2. 中国科学院大学, 北京 100049;
3. 中国科学院遥感与数字地球研究所, 北京 100101;
4. 国土资源部青岛海洋地质研究所, 青岛 266071
2. University of Chinese Academy of Sciences, Beijing 100049, China;
3. Institute of Remote Sensing and Digital Earth, Chinese Academy of Sciences, Beijing 100101, China;
4. Qingdao Institute of Marine Geology, Ministry of Land & Resources of China, Qingdao 266071, China
1 引言
自国际岩石圈研究计划(ILP)开展以来,人们越来越多地认识到对莫霍面深度分布特征的研究是岩石圈研究计划中的重要组成部分,同样涉及到地球科学的一些本质问题,应给予充分的重视.近年来,有关地壳厚度分布的研究成果不断发表,获得了许多新认识,对于全球岩石圈构造特征及其深部过程的研究有重要的推动作用.
中国大陆及海域位于欧亚、印度与太平洋三大板块的交汇部位,是地球动力学研究的重点地区,因此,中国海陆莫霍面深度分布特征的研究一直也是科研人员关注的热点.近年来,有不少学者依据对中国地壳厚度的研究结果编制了各种的图件(刘光鼎, 1992,1993;曾融生等,1995;朱介寿,1996;Li and Mooney, 1998;方剑,1999;滕吉文等,2002;高星等,2005;Li et al., 2006;黄建平等,2006),其中最有代表性的为刘光鼎等(1992,1993)第一次将我国海、陆结合在一起编绘的地球物理系列图中,将海、陆置于统一构造演化体系中进行研究时所编绘的1 ∶ 1000万的莫霍面深度分布图.但美中不足的是该图虽对海陆结合带给予了足够的重视,却未能完全覆盖整个中国大陆地区.此外,近年来很多根据人工地震深部探测结果结合重力资料的反演结果也有发表,如朱介寿等(1996)编制的1 ∶ 1200万莫霍面深度分布图,以中国大陆地区的人工地震测深剖面为基础,在全国范围内取得400多个莫霍面深度值.曾融生等(1995)利用20世纪90年代以前的地震测深结果,编制中国大陆莫霍面深度图,西部地区采用了面波和其他地球物理资料.为了容易与大地构造相比较还采用了分区的办法.Li和Mooney(1998)以及Li等(2006)总结了自1958年以来的由中国地震局地球物理勘探中心等单位完成的深地震探测剖面(DDS)约90条,根据地震测深数据绘制了中国大陆地区地壳结构示意图.滕吉文等(2002)对东亚地区莫霍面深度分布开展了研究并编绘了1 ∶ 2500万的地壳厚度图,高星等(2005)则利用中国及邻近地区数字地震台网提供的三分量地震波形记录,应用转换函数及快速模拟退火算法对中国及邻区61个地震台站下的地壳横波速度结构进行了反演.结合已发表的人工地震测深资料获得了该地区地壳厚度分布.这些工作为我国地壳深部结构的研究打下了坚实的基础.但由于这些研究大多局限在中国大陆内部或向海域延伸有限,对于探索中国大陆宏观构造格架的延伸以及海陆相互作用关系等问题而言,仍存在一定的局限.因此,有必要在对我国50年来在中国海域与陆区的地球物理调查成果,特别是近年来一系列专项调查获得的最新资料进行充分研究的基础上,编制中国海陆1 ∶ 500万莫霍面深度图.并聚焦欧亚板块、太平洋板块以及印度洋板块之间的相互作用及其在中国大陆与海区所引发的构造效应,以中国大陆板块边缘和板块内部的构造演化及其宏观格架为重点,为中国大陆边缘和中国海动力学等方面的研究提供基础图件.
本图的编图范围为:0°—55°N,(71.5°E,40°N)—(135°E,40°N),采用兰伯特投影,大地基准面:WGS84,原点经纬度:105°E,0°,标准纬度:15°N、40°N,比例尺:1 ∶ 500万.
中国海陆1 ∶ 500万莫霍面深度图采用分区编绘的方法,以中国海陆及邻区布格重力异常与空间重力异常数据为基础,在收集、整理我国近50年来莫霍面深度调查成果以及近年来一系列专项调查获得的最新资料基础上,对重力异常数据进行合理分区,然后通过完全布格改正、格莱尼改正、区域场分离以及自适应模拟退火界面反演等方法,得到各分区莫霍面深度,再进行合理拼接,得到中国海陆莫霍面深度初部结果.同时,引入中国海陆及邻区人工地震测深、地学断面、海底地震仪地震测深等各类地球物理调查剖面120条,通过统一的数字化、投影、检验、校正等一系列处理后,得到了用于约束莫霍面深度反演的控制点共计8948个.在对初步结果进行精度评价和实测数据点检验后,经计算机修改,调色定稿.
2 重力数据编图中用于反演莫霍面深度的原始重力数据在 中国陆区及邻域为布格重力异常数据,中国海区及邻 域为空间重力异常数据,其数据分布情况见表 1和表 2.
|
|
表 1 中国海陆莫霍面深度图中采用的中国大陆地区重力异常数据信息 Table 1 Information of gravity anomalies in the mainl and of China used for preparation of the Moho depth map in the l and and seas of China and adjacent areas |
|
|
表 2 本文收集的邻国或地区重力资料网度一览表 Table 2 Grid spacing of gravity data collected from neighboring countries and regions |
陆区重力资料是地矿部门多年开展区域重力调查所实测的数据,按照验收时给出的布格重力异常总精度来看,其精度均优于±2.0×10-5 m·s-2.图 幅内海区采用美国Scripps研究所发布卫星测高重力数据,经纬度网格数据2′×2′,数据精度±(4~6)×10-5 m·s-2.
3 编图方法与指导思想本次编图的指导思想是:以板块构造活动论为 指导,关注、聚焦欧亚板块、太平洋板块以及印度洋板块之间的相互作用及其在中国大陆与海区所引发 的构造效应,以中国大陆板块边缘和板块内部的宏观构造格架为重点,编制中国海陆莫霍面深度图,为中国大陆边缘和中国海的动力学演化等研究提供基础图件.
本次编图采用了刘光鼎(1992)提出的方法,即以板块构造活动论为指导,以岩石物性为连接地质与地球物理之间的纽带,以地质模型为跨越地球物理场的定性解释与定量计算之间的桥梁;采用地质与地球物理、正演与反演、定性解释与定量计算相结合,在大量高精度数据作为先验信息约束下,通过信息的多次反馈,反复修改地质模型,逐步加深对地质、地球物理信息的认识,有效地克服反演问题的多解性,使解释结果渐趋合理、完善和精确.本图编图流程如图 1所示.
![]() | 图 1 中国海陆莫霍面深度图编图流程 Fig. 1 Compilation flow of the Moho depth map in the l and and seas of China and adjacent areas |
本图范围较大,从大陆到大洋,地形起伏剧烈,跨越了多个构造单元,构造面貌十分复杂.假若全图均采用单一的界面反演方法和相同的反演系数,往往顾此失彼,很难获得最佳的反演效果.因此,在本次莫霍面深度反演时,依据中国海陆及邻区重力异常及构造单元特征,对图幅区进行了分区,将陆区分为10个分区,海区分为6个分区(图 2).对不同分区进行了方法优化,选择适合该区的重力场分离、界面反演方法和相应的反演系数(表 3),最终得到中国海陆1 ∶ 500万莫霍面深度分布图(图 3).
![]() | 图 2 中国海陆1 ∶ 500万莫霍面深度反演分区 Fig. 2 Region division for inversion of the Moho depth(1 ∶ 5000000)in the l and and seas of China and adjacent areas |
![]() | 图 3 中国海陆1 ∶ 500万莫霍面深度分布 Fig. 3 Contours of the Moho depth(1 ∶ 5000000)in the l and and seas of China and adjacent areas |
|
|
表 3 各分区重力场分离方法和莫霍面深度反演方法优选 Table 3 Gravity field separation and inversion method optimization in each sub-region |
为了提高反演结果的精度,本次编图引入了以人工地震等实测剖面数据为主的控制点数据8948个,对反演结果进行校正,以提高可靠性.这样做的效果比较明显.以南海地区为例,图 4是南海地区经过控制点校正前后的莫霍面深度结果的比较.由于在南海北部陆缘地区引入了多条OBS测深剖面数据的控制,校正后的莫霍面深度分布更为合理,与该区实际地震探测结果更为接近.
![]() | 图 4 南海地区莫霍面深度反演结果 (a)控制点数据校正前;(b)控制点数据校正后.图中黑色圆点为OBS实测剖面控制点位置,黑色粗实线所示为图 8中剖面II′的位置. Fig. 4 Inversion results of the Moho depth in the South China Sea (a)Before control point correction;(b)After control point correction. Black dots are the locations of control points from OBS profiles. Black thick solid line is Profile II′ shown in Fig. 8. |
本次编图共收集和整理了中国海陆及邻区人工地震测深、地学断面、海底地震仪测深等各种实测剖 面120条,莫霍面深度与地壳厚度图件18余幅.通 过统一的数字化、投影、检验、校正等一系列处理,得到了以人工地震等实测剖面数据为主的控制点数据8948个,为提高中国海陆及邻区莫霍面深度图的反演 精度提供了相应的数据. 图 5为中国海陆1 ∶ 500万莫霍面深度图控制剖面位置和部分控制点信息(表 4).
![]() | 图 5 中国海陆1 ∶ 500万莫霍面深度图控制剖面位置 Fig. 5 Location of control profiles on the Moho depth map(1 ∶ 5000000)in the l and and seas of China and adjacent areas |
|
|
表 4 中国海陆1 ∶ 500万莫霍面深度图部分控制点信息 Table 4 Part information of control points on the Moho depth map(1 ∶ 5000000)in the l and and seas of China and adjacent areas |
控制点的使用:首先使用地震测深等得到的部分控制点计算各分区(图 2)莫霍面深度的平均深度,这个平均深度值作为一个重要参数参与莫霍面深度反演计算.在获得各分区莫霍面深度后,任意抽取各分区若干条剖面上莫霍面深度反演结果与地震实测控制点结果对比并进行偏差分析,对于偏差较大地区,采用小范围重新进行位场分离和平均深度参数选取并重新反演来进行校正,使莫霍面深度分布更为合理,与该区实际地震探测结果更为接近.
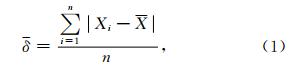
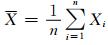
4.3 偏差分析为了评价反演结果的可靠性,本文选择了若干条剖面对莫霍面深度反演结果和控制点资料进行偏差分析,以平均偏差和标准偏差作为衡量反演结果的可靠性和准确度的标准.
将莫霍面深度的反演结果与某一点的实际地震测深结果的差值定义为偏差,用Xi表示,即Xi=X反演-X地震测深.
将所有偏差的算数平均值定义为偏差平均值,用X表示.
偏差平均值(或算术平均值)
,其中n为检测点个数.
平均偏差是指偏差与偏差平均值之差的算数平均值.其表达式为:


以长江三峡剖面为例进行偏差分析(表 5),图 6给出沿该剖面任意抽取若干点的莫霍面深度反演结果(表 5)与Zhang 等(2009)发表的地震实测结果对比,偏差的平均偏差1.02 km,标准偏差1.52 km,表明莫霍面深度的反演结果比较接近真实地质情况.本文采用同样的方法对图幅内各分区莫霍面深度反演结果进行了偏差分析(参见表 6),最大标准偏差2.99 km,最大平均偏差1.86 km,主要集中在中、西部地区.
|
|
表 5 长江三峡地区深部结构剖面偏差分析表 Table 5 Errors of the profile of the deep structure in the area of Three Gorges,Yangtze |
|
|
表 6 各分区莫霍面深度反演结果偏差 Table 6 Deviations of inversion results of the Moho depth in each region |
![]() | 图 6(a)长江三峡剖面位置(黑色粗实线所示),(b)地震测深给出的速度结构(据Zhang et al., 2009), (c)长江三峡深部结构剖面中地震测深与重力反演得到的莫霍面深度对比 Fig. 6(a)Location of Three Gorges,Yangtze.(b)Velocity structure from seismic sounding(after Zhang et al., 2009).(c)Comparison of the Moho depths from seismic sounding and gravity inversion along the profile of deep structure in Three Gorges,Yangtze |
通过对比可知,反演偏差与莫霍面深度的实际起伏程度有关.一般而言,莫霍面深度起伏相对平缓的地区莫霍面深度平均偏差较小,而莫霍面深度陡变大的地区平均偏差较大.比如我国中、西部的莫霍面的实际起伏幅度较大,而重力反演结果的偏差也较大.特别是在西部地区,陆壳受到严重的挤压和改造,反演结果的平均偏差值可达1.86 km.对于海区,黄、渤海地区莫霍面分布总体的趋势较为平缓,偏差也相对较小.而东海的沟-弧-盆体系地壳异常区,南海、菲律宾海、安达曼海等地区均涉及到俯冲带,莫霍梯度陡变,横向变化剧烈,因此这几个区域的偏差值相对较大.一般而言,利用重力数据反演得到的莫霍面是一种“趋势面”,可以近似地用连续曲面表示.但板块俯冲带地区(特别是洋-陆强烈作用地区),地质结构与其他地区显著不同,莫霍面不能 近似用连续曲面表示,这正是在这些地区常规重力反演方法无法准确地反映莫霍面深度分布情况的原因.为此,本图特在莫霍面深度分布图上对俯冲带地区标出了震源位置、震级、俯冲带位置等信息,以示这些地区的特殊性并供使用者参考.
5 莫霍面深度分布特征以莫霍面深度分布特征和地壳性质为基础,结 合重力异常及块体构造差异等,本次编图共划分了12个莫霍面深度梯级带、六大分区和24个二级分区(表 7、表 8和图 7).其中一级分区主要以地壳性质的不同划分为厚型地壳分区、正常型地壳分区、减薄型地壳分区、沟-弧-盆体系地壳异常分区、过渡型地壳分区和大洋型地壳分区;二级分区更侧重于莫霍面深度分布特征,并参考了重力异常及块体构造差异特征等.
|
|
表 7 中国海陆及邻区莫霍面深度梯级带 Table 7 Moho depth gradient belts in the l and and seas of China and adjacent areas |
|
|
表 8 中国海陆及邻区莫霍面深度图分区 Table 8 Regional division of Moho depth in the l and and seas of China and adjacent areas |
![]() | 图 7 中国海陆莫霍面深度梯级带及分区 Fig. 7 Moho depth gradient belts and sub-regions |
(1)大兴安岭—太行山—武陵山梯级带
该梯级带长度约为4400 km,呈NNE向.莫霍面深度等值线梯度变化较强,梯级带从西到东约200 km宽度内莫霍面深度变化为42~34 km,抬升8 km,是减薄型陆壳和正常陆壳的分界带,该梯级带在中国境外仍然向北延伸,向南与中南半岛东缘梯级带相连.
(2)贺兰山—龙门山梯级带
该梯级带长度约4000 km,近SN向.莫霍面深度等值线梯度变化在龙门山段十分强烈,从西到东约260 km宽度内莫霍面深度变化为58~44 km,抬升14 km.该梯级带在中国境外向北一直延伸与贝加尔—色楞格梯级带相接,但随着向北延伸梯级带的梯度呈变小趋势,向南因为受到印度板块与欧亚板块碰撞构造效应的影响,而未能延伸很远,形成东亚地区一条大型SN向构造带.
(3)天山—阿尔金山—祁连山梯级带
该梯级带长度约4350 km,近EW向,呈狭长状地带,该梯级带构成我国西部南北不同地壳性质的界带.莫霍面深度等值线梯度变化强烈,地壳厚度较周围盆地区增厚约10 km.阿尔金山附近,从北到南约130 km宽度内,莫霍面深度变化为49~59 km,地壳厚度增厚10 km.该梯级带是青藏高原周边增厚亚区与北侧正常地壳亚区的分界,将塔里木盆地与柴达木盆地分隔,形成沉积盆地区莫霍面上隆、造山带区莫霍面深度下凹的特殊分布.
(4)哈萨克丘陵—阿尔泰山梯级带
该梯级带总长约3350 km,莫霍面深度等值线梯度变化比较平缓,莫霍面深度变化为42~46 km.
(5)喜马拉雅梯级带
该梯级带总长约3760 km,宽度较大,梯级带走向由西段的NW向转为东段的EW向.莫霍面深度等值线梯度变化强烈,从印度到青藏在垂直于梯级带约500 km距离内,莫霍面深度变化为38~66 km,深度增加28 km.该梯级带是恒河平原—印度次大陆正常地壳与青藏高原增厚地壳的分界,是印度与欧亚两大板块碰撞、挤压形成的过渡带.
(6)印度半岛东缘梯级带
该梯级带长度约3000 km,主要沿着印度半岛东缘海岸线,走向由斯里兰卡东部的SN向—NE—孟加拉湾北部的近EW向,并且沿着该走向莫霍面深度等值线梯度变化由大逐渐变小,其中在斯里兰卡东部从大陆到印度洋在垂直于梯级带约140 km 距离内,莫霍面深度变化为35~25 km,抬升10 km. 该梯级带是印度半岛正常地壳与印度洋大洋地壳的分界带.
(7)安达曼群岛—尼亚斯岛梯级带
该梯级带长度约3200 km,呈近SN向,莫霍面 深度等值线梯度变化强烈,在垂直于梯级带约150 km 距离内,莫霍面深度变化为20~30 km.
(8)中南半岛西南梯级带
该梯级带长度约1890 km,沿中南半岛西南边缘,从北到南,走向由SN变为NNW向,莫霍面深度等值线梯度变化较平缓,呈弧状分布,莫霍面深度变化为36~39 km.
(9)中南半岛东缘梯级带
该梯级带长度约1700 km,走向沿中南半岛东部边缘呈近SN向,莫霍面深度等值线梯度变化较强,在垂直于梯级带约200 km距离内,莫霍面深度变化为33~40 km.与中南半岛西南梯级带共同构成东南亚的正常大陆地壳分区.
(10)南海过渡带梯级带
该梯级带长度约4720 km.莫霍面深度等值线梯度变化强烈,莫霍面深度变化为20~25 km.该梯级带是大陆型地壳与过渡型地壳的分界带.
(11)日本海—东海梯级带
该梯级带长度约3150 km,呈NNE向.莫霍面深度等值线梯度在日本海地区较大,在东海地区梯度相对较缓,莫霍面深度变化为25~30 km.该梯级带是东亚陆架地区的过渡带,向南延伸至台湾与南海过渡带梯级带相连.
(12)菲律宾海梯级带
该梯级带长度约3450 km,梯级带在台湾岛以北走向为NNE,以南为NNW向.莫霍面深度等值线梯度变化较强烈,莫霍面深度变化为15~24 km,此梯级带是菲律宾海板块向欧亚大陆俯冲形成的莫霍面深度梯级带,将菲律宾海与东海、南海隔开,是过渡型地壳与大洋型地壳的分界带.
5.2 莫霍面深度分区(Ⅰ)增厚型地壳区
增厚型地壳分区主体为青藏高原,以地壳明显增厚为特征.包括羌塘盆地、措勤盆地和柴达木盆地,莫霍面深度变化为50~72 km.根据深度变化可分为青藏高原地壳隆升亚区(Ⅰ1)和青藏高原周边地壳增厚亚区(Ⅰ2).前者为青藏高原主体,莫霍面深度为60~72 km;后者包括了柴达木盆地及其他青藏高原周边地区,莫霍面深度在50~60 km之间分布.
(Ⅱ)正常型地壳区
正常型地壳区的东西边界分别为大兴安岭—太行山—武陵山梯级带和贺兰山—龙门山—贝加尔—色楞格梯级带.进一步可划分为8个亚区.
(1)哈萨克斯坦亚区(Ⅱ1):主要由巴尔哈什湖和准噶尔盆地组成,区内莫霍面深度等值线近EW向,莫霍面深度变化范围为38~45 km.
(2)蒙古高原亚区(Ⅱ2):主体为蒙古高原,莫霍面深度等值线变化平缓.莫霍面深度变化为45~50 km,最深处位于埃恩赫塔伊万山,为50 km.
(3)中国西北亚区(Ⅱ3):在蒙古高原亚区以南,主体为塔里木盆地,莫霍面深度等值线近EW向.莫霍面深度变化为45~50 km,区内两个莫霍面深度低值圈闭分别为塔里木盆地和吐鲁番盆地,均为46 km.
(4)贝加尔湖—蒙古东部亚区(Ⅱ4):位于蒙古高原亚区以东,莫霍面深度等值线呈SN向,与大兴安岭—太行山—武陵山梯级带方向基本一致,区内莫霍面从西到东逐渐抬升,深度变化为38~45 km.
(5)鄂尔多斯盆地亚区(Ⅱ5):北以阴山,南以秦岭—大别山为界,由鄂尔多斯盆地和汾渭裂谷系构成,近NS向.莫霍面深度变化为38~46 km.
(6)四川盆地及周边亚区(Ⅱ6):北以秦岭—大别山,南以中南半岛东缘梯级带为界,由四川盆地和华南块体西部构成,莫霍面深度变化为38~47 km.从莫霍面深度等值线形态可以看出,青藏受印度板块碰撞挤压后向东溢出,遇到硬度较大的四川盆地基底受阻而变为东南向溢出形成云贵高原.
(7)中南半岛北部亚区(Ⅱ7):以贺兰山—龙门山—贝加尔—色楞格梯级带、中南半岛西南梯级带和中南半岛东缘梯级带为界,构成以中南半岛为主体,主要包括东南亚一系列国家.其莫霍面深度变化为37~47 km.
(8)恒河平原—印度半岛正常地壳亚区(Ⅱ8):位于喜马拉雅造山带以南,即恒河平原与印度半岛地区,莫霍面深度变化为30~45 km.
(Ⅲ)减薄型地壳区
减薄型地壳分区以地壳减薄为特征,东西以日本海—东海—东南沿海梯级带和大兴安岭—太行山—武陵山梯级带为界,进一步可划分为5个亚区.
(1)东北—鄂霍次克海亚区(Ⅲ1):南以燕山为界,即东北块体.莫霍面深度变化为32~38 km,整体变化平缓.区内莫霍面深度等值线低值圈闭对应着松辽盆地,其西侧等值线呈NNE向,北侧近EW向,莫霍面深度为32 km.
(2)华北—朝鲜半岛亚区(Ⅲ2):主体由华北块体、朝鲜半岛组成.莫霍面深度变化为30~38 km.其中渤中地区莫霍面略有隆起.
(3)华南及沿海亚区(Ⅲ3):由华南块体和东海陆架和南海北部陆架构成.莫霍面深度等值线走向NNE,深度变化为25~38 km.
(4)中南半岛南部亚区(Ⅲ4):区内包括安达曼海、马来西亚、印尼部分地区,莫霍面深度为23~35 km.西部安达曼海莫霍面深度等值线呈近SN向长轴椭圆状隆升,莫霍面深度变化从约30 km隆升至23 km.
(5)加里曼丹及周边亚区(Ⅲ5):属过渡型地壳区,由南海南部的加里曼丹岛及周边海域构成,莫霍面深度变化为25~28 km.
(Ⅳ)沟弧盆体系地壳异常区
(1)东海沟弧盆亚区(Ⅳ1):属过渡型及大洋型地壳区,由日本海块体与冲绳海槽组成,琉球海沟由菲律宾海板块NW向俯冲欧亚大陆而形成,区内地震活动剧烈.莫霍面深度等值线呈NNE向,深度变化为16~30 km.区内日本海、冲绳海槽有洋壳分布,其中冲绳海槽莫霍面深度最小约为16 km.
(2)吕宋—棉兰老岛亚区(Ⅳ2):由吕宋岛、棉兰老岛等一系列群岛组成,形成特有的沟-弧-盆体系地壳异常区,夹于两条俯冲带之间,地震活动剧烈.莫霍面深度为20~26 km.
(3)安达曼群岛—尼亚斯岛亚区(Ⅳ3):由科科群岛、安达曼群岛、尼科巴群岛、尼亚斯岛等一系列群岛组成,形成SN向,狭长状的沟-弧-盆体系地壳异常区,沿俯冲带分布,地震活动剧烈.莫霍面深度为15~25 km.
(Ⅴ)过渡型地壳区
南海周边过渡型地壳亚区(Ⅴ1):该区包含南海海盆、苏禄海盆与苏拉威西海盆周边地壳陡变带地区,该区莫霍面深度等值线走向均是沿海盆呈闭合状,深度范围在15~25 km之间变化.
(Ⅵ)大洋型地壳区
该区主要位于南海、菲律宾海、印度洋等海域,莫霍面深度变化相对陡变带地区较为平缓,属于大洋型地壳,可进一步分为5个亚区.除这5个较大区域的洋壳亚区外,在日本海、冲绳海槽、望加锡海峡、安达曼海也有洋壳分布.
(1)南海海盆洋壳亚区(Ⅵ1):该地区莫霍面深度特征是,在中央海盆呈近SN向展布,西南次海盆则呈NE向,西北次海盆呈NEE向.海盆区受海底扩张方向的影响,莫霍面深度等值线走向也相应改变.区内莫霍面深度范围在8~15 km之间变化.总体上海盆区莫霍面深度浅,海山区莫霍面相对较深,如黄岩海山、宪南海山、珍贝海山、中南海山、龙北海山和龙南海山等形成的高值圈闭,这些海山区的莫霍面基本上比周边海盆深约2 km.
(2)苏禄海洋壳亚区(Ⅵ2):莫霍面深度等值线 走向为NE向,深度范围为10~15 km,形态呈闭合状.
(3)苏拉威西海盆洋壳亚区(Ⅵ3):莫霍面深度为8~15 km,形态呈闭合状,其西南侧的望加锡海峡也有洋壳分布.深源地震密集分布于该区东部,最大震源深度达650 km.
(4)菲律宾海洋壳亚区(Ⅵ4):莫霍面深度等值线走向基本沿俯冲带方向,深度范围为7~20 km.
(5)印度洋北部洋壳亚区(Ⅵ5):该区莫霍面深度变化相对平缓,中央90°SN向隆起带将该区分为两部分.西部莫霍面深度变化较缓,在13~25 km之间变化;而东部莫霍面深度变化相对较陡,近SN走向,莫霍面深度范围11~17 km.
6 几点认识本次编图涉及多个海域,有些海域(如南海)海底地形变化大,起伏剧烈.传统布格改正与海底地形呈负相关,海底地形的影响很大,为了得到精确的布格重力异常,并解决海陆拼接的问题,本次编图采用对空间重力异常进行完全布格改正的方法,消除了海底地形的影响.格莱尼重力异常消除了全球地形质量的影响和166.7 km以外补偿质量的影响,可以认为它是166.7 km以内的深部和浅部异常地质体的重力效应,为了更好地反演莫霍面起伏,本次编图对编图范围内进行了格莱尼校正,得到了格莱尼重力异常,使反演结果更加准确,也使编图工作更加规范.
从莫霍面深度图可以得知中国海陆及邻区莫霍面深度的总体特征呈现“东西分带,南北分块”的特点.在中国东部地区,莫霍面深度从西向东的变化幅度,远远大于从北向南(不包括海区)的变化幅度.在整体宏观构造格架上,刘光鼎(2007)提出的“三横两竖”中国大地构造宏观构造格架理论,不仅适用于中国大陆内部,也适用于整个东亚地区.从本次编绘的莫霍面深度图来看,“两竖”(大兴安岭—太行山—武陵山梯级带和贺兰山—龙门山梯级带)有清晰的表现,表明它们是深部构造的地球物理场响应.此外,中国海陆及邻区莫霍面深度图中太平洋第一岛链梯级带,同样也是明显的地壳厚度变化带,揭示出了两侧地壳性质的改变.
从本文得到的莫霍面深度图可以发现,大兴安岭-太行山-武陵山莫霍面深度梯级带向北经呼伦贝尔延伸进入了蒙古国和俄罗斯,但梯级带越向北越宽缓;而梯级带向南进入中南块体后,显然被后期印度板块向欧亚板块俯冲所引发的地壳结构变形踪迹所阻断扭曲,梯度带的方向发生了明显的变化,应是多次构造运动叠加效应的反映.贺兰山-龙门山莫霍面深度梯度带向北进入蒙古国后方向就发生了改变,推断是受到了兴蒙块体的影响;向南则基本未延伸出中国大陆境外,同样与印度板块向北的俯冲碰撞有密切的关系.以上分析表明,莫霍面深度图中反映的信息,应是欧亚、印度和太平洋三大板块相互作用下深部构造的反映,更多的是三大板块作用加上板块内部各块体间相互作用的综合表现.
从莫霍面深度图中可见,雅鲁藏布江处的莫霍面深度要大于喜马拉雅山处,但根据前人研究结果(李廷栋,2010),雅鲁藏布江处的岩石圈厚度却明显薄于喜马拉雅山处,形成较大的反差.由此可以推断出,由南向北发生俯冲的板块前缘为大洋型岩石圈性质,地质历史上应属于特提斯的一部分.这与刘光鼎(1992)所指出的“中生代时,中国大陆东西两侧受一系列SN向的转换断层和EW向延展的、连接特提斯海—印度洋与太平洋的洋脊体系相互作用,形成目前表现为U字形的特提斯构造格局”的认识是一致的.由于SN向的持续挤压作用,在中国西南部形成大规模特提斯-喜马拉雅构造带,也就是刘光鼎(1992)提出的三条西部锋线.这三条西部锋线的形成过程中,在SN向的挤压应力作用下,伴有EW向的拉张作用,因而形成深达壳幔边界的SN向“纵谷”.这些纵谷在莫霍面深度图上表现得很清晰,进而也证实了青藏高原的地壳增厚是在板块俯冲过程中,特提斯不断关闭、拉开过程的产物.
从大陆地区向海区,莫霍面深度也反映了地壳性质的转变.但同为洋壳的情况下,图 8中南海中央海盆处的莫霍面起伏形态及埋深情况与苏禄海的情况仍有所不同,推其原因应是拉张机制与拉张速率存在着差异的反映.
![]() | 图 8 南海沿剖面II′的重力异常特征与莫霍面深度分布(据秦静欣等, 2011,有修改,剖面位置见图 4b) Fig. 8 Characteristics of gravity anomalies and distribution of the Moho depths along the profile II′ in the South China Sea(after Qin et al., 2011,Location of the profile is shown in Fig. 4b) |
本次编图涉及到西太平洋俯冲带和印度洋俯冲带,存在着不同板块在不同方向的俯冲、对冲等复杂的地质现象,在这样的地区莫霍面不仅起伏剧烈,而且构造复杂.如图幅内西太平洋俯冲带东侧俯冲方向由最北端(日本南部)的NW向南逐渐变为菲律宾岛的SWW向,至马来西亚北部沙巴地区转变为NWW向,俯冲带宽度和深度都急剧增加,俯冲深度可达700 km;西侧俯冲带俯冲方向由中国台湾岛北部的E向转为吕宋岛南部的NEE向,至巴拉望地区又转为E向,在马来西亚北部沙巴地区表现为SEE向.对这个地区截取的震中分布剖面甚至可观察到俯冲带对冲现象1).西太平洋俯冲带反映了菲律宾海板块沿琉球海沟对欧亚板块的俯冲,同时伴随着15 Ma以来南海洋壳向东的俯冲消亡.印度洋 俯冲带大致沿爪哇海沟向北延伸,俯冲方向大体上为E向,在 11°N—13°N附近出现东侧俯冲带,俯冲方向向西,反映了印度—澳大利亚板块沿印度洋东北缘的爪哇海沟向苏门答腊、爪哇等岛屿之下的俯冲.因此,洋陆相互作用和洋-洋的相互作用是一个复杂的过程,而俯冲带处莫霍面深度的计算与描述是未来地球物理研究面临的重要挑战之一,也是“俯冲工厂”研究的重要组成部分.
1) 郝天珧等,2013.中国海陆1 ∶ 500万莫霍面深 度图验收报告.中国科学院地质与地球物理研究所. 致谢 本文得益于刘光鼎院士的学术思想和所提出的“一、二、三、多”的编图方法论,在此表示衷心感谢!中国地质调查局青岛海洋地质研究所张训华研究员、温珍河研究员、杨金玉研究员、韩波副研究员、郭兴伟副研究员,王忠蕾助理研究员,中国地质调查局发展研究中心张明华教授、乔计花高级工程师,中国地质调查局航空物探遥感中心周坚鑫教授、尹航高级工程师以及中国地震局地壳应力研究所的黄忠贤研究员等都对本文给予了大量的帮助.此外,同济大学王家林教授,中国地质调查局青岛海洋地质研究所的郭振轩研究员、中国地质调查局广州海洋地质调查局的陈邦彦教授、新疆石油学院李良辰教授等,在本文形成与编图过程中提出大量的宝贵意见和提供了十分珍贵的数据资料,在此一并致谢!| [1] | Fang J. 1999. Global crustal and lithospheric thickness inversed by using satellite gravity data. Crustal Defformation and Earthquake (in Chinese), 19(1): 26-31. |
| [2] | Gao X, Wang W M, Yao Z X. 2005. Crustal structure of China mainland and its adjacent regions. Chinese J. Geophys. (in Chinese), 48(3): 591-601. |
| [3] | Huang J P, Fu R S, Xu P, et al. 2006. Inversion of gravity and topography data for crust thickness of China and its adjacency. Acta Seismologica Sinica (in Chinese), 28(3): 251-258. |
| [4] | Jia S X, Zhang X K. 2005. Crustal structure and comparison of different tectonic blocks in North China. Chinese J. Geophys. (in Chinese), 48(3): 611-620. |
| [5] | Li S L, Mooney W D. 1998. Crustal structure of China from deep seismic sounding profiles. Tectonophysics, 288(1-4): 105-113. |
| [6] | Li S L, Mooney W D, Fan J C. 2006. Crustal structure of mainland China from deep seismic sounding data. Tectonophysics, 420(1-2): 239-252. |
| [7] | Li T D. 2010. Principal characteristics of the lithosphere of China. Earth Science Frontiers (in Chinese), 17(3): 1-13. |
| [8] | Liu F T, Xu P F, Liu J S, et al. 2003. The crustal velocity structure of the continental deep subduction belt: study on the eastern Dabie orogen by seismic wide-angle reflection/refraction. Chinese J. Geophys. (in Chinese), 46(3): 366-372. |
| [9] | Liu G D. 1992. The characteristic of geological and geophysical in China Seas and adjacent regions (in Chinese). Beijing: Science Press. |
| [10] | Liu G D. 1993. Map series of geology and geophysics of China Seas and adjacent regions (in Chinese). Beijing: Science Press. |
| [11] | Liu G D. 2007. Geodynamical evolution and tectonic framework of China. Earth Science Frontiers (in Chinese), 14(3): 39-46. |
| [12] | Lu Z X, Meng P Z, Zhao J M, et al. 1989. Velocity structure characteristics of the crust and upper mantle in Luyang-Haicheng-Donggou DSS profile and the earthquake. Northeastern Seismological Research (in Chinese), 5(4): 1-11. |
| [13] | Mcintosh K D, Nakamura Y, Wang T K, et al. 2005. Crustal-scale seismic profiles across Taiwan and western Philippine Sea. Tectonophysics, 401(1-2): 23-54. |
| [14] | Qin J X, Hao T Y, Xu Y, et al. 2011. The distribution characteristics and the relationship between the tectonic units of the Moho Depth in South China Sea and Adjacent Areas. Chinese J. Geophys. (in Chinese), 54(12): 3171-3183. |
| [15] | Qiu X L, Ye S Y, Wu S M, et al. 2001. Crustal structure across the Xisha Trough, northwestern South China Sea. Tectonophysics, 341(1-4): 179-193. |
| [16] | Qiu X L, Zhao M H, Ao W, et al. 2011. OBS survey and crustal structure of the Southwest Sub-basin and Nansha Block, South China Sea. Chinese J. Geophys. (in Chinese), 54(12): 3117-3128. |
| [17] | Ruan A G, Niu X W, Qiu X L, et al. 2011. A wide angle Ocean Bottom Seismometer profile across Liyue Bank, the southern margin of South China Sea. Chinese J. Geophys. (in Chinese), 54(12): 3139-3149. |
| [18] | Teng J W, Yan Y F, Zhang H, et al. 2002. Depth distribution of Moho and tectonic framework in eastern Asian continent and its adjacent ocean areas. Science in China (Series D: Earth Sciences) (in Chinese), 32(2): 89-100. |
| [19] | Wang C Y, Lin Z Y, Chen X B. 1995. Comprehensive study of geophysics on geoscience transect from Menyuan, Qinghai province, to Ningde, Fujian province, China. Chinese J. Geophys. (Acta Geophysica Sinica) (in Chinese), 38(5): 590-598. |
| [20] | Xiong S B, Jin D M, Sun K Z, et al. 1991. Some characteristics of deep structure of the Zhangzhou geothermal field and it's neighborhood in the Fujian province. Chinese J. Geophys. (Acta Geophysica Sinica) (in Chinese), 34(1): 55-63. |
| [21] | Yan P, Zhou D, Liu Z S. 2001. A crustal structure profile across the northern continental margin of the South China Sea. Tectonophysics, 338(1): 1-21. |
| [22] | Zeng R S, Sun W G, Mao T E, et al. 1995. The map of Moho depth in China. Acta Seismologica Sinica (in Chinese), 17(3): 322-327. |
| [23] | Zhang C K, Zhao J R, Ren Q F, et al. 1994. Study on crust and upper mantle structure in north Henan and its surroundings. Seismology and Geology (in Chinese), 16(3): 243-253. |
| [24] | Zhang Z J, Bai Z M, Mooney W, et al. 2009. Crustal structure across the Three Gorges area of the Yangtze platform, central China, from seismic refraction/wide-angle reflection data. Tectonophysics, 475(3-4): 423-437. |
| [25] | Zhao J R, Zhang X K, Zhang C K, et al. 1999. The crust mantle tectonics and velocity structure characteristics in Xianghe-Beijing-Zhulu and its adjacent areas. Seismology and Geology (in Chinese), 21(1): 29-36. |
| [26] | Zhao M H, Qiu X L, Ye C M, et al. 2004. Analysis on deep crustal structure along the onshore-offshore seismic profile across the Binhai (Littoral) Fault Zone in northeastern South China Sea. Chinese J. Geophys. (in Chinese), 47(5): 845-852. |
| [27] | Zhu J S. 1996. The map of Moho depth (1:12000000). // Yuan X C. Geophysical Series Maps of China (in Chinese). Beijing: Geological Publishing House. |
| [28] | 方剑.1999. 利用卫星重力资料反演地壳及岩石圈厚度. 地壳形变与地震, 19(1): 26-31. |
| [29] | 高星, 王卫民, 姚振兴. 2005. 中国及邻近地区地壳结构. 地球物理学报, 48(3): 591-601. |
| [30] | 黄建平, 傅容珊, 许萍等. 2006. 利用重力和地形观测反演中国及邻区地壳厚度. 地震学报, 28(3): 251-258. |
| [31] | 嘉世旭, 张先康. 2005. 华北不同构造块体地壳结构及其对比研究. 地球物理学报, 48(3): 611-620. |
| [32] | 李廷栋. 2010. 中国岩石圈的基本特征. 地学前缘, 17(3): 1-13. |
| [33] | 刘福田, 徐佩芬, 刘劲松等. 2003. 大陆深俯冲带的地壳速度结构——东大别造山带深地震宽角反射/折射研究. 地球物理学报, 46(3): 366-372. |
| [34] | 刘光鼎. 1993. 中国海区及邻域地质地球物理图集. 北京: 科学出版社. |
| [35] | 刘光鼎. 1992. 中国海区及邻域地质地球物理特征. 北京: 科学出版社. |
| [36] | 刘光鼎. 2007. 中国大陆构造格架的动力学演化. 地学前缘, 14(3): 39-46. |
| [37] | 卢造勋, 孟朴在, 赵俊猛等. 1989. 闾阳-海城-东沟剖面地壳与上地幔速度结构特征与地震. 东北地震研究, 5(4): 1-11. |
| [38] | 秦静欣, 郝天珧, 徐亚等. 2011. 南海及邻区莫霍面深度分布特征及其与各构造单元的关系. 地球物理学报, 54(12): 3171-3183. |
| [39] | 丘学林, 赵明辉, 敖威等. 2011. 南海西南次海盆与南沙地块的OBS探测和地壳结构. 地球物理学报, 54(12): 3117-3128. |
| [40] | 阮爱国, 牛雄伟, 丘学林等. 2011. 穿越南沙礼乐滩的海底地震仪广角地震试验. 地球物理学报, 54(12): 3139-3149. |
| [41] | 滕吉文, 闫雅芬, 张慧等. 2002. 东亚大陆及周边海域Moho界面深度分布和基本构造格局. 中国科学(D辑: 地球科学), 32(2): 89-100. |
| [42] | 王椿镛, 林中洋, 陈学波. 1995. 青海门源—福建宁德地学断面综合地球物理研究. 地球物理学报, 38(5): 590-598. |
| [43] | 熊绍柏, 金东敏, 孙克忠等. 1991. 福建漳州地热田及其邻近地区的地壳深部构造特征. 地球物理学报, 34(1): 55-63. |
| [44] | 曾融生, 孙为国, 毛桐恩等. 1995. 中国大陆莫霍界面深度图. 地震学报, 17(3): 322-327. |
| [45] | 张成科, 赵金仁, 任青芳等. 1994. 豫北及其外围地区地壳上地幔结果研究. 地震地质, 16(3): 243-253. |
| [46] | 赵金仁, 张先康, 张成科等. 1999. 香河—北京—涿鹿及其相邻地区壳幔构造与速度结构特征. 地震地质, 21(1): 29-36. |
| [47] | 赵明辉, 丘学林, 叶春明等. 2004. 南海东北部海陆深地震联测与滨海断裂带两侧地壳结构分析. 地球物理学报, 47(5): 845-852. |
| [48] | 朱介寿. 1996. 1∶1200万莫霍界面深度图. //袁学诚. 中国地球物理图集. 北京: 地质出版社. |
2014, Vol. 57









