2. 中国石油集团测井有限公司技术中心, 西安 710077;
3. 油气藏地质与开发工程国家重点实验室 (西南石油大学), 成都 610500;
4. 北京航空航天大学仪器科学与光电工程学院, 北京 100191
2. Technology Research Center, China Petroleum Logging CO. LTD., Xi'an 710077, China;
3. State Key Lab of Oil and Gas Reservoir Geology and Exploitation (Southwest Petroleum University), Chengdu 610500, China;
4. Beihang University, Institute of Instrumental Science and Opto-electronics Engineering, Beijing 100191, China
经典Archie公式是测井资料解释从定性解释到定量解释的标志,并奠定了计算机处理测井资料的基础,在相对简单的储层中,Archie公式完美地描述了岩石物性、电性与含油性之间的关系[1].但是,随着石油勘探面临的储层日益复杂化,例如,孔隙结构的复杂化,泥质的含量增加等因素,都导致经典Archie公式的应用效果受到限制.为了扩展Archie公式在复杂地层中的应用,Waxman-Smits等使用泥质的附加导电性,提出了Waxman-Smits模型[2].另一方面,经典Archie公式包含a、b、m、n等4个参数,按照Archie本人的定义,这些参数分别描述地层岩性、孔隙中的胶结、含油岩石的润湿性和饱和度对岩石导电性的影响[1].然而,自从1942年Archie公式发表 70年以来,为了明确这些参数的物理含义和确定方法,很多学者(例如,Aguilera,李宁等),对此进行了长期的探索,提出了各种参数含义的解释方法和确定方法[3-7].当岩石孔隙中饱含油、气、水等多相流体时,孔隙中的流体构成多相流体系统,Glover提出了多相流系统Archie公式的一般形式[8].其核心思想是,不同相流体之间,以加权几何平均值的形式,构成流体相的导电能力,按照Glover多相流体导电模型,经典Archie公式可以看成是单相流体的导电模型.值得注意的是,Kennedy和Glover等都提出,ϕ-Sw,m-n具有导电意义上的对应关系[5, 8].最近的研究表明,岩石的导电性质,还与岩石孔隙结构及形态有关.Aguilera针对裂缝和孔洞,以及它们的组合形式,分别给出了m(胶结指数)理论表达式.Shang将孔隙分成洞形孔和裂缝孔,根据等效岩石组分模型(EquivalentRockElementModel),推导出全新的饱和度计算方程[4, 9].作为Waxman-Smits模型的深入研究,Olivar在讨论泥质颗粒的导电特征的时候,考虑了泥质颗粒的排列方式和均匀程度,提出了修正的Waxman-Smits模型[10].本次研究,基于球管模型研究了岩石孔隙结构与岩石导电特性之间的关系,并将研究与实验数据进行了对比分析.根据球管模型的数值模拟结果,说明了实验数据发散与岩石导电机制之间的关系.
2 孔隙结构与岩石导电特性的关系岩石中存在孔隙,且孔隙被具有一定矿化度的地层水饱和,这是岩石具有导电性的前提.就是说,被地层水饱和的孔隙形成了岩石的导电路径.真实岩石的孔隙结构非常复杂,为了简单起见,我们首先使用简单的孔隙结构,说明岩石孔隙结构与岩石导电性之间的关系.
不失一般性,本文研究使用单位体积岩石模型研究岩石孔隙结构与导电性质之间的关系.经典物理学告诉我们,电阻定律是研究材料导电特性的基本定律之一.把多孔岩石看成一种导电材料,在对岩石内部的孔隙进行简化归并以后,形成具有均匀直线管状导电孔隙的单位体积岩石模型(图 1).在图 1的导电模型中,因为是单位体积模型,所以,岩石的长度和截面积都是1.假设岩石模型的孔隙度为ϕ,则导电截面上的导电面积为ϕ.根据电阻定律,可以写出图 1中岩石模型的电阻表达式为
|
(1) |
|
图 1 单位岩石的电阻模型 Fig. 1 Resistance model in unit rock sample |
其中,R0是岩石饱含盐水的电阻,单位Ω;Rw为盐水(地层水)的电阻率,Ωm;ϕ为单位岩石模型的孔隙度,小数.
因为是单位体积岩石,R0在数值上等于岩石的电阻率.对比方程(1)和经典Archie第一公式,可以看到,方程(1)就是m=1,a=1时的Archie公式.所以,从这个意义上说,阿尔奇公式是特殊导电孔隙下的岩石电阻定律.仔细分析阿尔奇公式第一定律和第二定律,可以发现,R0与Sw之间的关系,类似于Rw与ϕ之间的关系,即Rw构成ϕ中的导电能力,R0也构成了Sw中的导电能力[4-5].而且,还可以证明,当岩石含油以后,只要含油部分只是减小了导电截面积,而没有改变岩石的导电路径和分布,这个时候,胶结指数(m)与饱和度指数(n)在数值上也是相等的,它们的本质都是反映岩石导电路径的曲折程度对岩石导电能力的影响.
假设图 1中单位岩石模型的孔隙中含有一层平直状态的“油带”,由于含水体积减少,含水饱和度为Sw.这样假设的目的,是岩石含油不改变岩石导电路径的形态和分布,只是减小了岩石导电的截面积.此时,岩石的电阻率为Rt,单位岩石模型的导电截面积变为ϕSw.再一次使用电阻定律,可以得到含油岩石的电阻:
|
(2) |
其中,Rt是岩石含油后的电阻,对于单位体积岩石,Rt在数据上等于岩石的电阻率,Ωm;Sw是岩石的含水饱和度,小数.
将方程(2)与经典Archie第二公式对比,可以看到,方程(2)就是b=1,n=1的Archie第二公式.这就是说,岩石含油后,只要导电路径的形态没有变化,Archie公式的中的a,b,m,n具有相同的含义和数值,都是表示岩石导电路径的形态对岩石导电能力的影响.也就是说,Archie公式是电阻定律在岩石导电情况下的应用特例.
3 含球管模型的岩石导电方程多个学者研究结果和实验分析数据已经证明[11-13, 5, 8],岩石的导电性质与孔隙结构有关.就是说,在孔隙度相同的情况下,不同孔隙结构的岩石,可能具有不同的电阻率.在Archie公式中,使用胶结指数m描述孔隙结构的曲折性对岩石导电性的影响[1, 3].但是,真实岩石的孔隙结构非常复杂,除了实验分析外,几乎不能使用解析方法研究岩石的导电性与孔隙结构之间的关系.作为真实岩石孔隙结构的一种抽象方法,本次研究应用球管模型研究岩石孔隙结构与导电性之间的关系[14].不失一般性,假设截面积为1的单位体积圆柱形岩石样品,其长度也为1(图 2).
|
图 2
单位体积圆柱岩石的球管导电模型![]() ![]() |
根据截面积的公式,圆柱体样品截面的半径为
|
(3) |
其中,rS0为单位岩石样品的截面半径,无量纲.
将孔隙结构的变化,归结为管半径与球半径比值的变化(Cd值的变化,方程(4))[14].因为是单位体积的岩石模型,所以,球管模型的体积就是岩石模型的孔隙度.在Cd值的变化过程中,球半径在小于和大于岩石样品的半径(rS0)时,即rs可能有不同的取值区间,球管模型相应地可能呈现不同的形式(图 3).根据图 3中球管模型的不同退化形态,计算不同退化形态球管模型的体积,也就是岩石模型的孔隙体积,得到方程(4),
|
(4) |
|
(41) |
|
图 3 rs的取值区间和球管模型的退化图形 Fig. 3 The Sphere-Cylinder Model may take different degradations when the rs takes different values |
其中,V1,V2,V3,V4是球管模型在不同退化形态下的体积(图 2,图 3),无量纲;V5,V6为中间变量,无量纲;rs为球管模型的球形孔半径,无量纲;rc为球管模型的管形孔半径,无量纲.
在单位体积的圆柱岩石样品中,球管模型的体积就是圆柱岩石样品的孔隙度,即
|
(5) |
方程(5)是关于rs的高次无理方程,没有解析解.但是,可以把方程(5)改写为方程(6)中的迭代格式.数值计算结果表明,这个迭代格式是收敛的.
|
(6) |
|
(61) |
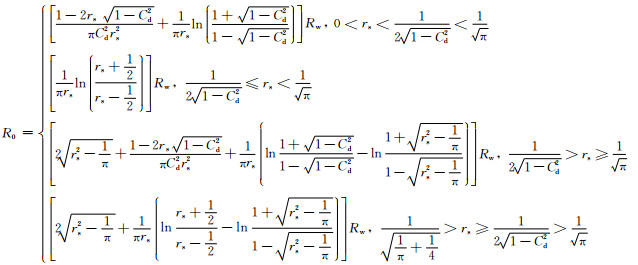
当电流按照图 2,图 3中红色箭头方向流动时,在图 2,图 3的每一个电阻微元上,应用电阻定律,得到rs在不同数值区间时岩石模型饱含盐水的电阻率R0(方程(7)).
|
(7) |
根据Archie定义的地层因素F[1],可以很容易根据方程(7)写出地层因素的表达式.在图 2,图 3的模型中,把孔隙结构的变化,归结为Cd值的变化[14].Cd分别取为0.25,0.35和0.95,可以计算Cd变化时单位岩石模型的地层因素与孔隙度关系(图 4).
|
图 4 地层因素数值模拟与实验分析数据 Fig. 4 Comparison of lab data and number simulation for formation factor |
图 4的模拟结果说明3个问题.首先,在孔隙度相同的情况下,不同的Cd值,对应了不同的地层因素,即岩石具有不同的地层电阻率.前面已经说过,Cd值的变化,反映了孔隙结构的变化,所以,本次研究,使用解析的方法证明,孔隙结构的变化将会引起岩石电阻率的变化;其次,Cd值变小时,孔隙度与地层因素的双对数坐标上呈现一种曲线变化的关系(图 4中,Cd=0.25对应的红线).Cd变小,意味着岩石的导电喉道变小,也即岩石的导电路径趋于复杂化.球管模型导电方程的计算结果说明,在复杂孔隙结构中,岩石的地层因素与孔隙度之间的关系是曲线关系,就是说,在复杂孔隙结构的岩石中,岩石的胶结指数(m)与孔隙度有关(图 4中的红线);第三,在Cd较大的时候,岩石的孔隙结构趋于简单,这个时候,地层因素与孔隙度之间的关系接近于线性,这个特点与经典Archie公式的结论一致,所以说,经典Archie公式描述了简单孔隙结构中的岩石导电规律.将实测的岩电分析数据与数值模拟结果对比,可以看到,实测岩电数据与数值分析的结果一致.特别是对于实测数据中出现的发散现象,不能一概归结为测量误差引起的.球管模型导电方程的数值模拟结果说明,岩石孔隙结构变化,也可能导致实验数据的发散(图 4).
对比方程(7)与Archie第一公式的推导过程,可以看出,前者是基于球管模型的介质模型,根据电阻定律进行理论推导得到的,其公式的形式和计算结果不依赖于实验分析数据,属于正演模型公式;另一方面,Archie第一公式是基于实验分析数据的数据拟合公式,公式的形式和计算结果与特定的实验数据有关,属于反演模型公式.实际上,对图 4中的数据进行优化拟合,采用Archie第一公式形式,也可以得到球管模型对应的Archie第一公式的形式(图 5).以Cd=0.25的模拟数据(表 1),得到球管模型对应的Archie第一公式即为方程(8).在数据拟合过程中,适当减少了边界点的权重,主要考虑中间数据对拟合结果的影响.在方程(8)中,胶结指数(m)等于1.401,就是说,对于Cd=0.25的球管模型,其曲折的导电路径增加了胶结指数.换句话说,方程(7)中对应Cd=0.25和参数a=1.528,m=1.401的Archie第一公式(方程(8))在最优化拟合的意义上描述了同一种球管模型的导电特征.
|
(8) |
|
|
表 1 Cd=0.25数值模结果 Table 1 Number simulations for Cd=0. 25 |
|
图 5 数值拟合与Archie公式拟合结果的对比 Fig. 5 Comparison of number simulations and Archie's Fitting |
当油气进入岩石以后,假设除了导电体积的差异之外,油气在球管模型中的形态与孔隙结构完全一致(图 6,方程(9)).
|
(9) |
|
图 6 含油气球管模型的示意图 Fig. 6 Oil-bearing sphere-cylinder model |
其中rco,rso分别是位于管形孔中油柱的半径和位于球形孔中油珠的半径(图 6),无量纲.Cdo的数值描述完整油珠的形态.
以方程(7)中的的第一种情况为例,研究球管模型饱和油气以后的岩电关系,其他情况完全可以类推.与研究地层因素的方法类似,在图 6模型的每一个电阻微元应用电阻定律,可以写出含油气球管模型的电阻定律(方程(10)).设油珠的半径为rso,含油气岩石的电阻可以写成(方程(10)),
|
(10) |
根据Archie关于电阻增大系数的定义[1, 15],可以写出电阻增大系数I.
|
(11) |
同样地,方程(11)与方程(7)的性质类似,都是基于球管模型根据电阻定律推导出来的,方程(11)的形式和计算结果与特定的实验数据无关.
油珠、油柱体积与含油饱和度的关系按照饱和度的定义写出(方程(12)),
|
(12) |
其中,V0为球管孔隙中的含油体积,无量纲.
方程(12)是关于rso的一元三次方程,可以使用迭代格式确定rso(方程13).计算结果表明,这个迭代格式是收敛的.
|
(13) |
把rso的迭代格式(方程(13))代入到方程(11)中,很显然,此时的电阻增大系数I是关于Cd和rdo的函数.当rdo和Cd各自独立变化时,I将反映油柱和孔隙在不同配置情况下的岩石导电特征.对方程(11)进行数值模拟,得到含油球管模型I-Sw的数值模拟结果(见图 7).图 7的数值模拟结果说明,首先,对于单一的球管模型饱含油气后,认为rdo=Cd是油珠在球管模型中的均匀充填方式.当rdo和Cd之间取不同的数值组合,其本质是反映了孔隙与油珠之间不同的组合.在孔隙和油珠不同的配置关系下,本次研究的数值模拟结果表明,岩石电阻率可以出现增大(rdo<Cd)和降低的趋势(rdo>Cd).就是说,即使不考虑岩石导电矿物的因素,油珠和孔隙空间的不同配置关系,也会形成低电阻油层;其次,数值模拟结果说明,由于岩石中油珠的非均匀充填,可以看到,I与Sw关系在Sw小于1的时候,呈现一种发散的趋势,实验数据证实了这个趋势(图 7).很显然,这种数据发散的趋势与孔隙结构有关,同时,也与孔隙含油后导致更复杂的导电路径有关.也就是说,本次研究的数值模拟结果证实,不能简单地把实验数据的发散看成是测量误差的结果,这种数据发散现象,可能同时包含了孔隙结构复杂化和导电路径复杂化的因素.
|
图 7 含油球管模型I-Sw的数值模拟与实验数据分析 Fig. 7 Comparison of lab data and number simulation for I-Sw relations in oi-bearing sphere-cylinder model |
将图 4和图 7的数值模拟结果对比,可以看到在岩石孔隙饱含水时,岩石的电阻率只与孔隙结构有关.当Cd=0.25,0.35,0.95时,Cd值对应的F-ϕ之间关系从曲线关系趋于直线关系.即当Cd逐渐增大时,F-ϕ之间的关系趋向于线性.较小的Cd值反映一种比较复杂的孔隙结构,所以,本次研究的数值模拟结果证明对于复杂的孔隙结构,F-ϕ之间的关系趋于非线性变化.在岩石孔隙中饱含油气以后,油气形态与孔隙结构之间组合关系的变化,使岩石中的导电路径趋于进一步复杂化(图 7).当rdo大于、等于或小于Cd的时候,I-Sw之间的关系呈现不同的曲线变化方式.特别是在Cd0大于Cd的时候,岩石电阻率有降低的趋势,这就是低电阻油层的一种特征.所以,即使不考虑地层水矿化度、岩石骨架矿物导电等因素导致的低电阻,油珠形态与孔隙形态之间不同组合方式也可能导致低电阻油层.在rdo小于Cd的时候,岩石电阻率也有急剧增加的现象.在这种情况下,油珠比较均匀地充填在岩石孔隙中,导致岩石的电阻率急剧增加(图 7).所以,电测井中出现电阻率急剧增加,也可能与油珠形态与孔隙形态之间的不同组合方式有关(图 7,图 8),也与良好的岩石物性有关[16].
|
图 8 孔隙结构差异引起电阻率的变化 Fig. 8 Resistivity changes due to the different pore structure |
例如,假设在Sw=0.2(油层)的情况下,当Cd=rdo=0.35;rdo=0.45,Cd=0.65;rdo=0.65,Cd=0.45的时候,根据方程(11)计算的I值分别为5.815,42.367和3.153.就是说,在同样的含油饱和度情况下,油珠形态与孔隙结构之间不同的组合形式,同样可以导致岩石电阻率增大和降低.实际测井解释与岩心实验数据已经发现了这个现象[13, 16],本次研究使用解析方程的数值模拟证实了其中的导电机制问题.
图 8是Luo20井的实际测井曲线,在2号解释层中,上半部分电阻率高,约为20Ωm,而下半部分电阻率降低,只有10Ωm.在岩性和孔隙结构背景基本一致情况下,这种电阻率的变化完全可以归结为油珠形态和孔隙结构之间组合方式的变化.另一方面,在具有复杂孔隙结构的储层中,油气在孔隙中的不均匀充填可能导致高含油饱和度的储层显示为低电阻率(图 7),也就是所谓的低电阻率油层[16],所以,本次研究的数值模拟结果证实,复杂孔隙结构是低电阻率油层的成因之一.
5 结论本次研究基于球管模型研究了完全含水岩石和含油岩石的岩电关系,并将数值模拟结果与实验测量、实际测井数据进行了对比分析.本次研究的结论可以归纳为:
(1)Archie公式是电阻定律在岩石导电条件下的应用特例;
(2)不同的孔隙结构可以导致曲线形式和发散形式的岩电关系.实验测量中的发散岩电数据,不完全是误差引起的,可能与岩石的孔隙结构有关;含油岩石,可以导致岩电关系的进一步发散,其原因是油珠在孔隙中的分布导致了更复杂的导电路径;
(3)实际测井数据和球管模型的数值模拟均证实,在良好孔隙结构的储层中,油气在孔隙中的均匀充填导致了岩石的高电阻率.另一方面,本次研究的数值模拟结果证明,复杂孔隙结构是导致低电阻油层的原因之一.
本次研究着重于孔隙结构与岩石导电性之间机制研究,怎样将本文的研究结论用于实际地层的评价,例如,在孔隙结构背景已知的条件下,特别是在具有复杂孔隙结构背景的地层中,如何突出含油层与含水层在电阻率数值上的差异,需要做更深入的研究工作.另外,球管模型是一种相对规则的孔隙模型,对于孔隙性碎屑岩具有比较好的实用性.但是,对于不规则孔隙储层或裂缝储层,其实用性需要更多的实际资料佐证.
致谢三名匿名审稿专家对本文的修改提出了很好的审稿意见,同济大学本科生乌尼尔参与了本文的部分研究工作,特在此一并致衷心感谢.
| [1] | Archie G E. The electrical resistivity log as an aid in determining some reservoir characteristics. Transactions of the American Institute of Mining, Metallurgical and Petroleum Engineers , 1942, 146(1): 54-62. |
| [2] | Waxman M H, Smits L J M. Electrical conductivities in oil-bearing shaly sands. Soc. Petr. Eng. J. , 1968, 8(2): 107-122. DOI:10.2118/1863-A |
| [3] | Aguilera R, Aguilera F R F. A triple porosity model for petrophysical analysis of naturally fractured reservoirs. Petrophysics , 2004, 45(2): 157-166. |
| [4] | Kennedy D. The porosity-water saturation-conductivity relationship: an alternative to Archie's model. Petrophysics , 2007, 48(5): 335-361. |
| [5] | Berg C R. Dual-porosity equations from effective medium theory. SPE 101698, 2006 SPE Annual Conference and Exhibition held in San Antonio, Texas, U. S. A., 2006: 24-27 |
| [6] | 李宁. 一类测井响应方程存在的必要条件. 地球物理学报 , 1989, 32(3): 329–337. Li N. Necessary conditions for the existence of one kind of logging response equations. Acta Geophysics Sinica (Chinese J. Geophys.) (in Chinese) , 1989, 32(3): 329-337. |
| [7] | 李宁. 电阻率-孔隙度、电阻率-含油(气)饱和度关系的一般形式及其最佳逼近函数类型的确定(Ⅰ). 地球物理学报 , 1989, 32(5): 580–592. Li N. General forms of the resistivity-porosity and resistivity-oil/gas saturation relations, as well as the determination of their optimum approximating function types (Ⅰ). Acta Geophysics Sinica (Chinese J. Geophys.) (in Chinese) , 1989, 32(5): 580-592. |
| [8] | Glover P W J. A generalized Archie's law for n phases. Geophysics , 2010, 75(6): E247-E265. DOI:10.1190/1.3509781 |
| [9] | Shang B, Hamman J, Caldwell D. Improved water saturation estimation using equivalent rock element model and applications to different rock types, SPE-113342, 70th EAGE Conference & Exhibition, Rome, Italy, 2008. |
| [10] | de Lima O A, Sharma M M. A grain conductivity approach to shaly sandstones. Geophysics , 1990, 55(10): 1347-1356. DOI:10.1190/1.1442782 |
| [11] | 毛志强, 高楚桥. 孔隙结构与含油岩石电阻率性质理论模拟研究. 石油勘探与开发 , 2000, 27(2): 87–90. Mao Z Q, Gao C Q. Theoretical simulation of the resistivity and pore structure of hydrocarbon bearing rocks. Petroleum Exploration and Development (in Chinese) , 2000, 27(2): 87-90. |
| [12] | 王克文, 孙建孟, 关继腾, 等. 储层岩石电性特征的逾渗网络模型. 石油学报 , 2007, 28(1): 101–106. Wang K W, Sun J M, Guan J T, et al. Percolation network modeling of electrical properties of reservoir rock. Acta Petrolei Sinica (in Chinese) , 2007, 28(1): 101-106. |
| [13] | 孙建孟, 吴金龙, 于代国, 等. 阿尔奇参数实验影响因素分析. 大庆石油地质与开发 , 2006, 25(2): 39–41. Sun J M, Wu J L, Yu D G, et al. Influential factors in Archie parameters experiment. Petroleum Geology & Oil Field Development in Daqing (in Chinese) , 2006, 25(2): 39-41. |
| [14] | 刘堂晏, 肖立志, 傅容珊, 等. 球管孔隙模型的核磁共振(NMR)弛豫特征及应用. 地球物理学报 , 2004, 47(4): 663–671. Liu T Y, Xiao L Z, Fu R S, et al. Applications and characterization of NMR relation derived from sphere-capillary model. Chinese J. Geophys. (in Chinese) , 2004, 47(4): 663-671. |
| [15] | Spangenberg E. Modeling of the influence of gas hydrate content on the electrical properties of porous sediments. Journal of Geophysical Research , 2001, 106(B4): 6535-6548. DOI:10.1029/2000JB900434 |
| [16] | 欧阳健, 王贵文. 测井地质分析与油气层定量评价. 北京: 石油工业出版设, 1999 : 192 -199. Ouyang J, Wang G W. Analysis and Evaluation of Oil-gas-bearing Reservoir in Logging Geology (in Chinese). Beijing: Petroleum Industry Press, 1999 : 192 -199. |
2013, Vol. 56


