2. 中国地质大学(北京)海洋学院, 北京 100083;
3. 中国地质大学(北京)信息工程学院, 北京 100083
2. School of Ocean Sciences, China University of Geosciences, Beijing 100083, China;
3. School of Information Engineering, China University of Geosciences, Beijing 100083, China
伊洛瓦底盆地在缅甸境内,位于缅甸钦敦江、伊洛瓦底江流域.盆地构造位置位于若开褶皱带和掸—丹那沙林地块之间的中央低地.伊洛瓦底盆地南北长约1600 km,东西宽约150~200 km,面积约为25.2×104 km2(其中包括沿海大陆架面积9.5×104 km2)(周新科,2009;赖生华等,2005).伊洛瓦底盆地是第三系沉降盆地,具有东西分带,南北分块的特点;盆地由西向东可分为三个一级单元:西部深坳带、中部隆起带和东部浅坳带.西部深坳带由北向南的主要凹陷依次为胡冈凹陷、北钦敦凹陷、南钦敦凹陷、沙林凹陷和三角洲凹陷(陈剑光等,2006; Metcalfe,2002)(图1).
![]() | 图1 伊洛瓦底盆地构造单元划分图 Fig.1 The division of tectonic units in Irrawaddy Basin |
由盆地现今热流及由热流标志物(如镜质体反射率)得到的古地温梯度表明,热状态不仅能够指示油气的运移和储集,还能够较准确地反映盆地的构 造演化史(胡圣标和汪集旸, 1995; 胡圣标等,1998; 周中毅和潘长春,1992).到目前为止,伊洛瓦底盆地的性质还存在不同的观点(Morley,2002;Laslett et al., 1987),盆地也没有展开系统的热史以及构造-沉降史的分析与研究.
本文选取伊洛瓦底盆地北部,中部和南部不同位置的井,根据井下所取岩芯测得的镜质体反射率Ro数据,进行了热史的恢复;再结合地震资料,对盆地进行了沉降史进行了模拟.最后,结合热史和沉降史对伊洛瓦底盆地的构造-热演化特征进行了系统分析,对盆地性质的讨论提供了新的证据.
目前,盆地热史可以根据多种古温标进行恢复,例如镜质体反射率,裂变径迹等(邱楠生等,2006;何丽娟等,1998;漆家福和陈发景,1995).利用古温标进行热史恢复一般有以下几种方法:古地温梯度法,古热流法和随机反演法.根据伊洛瓦底盆地的地质概况以及对已有的资料分析,我们采用镜质体反射率计算古地温梯度的方法进行热史的恢复.作为热成熟度的指标,镜质体反射率已经在盆地综合分析和油气勘探中得到了广泛应用(陈刚等,2002;Hu et al., 2001;胡圣标等,1999).经过多年研究,镜质体这一成熟演化过程已经有了许多模型,本文运用了 EASY% Ro 反演方法来进行热史的模拟恢复(Sweeney and Burnham, 1990).
利用EASY% Ro反演法分析古地温一般有以下3个步骤:
(1)选择盆地中一口具有丰富Ro资料的井作为研究对象,计算对应Ro点的古埋深,这里需要进行压实校正和剥蚀量的恢复.在不受主要不整合,局部火山活动影响的盆地内,地层深度和ln Ro之间存在一种线性关系(Allen and Allen, 1990);
(2)根据盆地地质概况假设一个古地温梯度随地质年代变化的模式,结合埋藏史,通过EASY% Ro反演模型模拟出一组随着地层深度分布的Ro的值;
(3)将模拟的Ro的值与实测的Ro值进行对比,进而修改假设的古地温模式,最终使得模拟得到的Ro值与实测Ro值比较吻合,该古地温模式就可以作为古地温梯度.
本文分别对盆地北部,中部和南部的热史进行了模拟恢复,并选取典型地震剖面,根据模拟的Ro和古地温梯度进行了单井埋藏史的分析.具体步骤如下:
(1)对地震剖面进行压实校正和剥蚀量恢复,计算出分析点的古埋深;由于盆地在多期构造演化过程中的挤压逆冲及构造反转,形成了多个不整合面,对下伏地层具有明显的削蚀作用,这对盆地沉降和热演化过程的模拟恢复造成较大影响;因此,模拟过程中需考虑被剥蚀地层的厚度以恢复其原始沉积深度;在这里,通过对地震剖面的精细解释,建立了不整合面下残存地层的结构和几何形态,依据最近岩层几何形态的相似性,恢复了被剥蚀的地层.图2是盆地中部沙林凹陷中的一条二维地震剖面(图1中的测线L1),首先对该剖面进行精细的构造和地层的解释,建立残余地层的沉积结构,然后将剥蚀地层按照下覆地层的几何形态进行了恢复,进而计算出剖面的古埋深;
![]() | 图2 地震剖面剥蚀量恢复图 Fig.2 The seismic section of recovered denudation thickness |
(2)将通过EASY% Ro反演法得到的Ro值与对应点的古埋深拟合出一条Ro%-古深度曲线方程,其中盆地中部沙林凹陷的拟合曲线如图3所示,其具体方程为

其中Dep为Ro值对应的古埋深.然后将步骤(1)中计算得到的古埋深数据带入该曲线方程计算出所分析点的Ro值;
![]() | 图3 中部沙林凹陷Ro%-古深度拟合曲线 Fig.3 Ro%-Palaeodepth fitting curve of the central Sarin depression |
(3)将实测的Ro值与对应的古地温拟合出一条古地温-Ro%曲线方程;图4为沙林凹陷相应的拟合曲线,其具体方程为
![]() | 图4 中部沙林凹陷古地温度-Ro%拟合曲线 Fig.4 Palaeogeothermal-Ro% fitting curve of the central Sarin depression |
其中T为Ro值对应的古温度值.将步骤(2)计算得到的分析点的Ro值代入该曲线方程就可以得出该分析点相应的古温度值,从而获得该分析点的古地温梯度.
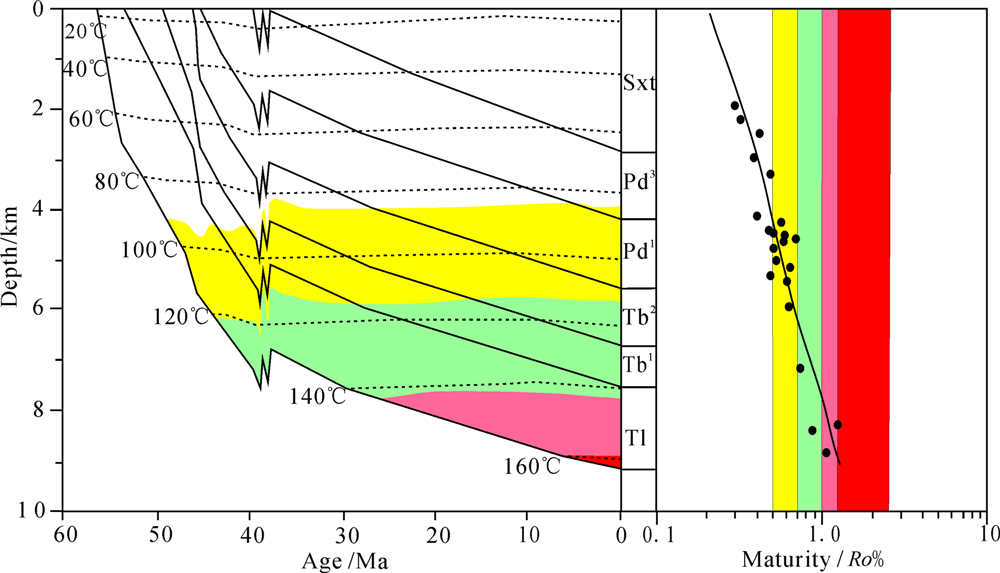
运用上述方法,通过盆地内8口井的岩心测得的镜质体反射率数据的分析,对伊洛瓦底盆地由北向南的钦敦凹陷,沙林凹陷和三角洲凹陷进行了热史的模拟;其中钦敦凹陷和三角洲凹陷各模拟了3口井,沙林凹陷模拟了2口井.盆地内井的实测镜质体反射率Ro数据主要集中在蓬当组(Pd),在始新统(Sxt),塔本组(Tb)以及提林组(Tl)也有少量样品,通过模拟分析表明盆地北部平均古地温梯度为13.0~15.0 ℃/km,古埋深在6000~6600 m的时候,镜质体反射率Ro%达到0.7左右,图5为北部钦敦凹陷W1井的模拟结果;盆地中部沙林凹陷模 拟得到的平均古地温梯度为18.0~22.0 ℃/km,镜质体反射率Ro%达到0.7的古埋深在4700~5400 m 之间,图6为盆地中部沙林凹陷W2井的模拟结果;南部三角洲凹陷的平均古地温梯度为33.0~37.0 ℃/km, Ro%达到0.7的古埋深在2500~3200 m范围内,图7为南部三角洲凹陷W3井的模拟结果;这三口井的具体位置如图1所示.
![]() | 图5 北部钦墩凹陷W1井埋藏史、热史及成熟度史模拟结果 黄色填充区域表示Ro%在0.5~0.7之间,绿色表示Ro%在0.7~1.0之间,粉色表示Ro%在1.0~1.3之间, 红色表示Ro%在1.3~2.6之间,黑点为镜质体反射率实测值, 黑线为模拟计算值. Fig.5 The W1 well burial history, thermal history and mature history of the northern Chindwin depression The yellow zone means the value of the Ro% is between 0.5~0.7. The green zone means the value of the Ro% is between 0.7~1.0. The pink zone means the value of the Ro% is between 1.0~1.3, and the red zone means the value of the Ro% is between 1.0~1.3. The black dots are measured Ro% values and the black line is the modeling curve. |
![]() | 图6 中部沙林凹陷W2井埋藏史、热史及成熟度史模拟结果 Fig.6 The W2 well burial history, thermal history and mature history of central Sarin depression |
![]() | 图7 南部三角洲凹陷W3井埋藏史、热史及成熟度史模拟结果 Fig.7 The W3 well burial history, thermal history and mature history of southern Delta depression |
分析以上数据可以得出,从北部的钦敦凹陷到南部的三角洲凹陷,盆地的古地温梯度逐渐变大,相同埋深的古地温由北向南逐渐变高,生烃门限的深度由深变浅.造成这种结果的原因很可能是由于盆地北部伸展拉伸弱,经历了热沉降后快速隆升,而南部伸展拉伸作用明显,后期反转抬升作用相对较弱.
研究盆地的沉降史可以获取盆地演化的地球动 力学信息,是盆地构造-热演化研究的重要内容.盆地的构造沉降过程及其控制因素的定量描述和理论 模型的建立,是盆地动力学模拟的基础(Starostenko et al., 2001;Ziegler, 1992;Ziegler et al., 1990).本文以拉伸盆地沉降机制为基础,通过模拟伊洛瓦底盆地北部和南部的构造沉降过程,揭示了该盆地形成演化的地球动力学背景,并对其性质进行了探讨.
拉伸盆地的沉降主要与以下几个方面有关.首先是岩石圈的拉伸变薄破裂作用,岩石圈在受到拉伸作用而变薄破裂时,软流圈物质侵入,使得岩石圈密度发生变化并进行均衡调整,盆地基底快速沉降,该过程持续时间短.沉降产生空间的大小取决于岩石圈被拉伸前的厚度和被拉伸的程度.其次是热衰减作用,当拉伸作用停止后,热衰减就成为裂后盆地沉降的主要因素.裂后热衰减沉降是由于之前的热异常逐渐变弱,岩石圈不断冷却,密度变大而均衡调整沉降的结果.热衰减沉降的大小与拉伸引起的热异常大小和随后的冷却时间有关.该过程持续时间较长.由于充填盆地的沉积物或水体负载,导致岩石圈进行均衡调整,这个过程造成的盆地沉降也是一个重要的因素.拉伸盆地的形成演化模型的建立必须要考虑重力均衡作用(Lin et al, 1997,2002;林畅松和张燕梅,1995;Jarvis and McKenzie, 1980).
本文对盆地内5条地震剖面进行了构造沉降史的模拟分析,其中盆地北部钦敦凹陷模拟分析了3条剖面,图8a是北部L1剖面的模拟结果;盆地南部三角洲凹陷模拟分析了2条剖面,图8b是盆地南部L3剖面的模拟结果;两条模拟剖面的具体位置如图1所示.模拟结果表明伊洛瓦底盆地南部和北部具有不同幕次的构造沉降史.
盆地南部的三角洲凹陷呈现出明显的两幕拉张过程(图8b),第一期快速构造沉降是早始新世时期(53~51 Ma),盆地总沉降速率达到700 m/Ma,构造沉降速率约为410 m/Ma,构造沉降量占总沉降 量的60%,代表盆地经历了快速拉伸裂陷期.从51~38 Ma 盆地还处于相对较快的构造沉降阶段,总沉 降速率约为200 m/Ma,构造沉降速率约为60 m/Ma, 该阶段拉伸作用变弱,此后盆地进入了热衰减时期.从38~21 Ma,沉降速率明显降低,盆地进入了相对平静期;到中中新世,盆地进入了第二次快速沉降期,21~13 Ma期间沉降速率明显提高,总沉降速率约为400 m/Ma,构造沉降速率约为150 m/Ma,这表明盆地进入了第二次拉伸裂陷期.13 Ma以后构造沉降量迅速降低,约占总沉降量的20%,反映了构造活动强度逐渐变弱.
盆地北部的钦敦凹陷不具有两幕式的构造沉降特点,只经历了一次快速沉降期(图8a).早始新世时期(53~35 Ma),该地区构造沉降速率和总沉降速率都比较高,35 Ma以后盆地沉降速率明显降低,盆地可能从拉张期过渡到挤压期.
![]() | 图8 伊洛瓦底盆地北部钦敦凹陷(a)和南部三角洲凹陷(b)沉降量与沉降速率图深灰色为总沉降速率;浅灰色为构造沉降速率. Fig.8 The subsidence value and subsidence rate of the northern Chindwin depression and southern Delta depression in Irrawaddy Basin Dark gray is total subsidence rate; Light gray is tectonic subsidence rate. |
(1)从盆地热史的恢复结果可以看出,盆地由北向南的Ro%值逐渐升高,进入生烃门限的深度由深 变浅.北部钦敦凹陷的地温梯度为13.0~15.0 ℃/km, 生烃门限值在6000~6600 m之间;中部沙林凹陷的地温梯度为18.0~22.0 ℃/km,生烃门限深度在4700~5400 m之间,而南部三角洲凹陷的地温梯度 达到了33.0~37.0 ℃/km,生烃门限深度为2500~3200 m. 这表明盆地北部伸展拉伸作用较弱,然后经历快速隆升,盆地南部伸展拉伸作用比较明显,后期反转抬升作用相对较弱.
(2)通过对盆地构造沉降史的分析,可以得出以下结论:盆地的北部只有一幕拉张过程,早始新世时期(53~51 Ma)处于拉张裂陷阶段,随后进入热沉降期,伴随局部的快速隆起;盆地南部具有两幕拉张过程,早始新世时期(53~51 Ma)和中中新世时期(21~13 Ma)各经历了一次明显的拉张裂陷阶段.
(3)盆地南北地温梯度的不同很可能是由盆地南北的拉张强度差异造成的.盆地北部拉张作用较弱,然后即进入热沉降,导致了盆地北部的地温梯度较低;而盆地南部拉张作用明显,并且经历了两期裂陷,后期反转抬升作用相对较弱,从而使得盆地南部的地温梯度较高.
(4)目前对于伊洛瓦底盆地的性质主要有三种观点,分别认为盆地是弧前盆地,弧间盆地和弧后盆地(Purnachandra Rao et al., 2003).本文通过对沉降史的模拟,分析了盆地南部经历过两期伸展作用,具有幕式沉降特征,这可能与盆地处于弧间扩张裂陷的构造环境有关,而盆地东部逆冲断层发育,这些逆冲断层主要是盆内早期正断层后期发生了挤压反转,具有弧后盆地的性质,所以认为伊洛瓦底盆地很有可能处于弧间或者弧后的构造背景.
| [1] | Angevine C L, Heller P L, Paola C. 1990. Quantitative Sedimentary Basin Modelling. AAPG, Cours Mote Series. |
| [2] | Chen G, Zhao Z Y, Li P L, et al. 2002. Ro Inversion of thermal history reconstruction in sedimentary basin and its related problems. Oil & Gas Geology (in Chinese), 23(4): 343-347. |
| [3] | Chen J G, Liu H S, Zhou J, et al. 2006. Structural feature and oil and gas reservoir analysis of block D, Myanmar. Northwestern Geology (in Chinese), 39(1): 105-114. |
| [4] | He L J, Xiong L P, Wang J Y. 1998. The geothermal characteristics in South China sea. China Offshore Oil and Gas (in Chinese), (2): 87-90. |
| [5] | Hu S B, O'Sullivan P B, Raza A, et al. 2001. Thermal history and tectonic subsidence of the Bohai Basin, northern China: a Cenozoic rifted and local pull-apart basin. Physics of the Earth and Planetary Interiors, 126(3-4): 221-235. |
| [6] | Hu S B, Wang J Y. 1995. Principle and progress of geothermal regime study in sedimentary basin. Frontier of Geology (in Chinese), 2(4): 171-179. |
| [7] | Hu S B, Zhang R Y, Luo Y H, et al. 1999. Thermal history and tectonic-thermal evolution of Bohai Basin, East China. Chinese Journal of Geophysics (in Chinese), 42(6): 748-755. |
| [8] | Hu S B, Zhang R Y, Zhou L C. 1998. Reconstruction of geothermal history in hydrocarbon basin. Petroleum Explorationist (in Chinese), 3(4): 56-61. |
| [9] | Jarvis G T, McKenzie D P. 1980. Sedimentary basin formation with finite extension rates. Earth and Planetary Science Letters, 48(1): 42-52. |
| [10] | Lai S H, Ma J M, Liao L. 2005. The oil gas exploration potential of Chindwin sag in the central subsidence belt of Myanmar. Natural Gas Industry (in Chinese), 25(11): 21-24. |
| [11] | Laslett G M, Green P F, Duddy I R, et al. 1987. Thermal annealing of fission tracks in apatite 2: quantitative analysis. Chem. Geol. (ISOL. Geosi. Sect), 65(1): 1-13. |
| [12] | Lin C S, Li S T, Zhang Q M. 1997. Lithospheric stretching, subsidence and thermal history modeling: Application to Yinggehai, Qiongdongnan and Songliao basins in East China. Journal of China University of Geosciences, 8(1): 83-89. |
| [13] | Lin C S, Zhang Y M. 1995. Quantitative stretching models and computer simulation of rift basin. Earth Science Frontiers (in Chinese), 2(3): 79-88. |
| [14] | Lin C S, Zhang Y M, Li S T, et al. 2002. Quantitative modelling of multiphase lithospheric stretching and deep thermal history of some Tertiary rift basins in eastern China. Acta Geologica Sinica-English Edition, 76(3): 324-330. |
| [15] | Metcalfe I. 2002. Permian tectonic framework and palaeogeography of SE Asia. Journal of Asian Earth Sciences, 20(6): 551-566. |
| [16] | Morley C K. 2002. A tectonic model for the Tertiary evolution of strike-slip faults and rift basins in SE Asia. Tectonophysics, 347(4): 189-215. |
| [17] | Purnachandra Rao N, Ravi Kumar M, Tsukuda T. 2003. Current deformation of the Himalaya-Tibet-Burma seismic belt: inferences from seismic activity and strain rate analysis. Journal of Geodynamics, 36(4): 485-496. |
| [18] | Qi J F, Chen F J. 1995. Tectonic Analyses of Cenozoic Refted Basin in Lower Liaohe-East Liao Bay Basin (in Chinese). Beijing: Geological Publishing House. |
| [19] | Qiu N S, Su X G, Li Z Y, et al. 2006. The Cenozoic tectono-thermal evolution of Jiyang depression, Bohai bay basin, East China. Chinese Journal of Geophysics (in Chinese), 49(4): 1127-1135. |
| [20] | Starostenko V I, Danilenko V A, Vengrovich D B. 2001. Modeling of the evolution of sedimentary basins including the structure of the natural medium and self-organization processes. Izvestiya-Physics of the Solid Earth, 37(12): 1004-1114. |
| [21] | Sweeney J J, Burnham A K. 1990. Evaluation of a simple model of vitrinite reflectance based on chemical kinetics. AAPG Bulletin, 74(10): 1559-1570. |
| [22] | Zhou X K. 2009. Petroleum geologic characteristics and exploration prospects of block D in Irrawaddy Basin of Myanmar. Journal of Jianghan Petroleum University of Staff and Workers (in Chinese), 22(2): 19-22. |
| [23] | Zhou Z Y, Pan C C. 1992. The Measurement of Paleotemperature in Ancient Sedimentary Basin and Its Application (in Chinese). Guangzhou: Guangdong Science and Technology Publishing House. |
| [24] | Ziegler P A. 1992. Geodynamics of rifting and implications for hydrocarbon habitat. Tectonophysics, 215(1-2): 221-253. |
| [25] | 陈刚, 赵重远, 李丕龙等. 2002. Ro反演的盆地热史恢复方法与相关问题. 石油与天然气, 23(4): 343-347. |
| [26] | 陈剑光, 刘怀山, 周军等. 2006. 缅甸D区块构造特征与油气储层评价. 西北地质, 39(1): 105-114. |
| [27] | 何丽娟, 熊亮萍, 汪集旸. 1998. 南海盆地地热特征. 中国海上油气, (2): 87-90. |
| [28] | 胡圣标, 汪集旸. 1995. 沉积盆地热体制研究的基本原理和进展. 地学前缘, 2(4): 171-179. |
| [29] | 胡圣标, 张荣燕, 罗毓晖等. 1999. 渤海盆地热历史及构造-热演化特征. 地球物理学报, 42(6): 748-755. |
| [30] | 胡圣标, 张荣燕, 周礼成. 1998. 油气盆地地热史恢复方法. 勘探家, 3(4): 56-61. |
| [31] | 赖生华, 麻建明, 廖林. 2005. 缅甸中央沉降带Chindwin盆地油气勘探潜力. 天然气工业, 25(11): 21-24. |
| [32] | 林畅松, 张燕梅. 1995. 拉伸盆地模拟理论基础与新发展. 地学前缘, 2(3): 79-88. |
| [33] | 漆家福, 陈发景. 1995. 下辽河-辽东湾新生代裂陷盆地的构造解析. 北京: 地质出版社. |
| [34] | 邱楠生, 苏向光, 李兆影等. 2006. 济阳坳陷新生代构造-热演化历史研究. 地球物理学报, 49(4): 1127-1135. |
| [35] | 周新科. 2009. 缅甸伊洛瓦底盆地D区块石油地质特征与勘探前景. 江汉石油职工大学学报, 22(2): 19-22. |
| [36] | 周中毅, 潘长春. 1995. 沉积盆地古地温测定方法及其应用. 广州: 广东科技出版社. |
2014, Vol. 57









