2. 中国科学院研究生院, 北京 100049;
3. 吉林省人工影响天气办公室, 长春 130062
2. Graduate School of Chinese Academy of Sciences, Beijing 100049, China;
3. The Weather Modification Office of Jilin Province, Changchun 130062, China
近年来在全球变暖的气候背景下,极端天气事件呈多发趋势,我国登陆台风引发的极端天气事件逐渐增多.鉴于台风给人类带来的巨大灾害,气象学家对台风开展了大量深入的研究工作.例如,针对强热带气旋切向风廓线设计上的困难,孟智勇和徐祥德等提出了利用7级风和10级风半径来确定台风切向风廓线的方法,既反映真实台风外围结构,又避免了强风速切变问题[1].雷小途和陈联寿探讨了利用热带气旋风场分布的经验模型估算热带气旋尺度的方法,为热带气旋尺度变化和非对称结构机制等问题的研究和应用提供新依据[2].张庆红研究发现台风Winnie的眼壁及周围风场具有明显的非对称性结构[3].康建伟和陆汉城研究指出台风内中尺度波动具有重力惯性波和涡旋Rossby波的混合波特征,并提出台风多边形眼墙和中尺度波动的联系机制模型[4].沈新勇等将台风内涡旋Rossby波划分为两种类型,一种是由切向基本气流的二阶径向水平切变或者基本气流的垂直涡度在径向方向变化(β*因子)所导致的第一类涡旋Rossby波,另一种是切向基本流场风速的二次垂直切变或者基本流场径向方向平均涡度在垂直方向上的不均匀性所导致的第二类涡旋Rossby波[5].李英和陈联寿等的研究结果表明台风Winnie变性加强与其环流内中尺度锋生过程密切相关,其低层环流中存在包围台风中心的环状锋生现象[6].薛根元等分析发现,西太平洋西部异常的水汽输送、弱风垂直切变、海表面温度异常以及中低纬系统之间相互作用等可能是导致登陆我国热带气旋强度异常偏强的主要原因[7].李英等研究发现台风眼放大现象实际上是台风内核区对流云团分裂扩散过程中与外围螺旋云带一起重新发展出的环状结构[8].李青青等分析发现,在环境垂直风切变不是单一方向情况下,中尺度涡旋形成在对流层底层眼壁区[9].聂高臻和谭哲敏模拟了台风云娜在近海加强与登陆过程,结果表明,眼墙的对流发展与风切变方向有着较好的对应关系,地形高度对环境风切变的影响较小,但对台风涡旋倾斜有较大的影响[10].苏源和吴立广分离出天气尺度和低频环流场,证明台风与低频环流之间的相互作用也能产生台风传播分量[11].陆波等和钱维宏研究揭示,在夏末秋初的转换季节,东亚副热带季风槽正好位于华南近海,有些台风进入华南近海季风槽中有可能增强,形成所谓的季节锁相[12-13].
台风眼壁和螺旋雨带的结构和传播特征问题一直是热带风暴动力学理论研究的重点.台风眼壁和螺旋雨带具有明显的中尺度波动特征,由于非线性方程组直接求解还有很多困难,因此人们常用线性化方程组来讨论大气中的波动[14].陆汉城等利用柱坐标系下线性浅水位涡方程,讨论了位涡守恒条件下热带风暴中中尺度扰动涡散共存的特性和不可分混合波的可能形成机制[15].陶建军等利用柱坐标下含基流的线性涡度方程,研究了螺旋波的不稳定发展问题[16].黄瑞新和巢纪平研究指出台风中螺旋云带本质上反映了重力惯性内波,并利用线性缓变波列理论讨论了这类螺旋波的色散关系和群速度[17].徐祥德等研究揭示了台风影响域螺旋波呈现次天气尺度和中尺度波动特征,其波动周期,尺度及传播相速与重力内波与涡旋Rossby波类似[18].罗哲贤利用线性准地转正压模式,研究了台风涡旋能量频散及其对台风路径的影响,结果表明,波列的高值系统对台风的结构和移行具有明显的影响[19].
台风暴雨是影响我国东南沿海地区的重要天气之一,其形成机制复杂,是天气业务预报难点之一.随着探测手段的不断提高,数值模式的不断发展,人们对台风暴雨的认识也逐步深入.例如,李春虎和罗哲贤分析了台风“麦莎”的远距离台风暴雨落区与排熵指数的关系,发现负熵变区对应着暴雨区,负熵变区的汇合反映远距离台风暴雨的落区[20].钮学新等研究指出,冷空气入侵台风外围使其外围及倒槽降水明显增加,冷空气入侵台风中心附近会破坏台风结构,导致中心附近降水明显减小,但其倒槽降水还会明显增加[21].吴启树和沈桐立分析了不同地形高度对台风暴雨增幅的影响,指出地形对台风暴雨的最大增幅作用发生在山脉迎风坡的地形坡度与气流正交,速度乘积最大的时段[22].刘峰和丁治英通过对台风“莫拉克”的湿位涡场分析,发现降水区具有大气对流不稳定,等θse面陡立密集,能量锋较强和上升运动强烈等特点,这些因素可以作为判断强降水发生的判据[23].
近些年来,波流相互作用理论逐渐应用到台风暴雨研究中,波流相互作用是大气科学的一个重要研究内容,在过去的几十年里,人们在波流相互作用方面开展了大量的研究工作,取得丰硕研究成果[24-38].波流相互作用理论可以解释很多重要的天气现象,不但可以用于大尺度行星波传播的研究,还可以用于导致暴雨的中尺度扰动的动力学诊断分析.Gao and Ran采用位涡定理,考虑水汽效应,建立了适用于中尺度扰动系统的水汽波作用方程和热力波作用方程[39].Ran等从波流相互作用的角度对登陆台风“Wilpa”雨带形成的动力学过程进行了研究[40].
本文以台风Morakot(2009)引发的暴雨过程为研究对象,针对台风的不同发展阶段,从波流相互作用的角度,考虑散度效应,对波作用密度和波作用通量散度进行计算分析,研究台风暴雨中扰动特征,讨论影响扰动发展演变的主要因素,在此基础上,建立波作用密度降水预报方程,并应用于台风暴雨个例的预报.
2 波作用密度湿位涡是综合表征湿大气动力学性质和热力学特点的重要宏观物理量,广泛应用在各种天气现象的分析研究中,在局地直角坐标系中其表达式为
|
(1) |
其中,θ*为广义位温.陶祖钰等研究表明,位涡主要代表涡度与位势稳定度的耦合效应[41].为了反映暴雨过程中水平风场散度的动力学性质,仿照位涡定义,本文提出位势散度的概念,即
|
(2) |
虽然q和M的定义相似,但二者的物理意义不同.上式可改写为
|
(3) |
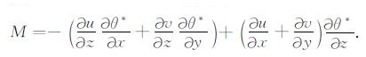
其中,vh=(u,v,0)为水平风速.可见,M代表水平风矢量旋转90°后的旋度在广义位温梯度方向上的投影,而q代表水平风矢量的旋度在广义位温梯度方向上的投影.另外,q体现了相对垂直涡度

在完全不可压缩
|
(4) |
其中,v=(u,v,w)为三维风矢量.上式表明,M代表垂直切变风对广义位温的三维平流输送.
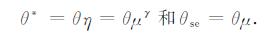
根据广义位温的定义
|
(5) |
其倾向方程可以写为
|
(6) |
其中,

|
(7) |
可见,M是广义位温垂直梯度个别变化的强迫项之一,与条件性稳定度有关.引入凝结潜热函数的定义
|
(8) |
其中,

|
(9) |
对上述两式取垂直偏导数,可以得到
|
(10) |
可见,







M可以进一步分解为基本态,一阶扰动量和二阶扰动量等三部分:
|
其中,
|
(11) |
|
(12) |
|
(13) |
其中,下标“0 ”代表基本态,下标“e”代表扰动态.M0描述大尺度动、热力场的综合特征,Me包含大尺度和中尺度系统的综合信息,A是二阶扰动量,代表扰动能量,表征扰动水平风垂直切变和扰动散度与广义位温扰动梯度的耦合效应,称之为位势散度波作用密度(简称波作用密度).由于本文研究对象是中尺度扰动系统,因此本文重点关注A.
波作用密度作为位势散度的组成部分之一,除了对广义位温垂直梯度的个别变化有强迫作用之外,还可以描述波动特征.对于缓变波列
|
(14) |
其中,X=εx,Y=εy,Z=εz和T=εt为慢时空尺度,x,y,z和t为快时空尺度,ϕ为位相函数,小参数
|
(15) |
其中,ω,k,l和n分别为局地频率和x,y,z方向的局地波数,它们都是慢时空尺度(X,Y,Z,T)的函数,并满足如下关系:
|
(16) |
假设波作用密度可以按小参数ε展开,即
|
(17) |
以及扰动是完全不可压缩的,即
|
(18) |
那么把(14)和(17)式代入(18)和(13),并取ε零级和一级近似可分别得到
|
(19) |
|
(20) |
其中,
(13)式还可写为
|
(21) |
(21)式右端前两项代表热力学属性(广义位温扰动垂直梯度)的水平通量散度,第三项代表扰动热量扰动水平平流的垂直梯度.对于边界没有流入和流出的闭合系统,对上式取垂直积分可得
|
(22) |
因此,体积分的波作用密度代表系统顶部(zt)与底部(zs)的扰动热量扰动水平平流之差.
对(21)式两端取时间偏导数,可以得到
|
(23) |
采用微扰动法将局地直角坐标系大气运动基本方程组[14]进行线性化,可得到
|
(24) |
|
(25) |
|
(26) |
其中,ve=(ue,ve,we),v0=(u0,v0,w0),vae=(uae,vae,0),

|
(27) |
其中,
|
(28) |
|
(29) |
|
(30) |
|
(31) |
|
(32) |
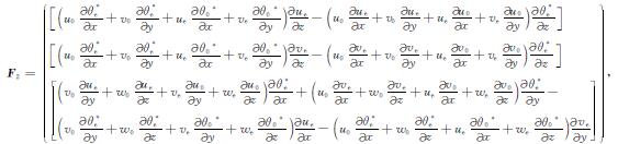
方程(27)左端为A的局地变化项,右端前三项为二阶扰动通量散度项,第四项为A的源汇项.由于A代表扰动能量,因此波作用方程(27)在一定程度上描述扰动能量的发展演变.由于推导过程采用微扰动法,因此(27)式适用于研究小振幅扰动.
方程(27)右端第一项中F1(即式(28))代表扰动非地转风与扰动广义位温空间梯度的综合作用,该项还可写为


由于暴雨主要是由中尺度扰动系统造成的,大尺度系统仅为其提供有利的背景环境,因此本文利用上述波作用密度和波作用方程中波作用通量散度对2009年登陆台风Morakot引发的暴雨过程进行诊断分析.
3 诊断分析2009年8月4日凌晨第8号热带风暴Morakot生成于西北太平洋,5日加强为台风,7日23时45分(北京时)登陆台湾花莲,9日16时20分登陆福建省霞浦市,10日凌晨减弱为热带风暴,12日02时消散.台风Morakot在我国多省市造成强降水,导致严重的洪涝灾害,其中浙江和福建省受灾比较严重.
2009年8月8日1200 UTC(世界时)200hPa中高纬度高空急流呈现出波动特征(图 1),断裂为两段.台风位于高空急流断裂带南侧,其东西两侧为高压区.在这种配置下,台风区高空气流辐散.500hPa副热带高压脊线西伸北抬,华北中东部地区存在西倾浅槽,低纬地区西南季风涌活跃,台风夹在三者之间,在西南季风和副热高压边缘东南气流的引导下,向西北方向移动.受副热带高压影响,700hPa台风北侧盛行偏东风;受西南季风影响,台风南侧为宽广的西南气流;台风环流风向切变明显,气流在眼墙的南侧,东侧和北侧辐合,伴有强烈上升运动.925hPa台风眼墙的南侧和北侧为水汽辐合区,水汽输送有两条途径,一是副热带高压南侧偏东气流的水汽输送,二是西南季风的水汽输送,后者对台风水汽集中起重要作用.输送的水汽通过凝结等云微物理过程释放潜热,凝结潜热释放影响台风的热力结构和强度,是台风获得能量维持的重要条件.
|
图 1 2009年8月8日1200 UTC(a)200 hPa水平风矢量(箭头)、水平风速(彩色填色区,m·s-1)和正值散度(等值线,10-5s-1);(b)500 hPa位势高度(等值线,10gpm)、水平风矢量(箭头)和温度(彩色填色区,K);(c)700hPa位势高度(等值线,10gpm)、水平风矢量(箭头)和负值散度(彩色填色区,10-5s-1);(d)925hPa水汽通量矢量(箭头)、负值水汽通量散度(等值线,10-7s-1)和水汽通量(彩色填色区,10-4 m·s-1) Fig. 1 (a) The horizontal wind vector (arrows), wind speed (shaded, m·s-1) and positi vevalue of divergence (contour, 10-5s-1) at 200hPa; (b) the geopotential height (contour, 10gpm), horizontal wind vector (arrows) and temperature (shaded, K) at 500 hPa; (c) the geopotential height (contour, 10gpm), horizontal wind vector (arrows) and negative value of convergence (shaded, 10-5s-1) at 700 hPa; (d) the water-vapor flux vector (arrows), negative value of divergence of moistture flux (contour, 10-7s-1) and magnitude of the water-vapor flux (shaded, 10-4 m·s-1) at 925 hPa at 1200 UTC 8 Aug 2009 |
综上所述,高空多系统配置,中层副高阻滞浅槽东移以及低空西南季风环流和高压南侧偏东气流的水汽输送,造成台风低层气流辐合,高层气流辐散,促进台风眼墙上升运动发展.低层西南气流持续长久的水汽输送,对台风加强及我国闽浙沿海和台湾南部的强降水有重要贡献.
针对本次暴雨过程,本文利用格点分析资料对波作用密度和波作用通量散度进行计算,该资料是利用Advanced Regional Prediction System(ARPS)[42]产生的.研究区域覆盖我国华东地区,水平格点数为177×177,水平格距为27km.为了分离出扰动态和基本态,采用Barnes滤波方法对格点分析资料进行低通滤波,影响半径约为85km(影响区域含有25个格点),经过连续两次迭代滤波后得到理论尺度大于900km的大尺度基本态场,从总物理量场中减去基本态场得到扰动态场,其理论尺度小于900km,该扰动场包含小尺度系统、中γ尺度系统、中β尺度系统以及部分中α尺度系统.如图 2所示,2009年8月8日1800 UTC3.25km等高面上最大风速区出现在台风环流的东侧,最大风速大于32m·s-1.扰动风速高值区位于台风环流的西北侧,最大扰动风速约为2.0 m·s-1,远小于总的最大风速.由于台风影响区的水汽比较充沛,相对湿度比较大,因此广义位温高值区覆盖台风影响区,并且高值中心位于观测降水区,代表高湿高能区.广义位温的扰动主要发生在台风环流的外围,最强扰动约为8K,远小于广义位温的最小值310 K.由此可见,利用上述Barnes滤波方法获得的水平风速扰动和广义位温扰动在数值上远小于总的物理场或基本态,属于微小扰动,符合微扰动法“扰动量充分小”的条件.
|
图 2 2009年8月8日1800 UTC3.25km等高面(a)水平风速(等值线,m·s-1)和水平风矢量(箭头),(b)扰动水平风速(等值线,m·s-1)和扰动水平风矢量(箭头),(c)广义位温(等值线,K)和(d)扰动广义位温(等值线,K),其中,彩色填色区代表观测6 h累积降水(mm) Fig. 2 (a) The horizontal wind speed (contour, m·s-1) and wind vector (arrows), (b) the pterturbation of horizontal wind speed (contour, m·s-1) and wind perturbation vector (arrows), (c) the generalized potential temperature (contour, K) and (d) the perturbation of generalized potential temperature (contour, K) at the 3.25 km altitude, where the shaded denotes the observation of 6-h accumulatied rainfall |
2009年8月8日1800 UTC台风中心位于台湾海峡,西侧眼墙覆盖闽浙沿海,局地发生强降水.如图 3所示,在沿119°E的垂直剖面内,6 h累积观测降水主要出现在24°N-28°N,其上空为凝结潜热函数高值区,从近地面垂直伸展到10km高度,高值中心位于1.5~3km高度区间,代表降水区对流层存在显著的凝结潜热释放.在凝结潜热函数影响下,强降水中心北侧2~3km高度区间存在相当位温θse的极小值;2km以下高度的θse垂直梯度为负值,对流层低层处于位势不稳定状态,存在潜在不稳定能量,适当的触发条件可促进强对流发生发展.凝结潜热函数的垂直分布也使得广义位温等值线从降水区对流层高层向下伸展,呈漏斗状分布,其两侧及底部等值线密集,水平和垂直梯度明显.由于位温等值线比较平直,因此广义位温的垂直分布结构主要由凝结潜热函数垂直结构决定,而凝结潜热函数的异常主要由相对湿度幂指数造成,其作用是放大降水区的凝结潜热函数,缩小非降水区的凝结潜热函数,增大降水区与非降水区凝结潜函数之间的梯度.
|
图 3 2009年8月8日1800 UTC位温(a)(单位:K),潜热凝结函数(b),相当位温(c)(单位:K)和广义位温(d)(单位:K)在沿119°E的经向-垂直剖面内的分布,其中,灰色直方图代表观测的6 h累积降水量(mm) Fig. 3 The meridional-vertical cross sections of potential temperature (a)(Unit:K), latent heating condensation function (b), equivalent potential temperature (c)(Unit:K) and generalized potentialt emperature (d)(Unit:K) along 119°E at 1800 UTC 8 Aug 2009, where the gray thin bar denotes the observation of 6 h-accumulated surface rainfall (Unit:mm) |
降水区动、热力扰动具有明显的空间梯度,如图 4所示,8日1800 UTC降水区对流层低层为扰动水平风垂直切变的负值区,其上为正值区,并且低层扰动辐散,高层扰动辐合.另外,强降水中心中低层广义位温扰动主要表现为扰动增暖(图略),因此强降水中心两侧的广义位温扰动具有较大的空间梯度.9日1800 UTC台风在福建霞浦市登陆后,降水强度和动、热力扰动的空间梯度都明显减弱(图略).
|
图 4
2009年8月8日1800 UTC![]() ![]() ![]() ![]() ![]() ![]() ![]() ![]() ![]() ![]() ![]() ![]() |
如图 5所示,7日1800 UTC台风刚登陆台湾岛,西侧眼墙位于台湾海峡,大陆地区受其影响较小,闽浙沿海仅有少量降水,并伴有波作用密度低值区,代表较弱的扰动热量输送.8日1800 UTC台风移入台湾海峡,其西侧眼墙覆盖大陆,降水增大,波作用密度明显增大,两个高值中心分别位于27°N上空3km和6km高度附近.对比图 3和图 4可知,该高值中心主要是由扰动纬向风垂直切变和扰动广义位温纬向梯度造成的,代表降水区较强的扰动热量纬向输送.9日1800 UTC台风登陆后,波作用密度明显减小,扰动热量输送减弱.总之,波作用密度所描述的扰动热量输送主要出现在降水区对流层中低层,随台风登陆而逐渐减弱,该扰动输送使得广义位温垂直梯度的局地变化减小,进而导致位势稳定度的变化趋缓.
|
图 5 2009年8月7日1800 UTC(a),8日1800 UTC(b)和9日1800 UTC(c)波作用密度A(10-8K·m-1·s-1)在沿着119°E的经向-垂直剖面内的分布,其中,灰色直方图代表观测的6 h累积降水(mm) Fig. 5 The meridional-vertical cross sections of A(Unit:10-8K·m-1·s-1) at 1800 UTC 7 Aug (a), 1800 UTC8 Aug (b), and 1800 UTC9 Aug 2009 (c) along 119°E, where the graythin bar denotes the observation of 6 h-accumulated surface rainfall (Unit:mm) |
为了分析对流层内中尺度扰动的整体水平分布特征,本文计算了波作用密度和波作用通量散度绝对值的垂直积分,即

|
图 6
2009年8月7日1800 UTC(a),8日1800 UTC(b)和9日1800 UTC(c)波作用密度![]() ![]() |
在时间演变趋势上(图 7),大陆地区(25°N以北)波作用密度
|
图 7
波作用密度![]() ![]() |
为了分析影响波作用密度发展演变的主要物理因素,本文计算波作用通量散度



|
图 8
2009年8月7日1800 UTC(a),8日1800 UTC(b)和9日1800 UTC(c)波作用通量散度![]() ![]() |
在台风移动路径上,如图 9所示,波作用通量散度



|
图 9
台风中心区![]() ![]() ![]() ![]() ![]() ![]() ![]() ![]() |
波作用密度因包含凝结潜热函数而与降水有一定关联.如图 10所示,2009年6月1日-10月1日我国福州地区波作用密度
|
图 10
2009年6月1日0000 UTC-10月1日0000 UTC福州地区(25°N-28°N,118°E-121°E)区域平均的波作用密度![]() ![]() |
根据上述波作用密度与观测降水的相关性,利用2009年6月1日-10月1日和2010年6月1日-10月1日的观测降水资料和分析资料(间隔6 h,共978个时间点),建立了波作用密度与6 h累积观测降水的动力统计关系:
|
(33) |
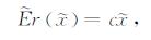
其中,Er为6 h观测降水,x为波作用密度
|
(34) |
其中,c可由(33)式得到,




图 11为利用GFS24h预报场计算的波作用密度预报降水的水平分布.如图所示,8日1200 UTC波作用密度预报降水区覆盖观测降水区,但水平范围略大.由于台湾地区没有观测降水资料,因此那里的波作用密度预报降水没有对应观测降水.GFS模式预报降水的主体位于台湾岛,大陆地区模式预报降水偏弱,位置偏东南.9日1200 UTC台风登陆后,波作用密度预报降水的落区与观测降水区相重叠,但预报降水中心略微偏离观测降水中心.虽然GFS模式预报降水与观测降水的落区比较匹配,但模式预报降水中心位于观测降水区边缘.可见,波作用密度预报降水对台风Morakot(2009)的观测降水有较好的再现能力.对于其他台风个例,例如,台风“莫拉菲”(2009)和“天鹅”(2009),如图 12所示,波作用密度24h预报降水区(即利用GFS 24 h预报场资料计算波作用密度,然后由(34)式计算得到预报降水)与观测台风降水区相重叠,二者的中心位置比较接近. GFS模式预报降水的中心位置与观测偏差较大.总之,波作用密度预报的降水能够反映实际台风暴雨的落区,因此波作用密度降水预报方程对台风暴雨有一定的预报能力.
|
图 11 2009年8月8日1200 UTC(a,b)和9日1200 UTC(c,d)24h预报的6 h降水,其中(a)和(c)为波作用密度预报降水(等值线,mm),(b)和(d)为GFS模式预报降水(等值线,mm),彩色填色区代表观测的6 h累积降水(mm) Fig. 11 The 24h simulations of 6 h-accumulated precipitation at 1200 UTC 8 Aug 2009(a, b) and 1200 UTC 9 Aug 2009 (c, d), where (a, c) is the precipitation forecasting from wave-activity density (contour, mm), (b, d) is the precipitation forecasting from GFS (contour, mm) and the shaded is the observation of 6-h precipitation (mm) |
|
图 12 2009年7月19日0000 UTC(台风“莫拉菲”)(a,b)和2009年8月6日0600 UTC(台风“天鹅”)(c,d)24h预报的6 h降水量,其中(a)和(c)为波作用密度预报降水(等值线,mm),(b)和(d)为GFS模式预报降水(等值线,mm),彩色填色区代表 6 h观测降水(mm) Fig. 12 The 24-h simulations of 6-h precipitations of the typhoon Molave at 0000 UTC 19 Jul 2009(a, b) and the typhoon Goni 0600 UTC 6 Aug 2009 (c, d), where (a, c) is the precipitation forecasting from wave-activity density (contour, mm), (b, d) is the precipitation forecasting from GFS (contour, mm) and the shaded is the observation of 6 h precipitation (mm) |
Equitable Threat Score(ETS)评分(图 13)分析表明,对于20mm以上降水,8月6日-8日波作用密度预报降水的ETS评分较高,而在8日-10日波作用密度对小于30mm降水有较大的预报技巧.与GFS模式预报降水评分相比,6日-10日波作用密度预报降水的评分略高,表明波作用密度预报降水有一定的预报技巧.
|
图 13 波作用密度降水预报ETS评分(a)及其与GFS降水预报评分的差(b) Fig. 13 The ETS score of the 6 h-precipitation forecast from the wave-activity density (a) and the ETS difference between the wave-activity density and GFS |
这里的波作用密度预报降水方法是利用数值模式预报场计算波作用密度,再根据(34)式反演出降水,其本质是GFS预报资料的动力延伸释用.模式预报降水是模式中云微物理过程和积云对流过程共同产生的,而波作用密度预报降水是利用模式预报的温、湿、压、风等基本气象要素计算波作用密度,从宏观角度来预报降水,可以对模式预报降水进行补充和参考.该预报方法可应用到其他数值模式预报系统,计算量小,便于移植,容易推广应用.
5 结论在位涡基础上,本文提出位势散度的概念,即水平风矢量旋转90°后的旋度在广义位温梯度方向上的投影,其二阶扰动量被定义为位势散度波作用密度,该波作用密度的物理意义在于代表扰动热量的扰动输送,是广义位温垂直梯度个别变化的强迫项之一,与位势稳定度的发展变化有关.在局地直角坐标系中推导了波作用方程,其中波作用通量散度由三项构成,即扰动非地转风位涡项,一阶扰动平流与扰动切变耦合项和二阶扰动平流与基本态切变耦合项.
针对2009年8月7日-8月10日登陆台风Morakot引发的暴雨过程,本文对波作用密度和波作用通量散度进行计算分析.结果表明,在台风登陆台湾岛后,波作用密度高值区与台湾强降水区相重叠,大陆弱降水区对应波作用密度低值区;在台风移入台湾海峡后,大陆和台湾降水区的波作用密度增大,代表扰动热量的扰动输送增强;在台风登陆福建霞浦市后,大陆降水区波作用密度减小,扰动热量的扰动输送减弱,使得广义位温垂直梯度的变化趋缓,放慢位势稳定度的发展.台风中心区的波作用通量散度在台风登陆台湾花莲后迅速增加,在台风进入台湾海峡后达到极大值,在台风登陆福建霞浦市后持续减小.扰动非地转风位涡项是波作用密度局地变化的主要强迫项,一阶扰动平流与扰动切变耦合项是次要强迫项,二阶扰动平流与基本态切变耦合项的贡献比较小.
统计分析表明,2009年夏季波作用密度与观测降水有较高的相关系数,并通过显著性检验.根据二者的相关性,本文发展了波作用密度降水预报方程,预报应用表明,波作用密度降水预报方法对台风Morakot引发的降水有一定的预报技巧.该方法从宏观动热力学角度进行预报降水,本质是GFS预报资料的动力延伸释用,可以对模式预报降水提供有益补充和参考.
| [1] | 孟智勇, 徐祥德, 陈联寿. 一种适于较强台风的切向风廓线方案及其对异常台风路径的数值模拟研究. 大气科学 , 2001, 25(2): 193–199. Meng Z W, Xu D X, Chen L S. A method to study the tangential wind profile for strong tropical cyclone and its contribution to abnormal tropical cyclone track simulation. Chinese Journal of Atmospheric Sciences (in Chinese) , 2001, 25(2): 193-199. |
| [2] | 雷小途, 陈联寿. 热带气旋风场模型构造及特征参数估算. 地球物理学报 , 2005, 48(1): 25–31. Lei X T, Chen L S. A method to construct tropical cyclone wind distribution models and estimate its characteristic parameters. Chinese J. Geophys. (in Chinese) , 2005, 48(1): 25-31. |
| [3] | 张庆红. 特大眼台风Winnie (1997)的高分辨率数值模拟. 气象学报 , 2006, 64(2): 180–186. Zhang Q H. High resolution numerical simulation of very-large-eye typhoon Winnie (1997). Acta Meteorologica Sinica (in Chinese) , 2006, 64(2): 180-186. |
| [4] | 康建伟, 陆汉城, 钟科, 等. 台风内部的中尺度波动与多边形眼墙的形成. 热带气象学报 , 2007, 23(1): 21–26. Kang J W, Lu H C, Zhong K, et al. The mesoscale waves and the formation of polygonal eye wall in typhoon. Journal of Tropical Meteorology (in Chinese) , 2007, 23(1): 21-26. |
| [5] | 沈新勇, 明杰, 方珂. 台风涡旋系统的波动性质及其数值模拟. 气象科学 , 2007, 27(2): 176–186. Shen X Y, Ming J, Fang K. The properties of wave in typhoon and its numerical simulation. Scientia Meteorologica Sinica (in Chinese) , 2007, 27(2): 176-186. |
| [6] | 李英, 陈联寿, 雷小途. 变性台风Winnie (9711)环流中的锋生现象. 大气科学 , 2008, 32(3): 629–639. Li Y, Chen L S, Lei X T. Frontogenesis in the circulation of typhoon Winnie (1997) during its extratropical transition process. Chinese Journal of Atmospheric Sciences (in Chinese) , 2008, 32(3): 629-639. |
| [7] | 薛根元, 王志福, 周丽峰, 等. 登陆东南沿海热带气旋的异常特征及其成因研究. 地球物理学 , 2007, 50(5): 1362–1372. Xue G Y, Wang Z F, Zhou L F, et al. On abnormal features and formation causes of tropical cyclones landing southeastern coastal zones of China. Chinese J. Geophys. (in Chinese) , 2007, 50(5): 1362-1372. |
| [8] | 李英, 钱传海, 陈联寿. Sepat台风(0709)登陆过程中眼放大现象研究. 气象学报 , 2009, 67(5): 799–810. Li Y, Qian C H, Chen L S. A study on the eyewall expansion of typhoon sepat (2009) during its landfall process. Acta Meteorologica Sinica (in Chinese) , 2009, 67(5): 799-810. |
| [9] | 李青青, 周立, 范轶. 台风云娜(2004)的高分辨率数值模拟研究:眼壁小尺度对流运动. 气象学报 , 2009, 67(5): 787–798. Li Q Q, Zhou L, Fan Y. A high-resolution numerical simulation of typhoon rananim (2004): small-scale convection in the eyewall. Acta Meteorologica Sinica (in Chinese) , 2009, 67(5): 787-798. |
| [10] | 聂高臻, 谭哲敏, 仇欣. 台风"云娜"(2004)的数值模拟:眼墙对流与环境风切变的关系. 南京大学学报(自然科学版) , 2010, 46(3): 317–327. Nie G Z, Tan Z M, Qiu X. A numerical simulation of typhoon Rananim (2004): The relationship between eyewall convection and the environmental vertical wind shear. Journal of Nanjing University (Natural Sciences) (in Chinese) , 2010, 46(3): 317-327. |
| [11] | 苏源, 吴立广. 多时间尺度环流对热带气旋海棠(0505)路径的影响. 气象科学 , 2011, 31(3): 237–246. Su Y, Wu L G. Analysis of the multi-time scale circulation influences on the track of tropical cyclone Haitang (0505). Scientia Meteorologica Sinica (in Chinese) , 2011, 31(3): 237-246. |
| [12] | 陆波, 钱维宏. 华南近海台风突然增强的初秋季节锁相. 地球物理学报 , 2012, 55(5): 1523–1531. Lu B, Qian W H. Seasonal lock of rapidly intensifying typhoons over the South China offshore in early fall. Chinese J. Geophys. (in Chinese) , 2012, 55(5): 1523-1531. |
| [13] | 钱维宏. 天气尺度瞬变扰动的物理分解原理. 地球物理学报 , 2012, 55(5): 1439–1448. Qian W H. Physical decomposition principle of regional-scale atmospheric transient anomaly. Chinese J. Geophys. (in Chinese) , 2012, 55(5): 1439-1448. |
| [14] | 刘式适, 刘式达. 大气动力学. 北京: 北京大学出版社, 1991 : 77 -109. Liu S S, Liu S D. Atmospheric Dynamics (in Chinese). Beijing: Peking University Press, 1991 : 77 -109. |
| [15] | 陆汉城, 钟玮, 张大林. 热带风暴中波动特征的研究进展和问题. 大气科学 , 2007, 31(6): 1140–1150. Lu H C, Zhong W, Zhang D L. Current understanding of wave characteristics in tropical storms. Chinese Journal of Atmospheric Sciences (in Chinese) , 2007, 31(6): 1140-1150. |
| [16] | 陶建军, 李朝奎. 流体涡旋中螺旋波不稳定发展的理论研究. 地球物理学报 , 2008, 51(3): 650–656. Tao J J, Li C K. The theory study on unstable spiral wave in the circular vortex. Chinese J. Geophys. (in Chinese) , 2008, 51(3): 650-656. |
| [17] | 黄瑞新, 巢纪平. 台风中螺旋云带的线性理论. 大气科学 , 1980, 4(2): 148–158. Huang R X, Chao J P. The linear theory of spiral cloud bands of typhoon. Chinese Journal of Atmospheric Sciences (in Chinese) , 1980, 4(2): 148-158. |
| [18] | 徐祥德, 张胜军, 陈联寿, 等. 台风涡旋螺旋波及其波列传播动力学特征:诊断分析. 地球物理学报 , 2004, 47(1): 33–41. Xu X D, Zhang S J, Chen L S, et al. Dynamic characteristics of typhoon vortex spiral wave and its translation: a diagnostic analyses. Chinese J. Geophys. (in Chinese) , 2004, 47(1): 33-41. |
| [19] | 罗哲贤. 能量频散对台风结构和移动的作用. 气象学报 , 1994, 52(2): 149–156. Luo Z X. Effect of energy dispersion on structure and motion of tropical cyclone. Acta Meteorologica Sinica (in Chinese) , 1994, 52(2): 149-156. |
| [20] | 李春虎, 罗哲贤, 张颖娴, 等. "麦莎"远距离台风暴雨的排熵指数分析. 南京气象学报 , 2008, 31(3): 381–388. Li C H, Luo Z X, Zhang Y X, et al. Diagnostic analysis of the removal entropy index of the far distant rainstorm of typhoon Matsa. Journal of Nanjing Institute of Meteorology (in Chinese) , 2008, 31(3): 381-388. |
| [21] | 钮学新, 董加斌, 杜惠良. 华东地区台风降水及影响降水因素的气候分析. 应用气象学报 , 2005, 16(3): 402–407. Niu X X, Dong J B, Du H L. Climatic analysis on typhoon rainfall of east china and affecting factors of the precipitation. Journal of Applied Meteorological Science (in Chinese) , 2005, 16(3): 402-407. |
| [22] | 吴启树, 沈桐立, 李双锦. 影响福建沿海的0010号"碧利斯"台风暴雨的地形敏感性试验. 台湾海峡 , 2005, 24(2): 236–242. Wu Q S, Shen T L, Li S J. Topographic sensitivity test for rainstorm of the typhoon 0010 "bilis" influencing Fujian coast land. Journal of Oceanography in Taiwan Strait (in Chinese) , 2005, 24(2): 236-242. |
| [23] | 刘峰, 丁治英, 梁艳, 等. "莫拉克"台风暴雨过程中湿位涡场的演变特征. 暴雨灾害 , 2011, 30(2): 161–166. Liu F, Ding Z Y, Liang Y, et al. Evolution characteristics of moist potential vorticity in the rainstorm caused by "Morakot" typhoon. Torrential Rain and Disasters (in Chinese) , 2011, 30(2): 161-166. |
| [24] | Dickinson R E. Theory of planetary wave-zonal flow interaction. J. Atmos. Sci. , 1969, 26(1): 73-81. DOI:10.1175/1520-0469(1969)026<0073:TOPWZF>2.0.CO;2 |
| [25] | Dunkerton T, Hsu C P F, McIntyre M E. Some eulerian and lagrangian diagnostics for a model stratospheric warming. J. Atmos. Sci. , 1981, 38(4): 819-843. DOI:10.1175/1520-0469(1981)038<0819:SEALDF>2.0.CO;2 |
| [26] | Edmon H J, Hoskins B J, Mcintyre M E. Eliassen-Palm cross sections for the troposphere. J. Atmos. Sci. , 1980, 37(12): 2600-2616. DOI:10.1175/1520-0469(1980)037<2600:EPCSFT>2.0.CO;2 |
| [27] | Eliassen A, Palm E. On the transfers of energy in stationary mountain waves. Geofys. Publ. , 1961, 22(3): 1-23. |
| [28] | Haynes P H. Forced, dissipative generalizations of finite-amplitude wave-activity conservation relations for zonal and nonzonal basic flows. J. Atmos. Sci. , 1988, 45(16): 2352-2362. DOI:10.1175/1520-0469(1988)045<2352:FDGOFA>2.0.CO;2 |
| [29] | Plumb R A. Circulation of the middle atmosphere. Aust. Meteor. Mag. , 1982, 30(1): 107-122. |
| [30] | Plumb R A. On the three-dimensional propagation of stationary waves. J. Atmos. Sci. , 1985, 42(3): 217-229. DOI:10.1175/1520-0469(1985)042<0217:OTTDPO>2.0.CO;2 |
| [31] | Shepherd T G. Symmetries, conservation laws, and hamiltonian structure in geophysical fluid dynamics. Adv. Geophys. , 1990, 32: 287-338. DOI:10.1016/S0065-2687(08)60429-X |
| [32] | 段安民, 吴国雄. 非绝热条件下的波流相互作用与大气能量循环. 中国科学(D辑:地球科学) , 2005, 35(4): 352–360. Duan A M, Wu G X. Wave-flow interaction and atmospheric energy cycle under non-adiabatic conditions. Science in China (Ser. D) (in Chinese) , 2005, 35(4): 352-360. |
| [33] | 丁一汇. 高等天气学. 北京: 气象出版社, 1991 : 33 -66. Ding Y H. Advanced Synoptic Meteorology (in Chinese). Beijing: Meteorological Press, 1991 : 33 -66. |
| [34] | 高守亭, 陶诗言. 高空急流加速与低层锋生. 大气科学 , 1991, 15(1): 11–21. Gao S T, Tao S Y. The lower layer frontogenesis induced by the acceleration of upperjet stream. Chinese Journal of Atmospheric Sciences (in Chinese) , 1991, 15(1): 11-21. |
| [35] | 高守亭, 朱文妹, 董敏. 大气低频变异中的波流相互作用(阻塞形势). 气象学报 , 1998, 56(6): 665–679. Gao S T, Zhu W M, Dong M. On the wave flow interaction in the low frequency atmospheric variation: blocking pattern. Acta Meteorologica Sinica (in Chinese) , 1998, 56(6): 665-679. |
| [36] | 黄荣辉. 冬季格陵兰高原对北半球定常行星波形成的作用. 大气科学 , 1983, 7(4): 393–402. Huang R H. The role of Greenland plateau in the formation of the northern hemispheric stationary planetary waves in winter. Chinese Journal of Atmospheric Sciences (in Chinese) , 1983, 7(4): 393-402. |
| [37] | 冉令坤, 楚艳丽, 高守亭. Energy-Casimir方法在中尺度扰动稳定性研究中的应用. 气象学报 , 2009, 67(4): 530–539. Ran L K, Chu Y L, Gao S T. Application of Energy-Casimir method to the study of mesoscale disturbance stability. Acta Meteorologica Sinica (in Chinese) , 2009, 67(4): 530-539. |
| [38] | 陶建军. 正压大气中的波流相互作用及Sine-Gordon方程. 气象学报 , 1997, 55(2): 154–162. Tao J J. On interaction between wave and flow in the barotropic atmosphere and Sine Gordon equation. Acta Meteorologica Sinica (in Chinese) , 1997, 55(2): 154-162. |
| [39] | Gao S T, Ran L K. Diagnosis of wave activity in a heavy-rainfall event. J. Geophys. Res. , 2009, 114(D8): D08119. DOI:10.1029/2008JD010172 |
| [40] | Ran L K, Yang W X, Chu Y L. Diagnosis of dynamic process over rainband of landfall typhoon. Chinese Physics B , 2010, 19(7): 079201. DOI:10.1088/1674-1056/19/7/079201 |
| [41] | 陶祖钰, 周小刚, 郑永光. 从涡度、位涡、到平流层干侵入--位涡问题的缘起、应用及其歧途. 气象 , 2012, 38(1): 28–40. Tao Z Y, Zhou X G, Zheng Y G. Vorticity, potential vorticity and stratospheric dry intrusion: origin, application and misuse of potential vorticity concept. Meteorological Monthly (in Chinese) , 2012, 38(1): 28-40. |
| [42] | Xue M, Droegemeier K K, Wong V. The Advanced Regional Prediction System (ARPS)-A multi-scale nonhydrostatic atmospheric simulation and prediction model.Part Ⅰ: Model dynamics and verification. Meteor. Atmos. Phys. , 2000, 75(3-4): 161-193. DOI:10.1007/s007030070003 |
2013, Vol. 56




























