置.结果显示,南大西洋区域的Sq电流中心位置的距离明显大于其他区域,但并没有给出造成这种现象的原因.2005年Stening等(2005)利用澳大利亚—日本观测网1989年12月至1990年6月的观测数据得到了Sq中心位置随纬度的逐日变化,发现南北半球Sq电流中心位置大致共同做极向和赤道向运动,但不是严格的一致;研究了这种变化与赤道电激流强度的关系:通常电激流强度增加时,南北半球的Sq电流中心有一定的向极运动;指出Sq的变化以及半日的潮汐模型或许能够解释这种现象.Gupta(1973)利用1958年每个月的磁场数据,得到了电离层Sq电流系逐月变化的中心位置,指出两个中心位置共同做极向或者赤道向的运动,但也不是严格的一致;两个中心位置分开的距离在美洲区域最大,在亚洲—澳大利亚区域最小;中心位置在美洲区域有最大的位移,并指出这也许与当地磁倾赤道位置最南有关.
Sq电流中心位置和总电流强度的变化规律和空间天气活动强度相关,我们利用该模式模拟了Sq电流中心位置和总电流强度变化,结果如图 9所示.
![]() |
图 9 电流函数中心位置和强度的全球分布 Fig. 9 The global distributions of current function′s foci and intensity |
图 9中可以看出,即使分点南北半球电流也不太对称,但南北电流涡电流强度总和似乎不变,Sq电流涡旋中心位置分布在南北纬度30°附近的纬度带,中心位置略有平行于地磁赤道趋势.在8~12UT(对应电流涡在美洲东和大西洋扇区),北半球电流强度增加南半球减小,其他时间北半球电流减小,南半球增加.
图 10中分别给出电流涡中心位置的分布(a)和地磁场总强度的分布(b),图中可以看出,在8~12UT南半球中心位置南移,北半球变化不大,Sq南北半球中心距离增加,这与Hasegawa(1960)由观测数据得到的结果类似.从图 10b中地磁强度全球分布可以看出,电流中心南北距离似乎与该中心所处位置的磁场总强度相关,在南大西洋异常区地磁强度减弱,根据发电机理论,磁场强度减弱可导致水平电流减弱,这一点从图 9也可以看出来,在南大西洋地磁异常区电流涡旋强度明显下降;另外,从图 10中看出南半球电流涡旋中心在南大西洋异常区也向南移动,可能是与该地区地磁赤道位置偏南有关(Gupta, 1973,Kane,1974),从而导致南半球电流涡旋中心南向移动.Sq电流系中心位置的日变化、逐日和逐月的变化已经有了很多的研究,但是还没有一个明确的理论来解释这些变化规律,还有待进一步研究.
![]() |
图 10 Sq南北半球中心位置(a)和地磁场总强度的全球分布(b) Fig. 10 Global distributions of Sq current′s foci(a) and total intensity of geomagnetic field(b) |
在重新考虑计算方法和外部输入的条件下,基于薄壳发电机理论近似,在地理坐标系下推导出二维电离层发电机理论方程,在无边界假设条件下,采用逐线迭代法求解得到全球二维电离层电流函数,进而得到电离层电流和电场.模式中使用的电导率是根据外部经验模式给出的背景大气和电离层参数,采用理论公式计算得出,输入的中性风场和磁场分别由HWM90和IGRF2000模型给出.该模式较好地给出了全球Sq电流图像及电离层E层发电机电场的基本特征.
模式考虑了外部模式风场以及地磁场随高度的变化对模拟结果影响,发现风场随高度变化对电流影响较大,而磁场随高度变化对电流影响较小.并重点模拟研究了地磁平静时期,Sq电流中心位置和总电流强度的变化规律.发现随着世界时的变化,电流中心位置在地理纬度±30°附近,随地磁纬度线平行移动,且南北半球两个电流涡中心电流强度之和变化不大.在8—12UT时间段内,北半球Sq电流强度增加而南半球电流强度减小,同时南北半球中心距离增加.在其他时间北半球电流减小而南半球增加,南北半球中心距离减小.初步分析认为,上述电流涡旋强度与发电机高度上的地磁场总强度相关,即地球磁场强的地方电流涡旋强度大,地球磁场弱的地方电流涡旋强度弱.而电流涡旋中心位置与地球磁场倾角相关,一般情况下,电流南北涡旋中心应该是以地磁赤道为轴南北对称,而地磁的倾角的“南移”,可能导致电流涡旋中心的南移.该模式可应用于对高层大气和电离层的电动力学过程的理论研究,及与地磁资料反演等效电流的数据同化研究工作.
| [1] | Baker W G, D F Martyn. 1953. Electric currents in ionosphere. Mathematical and Physical Science, 246(913): 281-294. |
| [2] | Bartles J, Johnston H F. 1940. Geomagnetic tides in horizontal intensity at huancayo. J. Geophys. Res. , 45:269-308. |
| [3] | Bilitza D, 1990. International reference ionosphere 1990. NSSDC/WDC-A-R&S, 90-92. |
| [4] | Campbell W H. 1982. Annual and semiannual changes of the quiet daily variations (Sq) in the geomagnetic field at north American locations. J. Geophys. Res. , 87(A2): 785-796. |
| [5] | Chen P R, Ma J. 1995. The occurrence of counter electrojet and the QBO. Chinese Journal of Space Science, 15(1): 8-13. |
| [6] | Crain D J, Heelis R A, Bailey G J, et al. 1993. Low-latitude plasma drift from a simulation of the global atmospheric dynamo. J. Geophys. Res. , 98: 6039-6046. |
| [7] | Forbes J M, Lindzen R S. 1976a. Atmospheric solar tides and their electrodynamic effects—I. The global Sq current system. J. Atmos. Terr. Phys. , 38(9-10): 897-910. |
| [8] | Forbes J M, Lindzen R S. 1976b. Atmospheric solar tides and their electrodynamic effects—Ⅱ. The equatorial electrojet. J. Atmos. Terr. Phys. , 38(9-10): 911-920. |
| [9] | Forbes J M. 1981. The equatorial electrojet. Reviews of Geophysics and Space Physics, 19: 469-504. |
| [10] | Fu Z F, Hu Y Q. 1995. Simulation of Space Plasma. Anhui Science and Technology Press. |
| [11] | Gao Y F. 1992. Seasonal variations of Sq(Y) and field-aligned currents. Chinese Journal of Space Science, 12: 118-122. |
| [12] | Gupta J C. 1973. Movement of the Sq foci in 1958. Pure and Applied Geophysics PAGEOPH, 110(1): 2076-2084. |
| [13] | Hasegawa M. 1960. On the position of the focus of the geomagnetic Sq current system. J. Geophys. Res. , 65(5):1437-1447. |
| [14] | Hedin A E. 1991. Extension of the MSIS thermospheric model into the middle and lower atmosphere. J. Geophys. Res. , 96(A5):1159-1172. |
| [15] | Hedin A E, Fleming E L, Manson A H, et al. 1996. Empirical wind model for the upper, middle and lower atmosphere. J. Atmos. Terr. Phys. , 58:1421-1447. |
| [16] | Jiao W X, Shen C S. 1991. The ionospheric current density driven by the wind. Acta Scientiarum Naturaliuim Universitatis Pekinensis, 27 (5): 621-628. |
| [17] | Kane R P. 1974. Relation between the strength of the Sq current system and its focus position. Proceedings of the Indian Academy of Sciences-Section A, Volume 80, Issue 1, pp 17-25. |
| [18] | Kato S. 1956. Horizontal wind systems in the ionospheric E region deduced from the dynamo theory of geomagnetic Sq variations, Part Ⅱ. J. Geomagnet. Geoelec. Kyoto, 8:24-37. |
| [19] | Richmond A D. 1972. Numerical model of the equatorial electrical electrojet. Rep. AFCRL-72-0668, ERP 421, Air Force Cambridge Res. Lab. , Hanscom AFB, Bedford, Mass, 1972. |
| [20] | Richmond A D, Matsushita S, Tarpley J D. 1976. On the production mechanism of electric currents and fields in the ionosphere. J. Geophys. Res. , 81:547-555. |
| [21] | Richmond A D, Blanc M, Emery B A, et al. 1980. An empirical model of quiet-day ionospheric electric fields at middle and low latitudes. J. Geophys. Res. , 85: 4658-4664. |
| [22] | Schieldge J P, Venkateswaran S V, Richmond A D. 1973. The ionospheric dynamo and equatorial magnetic variations. J. Atmos. Terr. Phys. , 35(6): 1045-1061. |
| [23] | Stening R T, Reztsova, Minh L H. 2005. Day-to-day changes in the latitudes of the foci of the Sq current system and their relation to equatorial electrojet strength. J. Geophys. Res., 110, A10308, doi:10. 1029/2005JA011219. |
| [24] | Takeda M, Maeda H. 1980. Three-dimensional structure of ionospheric currents 1. Currents caused by diurnal tidal winds. J. Geophys. Res., 85(A12), 6895-6899, doi:10. 1029/JA085iA12p06895. |
| [25] | Tarpley J D. 1970a. The ionospheric wind dynamo-I, Solar tide. Planet Space Sci. , 18: 1075-1090. |
| [26] | Tarpley J D. 1970b. The ionospheric wind dynamo-Ⅱ, Lunar tide. Planet Space Sci. , 18: 1090-1103. |
| [27] | Van Sabben. 1970. Ionospheric current systems caused by non-periodic and their implications. Planet Space Sci. , 18: 741-748. |
| [28] | Xiong X B, Xu W Y. 1993. A study of Sq foci in mid and low-latitudes over China. Northwestern Seismological Journal, 15(4):12-22. |
| [29] | Xu W Y, Xia Q, Li W D. 1994. A numerical solution of the dynamo equation for the global ionosphere. Chinese Journal of Space Science, 14(3): 205-209. |
| [30] | Yu T, Wan W X, Liu L. 2003. A theoretical model for ionospheric electric fields at mid-and low-latitudes. Science in China (G), V46, 23-32. |
| [1] | 陈陪仁,马俊. 1995. 反向电集流出现率与大气准两年振荡. 空间科学学报,15(1): 8-13. |
| [2] | 付竹风,胡友秋. 1995. 空间等离子体数值模拟,安徽科学技术出版社. |
| [3] | 高玉芬. 1992. Sq(Y)的季节变化和场向电流. 空间科学学报, 12: 118-122. |
| [4] | 焦维新,沈长寿. 1991. 风感应的电离层电流密度. 北京大学学报(自然科学版), 27: 621-628. |
| [5] | 徐文耀,夏庆,李卫东. 1994. 全球电离层发电机方程的一种数值解法.空间科学学报, 14: 205-209 |
| [6] | 熊先宝,徐文耀. 1993. 我国中低纬度地区Sq焦点的分析与研究. 西北地震学报, 15(4):12-22. |
| [7] | 余涛,万卫星,刘立波. 2002. 中低纬电离层电场理论模式. 中国科学(A), V32: 688-696. |
2014, Vol. 57











