2. 中国科学院国家天文台, 北京 100012;
3. 中国地震局地球物理研究所, 北京 100081;
4. 中国科学院研究生院, 北京 100049
2. National Astronomical Observatories, Chinese Academy of Sciences, Beijing 100012, China;
3. Institute of Geophysics, China Earthquake Administration, Beijing 100081, China;
4. Graduate University of Chinese Academy of Sciences, Beijing 100049, China
1912年Bottlinger提出“引力吸收”假说用于修正牛顿“万有引力”理论,并给出描述“引力吸收”效应的公式[1]:

日全食期间在是否存在“引力异常”现象是一个关系到引力本质的重大问题,也是一个具有现实意义的科学问题.卫星的运行轨道在很大程度上决定于地球重力场[3].卫星在穿越月球阴影时也就相当于地表的“日全食”.如果存在引力异常,即便微小,日积月累,影响也很大.厘清“日全食”期间地球重力场是否有微弱变化,可以对卫星的运行轨道变化有更细致的认识.
半个多世纪以来,科研工作者做了大量的研究和实验,力图寻找在日食期间的“引力屏蔽效应”和其它可能的引力异常现象.
1954年Allias[4]发现了傅科摆在日全食期间转动角度反向增大了13°,引起了学术界极大的轰动.王榴泉等[5]利用重力仪和倾斜仪进行了1976年日环食的引力效应观测;王国宗等[6]和王谦身等[7]分别进行了1980年云南日全食引力效应的观测.以上观测均没有发现明显的异常现象.1995年,印度的Rao[8]在Dhoraji发现了日食期间明显的重力低谷现象,引起广泛关注.
1997年漠河日全食期间,王谦身、杨新社、汤克云等[9-10]利用国外先进的LCR重力仪和PC-1500微型计算机进行了日全食前后连续的观测,发现了日全食前后分别出现了明显的重力低谷现象,再次引起了人们的极大关注和浓厚兴趣[11],成为了众多科学研究者和爱好者探讨的对象,也成为后续诸多观测活动的驱动力.
1999年B.Ducarme等[12]在1991年墨西哥日全食的观测中未检测到“引力屏蔽”效应,却提出了重力观测资料气压改正的新方法,具有参考意义.之后刘少明等[13]详细阐述了1999年欧洲日全食的重力吸引效应观测.使用了两台超导重力仪、两台大地动力学重力仪、两台Askania重力仪和三台LCR重力仪,并对观测数据进行了精确处理和详细分析之后,仍未发现明显的重力异常现象.
2009年7月22日,又一次日全食经过中国境内,中国科学院地质与地球物理研究所联合中国科学院国家天文台,在国内多家科研单位和地方企业的帮助下完成了日全食期间的重力观测.这是有史以来参加单位最多,观测条件最好,数据质量最高的一次日全食重力观测.本文经过两年的资料收集、数据处理、结果分析,客观、真实的反映了日全食期间重力观测的结果.
2 基本理论和处理方法本文采用了两种类型的重力仪所获取的数据进行研究,分别是LaCoste-Romberg金属弹簧重力仪(以下简称LCR重力仪)和SG-053超导重力仪.要研究日食期间的引力异常,需要利用观测到的实测重力数据进行以下处理[14]:(1)校正重力仪漂移影响;(2)去除气压和温度变化影响;(3)减去理论潮汐数据,得到的残差则是剩余重力值.
对于重力仪漂移影响,每台仪器并不相同,需要经过长期稳定的观测得到一个近似经验公式.一般来说,短时间内的漂移可以看成线性的[15].对于SG-053超导重力仪,经过长期观测,证明短时间内漂移极小,可以不做处理[16-17].而对于LCR重力仪,需要根据不同数据处理方法作相应处理.
根据魏望生等[18]和刘绍府等[19]以及赵炜等[20]的研究,LCR重力仪及相似的金属弹簧重力仪对外界温度和压力变化具有一定程度的响应,在做微伽级重力数据分析的时候不能忽视.
在本文对日食及非日食期间大量数据进行处理后发现,LCR重力仪的温度改正为0.224μGal/℃比较合适,能够比较好的去除温度变化对观测值的影响.由于篇幅所致,不做详细说明,具体的过程参考了Ducarme等[12]文章中对大气改正的方法.
实际上,气压变化造成的气压负荷效应也不容忽视.由于湖州、杭州和上海台站缺乏长期的重力和气压观测资料,无法通过实测数据计算当地的大气负荷效应导纳值,因此采用孙和平等[21]的研究结果,取平均导纳值为-0.3603μGal/hPa,该值占大气变化引起的总信号的90%以上,能有效的消除重力观测中的气压干扰成分;武汉SG-053的大气负荷效应根据徐建桥等[22]研究得到武汉地区时域内的导纳值为-0.307μGal/hPa的标准进行改正.
去除理论潮汐值的方法一般有三种:(1)合成潮汐法[23],利用理论公式计算观测地的理论潮汐值,再从观测数据中减去此值,得到剩余重力值,这是最直接的方法;(2)数字滤波法[24-25],具体做法相当于对观测数据进行高通或者带通滤波,得到剩余重力值;(3)多项式拟合法[17],利用高次多项式,对观测数据进行拟合,再减去拟合数据,得到剩余重力值.对于SG-053超导重力仪,利用合成潮汐法能够较好的去除理论值[23],得到剩余重力,这里不做过多讨论.对于LCR重力仪,分别采用三种方法进行比较.
另外,由于静态重力观测难免受到地震、仪器掉格等不可预知因素干扰,观测曲线会产生一些突跳和间断,对这类问题,在经过多方面考虑之后采取谨慎的态度处理.
由于LCR重力仪观测站位于沿海地区,海潮对固体潮观测影响较大[26].从图 1a可以看出,观测值减去理论合成潮汐值后有明显的相位延迟现象,严重影响了结果的分析.由于海潮造成的相位延迟效应处理比较复杂[27],也不在本文研究范围之内,故避免使用合成潮汐法.
|
图 1 从观测数据中去除理论潮汐值的三种方法 (a)合成潮汐法;(b)数字滤波法;;(c)多项式拟合法 Fig. 1 Three methods to remove the theoretical tide from the observed data |
图 1b使用离散FFT数字滤波法,能够规避海潮对剩余重力值的影响,并且能很好的保留剩余重力值的局部细节,但是由于数字滤波本身的原因,造成了信号有比较明显的畸变,尤其在开头和末尾更为显著,因此也不作为最优的选择.
图 1c参考了雷湘鄂等[25]所采用的最小二乘多项式拟合法,并在其基础上略作修改.用一个N次多项式
2009年7月22日日全食在中国境内自北京时间早7:00许从西藏开始入境到11:00由舟山群岛出境,全长3000余公里,先后经历3个多小时(见图 2).
|
图 2 日全食带和观测站点位置(修改自NASA) Fig. 2 The belt of the total solar eclipse and the locations of the observatories(From NASA) |
中国科学院地质与地球物理研究所日全食观测队采用7套LCR重力仪和4套高精度REFTEC-300型数字数据采集仪(美),在上海、杭州、湖州3个测点进行同步观测.同时在武汉利用一台SG-053超导重力仪进行观测.4个测点皆在全食带内.图 3为在杭州、湖州、上海、武汉4个测点的位置见图 2.
|
图 3 2009年7月22日日全食观测曲线 (a)、(b)为湖州观测站,D122#和D215#重力仪观测曲线,(c)、(d)为杭州G1149#和G1150#重力仪观测曲线,(e)、(f)、(g)分别为上海G147#、G570#和D200#重力仪观测曲线. Fig. 3 Observed curves of the solar eclipse on July 22, 2009 |
由表 1可见,此次日全食发生的地点、时间、全食时长和太阳高度都十分理想.
|
|
表 1 2009年7月22日观测站所在地日全食参数 Table 1 The parameters of the eclipse about the locations of the observatories on July 22, 2009 |
湖州、杭州、上海3个台站分别于7月17日至18日布设完成;18日联机试运行;19日正式记录;20日统一换直流电源;23日中午停止记录.在21日下午18:00到22日下午18:00,24h台站处于无人值守状态,自动采集和储存数据,完全隔绝人为干扰.数据采样率均为15Hz,为了便于处理,后期重采样为1Hz,经过归一化处理,得到图 3中的观测曲线.
3.1 湖州观测站结果分析湖州观测站位于湖州市地震台山洞内观测室,仪器放置基岩观测台上,采用LCRD型重力仪2台(122#、215#);数字记录采集仪REFTEC-300型1台,机械式大气压强、温度记录仪各一台.
图 4(a,b)分别为湖州观测站日食期间观测室从21日18:00到22日16:00,记录纸记录的气压和温度曲线.由于观测站位于山洞深部观测室,环境相对封闭和稳定,所以日食前后及期间6:00~12:00这段时间气压值为1003hPa±0.5hPa以内,温度值为7.5 ℃±0.5 ℃,而且LCR重力仪具有内部恒温装置,二者对于重力仪读数影响不明显.
|
图 4 湖州观测站气压(a)和温度(b)记录 Fig. 4 Records of the barometric pressure and the temperature of the Huzhou observatory during the solar eclipse |
图 5为湖州气象局记录当地2009年7月22日室外气温和气压记录.气压变化用作对重力观测值的大气负荷效应改正.
|
图 5 0:00到20:00湖州气压和温度记录(湖州气象局提供) Fig. 5 Atmosphere pressure and temperature at Huzhou from 0:00 a.m.to 8:00 p.m.(From Huzhou weather bureau) |
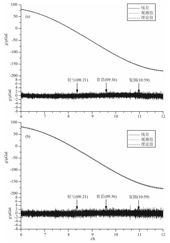
图 6(a,b)分别是D122#和D215#重力仪日全食期间及前后观测数据曲线,理论曲线和剩余重力曲线.由于温度和气压变化都不大,大气负荷效应和温度对观测数据影响都不明显.经过相应改正和计算,在日食初亏、食甚和复圆处均没有发现明显的重力异常现象.
|
图 6 湖州观测站两台重力仪剩余重力值曲线 (a)D122#重力仪日食期间剩余重力值;(b)D215#重力仪日食期间剩余重力值. Fig. 6 Residual gravity of the tow gravimeters at Huzhou observatory |
杭州观测站位于浙江大学山洞内的地下观测室.放置LCR G型重力仪2台(1149#和1150#),外接数字记录采集仪REFTEC-300型1台进行数据采集.
由于杭州观测站环境与湖州测站十分相似,当天天气情况也相似(未获得相关气象记录),相应气压和温度影响可以参考湖州的情况.原始数据在经过与湖州观测站数据相同处理后分别得到两台仪器剩余重力曲线.
在图 7(a,b)中,两台仪器的剩余重力曲线在日全食初亏、食甚和复圆处没有发现可以观察到的重力异常现象.
|
图 7 杭州观测站两台重力仪剩余重力值曲线 (a)G1149#重力仪日食期间剩余重力值;(b)G1150#重力仪日食期间剩余重力值. Fig. 7 Residual gravity of the tow gravimeters at Hangzhou observatory |
上海观测站位于上海佘山地震台.其中采用LCR G型重力仪2台(147#、570#)放置地下观测室;为与地下观测对比,1台LCRD型重力仪(200#)放置地上观测室;数字记录采集仪REFTEC-300型2台.
根据上海气象局提供的气象记录,2009年7月22日从早9:00左右到15:00一直有雷雨.从图 8可以看出,7:00~12:00温度和气压都有比较大的变化.9:30左右气压变化有一个急剧转折;气温变化梯度在此时也最大.
|
图 8 7:00~12:00上海佘山附近气温和气压记录(上海气象局提供) Fig. 8 Atmosphere pressure and temperature at Shanghai from 7:00 a.m.to 12:00 p.m.(From Shanghai weather bureau) |
图 9是佘山地震台自有重力仪2009年7月22日重力观测原始记录(截图),记录间隔为1 min.可以看出在9:30左右重力曲线有一个明显错断现象,这跟温度压力曲线变化规律十分吻合.上海观测站3台仪器原始观测曲线在9:30左右均有一定幅度的突变现象,经过相应的温度和压力改正,能够的得到比较好的恢复,说明剧烈的温度和压力变化对重力仪的观测影响比较大.
|
图 9 上海佘山地震台固定重力仪观测结果 Fig. 9 The record of the stable gravimeter at Sheshan seismostation Shanghai |
上海观测站地下两台仪器观测数据在经过相关处理之后得到日食期间及前后剩余重力曲线.图 10a是G147#重力仪处理得到曲线,与图 10bG570#重力仪曲线相比噪声要明显许多,由于两台仪器在同一位置观测,采用同一数据采集器,可以判定图 10a的杂乱是该重力器本身性能原因.图中的剩余重力异常不超过±2μGal,在仪器观测精度以内,在日全食初亏、食甚和复圆处也没有发现明显的重力异常现象.
|
图 10 上海观测站地下两台重力仪剩余重力值曲线 (a)G147#重力仪日食期间剩余重力值;(b)G570#重力仪日食期间剩余重力值. Fig. 10 Residual gravity of the tow gravimeters at Shanghai underground observatory |
为了对照地下观测仪器的结果,同时也为了检测观测环境对于观测质量的影响,D200#重力仪置于地面僻静房屋内观测.从处理的结果图 11中可见,仪器噪声水平比地下观测仪器明显大许多,范围超过±2μGal.曲线整个形态呈波状起伏,这在其它仪器均没有发现.但这一现象与王谦身等[9]发现的“重力双谷”现象有一定相似性,可以从一定程度上说明之前的“重力双谷”现象是受环境影响所致.重力仪处在开放的空间,也未放置在稳固的基岩上,受气压和气温变化影响可能性较大,且无法通过简单的处理方法去除.对照结果很明显,因此以后再进行此类观测实验时,必须尽可能将仪器置于受环境变化影响尽量小的地方.
|
图 11 上海观测站地面D200#重力仪剩余重力值曲线 Fig. 11 Residual gravity of the D200# gravimeter at Shanghai overground observatory |
中国地震局地震研究所引进的超导重力仪(编号SG-053)为美国GWR公司生产的最新改进型[28],该超导重力仪安装于国家引力与固体潮野外观测站,2008年9月26日开始正式观测.仪器置于温度为4K的液氦中,噪声水平小于0.4μGal,短时间内仪器漂移极小,可以不做处理[16-17].观测数据经过归一化处理,得到图 12a中的观测曲线.
|
图 12 武汉SG-053超导重力仪重力观测曲线和气压记录曲线 (a)重力观测记录;(b)气压记录. Fig. 12 Curves of the gravity and the barometric pressure of SG-053 superconducting gravimeter at Wuhan observatory |
利用固体潮封闭公式[29-30],计算SG-053超导重力仪所在地区当日24h理论潮汐值.观测数据减去理论潮汐值,再利用图 12b中所示的气压记录,经过大气负荷效应改正,得到剩余重力曲线图.
从图 13中可以看出,SG-053超导重力仪的观测噪声很小,在0.5μGa以内,数据精度很高.除了个别外界扰动,基本没有明显的异常现象.在食甚和复圆以及日食前后均没有超过±0.5μGal的重力异常现象;在初亏时有一小幅度地震扰动,这一扰动在上述三地7台仪器中均没有出现,应该是局部小范围影响,与日食没有必然联系.
|
图 13 SG-053超导重力仪日全食期间剩余重力曲线 Fig. 13 Residual gravity of superconducting gravimeter SG-053 during the solar eclipse |
本文所研究的2009年日全食期间的重力观测,依托两两距离百公里左右的三个专业重力观测平台,其中三个观测台站中7台LCR重力仪的日全食重力观测环境非常良好(除去上海地面观测站LCR D200#仪器),确保隔绝了人为干扰和外部自然环境变化的影响;数据采集系统也十分精良,采样精度达到2μGal,采样率15Hz,对于检测可能出现的异常现象相当精确,在近百年来进行的日全食期间的重力观测中是物理条件最好、数据最可靠的一次观测活动.同时利用一台长期稳定观测的超导重力仪数据,精度达到0.5μGal,经过严格的计算和分析,得到更加精确的结果,增强了结论的客观性和可靠性.
本次观测活动做了一个比较全面的设计和安排.在保证整个研究观测质量的前提下,特别在上海建立一台地表观测站,用以研究观测环境对观测结果的影响程度.很明显的发现外界环境对观测质量影响较大,且比较复杂,难以处理.以后此类精度达到微伽级的观测活动,都应尽量避免在开放的空间进行.另外在数据处理过程中,特别注意搜集观测地附近气象资料和相应观测资料,用以排除和比对观测数据中出现的一些问题,保证处理结果的严密性和客观性.
经过大量观测数据的处理和分析,并没有发现Rao在Dhoraji发现的重力低谷,也没有再次捕捉到类似于漠河日全食期间的两个重力低谷现象,同时也没有发现别的可以观察到的明显的引力异常.崔荣花等[31]的研究结果跟本文也是一致的.Rao的观测条件较差,不足以讨论;漠河日全食也由于受观测条件所限,观测环境和数据采集质量不高,对于数据处理之后所出现的两个重力低谷现象,无法通过理论分析得出原因,也没有在之后的观测试验中再次出现,在科学试验的“可重复性原则”上没有有力支撑.客观性值得商榷.
通过本文的研究,可以确定,在2009年日全食期间,日全食带中既没有出现超过LCR重力仪观测精度(2μGal)的重力异常也没有超过超导重力仪SG-053观测精度(0.5μGal)的重力异常.与以往列次观测综合分析比较,基本可以确定:过去报道的例次“日全食期间的重力异常”都是环境噪声或激烈温度、气压变化造成的,日全食效应不致产生高达微伽级的重力扰动.是否存在低于目前所掌握仪器观测精度的引力异常现象,还需要通过改进仪器、观测方式和计算方法来进一步研究.
致谢感谢中国科学院滕吉文院士对观测工作的关心和现场指导;感谢上海市地震局及佘山地震台,浙江省地震局及杭州地震台、湖州地震台提供了理想的观测平台和技术支持;感谢上海金坤地震仪器有限责任公司提供了经费和技术支持;感谢中国科学院国家天文台的长期支持;感谢中国科学院地质与地球物理研究所刘洪臣课题组和地震台阵探测实验室,中国地震局地球物理研究所和应急搜救中心提供了观测仪器和技术支持,保证了观测的顺利进行;感谢中国地震局郗钦文研究员、池顺良研究员和陈石博士提供的悉心指导、宝贵意见和珍贵资料.最后对所有参与了观测、数据处理和提供了热情帮助的同志表示由衷的感谢.
| [1] | Caputo M. On new limits of the coefficient of gravitation shielding. J. Astrophys. Astr. , 2006, 27(4): 439-441. DOI:10.1007/BF02709369 |
| [2] | Majorana Q. On gravitation:theoretical and experimental researches. Philosophical Magazine , 1920, 39(233): 488-504. DOI:10.1080/14786440508636063 |
| [3] | 王谦身, 等. 重力学. 北京: 地震出版社, 2003 . Wang Q S, et al. Gravitology (in Chinese). Beijing: Seismological Press, 2003 . |
| [4] | Allais M. Should the laws of gravitation be reconsidered?. Aero/Space Engineering , 1959(S1): 46-55. |
| [5] | 王榴泉, 田景发, 刘煜奋, 等. 1976年4月29日日环食时引力效应观测--重力仪与倾斜仪的观测结果. 科学通报 , 1978, 23(8): 477–480. Wang L Q, Tian J F, Liu Y F, et al. The observation of the gravitational effects during the annular eclipse on 4, 29th 1976-the results of the gravimeter and the clinometer. Chinese Science Bulletin (in Chinese) (in Chinese) , 1978, 23(8): 477-480. |
| [6] | 王国宗, 田景发, 刘易成, 等. 1980年2月16日云南日全食引力效应观测. 自然杂志 , 1983, 6(4): 319–320. Wang Z G, Tian J F, Liu Y C, et al. The observation of the gravitational effects during the total solar eclipse on 2, 16th 1980. Chinese Journal of Nature (in Chinese) (in Chinese) , 1983, 6(4): 319-320. |
| [7] | 王谦身, 武传真, 姜开富等.云南日全食重力及固体潮观测.//1980年2月16日中国云南日全食观测文集.北京:科学出版社, 1983. Wang Q S, Wu C Z, Jiang K F, et al. Gravity and solid tide observation during the total eclipse of the sun in Yunnan.//Reports on Observations Made in Yunnan of China on the Total Solar Eclipse of February 16, 1980(in Chinese). Beijing:Science Press, 1983. |
| [8] | Mishra D C, Rao M B S. Temporal variations in gravity field during solar eclipse on 24 October 1995. Current Science , 1997, 72(11): 783. |
| [9] | 王谦身, 杨新社, 汤克云. 漠河日全食期间的重力异常. 科学通报 , 2001, 46(12): 1833–1836. Wang Q S, Yang X S, Tang K Y. Gravity anomaly during the Mohe total solar eclipse. Chinese Science Bulletin (in Chinese) , 2001, 46(12): 1833-1836. |
| [10] | Wang Q S, Yang X S, Wu C Z, et al. Precise measurement of gravity variations during a total solar eclipse. Phys. Rev. , 2000, D(62): 41101-43303. |
| [11] | Unnikrishnan C S, Mohapatra A K, Gillies G T. Anomalous gravity data during the 1997 total solar eclipse do not support the hypothesis of gravitational shielding. Physical Review , 2001, 63(6). DOI:10.1103/PhysRevD.63.062002 |
| [12] | Ducarme B, Sun H P, d'Oreye N, et al. Interpretation of the tidal residuals during the 11 July 1991 total solar eclipse. J. Geodesy , 1999, 73(2): 53-57. DOI:10.1007/s001900050218 |
| [13] | 刘少明, vanRuymbeke M. 1999年8月11日日全食期间的重力吸引效应研究. 大地测量与地球动力学 , 2004, 24(4): 13–18. Liu S M, van Ruymbeke M. Search for gravitational absorption effect during total solar eclipse of august 11, 1999. Journal of Geodesy and Geodynamics (in Chinese) (in Chinese) , 2004, 24(4): 13-18. |
| [14] | 雷湘鄂, 许厚泽, 孙和平. 由5个国际超导重力仪台站资料检测到的秘鲁8. 2级大地震所激发的球型自由振荡现象.中国科学(D辑:地球科学) , 2004, 34(5): 483–491. Lei X E, Xu H Z, Sun H P. Spherical free oscillation phenomena that aroused by the Peru' 8. 2-magnitude earthquake is detected by five international super-conducting gravimeters. Science in China Series D:Earth Sciences (in Chinese) (in Chinese) , 2004, 34(5): 483-491. |
| [15] | 张新林, 李辉, 王晓权, 等. 便携式潮汐观测仪(PET)数据处理研究. 大地测量与地球动力学 , 2007, 27(S1): 116–121. Zhang X L, Li H, Wang X Q, et al. On data processing of pet. Journal of Geodesy and Geodynamics (in Chinese) (in Chinese) , 2007, 27(S1): 116-121. |
| [16] | 孙和平, 许厚泽, 周江存, 等. 武汉超导重力仪观测最新结果和海潮模型研究. 地球物理学报 , 2005, 48(2): 299–307. Sun H P, Hsu H Z, Zhou J C, et al. Latest observation results from superconducting gravimeter at station Wuhan and investigation of the ocean tide models. Chinese J. Geophys. (in Chinese) , 2005, 48(2): 299-307. |
| [17] | 雷湘鄂, 许厚泽, 孙和平. 利用超导重力观测资料检测地球自由振荡. 科学通报 , 2002, 47(18): 1432–1436. Lei X E, Xu H Z, Sun H P. To detect the spherical free oscillation phenomena by super-conducting gravimeters. Chinese Science Bulletin (in Chinese) (in Chinese) , 2002, 47(18): 1432-1436. |
| [18] | 魏望生, 翦大西, 李辉, 等. 拉科斯特--隆贝克ET-22重力仪试验及观测结果. 地壳形变与地震 , 1988, 8(1): 34–39. Wei W S, Jian D X, Li H, et al. LCRET-22 performance test and the observation results. Crustal Deformation and Earthquake (in Chinese) (in Chinese) , 1988, 8(1): 34-39. |
| [19] | 刘绍府, 孙少安, 刘冬至. 沃尔登重力仪的气压试验. 地壳形变与地震 , 1986(2): 125–130. Liu S F, Sun S A, Liu D Z. A test of atmospheric pressure for the Worden gravimeter. Crustal Deformation and Earthquake (in Chinese) (in Chinese) , 1986(2): 125-130. |
| [20] | 赵炜, 孙大武, 杨勤, 等. 用褶积计算重力仪的温度影响. 地震 , 1982(5): 26–28. Zhao W, Sun D W, Yang Q, et al. Convolution calculation of the temperature impact of the gravimeter. Earthquake (in Chinese) (in Chinese) , 1982(5): 26-28. |
| [21] | 孙和平, 罗少聪. 大气重力信号的理论计算及其检测. 地球物理学报 , 1998, 41(5): 634–641. Sun H P, Luo S C. Theoretical computation and detection of the atmospheric gravity signals. Chinese J. Geophys. (in Chinese) , 1998, 41(5): 634-641. |
| [22] | 徐建桥, 郝兴华, 孙和平. 武汉基准台气压对重力潮汐观测的影响. 测绘学报 , 1999, 28(1): 21–27. Xu J Q, Hao X H, Sun H P. Influence of atmospheric pressure on tidal gravity at Wuhan station. Acta Geodaetica et Cartographica Sinica (in Chinese) (in Chinese) , 1999, 28(1): 21-27. |
| [23] | 陈晓东, 孙和平. 一种新的重力潮汐数据预处理和分析方法. 大地测量与地球动力学 , 2002, 22(3): 83–87. Chen X D, Sun H P. New method for pre-processing and analyzing tidal gravity observations. Journal of Geodesy and Geodynamics (in Chinese) (in Chinese) , 2002, 22(3): 83-87. |
| [24] | Van Camp M. Measuring Seismic normal modes with the GWR C021 Superconducting gravimeter. Physics of the Earth and Planetary Interiors , 1999, 116(1-4): 81-92. DOI:10.1016/S0031-9201(99)00120-X |
| [25] | Neumeyer J, Bathelmes F, Combrinck L, et al. Analysis results from the SG registration with the dual sphere superconducting gravimeter at SAGOS (South Africa). Building Information Modeling , 2002, 135: 10607-10616. |
| [26] | 孙和平, 许厚泽, 陈武, 等. 香港地区重力固体潮和海潮负荷特征研究. 地球物理学报 , 2006, 49(3): 724–734. Sun H P, Xu H Z, Chen W, et al. Study of Earth's gravity tide and oceanic loading characteristics in Hong Kong area. Chinese J. Geophys. (in Chinese) , 2006, 49(3): 724-734. DOI:10.1002/cjg2.v49.3 |
| [27] | 周江存, 徐建桥, 孙和平. 中国大陆精密重力潮汐改正模型. 地球物理学报 , 2009, 52(6): 1474–1482. Zhou J C, Xu J Q, Sun H P. Accurate correction models for tidal gravity in Chinese continent. Chinese J. Geophys. (in Chinese) , 2009, 52(6): 1474-1482. |
| [28] | 刘子维, 李辉, 郝洪涛, 等. SG-053超导重力仪的观测结果分析. 大地测量与地球动力学 , 2010, 30(6): 157–160. Liu Z W, Li H, Hao H T, et al. Analysis of observations of superconducting gravimeter sg-053. Journal of Geodesy and Geodynamics (in Chinese) (in Chinese) , 2010, 30(6): 157-160. |
| [29] | 郗钦文, 侯天航. 固体潮汐与引潮常数. 中国地震 , 1986, 2(2): 32–43. Xi Q W, Hou T H. Earth tides and generating tide constants. Earthquake Research in China (in Chinese) (in Chinese) , 1986, 2(2): 32-43. |
| [30] | 苏其辉, 段燕飞, 胡毅力, 等. 重力固体潮理论值导数的封闭公式. 地球物理学报 , 1994, 37(5): 647–652. Su Q H, Duan Y F, Hu Y L, et al. Accurate formula for calculating derivative of the theoretical value on gravity earth tide. Chinese J. Geophys. (Acta Geophysica Sinica) (in Chinese) (in Chinese) , 1994, 37(5): 647-652. |
| [31] | 崔荣花, 方剑, 王新胜. 2009-07-22湖北地区日全食期间的重力观测. 武汉大学学报(信息科学版) , 2011, 36(11): 1332–1335. Cui R H, Fang J, Wang X S. Gravity observations during 22 July 2009 total solar eclipse in Hubei Province. Geomatics and Information Science of Wuhan University (in Chinese) (in Chinese) , 2011, 36(11): 1332-1335. |
2013, Vol. 56

