2. 同济大学空间信息科学及可持续发展应用中心, 上海 200092;
3. 中国科学院测量与地球物理研究所大地测量与地球动力学国家重点实验室, 武汉 430077
2. Center for Spatial Information Science and Sustainable Development, Tongji University, Shanghai 200092, China;
3. State Key Laboratory of Geodesy and Earth's Dynamics, Institute of Geodesy and Geophysics, Chinese Academy of Sciences, Wuhan 430077, China
全球最大的南极冰盖(AIS)面积达到1400万平方公里,其质量变化直接影响全球海平面变化. GRACE(Gravity Recovery and Climate Experiment)卫星于2002年3月升空,其观测数据能够每月解算一个空间分辨率达到400 km[1],精度达到1 cm等效水柱高的时变重力场模型[2].Wahr等提出了利用GRACE的时变重力场模型估计地球表面质量变化的算法[3],许多研究者利用该算法分析了南极冰盖的质量变化,其范围从-80 Gt/a到-152 Gt/a[4-6],存在比较大的不确定性,主要原因在于所分析的时间区间不同和所用的GIA(Glacial Isostatic Adjustment)模型不同[7].Chen等分析了2002年4月至2005年8月西南极和整个南极的质量变化为-148±21 Gt/a和-152±80 Gt/a[8],Velicogna等利用CSR_RL01数据分析得到2002年4月到2005年11月的西南极质量变化为-77±14 Gt/a[4],而Zwally等给出的2002年4月到2008年12月西南极的质量变化约为-87 Gt/a,并认为东南极的质量变化的不确定性非常大[9].Luo等利用CSR_RL042002年8月至2010年6月的数据分析整个南极的质量变化为-80 Gt/a(西南极为-78.3 Gt/a,东南极为-1.6 Gt/a),对全球海平面上升的贡献为0.22 mm/a[10],这与通过ICESat块域分析法求得到的南极冰盖质量变化非常相符[11].根据Chen等的结果整个南极的质量变化在2006-2009年期间比2002-2006年增长约137%,南极冰盖自2006年后呈现出加速融化趋势[7].
CSR、JPL和GFZ三个GRACE产品发布机构公布了RL05数据,该数据采用了新的地球物理背景模型(海洋、大气、潮汐等),其空间分辨率、精度和周期性变化特性等都优于先前公布的RL04数据[12],利用该数据能够求得可靠性更高的南极质量变化.因此,本文利用这三个机构的RL05数据计算分析了南极1°×1°格网点的质量变化及其对全球海平面变化的影响,并与RL04数据的结果进行了对比.
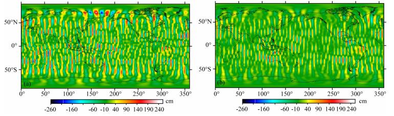
2 数据处理过程及方法 2.1 数据来源2012年4月,CSR、JPL和GFZ都发布了新的RL05数据,其空间分辨率和精度比RL04数据更高,C20系数更为可信,不需要用人卫激光的C20系数进行替换.图 1给出了2004年2月相对于2004年1月未经过任何滤波处理的全球质量变化的等效水柱高,可以看出RL05数据比RL04的条带误差要明显少,表明RL05数据能反演出更高精度的质量变化信号.
|
图 1 CSR RL04数据(a)与CSR RL05数据(b)的精度比较 Fig. 1 Accuracy comparison of (a) CSR RL04 data and (b) CSR RL05 data |
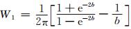
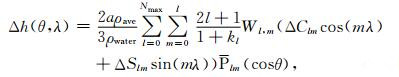
Wahr提出了时变重力场模型与地球表面密度之间的关系式[13],进行扇形滤波后,以等效水柱高(EWH)表示质量变化的公式为:
|
(1) |
式中,θ,λ分别为余纬和经度,α为地球平均半径(6378.136 km),ρave为地球平均密度(5517 kg/m3),l、m分别为重力场模型的阶和次,Plm为完全规格化的勒让德函数,kl为l阶负荷勒夫数,Nmax为模型的最大阶数,ΔClm、ΔSlm为l阶m次的完全规格化位系数变化值,通常为月位系数与其平均值之差,ρwater为水的密度(1000 kg/m3),Wl,m=WlWm,Wl,Wm为扇形滤波函数,




由于GRACE卫星数据反演重力场模型的误差随频率变大而增大,且存在明显的南北条带误差(图 1),因此需要进行空间滤波,来削弱这些误差的影响.目前常用的滤波方法有高斯滤波、维纳滤波、扇形滤波等[2, 14].扇形滤波对时变重力场模型的阶系数与次系数都要进行平滑,在与高斯滤波取相同半径的情况下,能有效削弱误差的影响[10, 14].GRACE时变重力场模型的空间分辨率是400 km,滤波半径要取到400 km以上才能有效地控制噪声,但由于GRACE卫星在极地观测数据密度大,且时变重力场模型在极地的空间分辨率也要高于其它地区,因此滤波半径取到300 km已经可以很好地达到削弱误差及保持信号的目的,是普遍应用的滤波半径[15].
2.3.2 去相关误差滤波Swenson和Wahr提出了能够有效滤掉南北条带误差的去相关误差滤波算法,称为PnMm方法[16],其含义是:前m×m阶的位系数保持不变,用n阶多项式拟合大于等于m阶次的位系数,奇数阶与偶数阶分开拟合.多项式的拟合值刻画了南北条带误差项,从原时变重力场位系数中扣除拟合值,可滤除南北条带误差.经验证P5M11去条带误差的效果比较好,因此本文采用P5M11方法进行去相关误差滤波.
2.3.3 滤波分析依然选用2004年2月相对于2004年1月的CSR RL05数据进行分析.从图 1b可以看出,未滤波时存在明显的条带误差和其它噪声,几乎看不出质量变化的信号.通过滤波处理后,全球质量变化的等效水柱高分布如图 2所示,其中图 2a为去相关误差滤波结果,图 2b为扇形滤波结果,图 2c为去相关误差滤波加上扇形滤波结果.可以看出只采用去相关滤波,尽管南北条带误差被滤除,但高频误差依然显著;只采用扇形滤波可有效滤掉高频误差,但南北条带误差依然存在.只有通过去相关误差滤波加上扇形滤波两步滤波处理后,才能有效地降低各类噪声的影响,很好地反映出全球质量变化的信号.如果从数值上分析,只进行去相关滤波后全球质量变化区间为-32~59 cm(EWH,图 2a),而经过扇形滤波(图 2b)或两步滤波(图 2c)后的全球质量变化区间为-14~35 cm(EWH),两者的差别主要在低纬度区域(小于北纬83°及南纬83°),在高纬度的极地两者基本相符,信号并不减弱.但两步滤波后条带误差明显减少,因此,本文在分析南极冰盖质量变化时,采用两步滤波处理.
|
图 2 不同滤波处理后的全球质量变化 (a)去相关滤波(P5M11);(b)扇形滤波(半径300 km);(c)去相关滤波+扇形滤波(P5M11+300 km). Fig. 2 Global mass changes after different filtering methods (a) Decorrelated filtering (P5M11);(b) Fan filtering (300 km); (c) Decorrelated filtering and Fanfiltering (P5M11+300 km). |
GIA是影响GRACE时变重力场模型反演质量变化的一个重要的因素[17],目前有多种GIA模型,如Ice5G,Paulson2007[18]等.本文采用比较新的Paulson2007模型,该模型可从grace.jpl.nasa.gov/data/pgr/下载,Bur认为是比较好的GIA模型[19].Paulson2007模型在南极地区的年改正值如图 3所示,可以看出南极的大部分区域GIA年改正是负值,变化呈上升趋势,只有在东南极的毛德皇后地Dronning Maud Land(DML)的沿海区域有小幅度的下降,西南极的变化最为明显,尤其是玛丽·伯德地Marie Byrd Land(MBL)区域.
|
图 3 南极GIA模型改正(Paulson2007) Fig. 3 Antarctic GIA model correction (Paulson2007) |
CSR RL04数据公布的时间段为2002年4月到2012年1月,共有113个月的数据;CSR RL05数据公布的时间段为2004年1月到2012年6月,共有99个月的数据.图 4和表 1给出了由这两个版本数据反演的南极地区质量变化.由图 4可见,两个版本的数据所得到的南极质量变化序列(以等效水柱高表示)在2006年后呈现出明显的下降趋势,与Chen等(2009)[7]的结果一致.表 1给出了整个南极以及西南极和东南极扣除GIA影响后的质量变化,由CSR RL04数据和CSR RL05数据求得的整个南极质量变化分别为-212.4±30.9 Gt/a和-195.7±23.1 Gt/a,对应的等效水柱高变化分别为-1.58±0.23 cm/a和-1.44±0.17 cm/a,对全球平均海平面变化的贡献分别为0.59±0.09 mm/a和0.54±0.06 mm/a;西南极的质量下降速度要明显快于东南极.两版本数据变化趋势是相符合,但RL05数据求得的质量变化误差明显要比RL04数据小,而且RL04数据在2010年之后出现较大的上下波动,其数据质量明显不如RL05数据.图 4表明西南极质量变化速度明显大于东南极,表 1数据表明西南极质量变化对海平面的影响不仅数值比东南极大,而且其不确定性也明显要小.
|
图 4 扣除GIA(Paulson2007)影响后南极质量变化序列 (a)整个南极质量变化序列;(b)东南极质量变化序列;(c)西南极质量变化序列. Fig. 4 Antarcti cmass change series after GIA correction (Paulson2007) (a) Entire Antarcti cmass change series; (b) East Antarcti cmass change series; (c) West Antarcti cmass change series. |
|
|
表 1 CSR RL05与CSR RL04的南极质量变化比较 Table 1 Antarctic mass change comparison of CSR RL05 and CSR RL04 |
将南极地区划分成1°×1°的格网,计算每个格网质量变化的时间序列,扣除年变化、半年变化以及161天变化等周期项的影响后[20],其变化趋势的分布如图 5所示.其中,图 5a与图 5c分别是RL04数据与RL05数据未经GIA改正的质量变化趋势分布,图 5b与图 5d分别是经过GIA改正后的质量变化趋势分布.显然,扣除GIA影响前,东南极的大部分区域和西南极的部分区域质量呈现增长的趋势;扣除GIA影响后,整个南极绝大部分地区的质量呈现减小的趋势,特别在Amundsen Sea Embayment(ASE)区域的质量减少速度非常快,Antarctic Peninsula(AP)同样呈现出明显的质量减少;然而在南极北部的部分区域,主要是东南极北部如Donning Maud Land(DML),其质量仍然呈现增长趋势.
|
图 5 CSR RL04与CSR RL05数据南极质量变化趋势分布 (a)RL04未经GIA改正;(b)RL04经过GIA改正;(c)RL05未经GIA改正;(d)RL05经过GIA改正. Fig. 5 Distribution of Antarcti cmass change trend from CSR RL04 and CSR RL05 data (a) RL04 data before removing GIA; (b) RL04 data after removing GIA; (c) RL05 data before removing GIA; (d) RL05 data after removing GIA. |
选取质量变化比较明显的8个特征点,其分布如图 5d所示,扣除GIA影响后,这些特征点的质量变化序列如图 6所示.各特征点的变化趋势及其与Chen等[7]和Luo等[10]结果的比较见表 2.
|
图 6 特征点质量变化序列 Fig. 6 Mass change series of characteristic points |
|
|
表 2 特征点的质量变化比较 Table 2 Mass change comparisons of characteristic points |
从图 6可以看出,所选取特征点的RL04与RL05数据质量变化序列的特性和趋势一致;从表 2可见,除Ronne Ice Shelf区域外,本文结果与Luo等和Chen等结果的变化趋势相同,其数值差异是因所用数据的时间段不同,以及滤波方法和GIA模型不同引起.东南极的New Schwaben Land,Enderby Land呈现质量增加趋势,Wilkes Land和Victoria Land呈现质量降低趋势.质量下降趋势最明显的区域为西南极的Amundsen Gulf和Graham Land,这两个地区也是研究南极质量变化的重点.Rome冰架附近及Marie Byrd Land质量也呈现减小的趋势.
3.2 CSR RL05,JPL RL05,GFZ RL05数据南极质量变化的比较分析 3.2.1 质量变化序列分析JPL RL05数据的时间段为2004年到2012年,共有99个月的模型数据;GFZ RL05数据的时间段为2005年到2012年,共有87个月的模型数据.扣除GIA影响后,CSR、JPL和GFZ三个机构的RL05数据求得的南极质量变化序列如图 7所示,三个机构数据求得的整个南极质量都呈下降趋势,东南极质量下降速度要明显比西南极慢,GFZ数据结果的质量变化周期项的幅度要明显小于CSR和JPL数据结果周期项的变化幅度.表 3给出了三个机构数据质量变化的统计结果.
|
图 7 扣除GIA影响后南极质量变化分析序列 (a)整个南极质量变化序列;(b)东南极质量变化序列;(c)西南极质量变化序列. Fig. 7 Antarcti cmass change series after removing GIA (a) Entire Antarcti cmass change series; (b) East Antarcti cmass change series; (c) West Antarcti cmass change series. |
|
|
表 3 CSR RL05,JPL RL05,GFZ RL05数据质量变化比较 Table 3 Mass change comparisons of CSR RL05, JPL RL05 and GFZ RL05 data |
其中,对于整个南极的质量变化,CSR RL05、JPL RL05、GFZ RL05所得到的结果分别为-195.7±20.5 Gt/a(2004-2012),-203.8±23.1 Gt/a(2004-2012),-133.2±29.9 Gt/a(2005-2012),对海平面变化的贡献分别为0.54±0.06 mm/a,0.56±0.06 mm/a,0.37±0.09 mm/a.表 3的结果表明,CSR与JPL的RL05数据求得的南极质量变化非常接近,GFZ RL05数据求得的南极质量变化比CSR和JPL的结果要小50%左右,尤其在东南极地区,三个机构RL05数据的结果相差非常明显.由于在处理数据的过程中采用相同的处理方法,上述结果差异应该归因于不同机构模型本身的差异.如果考虑到这些数据的差异而采用相应的数据处理策略,这将是以后研究的重点所在.
3.2.2 质量变化趋势分布分析采用如3.1节同样的方法计算JPL、GFZ RL05数据的南极质量变化趋势分布.扣除GIA影响后,由CSR RL05数据求得的南极质量变化趋势分布见图 5d,由GFZ RL05,JPL RL05数据求得的南极质量变化趋势分布如图 8所示.由图 5d与图 8可见,三个机构RL05数据求得的质量变化趋势分布非常接近.
|
图 8 GFZ RL05(a)与JPL RL05(b)数据的南极质量变化趋势分布 Fig. 8 Distribution of Antarcti cmass change trend from (a) GFZ RL05 and (b) JPL RL05 data |
利用CSR、JPL和GFZ三个机构新发布的RL05数据,经去相关误差滤波和扇形滤波并进行GIA改正后,计算分析了整个南极质量变化序列及其分布,并与CSR RL04数据的结果进行了比较.根据本文结果,可归纳出如下结论:
(1) 利用新发布的CSR RL05数据与CSR RL04数据求得的整个南极区域的质量变化分别为-195.7±23.1 Gt/a,-212.4±30.9 Gt/a,对海平面的贡献分别为0.54±0.06 mm/a,0.59±0.09 mm/a.RL05数据求得的南极质量变化的精度、分辨率及其周期特性都优于RL04数据的结果.
(2) CSR、JPL和GFZ三个机构所公布的RL05数据求得的整个南极质量变化趋势的分布一致. CSR、JPL和GFZ RL05数据计算整个南极的质量变化分别为-195.7±20.5 Gt/a(2004-2012),-203.8±23.1 Gt/a(2004-2012),-133.2±29.9 Gt/a(2005-2012),对海平面做出的贡献分别为0.54±0.06 mm/a,0.56±0.06 mm/a,0.37±0.09 mm/a. CSR与JPL数据求得的质量变化结果吻合良好,但GFZ数据的结果要小50%左右.
(3) 西南极的Amundsen Gulf、Graham Land和Antarctic Peninsula是质量变化最为显著的区域,整个南极的质量减少主要由西南极质量减少所贡献.
(4) 在2006年之后,南极冰盖呈现出加速融化的趋势,与Chen等(2009)[7]的研究成果一致.
致谢感谢CSR,JPL,GFZ提供RL05及RL04数据.
| [1] | Tapley B D, Bettadpur S, Watkins M, et al. The gravity recovery and climate experiment: Mission overview and early results. Geophys. Res. Lett. , 2004, 31(9): L09607. |
| [2] | Wahr J, Swenson S, Zlotnicki V, et al. Time-variable gravity from GRACE: first results. Geophys. Res. Lett. , 2004, 31(11): L11501. |
| [3] | Wahr J, Molenaar M, Bryan F. Time variability of the Earth's gravity field: Hydrological and oceanic effects and their possible detection using GRACE. J. Geophys. Res. , 1998, 103(B12): 30205-30229. DOI:10.1029/98JB02844 |
| [4] | Velicogna I, Wahr J. Measurements of time-variable gravity show mass loss in Antarctica. Science , 2006, 311(5768): 1754-1756. DOI:10.1126/science.1123785 |
| [5] | Ramillien G, Lombard A, Cazenave A, et al. Interannual variations of the mass balance of the Antarctica and Greenland ice sheets from GRACE. Global Planet Change , 2006, 53(3): 198-208. DOI:10.1016/j.gloplacha.2006.06.003 |
| [6] | Luthcke S B, Rowlands D D, Arendt A, et al. GRACE observations of land ice evolution. 2008 GRACE Science Team Meeting , 2008: 617-631. |
| [7] | Chen J L, Wilson C R, Blankenship D D, et al. Accelerated Antarctic ice loss from satellite gravity measurements. Nature Geoscience , 2009, 2(12): 859-862. DOI:10.1038/ngeo694 |
| [8] | Chen J L, Wilson C R, Blankenship D D, et al. Antarctic mass rates from GRACE. Geophys. Res. Lett. , 2006, 33(11): L11502. DOI:10.1029/2006GL026369 |
| [9] | Zwally H J, Giovinetto M B. Overview and assessment of Antarctic ice-sheet mass balance estimates: 1992-2009. Surveys in Geophysics , 2011, 32(4-5): 351-376. DOI:10.1007/s10712-011-9123-5 |
| [10] | Luo Z C, Li Q, Zhang K, et al. Trend of mass change in the Antarctic ice sheet recovered from the GRACE temporal gravity field. Science China Earth Sciences , 2012, 55(1): 76-82. DOI:10.1007/s11430-011-4275-1 |
| [11] | 史红岭, 陆洋, 杜宗亮, 等. 基于ICESat块域分析法探测2003-2008年南极冰盖质量变化. 地球物理学报 , 2011, 54(4): 958–965. Shi H L, Lu Y, Du Z L, et al. Mass change detection in Antarctic ice sheet using ICESat block analysis techniques from 2003-2008. Chinese J. Geophys. (in Chinese) , 2011, 54(4): 958-965. |
| [12] | Dahle C, Flechtner F, Gruber C, et al. GFZ GRACE level-2 processing standards document for level-2 product release 0005. Potsdam: Deutsches Geo Forschungs Zentrum GFZ , 2012: 20. |
| [13] | Wahr J. Time variable gravity from satellites. Treatise on Geophysics , 2007, 3: 213-237. DOI:10.1016/B978-044452748-6/00176-0 |
| [14] | Zhang Z Z, Chao B F, Lu Y, et al. An effective filtering for GRACE time-variable gravity: Fan filter. Geophys. Res. Lett. , 2009, 36(17): L17311. DOI:10.1029/2009GL039459 |
| [15] | Tang J S, Cheng H W, Liu L. Using nonlinear programming to correct leakage and estimate mass change from GRACE observation and its application to Antarctica. J. Geophys. Res. , 2012, 117: B11410. DOI:10.1029/2012JB009480 |
| [16] | Swenson S, Wahr J. Post-processing removal of correlated errors in GRACE data. Geophys. Res. Lett. , 2006, 33(8): L08402. |
| [17] | Wang H S, Wu P. Role of background viscosity in the investigation of postglacial rebound induced crustal motion in a laterally heterogeneous mantle. J. Geodyn. , 2006, 42(1-3): 85-94. DOI:10.1016/j.jog.2006.06.002 |
| [18] | Paulson A, Zhong S J, Wahr J. Inference of mantle viscosity from GRACE and relative sea level data. Geophys. J. Int. , 2007, 171(2): 497-508. DOI:10.1111/gji.2007.171.issue-2 |
| [19] | Baur O, Kuhn M, Featherstone W E. Continental mass change from GRACE over 2002-2011 and its impact on sea level. J. Geiod. , 2012, 87(2): 117-125. DOI:10.1007/s00190-012-0583-2 |
| [20] | 鄂栋臣, 杨元德, 晁定波. 基于GRACE资料研究南极冰盖消减对海平面的影响. 地球物理学报 , 2009, 52(9): 2222–2228. E D C, Yang Y D, Chao D B. The sea level change from the Antarctic ice sheet based on GRACE. Chinese J. Geophys. (in Chinese) , 2009, 52(9): 2222-2228. |
2013, Vol. 56

