2. 中国地质科学院, 北京 100037;
3. 中国科学院计算地球动力学重点实验室, 北京 100049
2. Chinese Academy of Geological Sciences, Beijing 100037, China;
3. Key Laboratory of Computational Geodynamics, Chinese Academy of Sciences, Beijing 100049, China
随着对大陆岩石圈的深入研究,人们发现板块构造理论并不能完全应用到大陆内部[1].大陆和大洋岩石圈的流变结构存在着重要差别,在大陆岩石圈中存在部分强度软弱层[1-2].20世纪70年代以来许多学者对岩石圈的流变结构特别是岩石圈的强度做了大量研究[2-7].基于这些流变结构的研究,分析了大陆岩石圈的力学行为,Chen and Molnar讨论了青藏高原地区的震源深度和岩石圈强度的关系,发现韧性变形占主导地位的下地壳地震相对较少[8].Royden等提出低黏滞性的下地壳在造山过程中产生了重要作用[9].Meissner and Mooney也提出弱强度的大陆下地壳为拆沉、抬升和挤出的发生提供了重要条件[10].因此,合理获取大陆岩石圈的流变结构对理解大陆岩石圈的变形特征及大陆动力学有重要参考意义.
中国大陆及邻区位于欧亚板块的东南部,北靠古老的西伯利亚块体,其他三面为太平洋板块、菲律宾海板块和印度洋板块,前寒武纪形成的地块主要有中朝、扬子和塔里木克拉通(图 1)[11].该地区具有全球最典型的大陆岩石圈特征,如青藏高原.关于中国大陆及部分稳定块体的流变结构前人已经做了不少研究[9, 12-15].但是,这些工作大部分都是小尺度范围内基于一维或者二维模型计算得到的,很难用来分析不同块体之间的相互作用.因此,要详细研究大陆岩石圈的三维变形特征需要合理估计大陆岩石圈的三维流变结构.
|
图 1 中国大陆及邻区构造背景图 黑色虚线内为模型计算的范围,蓝色实线为各剖面的位置(图 4和图 7),红色方块为选取不同分析地点的位置(图 2,图 5和图 8). Fig. 1 The tectonics features in Chinese continent and adjacent regions The black dashed line shows the research region in this paper.The profiles labeled as AA′, BB′, CC′, DD′, EE′ and FF′ are shown in Fig. 4 and Fig. 7. The red squares indicate the sites location for Fig. 2, Fig. 5 and Fig. 8. |
基于Crust2.0地壳结构模型,我们建立了中国大陆及邻区岩石圈三维有限元模型,以地震波波速得到的上地幔温度和气象台站记录的地表温度作为约束,利用目前可得到的岩石圈热参数计算了中国大陆及邻区岩石圈三维热结构[16].本文中,基于此三维岩石圈模型和温度结果,利用GPS观测数据得到的应变率,参考一定的岩石圈物性分层结构,我们计算了中国大陆及邻区岩石圈的三维流变结构,包括岩石圈强度和等效黏滞性系数.该结果可以为研究中国大陆及邻区岩石圈构造变形和解释部分地球动力学问题提供参考.
2 岩石圈强度岩石圈强度和等效黏滞性系数是岩石圈流变结构的两个基本参数.一般来说,岩石圈的强度可以用以下三种机制来进行约束:摩擦滑动、脆性破裂和蠕变[2].
2.1 摩擦滑动基于大量实验数据,拜尔利得出岩石在沿着破裂面滑动过程中,剪应力τ和正应力σn近似为线性关系,即拜尔利定律[17]:
|
(1) |
臧绍先等经过推导,采用主应力来表达拜尔利定律,并在Aderson断层系统下给出了正断层、逆断层和走滑断层三种断层的摩擦滑动强度公式[14, 18-19].本文中为表达一般性,我们采用走滑断层的强度表达式来计算岩石圈的摩擦滑动强度,假定2σ2=σ1 -σ3.孔隙压力的存在一般会降低岩石圈的强度[19],但目前还很难定量考虑其影响程度,为简单化,本文中暂未考虑孔隙压力的影响.根据剪应力、正应力与主应力的关系可以将拜尔利定律改写为[14, 19]:
|
(2) |
τf为摩擦滑动强度,z为深度,σ1,σ2和σ3分别为最大、中间和最小主应力.
2.2 脆性破裂如果所考虑的岩石预先并不存在破裂面或者在破裂面之间完整岩石的尺寸比较大,那么岩石的整体强度需要用脆性破裂来约束[2].这种强度机制与岩石样品的尺度,所处的温度、压力和应变率密切相关.在温度为800 ℃以下可以表示为如下形式[14, 19-21]:
|
(3) |
τb是脆性破裂强度.B0,K,m,α,β,γ分别是岩石样本在大尺度下(1 m尺度),温度T,静岩压力σc情况下的岩石样本参数,参考温度T0和参考应变率
|
|
表 1 岩石圈部分代表性岩石的脆性破裂强度参数[14, 19-20] Table 1 Brittle fracture parameters for some representative rocks (large sample) in the lithosphere[14, 19-20] |
当岩石圈温度和压力足够高时,蠕变往往占主导地位.蠕变强度与温度、应变率和岩石属性是密切相关的.蠕变强度可以采用下列表达式[4, 6, 22]:
|
(4) |

|
(5) |
τd是蠕变强度.
在一定温度和压力下,以上三种强度机制中的一种将会占到主导地位.在本文计算岩石圈的强度过程中,三种强度机制都进行了计算,在一定温度和压力条件下,选取其中最小的一个作为岩石圈的强度,即:
|
(6) |
在得到岩石圈的强度后,岩石圈的等效黏滞性系数可以表达为如下形式[5]:
|
(7) |
温度是影响岩石圈流变结构非常重要的参数.前人基于地表热流观测数据,通过一维或者二维热传导方程对中国大陆部分地区的热结构开展了很多研究[14, 23-27].然而,一维或者二维热模型忽略了温度的横向热传递,没有考虑岩石圈热参数的横向不均匀性.而且,根据地表热流观测数据向深部递推,随着深度的增加误差也在逐渐增大.
本研究根据Crust2.0模型和地表地形数据,在球坐标系下建立了中国大陆及邻区岩石圈三维有限元模型.通过地震波波速获取的岩石圈上地幔温度为计算岩石圈热结构提供了强有力的深部约束[28-29].采用此方法,An and Shi计算了中国大陆及邻区岩石圈上地幔温度[30-31].我们选取他们在100 km深度的温度结果作为计算岩石圈热结构的深部约束.同时将中国大陆地区195个地表气象台站提供的地表地温数据作为地表的温度约束.根据三维稳态热传导方程,考虑到热参数的各向不均匀性,计算了中国大陆及邻区岩石圈三维热结构.该计算结果与地表热流观测数据进行了对比,其中89%的数据误差控制在20%以内(热流实际观测的误差为20%[32]),本文中计算岩石圈蠕变强度中需要的温度即采用此结果,由于篇幅限制,这里不再赘述,详见文献[16].
3.2 应变率早期在计算蠕变强度时一般采用常应变率[2, 6, 33].随着大地测量技术的发展,中国大陆及邻区的GPS观测数据也越来越丰富[27, 34-35].GPS观测数据能更好地为蠕变强度计算过程中的应变率提供约束[36-37].由于缺乏深部应变率的约束,该模型计算中我们假定岩石圈深部与地表具有相同的应变率,在计算中统一采用由GPS观测得到的应变率.本文计算中我们采用Zhu and Shi根据GPS观测数据计算得到的中国大陆及邻区地表应变率结果[35].
3.3 蠕变参数流变分层是岩石圈流变结构计算中非常重要的观点,本文中,我们考虑了岩石圈物性材料的垂向分层[6].由于选取不同的岩性对计算出来的岩石圈流变结构有很大的影响,因此,在前人对各层的代表性岩石进行总结的基础上,本文中针对每层选取代表性的岩石流变参数进行计算,特别说明的是这里我们选取的岩石模型是其流变参数与各层代表性岩石接近,并不一定是各层的主要岩石成分.Rudnick和Fountain通过对全球大陆地壳研究的综合分析认为,中地壳由角闪岩相的偏中性物质混合构成,包含重要的K,Tu和U成分;下地壳以麻粒岩为主要组分,平均组分以基性的镁铁质麻粒岩为主,在全球的范围内也有少数地方存在以中性麻粒岩为主要组分的下地壳[38].Christensen和Mooney从全球地震波速度结构方面分析了大陆地壳的成分,认为上地壳主要由变质岩和硅质片麻岩为主;中地壳以英云片麻岩和花岗片麻岩为主;下地壳在化学成分上与辉长岩比较一致,而在波速方面与镁铁质麻粒岩一致[39].通过12条地学大断面和6条折射地震剖面资料,Gao等获得了中国除塔里木以外的9个大的构造单元的地壳结构,其结果表明除塔里木和秦岭造山带外,中国各构造单元地壳结构可以分为上地壳、中地壳、下地壳上部和下地壳下部4层,并给出了地壳结构组成模型[40].上地壳主要为花岗岩和低级变质岩;中地壳主要为TTG和花岗片麻岩;下地壳大致分为两层,以长英质麻粒岩为代表的下地壳上部和以镁铁质麻粒岩为代表的下地壳下部,但中国东部下地壳整体组成是偏中性的(长英质成分为主).这样的地壳结构成分也与全球的下地壳成分有差别,因为从全球的下地壳成分来看是以镁铁质麻粒岩为主的[38-39].本文中,根据每一层的物质组分选择合适的能代表各层流变性质的岩石,高温高压物理实验得到的各层岩石的流变参数如表 2所示,对于地壳各层分别选取两种代表性岩石来看流变参数对岩石圈强度的影响(图 2).从中国大陆不同地区选取的6个地点来看,对于上地壳,选取花岗岩的流变参数比选取花岗岩(湿)计算得到的岩石圈强度稍高;对于中地壳,选取斜长岩的流变参数比选取石英闪长岩计算得到的岩石圈强度偏高;对于下地壳,选取镁铁质麻粒岩的流变参数比选取长英质麻粒岩计算得到的岩石圈强度明显偏高.因此,上地壳和中地壳岩石流变参数的选取对结果影响不太大,而下地壳流变参数的选取对岩石圈强度的计算影响比较大.在本文的计算结果中,为了显示各个地区的流变特征,我们采用Gao等人的地壳结构组成模型[40],岩石圈物性结构分为上地壳、中地壳、下地壳上部、下地壳下部和岩石圈地幔5层,其中下地壳上部和下部的厚度比例为2:1,各层的流变参数分别选取花岗岩、斜长岩、长英质麻粒岩、镁铁质麻粒岩和橄榄岩(湿)的岩石流变参数(表 2).
|
|
表 2 模型计算中采用的岩石圈各层流变参数 Table 2 Rheological parameters used in the model for each layer in the lithosphere |
|
图 2 不同流变参数对岩石圈强度的影响 蓝色实线为上、中、下地壳分别采用花岗岩、斜长岩和长英质麻粒岩计算得到的岩石圈强度;黑色虚线为上、中、下地壳分布采用花岗岩(湿)、石英闪长岩和镁铁质麻粒岩计算得到的岩石圈强度;红色虚线为温度;紫色虚线为上地壳、中地壳和下地壳底边界(数据来自Crust2.0模型). Fig. 2 The effect of creep parameters on the strength of lithosphere The blue lines show the lithospheric strength adopting granite, anorthosite, felsic granulite and peridotite in the upper crust, middle crust, lower crust and lithospheric mantle, respectively.The black dashed lines show the lithospheric strength adopting wet granite, quartz diorite, mafic granulites and peridotite in the upper crust, middle crust, lower crust and lithospheric mantle, respectively.The red dashed line represents temperature.Three purple dot lines in each figure show the bottom of upper crust, middle crust and lower crust, respectively (from Crust2.0). |
基于三维有限元模型计算得到的热结构、GPS观测数据得到的应变率和岩石圈结构及组分,通过式(6)可以计算得到岩石圈的流变结构.岩石圈的强度显示出明显的横向不均匀性(图 3).在浅部(小于60 km),中国大陆西部除塔里木外,特别是青藏高原,比中朝地块、扬子地块和印度板块的岩石圈强度要低,中国大陆西部(除塔里木外)岩石圈的强度一般小于10 MPa,而中朝地块、扬子地块和印度板块一般都要高于该值.这个强度过渡带在40 km深度处比较明显(图 3b),并且与重力梯度带、地形阶梯和地震波速的过渡带都比较一致.值得注意的是,中国大陆东西部的强度过渡带与我们南北地震带也比较一致(图 3b),这可能因为强度的不均匀性更容易造成应力集中.在深部(60 km以上),只有四川盆地、塔里木盆地、鄂尔多斯和印度板块强度约高于1 MPa,其他地区均低于该值;而在青藏高原,贝加尔湖地区,中国东北东部,华北东部和云南地区存在明显的弱强度层(低于0.1 MPa),贝加尔湖地区的拉张环境会使得地幔物质上涌,而青藏高原、中国东北东部、华北东部和云南地区的俯冲带脱水熔融,都会使得温度升高而强度降低[44-45].
|
图 3 不同深度的岩石圈强度分布 Fig. 3 The lithospheric strength obtained in this study at different depths |
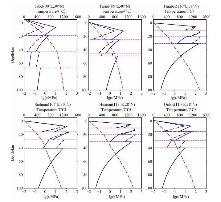
垂向上整体看(图 4-5),青藏高原的岩石圈强度低而厚,即在80 km以下强度没有明显的降低,而在华北、华南、四川盆地和鄂尔多斯等地80 km以下,岩石圈强度明显降低.这与这些地区的温度分布特征比较相似.计算得到的强度剖面也显示了明显的分层性(图 4).从每一点的岩石圈强度包络线来看,岩石圈强度呈现出脆-韧性相间分布的特征.从所选择的几个强度包络线来看,下地壳均呈现出韧性特征,而且弱强度的下地壳广泛存在于中国大陆及邻区,下地壳的流变强度一般比上地壳和岩石圈地幔上部低1~2个数量级,厚度最厚、强度最弱的下地壳存在于青藏高原,强度约为0.1 MPa,厚度为20~30 km.这与青藏高原地震波低速带的分布和震源深度显示的韧性变形下地壳特征基本一致[8, 46].
|
图 4 沿着不同剖面的岩石圈强度分布 三条实线分别代表上地壳、中地壳和下地壳的底边界(数据来自Crust2.0模型). Fig. 4 The lithospheric strength along different profiles Three black lines show the bottom of upper crust, middle crust and lower crust, respectively (from Crust2.0). |
|
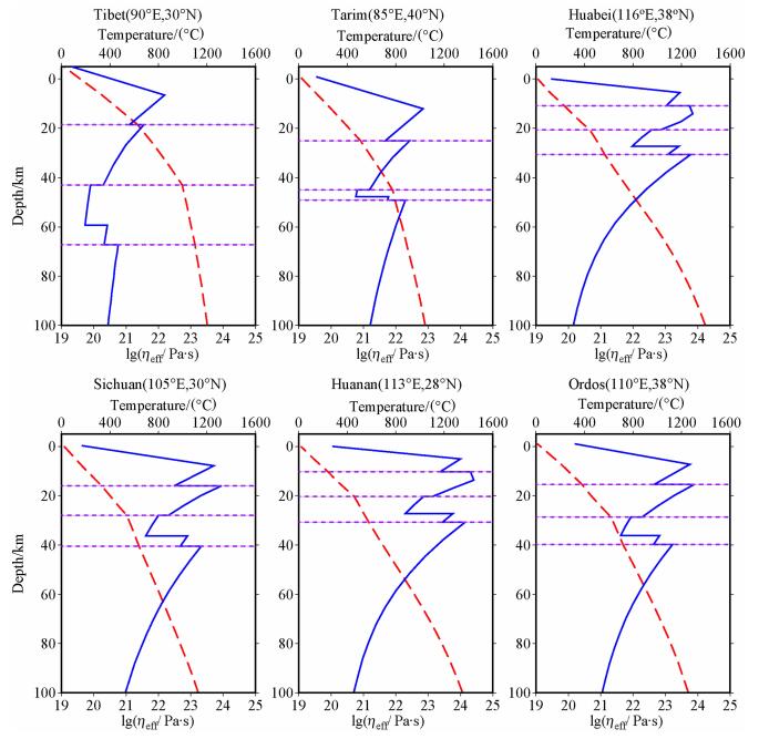
图 5 不同地点的岩石圈强度和温度随深度变化曲线 红色虚线为温度;蓝色实线为岩石圈强度;紫色虚线为上地壳、中地壳和下地壳底边界(数据来自Crust2.0模型). Fig. 5 The lithospheric strength and temperature vary with depth at different sites The red dashed lines indicate the temperature.The blue lines show the lithospheric strength.Three purple dot lines in each figure show the bottom of upper crust, middle crust and lower crust, respectively (from Crust2.0). |
岩石圈等效黏滞性分布特征与岩石圈强度的分布特征比较一致.横向上看(图 6),在同一深度(深度小于40 km),中国大陆西部(除塔里木外)的等效黏滞性系数比中朝地块、扬子地块、中国东北和印度板块的要低,对于中朝地块、扬子地块、中国东北和印度板块,岩石圈等效黏滞性系数一般大于1022 Pa·s,而同一深度中国大陆西部(除塔里木外)一般低于该值.对于四川盆地、塔里木盆地、鄂尔多斯和印度板块这些稳定地块,其等效黏滞性系数要高于周边地区,特别是在深度大于60 km处.垂向上(图 7),上地壳、中地壳和岩石圈地幔上部的等效黏滞性系数较高,下地壳的等效黏滞性系数较低,厚而“弱”的下地壳在青藏高原的特征最为明显.从量级上来看(图 8),下地壳的等效黏滞性系数一般比上地壳和岩石圈地幔的要低1~2个数量级.塔里木盆地和青藏高原的上地壳和中地壳等效黏滞性系数在1021~1022 Pa·s量级,而华北、华南、四川盆地和鄂尔多斯的上地壳和中地壳的等效黏滞性系数在1023~1024 Pa·s量级,青藏高原的下地壳等效黏滞性系数只有1019~1021 Pa·s,该结果支持青藏高原存在弱的下地壳模型[47-48].
|
图 6 不同深度的等效黏滞性系数分布图 Fig. 6 The effective viscosity obtained in this study at different depths |
|
图 7 沿着不同剖面的等效黏滞性系数分布图 三条实线分别代表上地壳、中地壳和下地壳的底边界. Fig. 7 The effective viscosity along different profiles Three black lines show the bottom of upper crust, middle crust and lower crust, respectively (from Crust2.0). |
|
图 8 不同点的等效黏滞性系数和温度随深度变化曲线 红色虚线为温度;蓝色实线为岩石圈等效黏滞性系数;紫色虚线为上地壳、中地壳和下地壳底边界. The effective viscosity and temperature vary with depth at different sites The red dashed lines in dicate the temperature.The blue lines show the effective viscosity.Three purple dot lines in each figure show the bottom of upper crust, middle crust and lower crust, respectively (from Crust2.0). |
需要指出的是影响岩石圈流变结构的因素有很多,包括温度、应变率、物性参数和地壳结构等.石耀霖和曹建玲详细分析了温度和应变率对计算流变结构带来的影响,指出当由地震波计算得到的温度在1000 ℃时,减小或者增加150 ℃,计算得到的等效黏滞性系数会为原来的4倍或者0.25倍的误差;如果给定的GPS速率误差增加1个数量级,等效黏滞性系数会减小为原来的0.2倍[15].本文所获取的岩石圈地幔上部100 km深度处的温度误差约为150 ℃,该深度的温度基本在1000 ℃以上;而由GPS观测得到的应变率,其相对误差最大地区也可以达到1个数量级左右[30, 35].因此,通过本文的计算所获取的岩石圈等效黏滞性系数,由于温度和应变率带来的误差分别可能会达到1个数量级左右.由于深部温度和应变率本身估计较为困难,会包含许多不确定性,所以在研究岩石圈流变结构时需要多种方法的结合,如通过震后形变反演的方法等.另外,本文通过分析中国大陆及邻区岩石圈分层结构和物性,选取了几种代表性的岩石来计算岩石圈的流变结构,虽然这样会存在一定的误差,但是目前在分析岩石圈整体流变结构特征和地震活动性时有一定的指导作用.同时我们只考虑了垂向上的分层,横向上不同块体的岩性划分需要在今后的工作中详细考虑.地壳结构在计算岩石圈流变结构中也非常重要,但是目前关于中国大陆及邻区详细的地壳结构数据还非常有限.本文中选取的Crust2.0数据虽然较为粗糙,但整体上代表了整个岩石圈的地壳结构特征.同时,本研究中建立的有限元模型有很好的扩展性,如果部分地区有较高精度的岩石圈结构可以很方便地加入模型中进行约束,使之不断完善和提高.
通过计算我们主要得到以下结论:
“弱”强度和低黏滞性的下地壳在中国大陆及邻区普遍存在,并且下地壳的流变强度和等效黏滞性系数一般比上地壳、中地壳和岩石圈地幔上部低1~2个数量级;青藏高原存在着厚度最大、强度和等效黏滞性系数最低的下地壳,厚度为20~30 km,强度约为0.1 MPa,等效黏滞性系数只有1019~1021 Pa·s;从岩石圈强度和等效黏滞性系数来看,中国大陆西部(除塔里木)特别是青藏高原比中朝地块、扬子地块和印度板块要低,在浅部它们之间的分界线比较明显,大致与板块边界、地形阶梯一致,同时也与重力梯度带和地震波速过渡带比较一致.
致谢安美建研究员提供了根据地震波速计算得到的上地幔温度计算结果,朱守彪研究员提供了中国大陆GPS计算得到的应变率结果,在此表示感谢.感谢两位匿名审稿人提出的建设性意见.
| [1] | Molnar P. Continental tectonics in the aftermath of plate tectonics. Nature , 1988, 335(6186): 131-137. DOI:10.1038/335131a0 |
| [2] | Kohlstedt D L, Evans B, Mackwell S J. Strength of the lithosphere: Constraints imposed by laboratory experiments. J. Geophys. Res. , 1995, 100(B9): 17587-17602. DOI:10.1029/95JB01460 |
| [3] | Goetze C, Evans B. Stress and temperature in the bending lithosphere as constrained by experimental rock mechanics. Geophysical Journal of the Royal Astronomical Society , 1979, 59(3): 463-478. DOI:10.1111/gji.1979.59.issue-3 |
| [4] | Kirby S H. Rheology of the lithosphere. Reviews of Geophysics , 1983, 21(6): 1458-1487. DOI:10.1029/RG021i006p01458 |
| [5] | Kirby S H, Kronenberg A K. Rheology of the lithosphere: selected topics. Rev. Geophys. , 1987, 25(6): 1219-1244. DOI:10.1029/RG025i006p01219 |
| [6] | Ranalli G, Murphy D C. Rheological stratification of the lithosphere. Tectonophysics , 1987, 132(4): 281-295. DOI:10.1016/0040-1951(87)90348-9 |
| [7] | Sibson R H. Frictional constraints on thrust, wrench and normal faults. Nature , 1974, 249(5457): 542-544. DOI:10.1038/249542a0 |
| [8] | Chen W P, Molnar P. Focal depths of intracontinental and intraplate earthquakes and their implications for the thermal and mechanical properties of the lithosphere. J. Geophys. Res. , 1983, 88(B5): 4183-4214. DOI:10.1029/JB088iB05p04183 |
| [9] | Royden L. Coupling and decoupling of crust and mantle in convergent orogens: Implications for strain partitioning in the crust. J. Geophys. Res. , 1996, 101(B8): 17679-17705. DOI:10.1029/96JB00951 |
| [10] | Meissner R, Mooney W. Weakness of the lower continental crust: a condition for delamination, uplift, and escape. Tectonophysics , 1998, 296: 47-60. DOI:10.1016/S0040-1951(98)00136-X |
| [11] | Ren J S, Wang Z X, Chen B W, et al. The Tectonics of China from a Global View. Beijing: Geological Publishing House, 1999 : 32 . |
| [12] | Unsworth M J, Jones A G, Wei W, et al. Crustal rheology of the Himalaya and Southern Tibet inferred from magnetotelluric data. Nature , 2005, 483(7064): 78-81. |
| [13] | Wang Y. Heat flow pattern and lateral variations of lithosphere strength in China mainland: constraints on active deformation. Physics of the Earth and Planetary Interiors , 2001, 126(3-4): 121-146. DOI:10.1016/S0031-9201(01)00251-5 |
| [14] | Zang S X, Wei R Q, Liu Y G. Three-dimensional rheological structure of the lithosphere in the Ordos block and its adjacent area. Geophys. J. Int. , 2005, 163(1): 339-356. DOI:10.1111/gji.2005.163.issue-1 |
| [15] | 石耀霖, 曹建玲. 中国大陆岩石圈等效粘滞系数的计算和讨论. 地学前缘 , 2008, 15(3): 82–95. Shi Y L, Cao J L. Effective viscosity of China continental lithosphere. Earth Science Frontiers (in Chinese) , 2008, 15(3): 82-95. DOI:10.1016/S1872-5791(08)60064-0 |
| [16] | Sun Y J, Dong S W, Zhang H, et al. 3D thermal structure of the continental lithosphere beneath China and adjacent regions. Journal of Asian Earth Sciences , 2013, 62: 697-704. DOI:10.1016/j.jseaes.2012.11.020 |
| [17] | Byerlee J. Friction of rocks. Pure and Applied Geophysics , 1978, 116(4-5): 615-626. DOI:10.1007/BF00876528 |
| [18] | 臧绍先, 李昶, 魏荣强. 岩石圈流变机制的确定及影响岩石圈流变强度的因素. 地球物理学进展 , 2002, 17(1): 50–60. Zang S X, Li C, Wei R Q. The determination of rheological mechanics of lithosphere and the influencing factors on the rheological strength of lithosphere. Progress in Geophysics (in Chinese) , 2002, 17(1): 50-60. |
| [19] | Zang S X, Wei R Q, Ning J Y. Effect of brittle fracture on the rheological structure of the lithosphere and its application in the Ordos. Tectonophysics , 2007, 429(3-4): 267-285. DOI:10.1016/j.tecto.2006.10.006 |
| [20] | 魏荣强, 臧绍先. 岩石破裂强度的温度和应变率效应及其对岩石圈流变结构的影响. 地球物理学报 , 2006, 49(6): 1730–1737. Wei R Q, Zang S X. Effects of temperature and strain rate on the fracture strength of rock and their influences on the rheological structure of the lithosphere. Chinese J. Geophys. (in Chinese) , 2006, 49(6): 1730-1737. |
| [21] | Shimada M. Lithosphere strength inferred from fracture strength of rocks at high confining pressures and temperatures. Tectonophysics , 1993, 217(1-2): 55-64. DOI:10.1016/0040-1951(93)90202-U |
| [22] | Weertman J. The creep strength of the Earth's mantle. Reviews of Geophysics , 1970, 8(1): 145-168. DOI:10.1029/RG008i001p00145 |
| [23] | 王良书, 李成, 杨春. 塔里木盆地岩石层热结构特征. 地球物理学报 , 1996, 39(6): 794–803. Wang L S, Li C, Yang C. The lithospheric thermal structure beneath Tarim basin, Western China. Chinese J. Geophys. (in Chinese) , 1996, 39(6): 794-803. |
| [24] | 刘绍文, 王良书, 龚育龄, 等. 济阳坳陷岩石圈热-流变学结构及其地球动力学意义. 中国科学D辑:地球科学 , 2005, 48(10): 1569–1584. Liu S W, Wang L S, Gong Y L, et al. Thermal-rheological structure of the lithosphere beneath Jiyang depression: Its implications for geodynamics. Science in China (Series D) (in Chinese) , 2005, 48(10): 1569-1584. DOI:10.1360/02YD0286 |
| [25] | 何丽娟, 胡圣标, 汪集旸. 中国东部大陆地区岩石圈热结构特征. 自然科学进展 , 2001, 11(9): 966–969. He L J, Hu S B, Wang J S. Thermal structure of lithosphere in the Eastern continental area of China. Progress in Natural Science (in Chinese) , 2001, 11(9): 966-969. |
| [26] | Liu S W, Wang L S, Li C, et al. Thermal-rheological structure of lithosphere beneath the northern flank of Tarim Basin, western China: Implications for geodynamics. Science in China (Series D) , 2004, 47(7): 659-672. DOI:10.1360/03yd0471 |
| [27] | Wang Q, Zhang P Z, Freymueller J T, et al. Present-day crustal deformation in China constrained by global positioning system measurements. Science , 2001, 294(5542): 574-577. DOI:10.1126/science.1063647 |
| [28] | Goes S, Govers R, Vacher P. Shallow mantle temperatures under Europe from P and S wave tomography. J. Geophys. Res. , 2000, 105(B5): 11153-11169. DOI:10.1029/1999JB900300 |
| [29] | Goes S, van der Lee S. Thermal structure of the North American uppermost mantle inferred from seismic tomography. J. Geophys. Res. , 2002, 107(B3): ETG 2-1-ETG 2-13. |
| [30] | An M J, Shi Y L. Lithospheric thickness of the Chinese continent. Physics of the Earth and Planetary Interiors , 2006, 159(3-4): 257-266. DOI:10.1016/j.pepi.2006.08.002 |
| [31] | An M J, Shi Y L. Three-dimensional thermal structure of the Chinese continental crust and upper mantle. Science in China (Series D) , 2007, 50(10): 1441-1451. DOI:10.1007/s11430-007-0071-3 |
| [32] | Hu S B, He L J, Wang J Y. Heat flow in the continental area of China: a new data set. Earth and Planetary Science Letters , 2000, 179(2): 407-419. DOI:10.1016/S0012-821X(00)00126-6 |
| [33] | Wilks K R, Carter N L. Rheology of some continental lower crustal rocks. Tectonophysics , 1990, 182(1-2): 57-77. DOI:10.1016/0040-1951(90)90342-6 |
| [34] | Zhu S B, Cai Y G, Shi Y L. The contemporary tectonic strain rate field of continental China predicted from GPS measurements and its geodynamic implications. Pure and Applied Geophysics , 2006, 163(8): 1477-1493. DOI:10.1007/s00024-006-0087-1 |
| [35] | Zhu S B, Shi Y L. Estimation of GPS strain rate and its error analysis in the Chinese continent. Journal of Asian Earth Sciences , 2010, 40(1): 351-362. |
| [36] | 魏荣强, 臧绍先. 岩石圈流变结构的一种新的应变率约束. 地球物理学报 , 2004, 47(6): 1029–1034. Wei R Q, Zang S X. A new constraint on strain rate of the rheological structure of the lithsophere. Chinese J. Geophys. (in Chinese) , 2004, 47(6): 1029-1034. |
| [37] | 魏荣强, 臧绍先. 大陆岩石圈流变结构研究进展及存在问题. 地球物理学进展 , 2007, 22(2): 359–364. Wei R Q, Zang S X. Progresses and problems in the study of the rheological structure of the continental lithosphere. Progress in Geophysics (in Chinese) , 2007, 22(2): 359-364. |
| [38] | Rudnick R L, Fountain D M. Nature and composition of the continental crust: A lower crustal perspective. Rev. Geophys. , 1995, 33(3): 267-309. DOI:10.1029/95RG01302 |
| [39] | Christensen N I, Mooney W D. Seismic velocity structure and composition of the continental crust: A global view. J. Geophys. Res. , 1995, 100(B6): 9761-9788. DOI:10.1029/95JB00259 |
| [40] | Gao S, Luo T C, Zhang B R, et al. Structure and composition of the continental crust in East China. Science in China (Series D) , 1999, 42(2): 129-140. DOI:10.1007/BF02878511 |
| [41] | Ranalli G. Rheology of the Lithosphere in Space and Time. London: The Geological Society, 1997 . |
| [42] | Carter N L, Tsenn M C. Flow properties of continental lithosphere. Tectonophysics , 1987, 136(1-2): 27-63. DOI:10.1016/0040-1951(87)90333-7 |
| [43] | Hansen F D, Carter N L. Creep of selected crustal rocks at 1000 MP. EOS, Transactions, American Geophysical Union , 1982, 63(18): 437. |
| [44] | Zhao D P, Liu L. Deep structure and origin of active volcanoes in China. Geoscience Frontiers , 2010, 1(1): 31-44. DOI:10.1016/j.gsf.2010.08.002 |
| [45] | Johnson J S, Gibson S A, Thompson R N, et al. Volcanism in the vitim volcanic field, Siberia: Geochemical evidence for a mantle plume beneath the baikal rift zone. Journal of Petrology , 2005, 46(7): 1309-1344. DOI:10.1093/petrology/egi016 |
| [46] | Zhao W J, Nelson K D, Che J, et al. Deep seismic reflection evidence for continental underthrusting beneath southern Tibet. Nature , 1993, 366(6455): 557-559. DOI:10.1038/366557a0 |
| [47] | Royden L H, Burchfie B C, King R W, et al. Surface deformation and lower crustal flow in eastern Tibet. Science , 1997, 276(5313): 788-790. DOI:10.1126/science.276.5313.788 |
| [48] | Royden L H, Burchfiel B C, van der Hilst R D. The geological evolution of the Tibetan Plateau. Science , 2008, 321(5892): 1054-1058. DOI:10.1126/science.1155371 |
2013, Vol. 56

